Enhancement of Mechanical Properties of Benign Polyvinyl Alcohol/Agar Hydrogel by Crosslinking Tannic Acid and Applying Multiple Freeze/Thaw Cycles
Abstract
1. Introduction
2. Results and Discussion
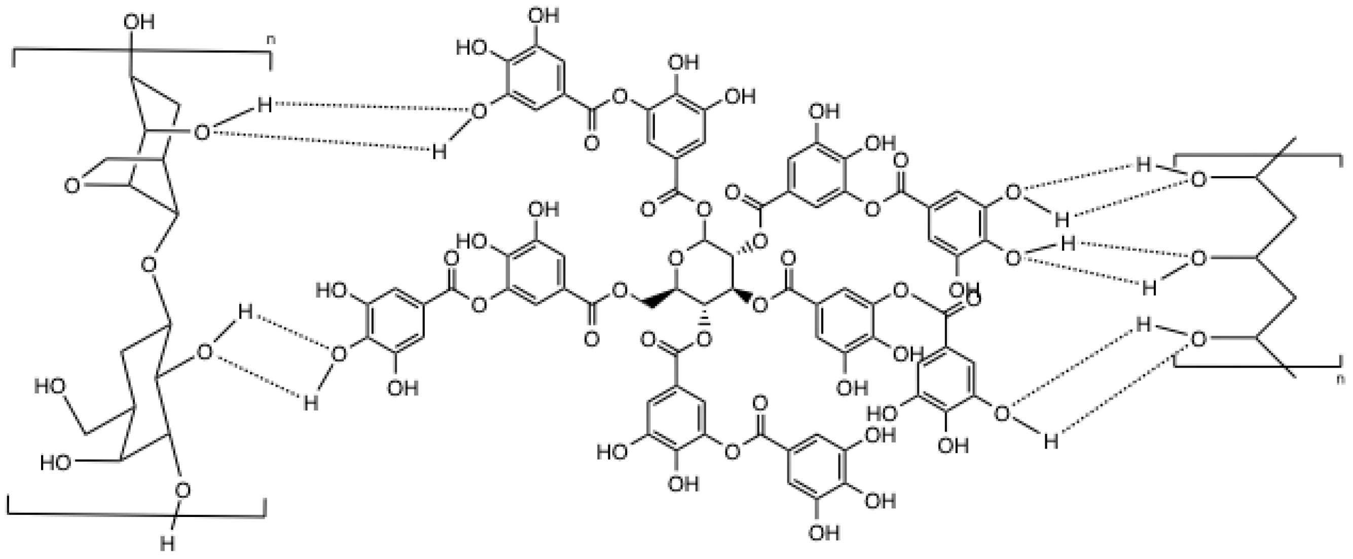
2.1. Fabrication of PVA Composite Hydrogel
2.2. Effects of Freezing Temperature, Freezing Time, and Number of F/T Cycles on the Mechanical Strength of PVA-Based Hydrogels
2.3. Fourier-Transform Infrared Analysis
2.4. Mechanical Strength of the Hydrogel
2.5. Crystallization Analysis
2.6. Swelling Ratio
2.7. Determination of Water-Retaining Capacity
2.8. Adhesion of PA-Tx Composite Hydrogel
3. Conclusions
- -
- Enhanced mechanical strength (up to 3.77 MPa)
- -
- Reduced water absorption (~730%)
- -
- Less water release (ability to hold it is original water content for more than 80%)
- -
- High adhesion on glass (232 KPa), aluminium (227 KPa), and rubber (60 KPa)
4. Materials and Methods
4.1. Materials
4.2. Methods
4.2.1. Preparation of Hydrogels
4.2.2. Effects of Freezing Temperature, Freezing Time, and Number of F/T Cycles on the Mechanical Strength of PVA-Based Hydrogels
- To determine the freezing temperature, we conducted an experiment involving PVA only at −10 and −15 °C and finally set the freezing temperature to −15 °C.
- For freezing and thawing durations, we adopted 24 h of freezing and 4 h of thawing.
