Boosting the Capacitance of Covalent Organic Framework Supercapacitors by Hydroquinone Redox Electrolyte Addition
Abstract
1. Introduction
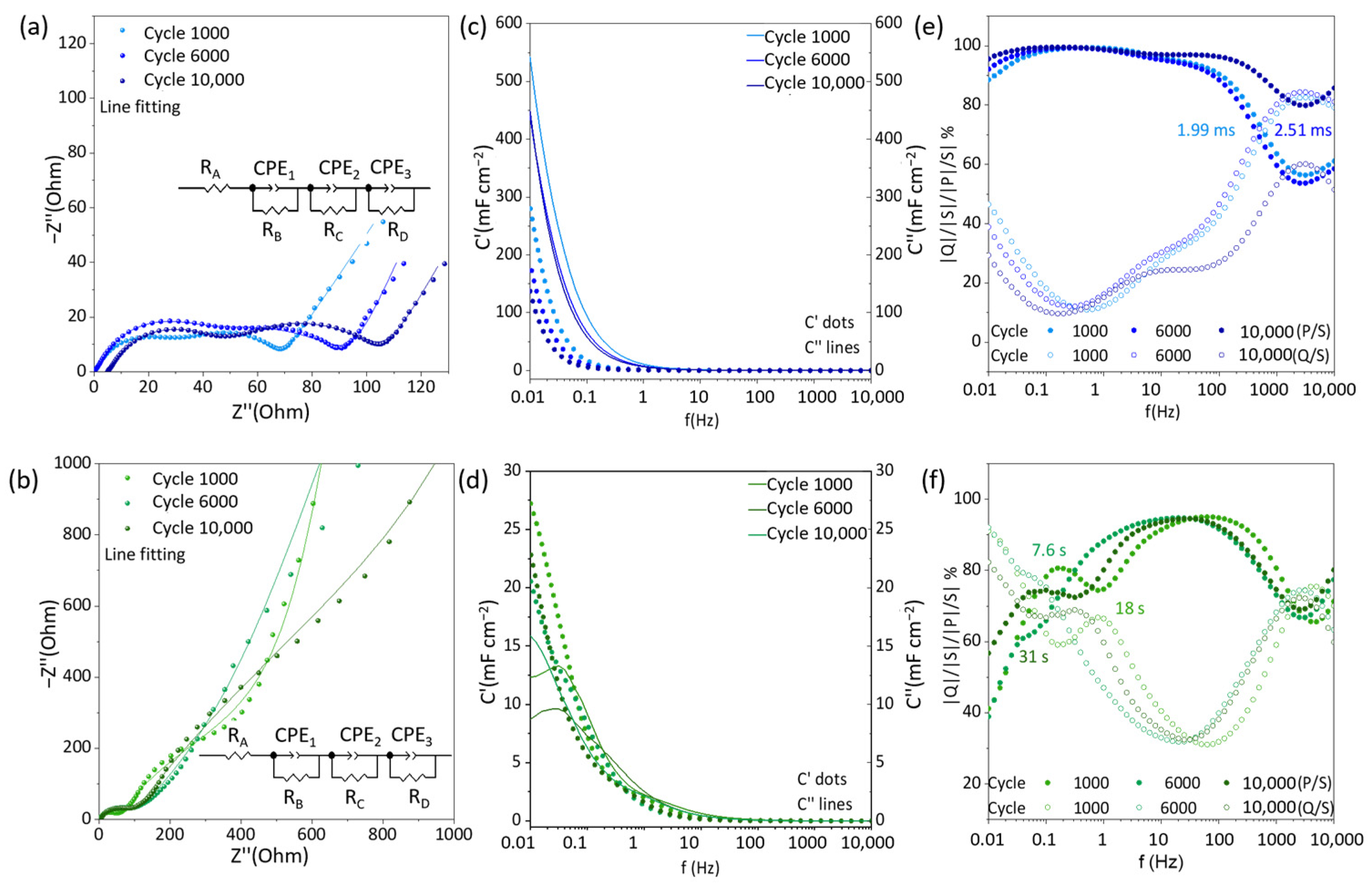
2. Results and Discussion
3. Conclusions
4. Materials and Methods
Supplementary Materials
Author Contributions
Funding
Institutional Review Board Statement
Informed Consent Statement
Data Availability Statement
Conflicts of Interest
References
- Simon, P.; Gogotsi, Y. Perspectives for electrochemical capacitors and related devices. Nat. Mater. 2020, 19, 1151–1163. [Google Scholar] [CrossRef] [PubMed]
- Fleischmann, S.; Zhang, Y.; Wang, X.; Cummings, P.T.; Wu, J.; Simon, P.; Gogotsi, Y.; Presser, V.; Augustyn, V. Continuous transition from double-layer to Faradaic charge storage in confined electrolytes. Nat. Energy 2022, 7, 222–228. [Google Scholar] [CrossRef]
- Philip, A.; Ruban Kumar, A. Recent advancements and developments employing 2D-materials in enhancing the performance of electrochemical supercapacitors: A review. Renew. Sustain. Energy Rev. 2023, 182, 113423. [Google Scholar] [CrossRef]
- Liu, L.; Taberna, P.-L.; Dunn, B.; Simon, P. Directions for Electrochemical Capacitors. ACS Energy Lett. 2021, 6, 4311–4316. [Google Scholar] [CrossRef]
- Minakshi, M.; Mujeeb, A.; Whale, J.; Evans, R.; Aughterson, R.; Shinde, P.A.; Ariga, K.; Shresthat, L.K. Synthesis of Porous Carbon Honeycomb Structures Derived from Hemp for Hybrid Supercapacitors with Improved Electrochemistry. ChemPlusChem 2024, 89, e202400408. [Google Scholar] [CrossRef]
- Singh, V.; Byon, H.R. Advances in electrochemical energy storage with covalent organic frameworks. Mater. Adv. 2021, 2, 3188–3212. [Google Scholar] [CrossRef]
- Wang, P.; Wu, Q.; Han, L.; Wang, S.; Fang, S.; Zhang, Z.; Sun, S. Synthesis of conjugated covalent organic frameworks/graphene composite for supercapacitor electrodes. RSC Adv. 2015, 5, 27290–27294. [Google Scholar] [CrossRef]
- Liu, S.; Yao, L.; Lu, Y.; Hua, X.; Liu, J.; Yang, Z.; Wei, H.; Mai, Y. All-organic covalent organic framework/polyaniline composites as stable electrode for high-performance supercapacitors. Mater. Lett. 2019, 236, 354–357. [Google Scholar] [CrossRef]
- Khayum, M.A.; Vijayakumar, V.; Karak, S.; Kandambeth, S.; Bhadra, M.; Suresh, K.; Acharambath, N.; Kurungot, S.; Banerjee, R. Convergent Covalent Organic Framework Thin Sheets as Flexible Supercapacitor Electrodes. ACS Appl. Mater. Interfaces 2018, 10, 28139–28146. [Google Scholar] [CrossRef]
