Chronic Pulmonary Aspergillosis: Disease Severity Using Image Analysis and Correlation with Systemic Proinflammation and Predictors of Clinical Outcome
Abstract
1. Introduction
2. Materials and Methods
3. Results
3.1. Study Subjects
3.2. Quantitative Lung Parenchyma Analysis
3.2.1. Lung Parenchyma Analysis and Pulmonary Function Measurements
3.2.2. Lung Parenchyma Analysis and Laboratory Measurements
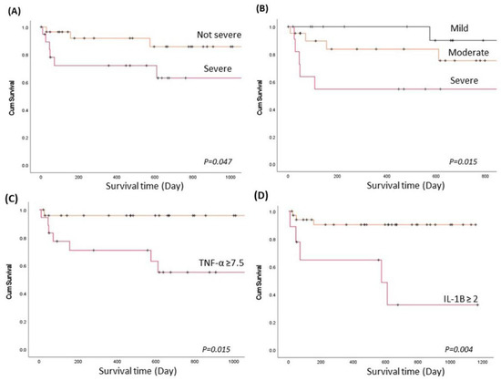
3.2.3. Lung Parenchyma Analysis and Clinical Outcomes
4. Discussion
5. Conclusions
Supplementary Materials
Author Contributions
Funding
Institutional Review Board Statement
Informed Consent Statement
Conflicts of Interest
References
- Denning, D.W.; Cadranel, J.; Beigelman-Aubry, C.; Ader, F.; Chakrabarti, A.; Blot, S.; Ullmann, A.J.; Dimopoulus, G.; Lange, C.; on behalf of the European Society for Clinical Microbiology and Infectious Diseases and European Respiratory Society. Chronic pulmonary aspergillosis: Rationale and clinical guidelines for diagnosis and management. Eur. Respir. J. 2016, 47, 45–68. [Google Scholar] [CrossRef]
- Palermo, M.; Tiralongo, F.; Distefano, G.; Vancheri, A.; Giuffre, M.; Pino, F.; Foti, P.V.; Sambataro, G.; Vancheri, C.; Palmucci, S.; et al. Quantitative evaluation of fibrosis in IPF patients: Meaning of diffuse pulmonary ossification. Diagnostics 2021, 11, 113. [Google Scholar] [CrossRef] [PubMed]
- Weatherley, N.D.; Eaden, J.A.; Stewart, N.J.; Bartholmai, B.J.; Swift, A.J.; Bianchi, S.M.; Wild, J.M. Experimental and quantitative imaging techniques in interstitial lung disease. Thorax 2019, 74, 611–619. [Google Scholar] [CrossRef]
- Uppaluri, R.; Hoffman, E.A.; Sonka, M.; Hunninghake, G.W.; McLennan, G. Interstitial lung disease: A quantitative study using the adaptive multiple feature method. Am. J. Respir. Crit. Care Med. 1999, 159, 519–525. [Google Scholar] [CrossRef] [PubMed]
- Bowman, W.S.; Echt, G.A.; Oldham, J.M. Biomarkers in progressive fibrosing interstitial lung disease: Optimizing diagnosis, prognosis, and treatment response. Front. Med. (Lausanne) 2021, 8, 680997. [Google Scholar] [CrossRef] [PubMed]
- Romani, L. Immunity to fungal infections. Nat. Rev. Immunol. 2011, 11, 275–288. [Google Scholar] [CrossRef]
- Lowes, D.; Al-Shair, K.; Newton, P.J.; Morris, J.; Harris, C.; Rautemaa-Richardson, R.; Denning, D.W. Predictors of mortality in chronic pulmonary aspergillosis. Eur. Respir. J. 2017, 49. [Google Scholar] [CrossRef]
- Setianingrum, F.; Rautemaa-Richardson, R.; Shah, R.; Denning, D.W. Clinical outcomes of patients with chronic pulmonary aspergillosis managed surgically. Eur. J. Cardiothorac. Surg. 2020, 58, 997–1003. [Google Scholar] [CrossRef]