- We conducted experiments with 1, 3, and 5 F/T cycles, evaluated the mechanical properties, and examined the conditions resulting in the highest strength.
4.2.3. FT-IR Analysis
4.2.4. Mechanical Strength of the Hydrogels
4.2.5. Crystallization Properties
4.2.6. Swelling Ratio
4.2.7. Water-Retaining Capacity
4.2.8. Hydrogel Adhesion
Author Contributions
Funding
Institutional Review Board Statement
Informed Consent Statement
Data Availability Statement
Conflicts of Interest
References
- Stauffer, S.R.; Peppas, N.A. Poly (vinyl alcohol) hydrogels prepared by freezing-thawing cyclic processing. Polym. J. 1992, 33, 3932–3936. [Google Scholar] [CrossRef]
- Lozinsky, V.I.; Vainerman, E.S.; Domotenko, L.V.; Mamtsis, A.M.; Titova, E.E.; Belavtseva, E.M.; Rogozhin, S.V. Study of cryostructurization of polymer systems VII. structure formation under freezing of poly (vinyl alcohol) aqueous solutions. Colloid. Polym. Sci. 1986, 264, 19–24. [Google Scholar] [CrossRef]
- Watase, M.; Nishinari, K. Rheological and DSc changes in poly (vinyl alcohol) gels induced by immersion in water. J. Polym. Sci. 1985, 23, 1803–1811. [Google Scholar] [CrossRef]
- Yokoyama, F.; Masada, I.; Shimamura, K.; Ikawa, T.; Monobe, K. Morphology and structure of highly elastic poly (vinyl alcohol) hydrogel prepared by repeated freezing-and-melting. Colloid. Polym. Sci. 1986, 264, 595–601. [Google Scholar] [CrossRef]
- Fumio, U.; Hiroshi, Y.; Kumiko, N.; Sachihiko, N.; Kenji, S.; Yasunori, M. Swelling and mechanical properties of poly (vinyl alcohol) hydrogels. Int. J. Pharm. 1990, 58, 135–142. [Google Scholar] [CrossRef]
- Locarno, S.; Gallo, S.; Arosio, P.; Biordi, C.; Dallasega, D.; Gargano, M.; Ludwig, N.; Orsini, F.; Pignoli, E.; Veronese, I.; et al. Dosimetric double network hydrogel based on poly (vinyl-alcohol)/phenylalanine-derivatives with enhanced mechanical properties. ACS Appl. Polym. Mater. 2023, 5, 1902–1914. [Google Scholar] [CrossRef]
- Sabzi, M.; Samadi, N.; Abbasi, F.; Reza, G.; Babaahmadi, M. Bioinspired fully physically cross-linked double network hydrogels with a robust, tough and self-healing structure. Mater. Sci. Eng. C 2017, 74, 374–381. [Google Scholar] [CrossRef]
- Samadi, N.; Sabzi, M.; Babaahmadi, M. Self-healing and tough hydrogels with physically cross-linked triple networks based on Agar/PVA/Graphene. Int. J. Biol. Macromol. 2018, 107, 2291–2297. [Google Scholar] [CrossRef]
- Shao, J.; Zhang, Z.; Zhao, S.; Wang, S.; Guo, Z.; Xie, H.; Hu, Y. Self-healing hydrogel of poly (vinyl alcohol)/agarose with robust mechanical property. Starch/Staerke 2019, 71, 1–10. [Google Scholar] [CrossRef]
- Pourjavadi, A.; Tavakoli, E.; Motamedi, A.; Salimi, H. Facile synthesis of extremely biocompatible double-network hydrogels based on chitosan and poly (vinyl alcohol) with enhanced mechanical properties. J. Appl. Polym. Sci. 2018, 135, 1–8. [Google Scholar] [CrossRef]
- Feldman, D. Poly (vinyl alcohol) recent contributions to engineering and medicine. J. Compos. Sci. 2020, 4, 175. [Google Scholar] [CrossRef]