- Halder, A.; Ghosh, M.; Khayum, M.A.; Bera, S.; Addicoat, M.; Sasmal, H.S.; Karak, S.; Kurungot, S.; Banerjee, R. Interlayer Hydrogen-Bonded Covalent Organic Frameworks as High-Performance Supercapacitors. J. Am. Chem. Soc. 2018, 140, 10941–10945. [Google Scholar] [CrossRef]
- DeBlase, C.R.; Silberstein, K.E.; Truong, T.T.; Abruna, H.D.; Dichtel, W.R. βeta-Ketoenamine-linked covalent organic frameworks capable of pseudocapacitive energy storage. J. Am. Chem. Soc. 2013, 135, 16821–16824. [Google Scholar] [CrossRef] [PubMed]
- Chandra, S.; Roy Chowdhury, D.; Addicoat, M.; Heine, T.; Paul, A.; Banerjee, R. Molecular Level Control of the Capacitance of Two-Dimensional Covalent Organic Frameworks: Role of Hydrogen Bonding in Energy Storage Materials. Chem. Mater. 2017, 29, 2074–2080. [Google Scholar] [CrossRef]
- Roldán, S.; Granda, M.; Menéndez, R.; Santamaría, R.; Blanco, C. Mechanisms of Energy Storage in Carbon-Based Supercapacitors Modified with a Quinoid Redox-Active Electrolyte. J. Phys. Chem. C 2011, 115, 17606–17611. [Google Scholar] [CrossRef]
- Roldán, S.; González, Z.; Blanco, C.; Granda, M.; Menéndez, R.; Santamaría, R. Redox-active electrolyte for carbon nanotube-based electric double layer capacitors. Electrochim. Acta 2011, 56, 3401–3405. [Google Scholar] [CrossRef]
- Roldán, S.; Granda, M.; Menéndez, R.; Santamaría, R.; Blanco, C.; Roldán, S. Supercapacitor modified with methylene blue as redox active electrolyte. Electrochim. Acta 2012, 83, 241–246. [Google Scholar] [CrossRef]
- Yang, N.; Yu, S.; Zhang, W.; Cheng, H.M.; Simon, P.; Jiang, X. Electrochemical Capacitors with Confined Redox Electrolytes and Porous Electrodes. Adv. Mater. 2022, 34, e2202380. [Google Scholar] [CrossRef]
- Tanahash, I. Capacitance Enhancement of Activated Carbon Fiber Cloth Electrodes in Electrochemical Capacitors with a Mixed Aqueous Solution of H2SO4 and AgNO3. Electrochem. Solid-State Lett. 2005, 8, A627–A629. [Google Scholar] [CrossRef]
- Chen, K.; Song, S.; Xue, D. An ionic aqueous pseudocapacitor system: Electroactive ions in both a salt electrode and redox electrolyte. RSC Adv. 2014, 4, 23338. [Google Scholar] [CrossRef]
- Lee, J.; Choudhury, S.; Weingarth, D.; Kim, D.; Presser, V. High Performance Hybrid Energy Storage with Potassium Ferricyanide Redox Electrolyte. ACS Appl. Mater. Interfaces 2016, 8, 23676–23687. [Google Scholar] [CrossRef]