- Naito, M.; Kurahara, Y.; Yoshida, S.; Ikegami, N.; Kobayashi, T.; Minomo, S.; Tachibana, K.; Tsuyuguchi, K.; Hayashi, S.; Suzuki, K. Prognosis of chronic pulmonary aspergillosis in patients with pulmonary non-tuberculous mycobacterial disease. Respir. Investig. 2018, 56, 326–331. [Google Scholar] [CrossRef]
- Gu, Y.; Ye, X.; Liu, Y.; Wang, Y.; Shen, K.; Zhong, J.; Chen, B.; Su, X. A risk-predictive model for invasive pulmonary aspergillosis in patients with acute exacerbation of chronic obstructive pulmonary disease. Respir. Res. 2021, 22, 176. [Google Scholar] [CrossRef]
- Bongomin, F.; Harris, C.; Hayes, G.; Kosmidis, C.; Denning, D.W. Twelve-month clinical outcomes of 206 patients with chronic pulmonary aspergillosis. PLoS ONE 2018, 13, e0193732. [Google Scholar] [CrossRef]
- Kimura, Y.; Sasaki, Y.; Suzuki, J.; Suzuki, J.; Igei, H.; Suzukawa, M.; Matsui, H. Prognostic factors of chronic pulmonary aspergillosis: A retrospective cohort of 264 patients from Japan. PLoS ONE 2021, 16, e0249455. [Google Scholar] [CrossRef] [PubMed]
- Sales-Campos, H.; Tonani, L.; Cardoso, C.R.; Kress, M.R. The immune interplay between the host and the pathogen in Aspergillus fumigatus lung infection. Biomed. Res. Int. 2013, 2013, 693023. [Google Scholar] [CrossRef] [PubMed]
- Almyroudis, N.G.; Holland, S.M.; Segal, B.H. Invasive aspergillosis in primary immunodeficiencies. Med. Mycol. 2005, 43, S247–S259. [Google Scholar] [CrossRef] [PubMed]
- Danion, F.; Dureault, A.; Gautier, C.; Senechal, A.; Persat, F.; Bougnoux, M.E.; Givel, C.; Couderc, L.-J.; Lortholary, O.; Garcia-Hermoso, D.; et al. Emergence of azole resistant-Aspergillus fumigatus infections during STAT3-deficiency. J. Med. Microbiol. 2020, 69, 844–849. [Google Scholar] [CrossRef] [PubMed]
- Danion, F.; Aimanianda, V.; Bayry, J.; Dureault, A.; Wong, S.S.W.; Bougnoux, M.E.; Tcherakian, C.; Alyanakian, M.-A.; Guegan, H.; Puel, A.; et al. Aspergillus fumigatus infection in humans with STAT3-deficiency is associated with defective interferon-gamma and th17 responses. Front. Immunol. 2020, 11, 38. [Google Scholar] [CrossRef] [PubMed]
- Bongomin, F.; Harris, C.; Foden, P.; Kosmidis, C.; Denning, D.W. Innate and adaptive immune defects in chronic pulmonary aspergillosis. J. Fungi 2017, 3, 26. [Google Scholar] [CrossRef]
- Ben-Ami, R. Angiogenesis at the mold-host interface: A potential key to understanding and treating invasive aspergillosis. Future Microbiol. 2013, 8, 1453–1462. [Google Scholar] [CrossRef]
- Feldmesser, M. Role of neutrophils in invasive aspergillosis. Infect. Immun. 2006, 74, 6514–6516. [Google Scholar] [CrossRef]
