Abstract
Fungal systemic infections are a growing global health concern, particularly among immunocompromised individuals. Candida species are the leading cause of invasive fungal infections, with C. albicans historically being the most prevalent. The emergence of C. auris, known for its multidrug resistance, presents additional challenges for treatment and infection control. This study retrospectively analyzed minimal inhibitory concentration (MIC) data for common Candida species isolated from patients in the Galveston–Houston Gulf Coast region from the EPIC Laboratory Information System (LIS) between October 2016 and September 2024. Antifungal susceptibility was assessed using the SensititreTM YeastOneTM YO9 AST Plate and interpreted per Clinical and Laboratory Standard Institute (CLSI) guidelines. A total of 1206 clinical yeast isolates from over 29 species were identified, with Candida species accounting for 94.5% (1140). C. albicans (30.7%), C. glabrata (23.5%), C. parapsilosis (12.2%), and C. tropicalis (10.4%) were the most prevalent. C. auris (6.2%) emerged in late 2021 in our region, showing high MICs against fluconazole (92%) and amphotericin B (32.2%). While C. albicans, C. parapsilosis, and C. tropicalis remained susceptible to echinocandins, fluconazole resistance showed an increasing trend. C. glabrata exhibited variable susceptibility to both echinocandins and azoles. These findings highlight the urgent need for enhanced antifungal stewardship, improved diagnostics, and novel therapeutic strategies. Continued regional surveillance and targeted interventions are essential to mitigating the impact of antifungal resistance.
1. Introduction
Invasive fungal infections have become a significant challenge in healthcare, particularly among hospitalized and immunocompromised patients []. Candida species are among the leading causes of bloodstream infections (candidemia), endocarditis, and other systemic complications [,]. While C. albicans has historically been the most prevalent species [,], the incidence of non-albicans Candida species, such as C. glabrata, C. parapsilosis, and C. tropicalis has risen, often exhibiting reduced susceptibility to antifungal agents [,].
The emergence of C. auris has further intensified these concerns regarding antifungal resistance []. First identified in 2009, C. auris is particularly worrisome due to its multidrug resistance, high transmissibility in healthcare settings, and environmental persistence [,]. Global outbreaks have been reported, with some isolates displaying resistance to all three major antifungal classes—azoles, echinocandins, and polyenes—leading to limited treatment options and increased risk of therapeutic failures [].
Echinocandins remain the first-line treatment for candidemia and other invasive Candida infections due to their fungicidal activity and favorable safety profile []. While most C. albicans, C. parapsilosis, and C. tropicalis isolates remain susceptible, echinocandin resistance has been increasingly reported in C. glabrata and C. auris, particularly in patients with prior echinocandin exposure. Resistance in C. glabrata is primarily driven by FKS1 and FKS2 mutations, which alter drug targets and reduce susceptibility [,]. Similarly, C. auris isolates with FKS1 mutations have demonstrated reduced echinocandin susceptibility, raising concerns about treatment limitations [].
Given these challenges, continuous surveillance of antifungal resistance patterns is crucial for guiding clinical decision-making, optimizing treatment strategies, and strengthening antifungal stewardship programs. Understanding local resistance trends can also help inform infection control measures to curb the spread of resistant strains. This study analyzed antifungal resistance trends among common Candida species isolated from our patient population in the Galveston–Houston Gulf Coast area over an eight-year period, with a particular focus on the emergence of C. auris.