- Lee, J.; Choudhury, S.; Weingarth, D.; Kim, D.; Presser, V. Tin/vanadium redox electrolyte for battery-like energy storage capacity combined with supercapacitor-like power handling. Energy Environ. Sci. 2016, 9, 3392–3398. [Google Scholar] [CrossRef]
- Kushwaha, R.; Haldar, S.; Shekhar, P.; Krishnan, A.; Saha, J.; Hui, P.; Prabhakaran, V.C.; Subramaniam, C.; Vaidhyanathan, R. Exceptional Capacitance Enhancement of a Non-Conducting COF through Potential-Driven Chemical Modulation by Redox Electrolyte. Adv. Energy Mater. 2021, 11, 2003626. [Google Scholar] [CrossRef]
- Karnan, M.; Hari Prakash, K.; Badhulika, S. Revealing the super capacitive performance of N-doped hierarchical porous activated carbon in aqueous, ionic liquid, and redox additive electrolytes. J. Energy Storage 2022, 53, 105189. [Google Scholar] [CrossRef]
- Xu, D.; Sun, X.N.; Hu, W.; Chen, X.Y. Carbon nanosheets-based supercapacitors: Design of dual redox additives of 1, 4-dihydroxyanthraquinone and hydroquinone for improved performance. J. Power Sources 2017, 357, 107–116. [Google Scholar] [CrossRef]
- Frackowiak, E.; Meller, M.; Menzel, J.; Gastol, D.; Fic, K. Redox-active electrolyte for supercapacitor application. Faraday Discuss. 2014, 172, 179–198. [Google Scholar] [CrossRef]
- Vonlanthen, D.; Lazarev, P.; See, K.A.; Wudl, F.; Heeger, A.J. A stable polyaniline-benzoquinone-hydroquinone supercapacitor. Adv. Mater. 2014, 26, 5095–5100. [Google Scholar] [CrossRef]
- Chen, Y.; Ma, Y.; Huang, J.; Xu, H. Fabricating dual redox electrolyte to achieve ultrahigh specific capacitance and reasonable Coulombic efficiency for biomass activated carbon. Electrochim. Acta 2022, 414, 140215. [Google Scholar] [CrossRef]
- Martin-Illan, J.A.; Sierra, L.; Ocon, P.; Zamora, F. Electrochemical Double-Layer Capacitor based on Carbon@ Covalent Organic Framework Aerogels. Angew. Chem. Int. Ed. 2022, 61, e202213106. [Google Scholar] [CrossRef]
- Zhao, Q.; Wang, X.; Wu, C.; Liu, J.; Wang, H.; Gao, J.; Zhang, Y.; Shu, H. Supercapacitive performance of hierarchical porous carbon microspheres prepared by simple one-pot method. J. Power Sources 2014, 254, 10–17. [Google Scholar] [CrossRef]
- Wu, H.; Wang, X.; Jiang, L.; Wu, C.; Zhao, Q.; Liu, X.; Hu, B.; Yi, L. The effects of electrolyte on the supercapacitive performance of activated calcium carbide-derived carbon. J. Power Sources 2013, 226, 202–209. [Google Scholar] [CrossRef]