- Tochigi, N.; Ishiwatari, T.; Okubo, Y.; Ando, T.; Shinozaki, M.; Aki, K.; Gocho, K.; Hata, Y.; Murayama, S.Y.; Wakayama, M.; et al. Histological study of chronic pulmonary aspergillosis. Diagn. Pathol. 2015, 10, 153. [Google Scholar] [CrossRef]
- Jhun, B.W.; Jeon, K.; Eom, J.S.; Lee, J.H.; Suh, G.Y.; Kwon, O.J.; Koh, W.J. Clinical characteristics and treatment outcomes of chronic pulmonary aspergillosis. Med. Mycol. 2013, 51, 811–817. [Google Scholar] [CrossRef] [PubMed]
- Du, J.F.; Chi, Y.M.; Song, Z.; Di, Q.G.; Shi, J.; Lv, J.; Mai, Z.T.; Li, M.; Sun, M.M.; Jiang, M.M. Clinical efficacy of sequential therapy with voriconazole on COPD patients in acute phase with pulmonary aspergillosis and effects on cytokines and pulmonary functions. Eur. Rev. Med. Pharmacol. Sci. 2018, 22, 1837–1842. [Google Scholar] [PubMed]
- Kelleher, P.; Goodsall, A.; Mulgirigama, A.; Kunst, H.; Henderson, D.C.; Wilson, R.; Newman-Taylor, A.; Levin, M. Interferon-gamma therapy in two patients with progressive chronic pulmonary aspergillosis. Eur. Respir. J. 2006, 27, 1307–1310. [Google Scholar] [CrossRef] [PubMed]
- Zhan, M.; Xu, B.; Zhao, L.; Li, B.; Xu, L.; Sun, Q.; Zhang, J.; Zhang, Z.; Chu, H. The serum level of IL-1B correlates with the activity of chronic pulmonary Aspergillosis. Can. Respir. J. 2018, 2018, 8740491. [Google Scholar] [CrossRef]
- Huang, S.F.; Li, S.Y.; Chan, Y.J.; Huang, Y.C.; Yang, Y.Y.; Wang, F.D. Diagnostic cut-off value for Aspergillus fumigatus- and flavus-specific IgG with clinical relevance in chronic pulmonary Aspergillus infection: A pilot study in Taiwan. Mycoses 2020, 63, 1083–1093. [Google Scholar] [CrossRef] [PubMed]
- Sambatakou, H.; Pravica, V.; Hutchinson, I.V.; Denning, D.W. Cytokine profiling of pulmonary aspergillosis. Int. J. Immunogenet. 2006, 33, 297–302. [Google Scholar] [CrossRef]
- Robinet, P.; Baychelier, F.; Fontaine, T.; Picard, C.; Debre, P.; Vieillard, V.; Latge, J.-P.; Elbim, C. A polysaccharide virulence factor of a human fungal pathogen induces neutrophil apoptosis via NK cells. J. Immunol. 2014, 192, 5332–5342. [Google Scholar] [CrossRef]
- Fontaine, T.; Delangle, A.; Simenel, C.; Coddeville, B.; van Vliet, S.J.; van Kooyk, Y.; Bozza, S.; Moretti, S.; Schwarz, F.; Trichot, C.; et al. Galactosaminogalactan, a new immunosuppressive polysaccharide of Aspergillus fumigatus. PLoS Pathog. 2011, 7, e1002372. [Google Scholar] [CrossRef]