2. Materials and Methods
This retrospective study examined antifungal susceptibility data from clinical Candida isolates collected between October 2016 and September 2024 in the Galveston–Houston Gulf Coast region. Isolates were obtained from blood, tissues, and sterile body fluids, etc. Minimum inhibitory concentrations (MICs) for fluconazole, voriconazole, anidulafungin, caspofungin, and micafungin were retrieved from the EPIC Laboratory Information System (LIS). Antifungal susceptibility testing was performed using the SensititreTM YeastOneTM YO9 AST Plate (ThermoFisher Scientific, Waltham, MA, USA), with resistance breakpoints applied according to the Clinical and Laboratory Standards Institute (CLSI) guidelines [,,]. In instances where no breakpoints have been established, epidemiological cutoff value (ECV) were used to find upper limit of the wild type (UL-WT) values [], which help to count non-wild-type isolates. Resistance rates were calculated, stratified by species and antifungal class, and analyzed for temporal trends using Excel for Microsoft 365 (https://www.microsoft.com accessed on 25 February 2025) and RStudio Version 2024.04.1+748 (https://www.rstudio.com accessed on 16 March 2025). Statistical analysis included linear regression models to evaluate resistance trends over time. The t-test was used to determine the p-value, and <0.05 considered statistically significant.
3. Results
A total of 1206 clinical yeast isolates representing over 29 species were included in this study (Supplement Table S1). Candida species accounted for 94.5% (1140) of the isolates, with C. albicans (370, 30.7%), C. glabrata (283, 23.5%), C. parapsilosis (147, 12.2%), and C. tropicalis (125, 10.4%) being the most prevalent. C. auris (75 isolates, 6.2%) was identified starting from the fourth quarter of 2021 in our region.
Over the eight-year study period, antifungal susceptibility testing volumes increased significantly (p < 0.0001) (Figure 1), driven primarily by the rising number of C. albicans (p = 0.0121), C. auris (p = 0.0007), and C. glabrata (p = 0.0014) isolates (Figure 2). While C. albicans, C. parapsilosis, and C. tropicalis remained consistently susceptible to echinocandins, fluconazole resistance showed a gradual but nonsignificant increase (Figure 3, Figure 4 and Figure 5). C. glabrata exhibited greater fluctuations in echinocandin susceptibility, with no clear trend observed (Figure 6). The distribution of fluconazole susceptible-dose dependent (SSD) vs. resistant C. glabrata isolates was approximately 6:1. According to CLSI guidelines, current data are insufficient to establish a correlation between in vitro susceptibility testing and clinical outcomes for C. glabrata and voriconazole. Slightly more than half of C. glabrata isolates in our population had MIC values exceeding the ECV of 0.25 µg/mL for voriconazole (Figure 6D).

Figure 1.
A linear regression model showed a significant increase in fungal cases from quarter 4 (Q4) of 2016 to quarter 3 (Q3) of 2024 (p < 0.0001). Q: quarter.

Figure 2.
Linear regression models separated by each Candida species. There were significant increases in cases of C. albicans (p = 0.0121), C. auris (p = 0.0007), and C. glabrata (p = 0.0014) over the eight years of the study period. Q: quarter.

Figure 3.
Percentage of non-susceptible occurrences over time for each antifungal drug in treating Candida albicans with results of a linear regression model. Throughout the eight-year study period, C. albicans maintained a consistent susceptibility profile, with sustained effectiveness against echinocandins (A–C), as indicated by low MICs. However, a gradual increase in fluconazole resistance was observed, though this trend did not reach statistical significance (p = 0.383) (D). Voriconazole remained largely effective, with only occasional isolates exhibiting slightly elevated MIC values (p = 0.704) (E). Q: quarter.

Figure 4.
Percentage of non-susceptible occurrences over time for each antifungal drug in treating Candida parapsilosis with results of a linear regression model. C. parapsilosis remained largely susceptible to echinocandins (A–C). Although the increase in fluconazole and voriconazole resistances were not statistically significant (p = 0.346 and p = 0.074, respectively), a gradual upward trend was observed (D,E). Q: quarter.

Figure 5.
Percentage of non-susceptible occurrences over time for each antifungal drug in treating Candida tropicalis with results of a linear regression model. C. tropicalis remained largely susceptible to echinocandins with sporadic resistant isolates (A–C). More fluctuating susceptibility to fluconazole and voriconazole were observed with demonstrated elevated MIC values (D,E). Q: quarter.

Figure 6.