- Robles, H. Tannic acid. In Encyclopedia of Toxicology, 3rd ed.; Elsevier: Amsterdam, The Netherlands, 2014; pp. 474–475. [Google Scholar]
- Chen, W.; Li, N.; Ma, Y.; Minus, M.L.; Benson, K.; Lu, X.; Wang, X.; Ling, X.; Zhu, H. Superstrong and tough hydrogel through physical cross-linking and molecular alignment. Biomacromolecules 2019, 20, 4476–4484. [Google Scholar] [CrossRef]
- Hong, K.H. Preparation and properties of polyvinyl alcohol/tannic acid composite film for topical treatment application. Fibers Polym. 2016, 17, 1963–1968. [Google Scholar] [CrossRef]
- Spiller, K.L.; Laurencin, S.J.; Charlton, D.; Maher, S.A.; Lowman, A.M. Superporous hydrogels for cartilage repair: Evaluation of the morphological and mechanical properties. Acta Biomater. 2008, 4, 17–25. [Google Scholar] [CrossRef]
- Kobayashi, M.; Hyu, H.S. Development and evaluation of polyvinyl alcohol-hydrogels as an artificial articular cartilage for orthopedic implants. Materials 2010, 3, 2753–2771. [Google Scholar] [CrossRef]
- Peppas, N.A.; Scott, J.E. Controlled release from poly (vinyl alcohol) gels prepared by freezing-thawing processes. J. Control Release 1992, 18, 95–100. [Google Scholar] [CrossRef]
- Hassan, C.M.; Peppas, N.A. structure and morphology of freeze/thawed pva hydrogels. Macromolecules 2000, 33, 2472–2479. [Google Scholar] [CrossRef]
- Locarno, S.; Arosio, P.; Curtoni, F.; Piazzoni, M.; Pignoli, E.; Gallo, S. Microscopic and macroscopic characterization of hydrogels based on poly (vinyl-alcohol)–glutaraldehyde mixtures for fricke gel dosimetry. Gels 2024, 10, 172. [Google Scholar] [CrossRef] [PubMed]
- Holloway, J.L.; Lowman, A.M.; Palmese, G.R. The role of crystallization and phase separation in the formation of physically cross-linked PVA hydrogels. Soft Matter 2013, 9, 826–833. [Google Scholar] [CrossRef]
- Hua, S.; Ma, H.; Li, X.; Yang, H.; Wang, A. pH-sensitive sodium alginate/poly (vinyl alcohol) hydrogel beads prepared by combined Ca2+ crosslinking and freeze-thawing cycles for controlled release of diclofenac sodium. Int. J. Biol. Macromol. 2010, 46, 517–523. [Google Scholar] [CrossRef]
- Reséndiz-Hernández, P.J.; Rodríguez-Fernández, O.S.; García-Cerda, L.A. Synthesis of poly (vinyl alcohol)–magnetite ferrogel obtained by freezing–thawing technique. J. Magn. Magn. Mater. 2008, 320, e373–e376. [Google Scholar] [CrossRef]
- Ricciardi, R.; Auriemma, F.; Gaillet, C.; De Rosa, C.; Lauprêtre, F. Investigation of the crystallinity of freeze/thaw poly (vinyl alcohol) hydrogels by different techniques. Macromolecules 2004, 37, 9510–9516. [Google Scholar] [CrossRef]
- Valente, J.F.A.; Gaspar, V.M.; Antunes, B.P.; Countinho, P.; Correia, I.J. microencapsulated chitosan-dextran sulfate nanoparticles for controled delivery of bioactive molecules and cells in bone regeneration. Polymer 2013, 54, 5–15. [Google Scholar] [CrossRef]