- Lee, M.J.; Liu, H.; Barker, B.M.; Snarr, B.D.; Gravelat, F.N.; Al Abdallah, Q.; Gavino, C.; Baistrocchi, S.R.; Ostapska, H.; Xiao, T.; et al. The fungal exopolysaccharide galactosaminogalactan mediates virulence by enhancing resistance to neutrophil extracellular traps. PLoS Pathog. 2015, 11, e1005187. [Google Scholar] [CrossRef]
- Gresnigt, M.S.; Bozza, S.; Becker, K.L.; Joosten, L.A.; Abdollahi-Roodsaz, S.; van der Berg, W.B.; Dinarello, C.A.; Netea, M.G.; Fontaine, T.; De Luca, A. A polysaccharide virulence factor from Aspergillus fumigatus elicits anti-inflammatory effects through induction of Interleukin-1 receptor antagonist. PLoS Pathog. 2014, 10, e1003936. [Google Scholar] [CrossRef]
- Caffrey, A.K.; Lehmann, M.M.; Zickovich, J.M.; Espinosa, V.; Shepardson, K.M.; Watschke, C.P.; Hilmer, K.M.; Thammahong, A.; Barker, B.M.; Rivera, A.; et al. IL-1alpha signaling is critical for leukocyte recruitment after pulmonary Aspergillus fumigatus challenge. PLoS Pathog. 2015, 11, e1004625. [Google Scholar] [CrossRef]
- Xu, J.; Mora, A.; Shim, H.; Stecenko, A.; Brigham, K.L.; Rojas, M. Role of the SDF-1/CXCR4 axis in the pathogenesis of lung injury and fibrosis. Am. J. Respir. Cell Mol. Biol. 2007, 37, 291–299. [Google Scholar] [CrossRef]
- Hammond, E.E.; McDonald, C.S.; Vestbo, J.; Denning, D.W. The global impact of Aspergillus infection on COPD. BMC Pulm. Med. 2020, 20, 241. [Google Scholar] [CrossRef] [PubMed]
- Zhang, Y.; Huang, C.; Song, Y.; Ma, Y.; Wan, Z.; Zhu, X.; Wang, X.; Li, R. Primary cutaneous aspergillosis in a patient with CARD9 deficiency and Aspergillus susceptibility of Card9 knockout mice. J. Clin. Immunol. 2021, 41, 427–440. [Google Scholar] [CrossRef]
- Oikonomopoulou, C.; Goussetis, E. Autosomal dominant hyper-IgE syndrome: When hematopoietic stem cell transplantation should be considered? Pediatr. Transpl. 2020, 24, e13699. [Google Scholar] [CrossRef] [PubMed]
- Drummond, R.A.; Zahra, F.T.; Natarajan, M.; Swamydas, M.; Hsu, A.P.; Wheat, L.J.; Holland, S.M.; Mikelis, C.M.; Lionakis, M.S. GM-CSF therapy in human caspase recruitment domain-containing protein 9 deficiency. J. Allergy Clin. Immunol. 2018, 142, 1334–1338. [Google Scholar] [CrossRef] [PubMed]
- Rueschenbaum, S.; Ciesek, S.; Queck, A.; Widera, M.; Schwarzkopf, K.; Brune, B.; Welsch, C.; Wedemeyer, H.; Zeuzem, S.; Weigert, A.; et al. Dysregulated adaptive immunity is an early event in liver cirrhosis preceding acute-on-chronic liver failure. Front. Immunol. 2020, 11, 534731. [Google Scholar] [CrossRef]
- Shizuma, T. Spontaneous bacterial and fungal peritonitis in patients with liver cirrhosis: A literature review. World J. Hepatol. 2018, 10, 254–266. [Google Scholar] [CrossRef]