Percentage of non-susceptible occurrences over time for each antifungal drug in treating Candida glabrata with results of a linear regression model. Echinocandins remained largely effective against C. glabrata, though fluctuations in susceptibility were noted over time (A–C). 47.7% (135/283) of C. glabrata isolates had MIC values below epidemiological cutoff value (ECV, red solid line) of 0.25 µg/mL, while the majority exhibited elevated MICs (D). Q: quarter.
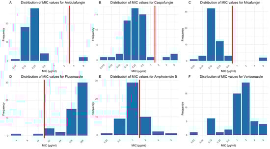
Since there are no CLSI MIC interpretation guidelines for C. auris against various antifungal agents, the Centers for Disease Control and Prevention (CDC)’s tentative MIC breakpoints (CDC-BP) were used for fluconazole, anidulafungin, caspofungin, and amphotericin B (https://www.cdc.gov/candida-auris/hcp/laboratories/antifungal-susceptibility-testing.html accessed on 18 February 2025). The ECV was used for micafungin. Among C. auris isolates, 92% (69/75) had MIC values ≥ 32 µg/mL for fluconazole (Figure 7D), and 32.2% (19/75) had MIC values ≥ 2 µg/mL for amphotericin B (Figure 7E). Three isolates (4%) exceeded the CDC-BP for anidulafungin (MIC ≥ 4 µg/mL) (Figure 7A), while 4 isolates (5%) had MIC values above the CDC-BP for caspofungin (≥2 µg/mL) (Figure 7B). Additionally, 3 isolates (4%) had MIC values higher than the ECV (0.5 µg/mL) for micafungin (Figure 7C). There are no established CDC-BP or ECV for voriconazole; therefore, only the MIC distribution is illustrated (Figure 7F).

Figure 7.
Distribution of MIC values for Candida auris when treated with various antifungals. C. auris demonstrated high MIC values against fluconazole (69/75 isolates, 92%, MIC ≥ 32 µg/mL) followed by amphotericin B (19/75 isolates, 32.2%, MIC ≥ 2 µg/mL) (D,E). Fewer isolates displayed elevated MICs for other antifungals (A–C). Red solid lines are the CDC’s tentative breakpoints (CDC-BP) for anidulafungin, caspofungin, fluconazole, and amphotericin B, as well as the ECV for micafungin. No CDC-BP or ECV for voriconazole is available (F).
4. Discussion
This study showed a significant increase in antifungal susceptibility testing volumes over the 8-year study period, reflecting the growing clinical burden of Candida species. The potential rise in drug resistance emphasizes the need for continued regional surveillance to track resistance trends. While most Candida species remained susceptible to echinocandins, the increasing fluconazole resistance observed in C. albicans, C. parapsilosis, and C. tropicalis, as well as the newly emerged C. auris in our region aligns with CDC reports about 7% of all Candida blood samples being resistant to fluconazole []. Fluconazole resistance in C. albicans has also been reported in a university vaginitis referral clinic, with a rising trend observed over a 10-year collection period []. Additionally, since 2018, severe outbreaks caused by fluconazole-resistant C. parapsilosis strains have been documented worldwide [,]. Similarly, high rates of fluconazole-resistant C. tropicalis have been reported in both candiduria and invasive infections [,]. C. glabrata exhibited greater variability in susceptibility to both azoles and echinocandins, reinforcing the need for individualized susceptibility testing to guide optimal antifungal therapy.
The emergence of C. auris showed high resistance rates to fluconazole (92% of isolates with MIC ≥ 32) and amphotericin B (32.2% of isolates with MIC ≥ 2). Although these resistance rates were lower than those reported in the New York–New Jersy region [], they still represent a major clinical concern. As a key driver of multidrug resistance, C. auris necessitates enhanced infection control measures, including environmental decontamination and contact precautions, as well as robust antifungal stewardship programs [].