- Figueroa-Pizano, M.D.; Vélaz, I.; Peñas, F.J.; Zavala-Rivera, P.; Rosas-Durazo, A.J.; Maldonado-Arce, A.D.; Martínez-Barbosa, M.E. Effect of freeze-thawing conditions for preparation of chitosan-poly (vinyl alcohol) hydrogels and drug release studies. Carbohydr. Polym. 2018, 195, 476–485. [Google Scholar] [CrossRef] [PubMed]
- Yu, Y.; Zhao, X.; Ye, L. A new mussel-inspired highly self-adhesive & conductive poly (vinyl alcohol)-based hydrogel for wearable sensors. Appl. Surf. Sci. 2021, 562, 150162. [Google Scholar]
- Liao, M.; Wan, P.; Wen, J.; Gong, M.; Wu, X.; Wang, Y.; Shi, R.; Zhang, L. Wearable, healable, and adhesive epidermal sensors assembled from mussel-inspired conductive hybrid hydrogel framework. Adv. Funct. Mater. 2017, 27, 1703852. [Google Scholar] [CrossRef]
- Li, Z.; Xu, W.; Wang, X.; Jiang, W.; Ma, X.; Wang, F.; Zhang, C.; Ren, C. Fabrication of PVA/PAAM IPN hydrogel with high adhesion and enhanced mechanical properties for body sensors and antibacterial activity. Eur. Polym. J. 2021, 146, 110253. [Google Scholar] [CrossRef]
- Fan, X.; Zhao, L.; Ling, Q.; Gu, H. Tough, self-adhesive, antibacterial, and recyclable supramolecular double network flexible hydrogel sensor based on pva/chitosan/cyclodextrin. Ind. Eng. Chem. Res. 2022, 61, 3620–3635. [Google Scholar] [CrossRef]
- Li, Z.; Kumar, H.; Guo, C.; Shin, J.; He, X.; Lu, Q.; Bai, H.; Kim, K.; Hu, J. Development of antifreezing, printable, adhesive, tough, biocompatible, high-water content hydrogel for versatile applications. ACS Appl. Mater. Interfaces 2023, 15, 16034–16045. [Google Scholar] [CrossRef]
- Zhang, X.; Chen, J.; He, J.; Bai, Y.; Zeng, H. Mussel-inspired adhesive and conductive hydrogel with tunable mechanical properties for wearable strain sensors. J. Colloid Interface Sci. 2021, 585, 420–432. [Google Scholar] [CrossRef]
- Wang, T.; Wang, T.; Zhao, W.; Wu, Y.; Wang, X.; Kayitmazer, A.B.; Ahmad, A.; Ramzan, N.; Si, Y.; Wang, J.; et al. Nanogel-reinforced polyacrylamide hydrogel for potential vascular adhesion. ACS Appl. Polym. Mater. 2023, 5, 1169–1179. [Google Scholar] [CrossRef]
- Tang, Z.; Miao, Y.; Zhao, J.; Xiao, H.; Zhang, M.; Liu, K.; Zhang, X.; Huang, L.; Chen, L.; Wu, H. Mussel-inspired biocompatible polydopamine/carboxymethyl cellulose/polyacrylic acid adhesive hydrogels with UV-shielding capacity. Cellulose 2021, 28, 1527–1540. [Google Scholar] [CrossRef] [PubMed]
- Cheng, C.; Peng, X.; Xi, L.; Wan, C.; Shi, S.; Wang, Y.; Yu, X. An agar–polyvinyl alcohol hydrogel loaded with tannic acid with efficient hemostatic and antibacterial capacity for wound dressing. Food Funct. 2022, 13, 9622. [Google Scholar] [CrossRef]
- Koo, S.; Gold, G.E.; Andriacchi, T.P. Considerations in measuring cartilage thickness using mri: Factors influencing reproducibility and accuracy. Osteoarthr. Cartil. 2005, 13, 782–789. [Google Scholar] [CrossRef] [PubMed]
- Savić Gajić, I.M.; Savić, I.M.; Svirčev, Z. Preparation and characterization of alginate hydrogels with high water-retaining capacity. Polymers 2023, 15, 2592. [Google Scholar] [CrossRef] [PubMed]