- Zhang, X.; Wang, X.; Su, J.; Wang, X.; Jiang, L.; Wu, H.; Wu, C. The effects of surfactant template concentration on the supercapacitive behaviors of hierarchically porous carbons. J. Power Sources 2012, 199, 402–408. [Google Scholar] [CrossRef]
- Chinnathambi, S.; Euverink, G.J.W. hydrothermally reduced graphene oxide as a sensing material for electrically transduced pH sensors. J. Electroanal. Chem. 2021, 895, 115530. [Google Scholar] [CrossRef]
- Zhang, Z.J.; Deng, G.L.; Huang, X.; Wang, X.; Xue, J.M.; Chen, X.Y. Highly boosting the supercapacitor performance by polydopamine-induced surface modification of carbon materials and use of hydroquinone as an electrolyte additive. Electrochim. Acta 2020, 339, 135940. [Google Scholar] [CrossRef]
- Park, J.; Kumar, V.; Wang, X.; Lee, P.S.; Kim, W. Investigation of Charge Transfer Kinetics at Carbon/Hydroquinone Interfaces for Redox-Active-Electrolyte Supercapacitors. ACS Appl. Mater. Interfaces 2017, 9, 33728–33734. [Google Scholar] [CrossRef] [PubMed]
- Mei, B.-A.; Munteshari, O.; Lau, J.; Dunn, B.; Pilon, L. Physical Interpretations of Nyquist Plots for EDLC Electrodes and Devices. J. Phys. Chem. C 2017, 122, 194–206. [Google Scholar] [CrossRef]
- Taberna, P.L.; Simon, P.; Fauvarque, J.F. Electrochemical Characteristics and Impedance Spectroscopy Studies of Carbon-Carbon Supercapacitors. J. Electrochem. Soc. 2003, 150, A292. [Google Scholar] [CrossRef]
- Costa, J.C.M.; Nascimento, M.C.; Silva, E.C.; Pereira, B.L.; Passos, R.R.; Pocrifka, L.A. Galvanostatic synthesis of MnO2 in carbon cloth: An electrochemical impedance spectroscopy study. J. Solid. State Electrochem. 2020, 24, 1727–1733. [Google Scholar] [CrossRef]
- Jain, D.; Kanungo, J.; Tripathi, S.K. Enhanced performance of ultracapacitors using redox additive-based electrolytes. Appl. Phys. A 2018, 124, 397. [Google Scholar] [CrossRef]
- Martin-Illan, J.A.; Rodriguez-San-Miguel, D.; Castillo, O.; Beobide, G.; Perez-Carvajal, J.; Imaz, I.; Maspoch, D.; Zamora, F. Macroscopic Ultralight Aerogel Monoliths of Imine-based Covalent Organic Frameworks. Angew. Chem. Int. Ed. Engl. 2021, 60, 13969–13977. [Google Scholar] [CrossRef]
- Martin-Illan, J.A.; Suarez, J.A.; Gomez-Herrero, J.; Ares, P.; Gallego-Fuente, D.; Cheng, Y.; Zhao, D.; Maspoch, D.; Zamora, F. Ultralarge Free-Standing Imine-Based Covalent Organic Framework Membranes Fabricated via Compression. Adv. Sci. 2022, 9, e2104643. [Google Scholar] [CrossRef]