To address these challenges, future efforts should prioritize the development of novel antifungal agents and the integration of advanced diagnostic technologies, such as next-generation sequencing (NGS), to enable rapid identification and susceptibility profiling. Matrix-Assisted Laser Desorption/Ionization Time-of-Flight Mass Spectrometry (MALDI-TOF MS) and NGS-based approaches can significantly improve early detection and guide more effective treatment strategies [,]. Additionally, optimized antifungal use through a stewardship program is essential to mitigate resistance development, while empirical therapy should be guided by local susceptibility data. Future research should also explore adjunctive therapies, such as immunomodulators, to combat antifungal resistance. Expanding regional and global surveillance efforts will be vital for tracking emerging resistance patterns and informing policy decisions to combat the growing threat of multidrug-resistant Candida species.
This study has several limitations. First, as a retrospective analysis conducted at a single healthcare system in the Galveston–Houston Gulf Coast region, the findings may not be fully generalizable to other geographic areas. Second, the absence of MIC interpretation guidelines for C. glabata and C. auris with voriconazole required the use of ECV, which may not fully capture clinical resistance. Third, the study relied on data from the EPIC LIS, which may be subject to variation in testing practices over the eight-year period. Additionally, clinical outcomes and patient-specific factors were not assessed, limiting the ability to correlate resistance patterns with treatment efficacy. Despite these limitations, the study provides valuable insights into evolving antifungal resistance trends and highlights the need for continued surveillance and targeted intervention.
5. Conclusions
This eight-year retrospective study provides critical insights into evolving antifungal resistance patterns among Candida species in the Galveston–Houston Gulf Coast region. While C. albicans, C. parapsilosis, and C. tropicalis remained largely susceptible to echinocandins, increasing fluconazole resistance warrants continued surveillance. C. glabrata exhibited significant variability in susceptibility, reinforcing the need for individualized testing and treatment strategies. Most concerningly, C. auris emerged as a highly multidrug-resistant pathogen, with substantial resistance to fluconazole and amphotericin B.
These findings emphasize the urgent need for enhanced antifungal stewardship, improved diagnostics, and robust infection control measures. Expanding regional and global surveillance efforts and developing novel antifungal agents are crucial to addressing the challenges posed by multidrug-resistant fungi. An integrated approach combining surveillance, stewardship, and innovation is essential to mitigate the public health impact of antifungal resistance and improve patient outcomes.
Supplementary Materials
The following supporting information can be downloaded at: https://www.mdpi.com/article/10.3390/jof11030232/s1, Table S1: List of yeasts with susceptibility data for the period of October 2016 to September 2024.
Author Contributions
Conceptualization, P.R.; methodology, M.D.N. and P.R.; software, M.D.N.; validation, M.D.N. and P.R.; formal analysis, M.D.N. and P.R.; investigation, M.D.N. and P.R.; resources, P.R.; data curation, M.D.N.; writing—original draft preparation, M.D.N. and P.R.; writing—review and editing, M.D.N. and P.R.; supervision, P.R.; project administration, P.R. All authors have read and agreed to the published version of the manuscript.
Funding
This research received no external funding.
Institutional Review Board Statement
The study was conducted in accordance with the Declaration of Helsinki and approved by the Institutional Review Board of the University of Texas Medical Branch (protocol code: 25-0046).
Informed Consent Statement
Patient consent was waived in accordance with 45 CFR 46.116(d), permitting broad consent to be obtained in lieu of informed consent with respect to the storage, maintenance, and secondary research uses of identifiable private information and identifiable biospecimens.
Data Availability Statement
The original contributions presented in the study are included in the article. Further inquiries can be directed to the corresponding author.
Conflicts of Interest
The authors declare no conflicts of interest.