- Barber, C.; Gold, W.L.; Fortin, P.R. Infections in the lupus patient: Perspectives on prevention. Curr. Opin. Rheumatol. 2011, 23, 358–365. [Google Scholar] [CrossRef]
- Jenks, J.D.; Cornely, O.A.; Chen, S.C.; Thompson, G.R., III; Hoenigl, M. Breakthrough invasive fungal infections: Who is at risk? Mycoses 2020, 63, 1021–1032. [Google Scholar] [CrossRef]
- Ahmad, D.S.; Esmadi, M.; Steinmann, W.C. Idiopathic CD4 Lymphocytopenia: Spectrum of opportunistic infections, malignancies, and autoimmune diseases. Avicenna J. Med. 2013, 3, 37–47. [Google Scholar]
- Takeda, K.; Imamura, Y.; Takazono, T.; Yoshida, M.; Ide, S.; Hirano, K.; Tashiro, M.; Saijo, T.; Kosai, K.; Morinaga, Y.; et al. The risk factors for developing of chronic pulmonary aspergillosis in nontuberculous mycobacteria patients and clinical characteristics and outcomes in chronic pulmonary aspergillosis patients coinfected with nontuberculous mycobacteria. Med. Mycol. 2016, 54, 120–127. [Google Scholar] [CrossRef]
- Trivedi, A.; Khan, M.A.; Bade, G.; Talwar, A. Orchestration of neutrophil extracellular traps (Nets), a unique innate immune function during Chronic Obstructive Pulmonary Disease (COPD) development. Biomedicines 2021, 9, 53. [Google Scholar] [CrossRef]
- Bruns, S.; Kniemeyer, O.; Hasenberg, M.; Aimanianda, V.; Nietzsche, S.; Thywissen, A.; Jeron, A.; Latge, J.-P.; Brakhage, A.A.; Gunzer, M. Production of extracellular traps against Aspergillus fumigatus in vitro and in infected lung tissue is dependent on invading neutrophils and influenced by hydrophobin RodA. PLoS Pathog. 2010, 6, e1000873. [Google Scholar] [CrossRef]
- Koyama, K.; Ohshima, N.; Suzuki, J.; Kawashima, M.; Okuda, K.; Sato, R.; Suzukawa, M.; Nagai, H.; Matsui, H.; Ohta, K. Evaluation of clinical characteristics and prognosis of chronic pulmonary aspergillosis depending on the underlying lung diseases: Emphysema vs. prior tuberculosis. J. Infect. Chemother. 2015, 21, 795–801. [Google Scholar] [CrossRef]
- Bandaru, A.; Devalraju, K.P.; Paidipally, P.; Dhiman, R.; Venkatasubramanian, S.; Barnes, P.F.; Vankayalapati, R.; Valluri, V. Phosphorylated STAT3 and PD-1 regulate IL-17 production and IL-23 receptor expression in Mycobacterium tuberculosis infection. Eur. J. Immunol. 2014, 44, 2013–2024. [Google Scholar] [CrossRef] [PubMed]
- Pollock, K.M.; Montamat-Sicotte, D.J.; Grass, L.; Cooke, G.S.; Kapembwa, M.S.; Kon, O.M.; Sampson, R.D.; Taylor, G.P.; Lalvani, A. PD-1 expression and cytokine secretion profiles of Mycobacterium tuberculosis-specific CD4+ T-Cell subsets; potential correlates of containment in HIV-TB Co-infection. PLoS ONE 2016, 11, e0146905. [Google Scholar] [CrossRef] [PubMed][Green Version]