| Hydrogels | PVA (wt%) | Agar (wt%) | TA (wt%) | Water (mL) |
|---|---|---|---|---|
| PVA | 15 | – | – | 85 |
| PA | 15 | 1 | – | 85 |
| PA-T0.25 | 15 | 1 | 0.25 | 85 |
| PA-T0.5 | 15 | 1 | 0.5 | 85 |
| PA-T0.75 | 15 | 1 | 0.75 | 85 |
| PA-T1.0 | 15 | 1 | 1.0 | 85 |
| PA-T1.5 | 15 | 1 | 1.5 | 85 |
| F/T Cycles | Crystallinity (%) |
|---|---|
| 1 | 51.3 |
| 2 | 77.4 |
| 3 | 78.5 |
| Hydrogel [Reference] | Adhesion Strength (kPa) | ||
|---|---|---|---|
| Rubber | Glass | Aluminium | |
| PVA–COOH/Polydopamine (PDA) [26] | 150 | – | – |
| PVA–Functionalized single-wall carbone nanotube–PDA [27] | 8.3 | 9.2 | – |
| PVA/Polyacrylamide interpenetrating network hydrogel [28] | 70 | 70 | – |
| PVA-Chitosan-black wattle tannin-Sodium chloride hydrogel [29] | 2 | 3.4 | – |
| Poly (vinyl alcohol) grafted with styryl pyridinium group (PVA-SbQ) and TEMPO-oxidized cellulose nanofibrils (CNF) [30] | 30 | 36.5 | – |
| Poly(1,3,4-dihdroxyphenyl-L-alanine acrylamide-meso-erythritol-polycaprolactone methacrylic anhydride) [31] | – | 26.7 | 38.4 |
| Nanogel-reinforced polyacrylamide [32] | – | 74 | 78 |
| Polydopamine/Carbomethyl cellulose/Polyacrylic acid (PDA/CMC/PAA) [33] | – | 200 ± 25 | 340 ± 40 |
| Current work (PA-T1.5) | 60 | 232 | 227 |
Disclaimer/Publisher’s Note: The statements, opinions and data contained in all publications are solely those of the individual author(s) and contributor(s) and not of MDPI and/or the editor(s). MDPI and/or the editor(s) disclaim responsibility for any injury to people or property resulting from any ideas, methods, instructions or products referred to in the content. |
© 2024 by the authors. Licensee MDPI, Basel, Switzerland. This article is an open access article distributed under the terms and conditions of the Creative Commons Attribution (CC BY) license (https://creativecommons.org/licenses/by/4.0/).
Share and Cite
Mahamoud, M.M.; Ketema, T.M.; Kuwahara, Y.; Takafuji, M. Enhancement of Mechanical Properties of Benign Polyvinyl Alcohol/Agar Hydrogel by Crosslinking Tannic Acid and Applying Multiple Freeze/Thaw Cycles. Gels 2024, 10, 527. https://doi.org/10.3390/gels10080527
Mahamoud MM, Ketema TM, Kuwahara Y, Takafuji M. Enhancement of Mechanical Properties of Benign Polyvinyl Alcohol/Agar Hydrogel by Crosslinking Tannic Acid and Applying Multiple Freeze/Thaw Cycles. Gels. 2024; 10(8):527. https://doi.org/10.3390/gels10080527
Chicago/Turabian StyleMahamoud, Moustapha Mohamed, Tadesse Mekonnin Ketema, Yutaka Kuwahara, and Makoto Takafuji. 2024. "Enhancement of Mechanical Properties of Benign Polyvinyl Alcohol/Agar Hydrogel by Crosslinking Tannic Acid and Applying Multiple Freeze/Thaw Cycles" Gels 10, no. 8: 527. https://doi.org/10.3390/gels10080527
APA StyleMahamoud, M. M., Ketema, T. M., Kuwahara, Y., & Takafuji, M. (2024). Enhancement of Mechanical Properties of Benign Polyvinyl Alcohol/Agar Hydrogel by Crosslinking Tannic Acid and Applying Multiple Freeze/Thaw Cycles. Gels, 10(8), 527. https://doi.org/10.3390/gels10080527