References
- Low, C.-Y.; Rotstein, C. Emerging fungal infections in immunocompromised patients. F1000 Med. Rep. 2011, 3, 14. [Google Scholar] [CrossRef] [PubMed]
- Mora Carpio, A.L.; Climaco, A. Candidemia. In StatPearls; StatPearls Publishing: Treasure Island, FL, USA, 2025. [Google Scholar]
- Jamil, Y.; Akinleye, A.; Mirzaei, M.; Lempel, M.; Farhat, K.; Pan, S. Candida endocarditis: Update on management considerations. World J. Cardiol. 2023, 15, 469–478. [Google Scholar] [CrossRef]
- Lockhart, S.R. Current epidemiology of candida infection. Clin. Microbiol. Newsl. 2014, 36, 131–136. [Google Scholar] [CrossRef]
- Pappas, P.G.; Lionakis, M.S.; Arendrup, M.C.; Ostrosky-Zeichner, L.; Kullberg, B.J. Invasive candidiasis. Nat. Rev. Dis. Primers 2018, 4, 18026. [Google Scholar] [CrossRef] [PubMed]
- Silva, S.; Negri, M.; Henriques, M.; Oliveira, R.; Williams, D.W.; Azeredo, J. Candida glabrata, Candida parapsilosis and Candida tropicalis: Biology, epidemiology, pathogenicity and antifungal resistance. FEMS Microbiol. Rev. 2012, 36, 288–305. [Google Scholar] [CrossRef]
- Deorukhkar, S.C.; Saini, S.; Mathew, S. Non-albicans Candida Infection: An Emerging Threat. Interdiscip. Perspect. Infect. Dis. 2014, 2014, 615958. [Google Scholar] [CrossRef]
- Sikora, A.; Hashmi, M.F.; Zahra, F. Candida auris. In StatPearls; StatPearls Publishing: Treasure Island, FL, USA, 2025. [Google Scholar]
- Hayes, J.F. Candida auris: Epidemiology Update and a Review of Strategies to Prevent Spread. J. Clin. Med. 2024, 13, 6675. [Google Scholar] [CrossRef]
- Forsberg, K.; Woodworth, K.; Walters, M.; Berkow, E.L.; Jackson, B.; Chiller, T.; Vallabhaneni, S. Candida auris: The recent emergence of a multidrug-resistant fungal pathogen. Med. Mycol. 2019, 57, 1–12. [Google Scholar] [CrossRef] [PubMed]
- Sanyaolu, A.; Okorie, C.; Marinkovic, A.; Abbasi, A.F.; Prakash, S.; Mangat, J.; Hosein, Z.; Haider, N.; Chan, J. Candida auris: An Overview of the Emerging Drug-Resistant Fungal Infection. Infect. Chemother. 2022, 54, 236–246. [Google Scholar] [CrossRef]
- Bienvenu, A.-L.; Pradat, P.; Guerin, C.; Aubrun, F.; Fellahi, J.-L.; Friggeri, A.; Guichon, C.; Hernu, R.; Menotti, J.; Monard, C.; et al. Evaluation of first-line therapies for the treatment of candidemia in ICU patients: A propensity score analysis. Int. J. Infect. Dis. 2020, 93, 15–21. [Google Scholar] [CrossRef]
- Alexander, B.D.; Johnson, M.D.; Pfeiffer, C.D.; Jiménez-Ortigosa, C.; Catania, J.; Booker, R.; Castanheira, M.; Messer, S.A.; Perlin, D.S.; Pfaller, M.A. Increasing echinocandin resistance in Candida glabrata: Clinical failure correlates with presence of FKS mutations and elevated minimum inhibitory concentrations. Clin. Infect. Dis. 2013, 56, 1724–1732. [Google Scholar] [CrossRef] [PubMed]
- Aldejohann, A.M.; Herz, M.; Martin, R.; Walther, G.; Kurzai, O. Emergence of resistant Candida glabrata in Germany. JAC Antimicrob. Resist. 2021, 3, dlab122. [Google Scholar] [CrossRef] [PubMed]
- Sharma, D.; Paul, R.A.; Rudramurthy, S.M.; Kashyap, N.; Bhattacharya, S.; Soman, R.; Shankarnarayan, S.A.; Chavan, D.; Singh, S.; Das, P.; et al. Impact of FKS1 Genotype on Echinocandin In Vitro Susceptibility in Candida auris and In Vivo Response in a Murine Model of Infection. Antimicrob. Agents Chemother. 2022, 66, e0165221. [Google Scholar] [CrossRef]
- CLSI. Reference Method for Broth Dilution Antifungal Susceptibility Testing of Yeasts; Fourth Informational Supplement. CLSI Guideline M27-S4 2012. Available online: https://webstore.ansi.org/standards/clsi/clsim27s4?srsltid=AfmBOorXfW5_ngh6gbIMm1__fmnJSAOy7uKEagcWIeaOXTgtuq4fvpfa (accessed on 7 August 2024).