- Sada-Ovalle, I.; Ocana-Guzman, R.; Perez-Patrigeon, S.; Chavez-Galan, L.; Sierra-Madero, J.; Torre-Bouscoulet, L.; Addo, M.M. Tim-3 blocking rescue macrophage and T cell function against Mycobacterium tuberculosis infection in HIV+ patients. J. Int. AIDS Soc. 2015, 18, 20078. [Google Scholar] [CrossRef]
- Colley, T.; Sehra, G.; Chowdhary, A.; Alanio, A.; Kelly, S.L.; Kizawa, Y.; Armstrong-James, D.; Fisher, M.C.; Warrilow, A.G.S.; Parker, J.E.; et al. In vitro and in vivo efficacy of a novel and long-acting fungicidal azole, PC1244, on Aspergillus fumigatus infection. Antimicrob. Agents Chemother. 2018, 62, e01941-17. [Google Scholar] [CrossRef] [PubMed]
- Karki, R.; Man, S.M.; Malireddi, R.K.S.; Gurung, P.; Vogel, P.; Lamkanfi, M.; Kanneganti, T.-D. Concerted activation of the AIM2 and NLRP3 inflammasomes orchestrates host protection against Aspergillus infection. Cell Host Microbe 2015, 17, 357–368. [Google Scholar] [CrossRef]
- Rodland, E.K.; Ueland, T.; Bjornsen, S.; Sagen, E.L.; Dahl, C.P.; Naalsund, A.; Mollnes, T.E.; Brosstad, F.R.; Muller, F.; Aukrust, P.; et al. Systemic biomarkers of inflammation and haemostasis in patients with chronic necrotizing pulmonary aspergillosis. BMC Infect. Dis. 2012, 12, 144. [Google Scholar]


| Controls | CPA Patients | ||||||
|---|---|---|---|---|---|---|---|
| Total (N = 36) | p * | Total (N = 49) | Mild (n = 15) | Moderate (n = 22) | Severe (n = 12) | p $ | |
| Sex | 0.48 | 0.1 | |||||
| Male | 16 (44.4) | 33 (68.3) | 8 (53.3) | 16 (72.7) | 9 (75.0) | ||
| Female | 20 (55.6) | 16 (33.3) | 7 (46.7) | 6 (27.3) | 3 (25.0) | ||
| Age (mean ± SD) | 67.0 ± 17.6 | 0.0002 ^ | 79.1 ± 12.1 | 79.7 ± 10.1 | 77.6 ± 13.6 | 84.4 ± 12.3 | 0.69 ^ |
| Oxygen demand | 0.001 | <0.001 | |||||
| Room air | 25 (69.4) | 21 (43.8) | 13 (86.7) | 8 (36.4) | 0 | ||
| Nasal oxygen ^ | 8 (22.2) | 12 (25.0) | 2 (13.3) | 6 (27.3) | 4 (33.3) | ||
| Respiratory failure | 3 (8.3) | 16 (33.3) | 0 | 8 (36.4) | 8 (66.7) | ||
| Smoking | 0.2 | 0.2 | |||||
| Nonsmoker | 27 (75.0) | 26 (53.1) | 10 (66.7) | 10 (45.5) | 6 (50) | ||
| Ex-smoker | 8 (22.2) | 22 (44.9) | 5 (33.3) | 11 (50.0) | 6 (50) | ||
| Current smoker | 1 (2.8) | 1 (2.0) | 0 | 1 (4.5) | 0 | ||
| Use of Bronchodilator | 0.8 | 0.6 | |||||
| No | 20 (55.6) | 25 (51.0) | 9 (64.3) | 13 (59.1) | 2 (16.7) | ||
| Yes | 16 (44.4) | 24 (49.0) | 5 (35.7) | 9 (40.9) | 10 (83.3) | ||
| Presences of CPA | 0.09 | ||||||
| Aspergilloma | NA | 4 (8.2) | 2 (13.3) | 1 (4.5) | 1 (8.3) | 0.28 | |
| Simple nodules | NA | 14 (28.6) | 5 (33.3) | 8 (36.4) | 1 (8.3) | 0.04 | |
| SIA or CNPA | NA | 19 (38.8) | 7 (46.7) | 8 (36.4) | 4 (33.3) | 0.15 | |