| Active Material | Electrolyte | Capacitance (mF cm−2) | Energy (µW h cm−2) | Cycling Stability | Ref. |
|---|---|---|---|---|---|
| Dq1Da1Tp COF (Anthraquinone) | PVA-H2SO4 gel electrolyte | 8.5 (0.39 mA cm−2) | 0.3 | 78% (7000) | [9] |
| Dq1Tp COF (Anthracene) | PVA-H2SO4 gel electrolyte | 12 (0.39 mA cm−2) | 0.4 | 80% (2500) | [10] |
| TpOMe-DAQ COF | PVA-H2SO4 gel electrolyte | 84 (0.25 mA cm−2) | 2.9 | 90% (10,000) | [11] |
| TpPa-(OH)2 COF | 1.0 M phosphate buffer | 98 (1.3 mA cm−2) | 19.4 | 88% (10,000) | [12] |
| TZ-BTCA-ECOF | 0.38 M HQ + 0.10 M H2SO4 | 843 (1.3 mA cm−2) | 231 | 99% (10,000) | This work |
| TZ-BTCA-ECOF | 0.38 M HQ + 0.25 M TBAPF6 | 111 (1.3 mA cm−2) | 26.2 | 61% (10,000) | This work |
Disclaimer/Publisher’s Note: The statements, opinions and data contained in all publications are solely those of the individual author(s) and contributor(s) and not of MDPI and/or the editor(s). MDPI and/or the editor(s) disclaim responsibility for any injury to people or property resulting from any ideas, methods, instructions or products referred to in the content. |
© 2024 by the authors. Licensee MDPI, Basel, Switzerland. This article is an open access article distributed under the terms and conditions of the Creative Commons Attribution (CC BY) license (https://creativecommons.org/licenses/by/4.0/).
Share and Cite
Sierra, L.; Martín-Illán, J.Á.; Zamora, F.; Ocón, P. Boosting the Capacitance of Covalent Organic Framework Supercapacitors by Hydroquinone Redox Electrolyte Addition. Gels 2024, 10, 705. https://doi.org/10.3390/gels10110705
Sierra L, Martín-Illán JÁ, Zamora F, Ocón P. Boosting the Capacitance of Covalent Organic Framework Supercapacitors by Hydroquinone Redox Electrolyte Addition. Gels. 2024; 10(11):705. https://doi.org/10.3390/gels10110705
Chicago/Turabian StyleSierra, Laura, Jesús Á. Martín-Illán, Félix Zamora, and Pilar Ocón. 2024. "Boosting the Capacitance of Covalent Organic Framework Supercapacitors by Hydroquinone Redox Electrolyte Addition" Gels 10, no. 11: 705. https://doi.org/10.3390/gels10110705
APA StyleSierra, L., Martín-Illán, J. Á., Zamora, F., & Ocón, P. (2024). Boosting the Capacitance of Covalent Organic Framework Supercapacitors by Hydroquinone Redox Electrolyte Addition. Gels, 10(11), 705. https://doi.org/10.3390/gels10110705