| CCPA | NA | 22 (44.9) | 3 (20.0) | 8 (36.4) | 11 (91.7) | 0.007 | |
| CFPA | NA | 14 (28.6) | 0 | 4 (18.2) | 10 (83.3) | <0.001 | |
| Reduced lung volume | |||||||
| Yes | 1 (2.8) | 0.015 | 13 (26.5) | 0 | 2 (13.6) | 10 (83.3) | 0.037 |
| No | 35 (97.2) | 36 (73.5) | 15 (100) | 19 (86.4) | 2 (16.7) | ||
| Comorbidities | |||||||
| Allergy & asthma | 13 (36.1) | 0.001 | 3 (6.1) | 1 (6.7) | 0 | 0 | 0.02 |
| Autoimmune | 6 (16.7) | 0.75 | 11 (22.4) | 4 (26.7) | 6 (27.3) | 1 (8.3) | 0.54 |
| COPD/emphysema | 6 (16.7) | 0.002 | 21 (42.9) | 4 (26.7) | 11 (50) | 6 (50) | 0.054 |
| Hemodialysis | 2 (5.6) | 0.3 | 2 (4.1) | 0 | 2 (9.1) | 0 | 0.35 |
| Diabetes | 11 (30.6) | 0.57 | 9 (18.4) | 1 (6.7) | 5 (22.7) | 3 (25) | 0.5 |
| Malignancy | 3 (8.3) | 0.015 | 17 (34.7) | 3 (20) | 9 (40.9) | 5 (41.7) | 0.23 |
| Previous TB | 4 (11.1) | 0.8 | 17 (34.7) | 4 (26.7) | 4 (18.2) | 4 (33.3) | 0.5 |
| Controls | CPA | ||||
|---|---|---|---|---|---|
| Visual Severity | |||||
| Total (N = 34) | Total (N = 48) | Mild (n = 15) | Moderate (n = 22) | Severe (n = 11) | |
| HAA (%) | 11.3 ± 8.5 | 12.05 ± 7.63 | 7.78 ± 3.18 | 12.7 ± 6.9 | 16.5 ± 10.4 # |
| Mean Attenuation (HU) | −737 ± 76.3 | −729 ± 69.9 | −768.8 ± 50.0 | −722.7 ± 71.1 | −688 ± 67.5 # |
| Kurtosis | 7.7 ± 4.1 | 5.7 ± 3.6 $ | 8.0 ± 2.3 | 5.5 ± 3.9 | 3.18 ± 2.37 # |
| Skewness | 2.5 ± 0.71 | 2.19 ± 0.68 $ | 2.678 ± 0.38 | 2.11 ± 0.72 | 1.72 ± 0.54 @ |
| Lung Mass (mg) | 855 ± 264.5 | 844 ± 188.9 | 918.8 ± 159 | 859.5 ± 203 | 711 ± 128 # |
| Lung volume (L) | 3.4 ± 1.24 | 3.23 ± 1.09 | 4.0 ± 0.95 | 3.17 ± 0.97 | 2.32 ± 0.70 @ |
| FVC % Predicted | FEV1% Predicted | FEV1/FVC % Actual | |||||||
|---|---|---|---|---|---|---|---|---|---|
| Beta | R2 | p | Beta | R2 | p | Beta | R2 | p | |
| HAA (%) | −3.8 | 0.25 | 0.0032 | −4.1 | 0.237 | 0.0047 | 0.1 | 0.022 | 0.42 |
| Mean of attenuation (HU) | −0.27 | 0.27 | 0.0023 | −0.25 | 0.210 | 0.0083 | 0 | 0.006 | 0.67 |
| Kurtosis | 18.4 | 0.166 | 0.0206 | 21.3 | 0.173 | 0.0181 | 2.2 | 0.023 | 0.40 |
| Skewness | 12.58 | 0.184 | 0.0142 | 13.68 | 0.200 | 0.0102 | −2 | 0.033 | 0.31 |
| Lung volume (L) | 0.019 | 0.217 | 0.0072 | 0.032 | 0.202 | 0.0099 | −0 | 0.017 | 0.48 |
| Lung Parenchyma Analysis Profiles | ||||||
|---|---|---|---|---|---|---|
| Skewness (m3 *) | Kurtosis (m3) | HAA (m3) | ||||
| aR2= 0.70, p = 0.002 | aR2= 0.503, p = 0.017 | aR2= 0.945, p = 0.013 | ||||
| Beta | p | Beta | p | Beta | p | |
| Age | −0.307 | 0.049 | −0.357 | 0.063 | 0.190 | 0.216 |
| PMN% | −0.623 | 0.005 | −0.524 | 0.037 | 0.584 | 0.009 |
| TNF-α | 0.799 | 0.005 | 0.666 | 0.038 | −0.533 | 0.044 |
| IFN-γ | −0.176 | 0.355 | ||||
| IL-1B | −0.738 | 0.005 | −0.650 | 0.034 | 0.556 | 0.027 |
| IL-8 | −0.459 | 0.021 | ||||
| SDF-1α | −0.377 | 0.025 | −0.475 | 0.038 | 0.548 | 0.002 |
| MMP1 | −0.744 | 0.002 | −0.357 | 0.063 | 0.532 | 0.011 |
| MMP8 | −0.351 | 0.057 | ||||
| Calprotectin | −0.393 | 0.047 | 0.383 | 0.025 | ||
| Control | CPA | |||||||
|---|---|---|---|---|---|---|---|---|
| RA | NO | RF | p | RA | NO | RF | p | |
| HAA (%) | 7.9 ± 5.1 | 20.0 ± 8.3 | 18.1 ± 14.3 | 0.0004 | 7.1 ± 2.7 | 11.5 ± 3.5 | 18.2 ± 10.0 | <0.0001 |
| Mean attenuation (HU) | −769 ± 48.9 | −661 ± 80.9 | −665 ± 94.3 | 0.0002 | −779 ± 41.7 | −720 ± 3.1 | −676.5 ± 79.1 | <0.0001 |
| Kurtosis | 9.6 ± 3.1 | 3.3 ± 2.1 | 2.9 ± 2.2 | <0.0001 | 8.3 ± 2.4 | 5.0 ± 3.1 | 3.2 ± 3.2 | <0.0001 |
| Skewness | 2.8 ± 0.5 | 1.7 ± 0.4 | 1.7 ± 0.5 | <0.0001 | 2.7 ± 0.3 | 2.1 ± 0.5 | 1.6 ± 0.5 | <0.0001 |
| Lung volume (L) | 3.8 ± 0.9 | 2.2 ± 1.3 | 2.8 ± 1.3 | 0.0058 | 4.1 ± 0.8 | 3.0 ± 0.7 | 2.3 ± 0.7 | <0.0001 |
Publisher’s Note: MDPI stays neutral with regard to jurisdictional claims in published maps and institutional affiliations. |
© 2021 by the authors. Licensee MDPI, Basel, Switzerland. This article is an open access article distributed under the terms and conditions of the Creative Commons Attribution (CC BY) license (https://creativecommons.org/licenses/by/4.0/).
Share and Cite
Huang, S.-F.; Huang, C.-C.; Chou, K.-T.; Chan, Y.-J.; Yang, Y.-Y.; Wang, F.-D. Chronic Pulmonary Aspergillosis: Disease Severity Using Image Analysis and Correlation with Systemic Proinflammation and Predictors of Clinical Outcome. J. Fungi 2021, 7, 842. https://doi.org/10.3390/jof7100842
Huang S-F, Huang C-C, Chou K-T, Chan Y-J, Yang Y-Y, Wang F-D. Chronic Pulmonary Aspergillosis: Disease Severity Using Image Analysis and Correlation with Systemic Proinflammation and Predictors of Clinical Outcome. Journal of Fungi. 2021; 7(10):842. https://doi.org/10.3390/jof7100842
Chicago/Turabian StyleHuang, Shiang-Fen, Chia-Chang Huang, Kun-Ta Chou, Yu-Jiun Chan, Ying-Ying Yang, and Fu-Der Wang. 2021. "Chronic Pulmonary Aspergillosis: Disease Severity Using Image Analysis and Correlation with Systemic Proinflammation and Predictors of Clinical Outcome" Journal of Fungi 7, no. 10: 842. https://doi.org/10.3390/jof7100842
APA StyleHuang, S.-F., Huang, C.-C., Chou, K.-T., Chan, Y.-J., Yang, Y.-Y., & Wang, F.-D. (2021). Chronic Pulmonary Aspergillosis: Disease Severity Using Image Analysis and Correlation with Systemic Proinflammation and Predictors of Clinical Outcome. Journal of Fungi, 7(10), 842. https://doi.org/10.3390/jof7100842