- CLSI. Performance Standards for Antifungal Susceptibility Testing of Yeasts, 4th ed. CLSI Guideline M27. 2017. Available online: https://clsi.org/standards/products/microbiology/documents/m27/ (accessed on 7 August 2024).
- CLSI. Performance Standards for Antifungal Susceptibility Testing of Yeasts, 3rd ed. CLSI Guideline M27M44S. 2022. Available online: https://clsi.org/standards/products/microbiology/documents/m27m44s/ (accessed on 7 August 2024).
- CLSI. Epidemiological Cutoff Values for Antifungal Susceptibility Testing, 4th ed. CLSI Guideline M57S. 2022. Available online: https://clsi.org/media/tbvf5qr2/m57sed4e_sample.pdf (accessed on 7 August 2024).
- Toda, M.; Williams, S.R.; Berkow, E.L.; Farley, M.M.; Harrison, L.H.; Bonner, L.; Marceaux, K.M.; Hollick, R.; Zhang, A.Y.; Schaffner, W.; et al. Population-Based Active Surveillance for Culture-Confirmed Candidemia-Four Sites, United States, 2012-2016. MMWR Surveill. Summ. 2019, 68, 1–15. [Google Scholar] [CrossRef] [PubMed]
- Sobel, J.D. Resistance to Fluconazole of Candida albicans in Vaginal Isolates: A 10-Year Study in a Clinical Referral Center. Antimicrob. Agents Chemother. 2023, 67, e0018123. [Google Scholar] [CrossRef]
- Arastehfar, A.; Daneshnia, F.; Hilmioğlu-Polat, S.; Fang, W.; Yaşar, M.; Polat, F.; Metin, D.Y.; Rigole, P.; Coenye, T.; Ilkit, M.; et al. First Report of Candidemia Clonal Outbreak Caused by Emerging Fluconazole-Resistant Candida parapsilosis Isolates Harboring Y132F and/or Y132F+K143R in Turkey. Antimicrob. Agents Chemother. 2020, 64, e01001-20. [Google Scholar] [CrossRef]
- Thomaz, D.Y.; de Almeida, J.N.; Sejas, O.N.E.; Del Negro, G.M.B.; Carvalho, G.O.M.H.; Gimenes, V.M.F.; de Souza, M.E.B.; Arastehfar, A.; Camargo, C.H.; Motta, A.L.; et al. Environmental Clonal Spread of Azole-Resistant Candida parapsilosis with Erg11-Y132F Mutation Causing a Large Candidemia Outbreak in a Brazilian Cancer Referral Center. J. Fungi 2021, 7, 259. [Google Scholar] [CrossRef]
- Fan, X.; Tsui, C.K.M.; Chen, X.; Wang, P.; Liu, Z.-J.; Yang, C.-X. High prevalence of fluconazole resistant Candida tropicalis among candiduria samples in China: An ignored matter of concern. Front. Microbiol. 2023, 14, 1125241. [Google Scholar] [CrossRef]
- Favarello, L.M.; Nucci, M.; Queiroz-Telles, F.; Guimarães, T.; Salles, M.J.; Sukiennik, T.C.T.; da Matta, D.A.; Melo, A.S.A.; Colombo, A.L. Trends towards lower azole susceptibility among 200 Candida tropicalis bloodstream isolates from Brazilian medical centres. J. Glob. Antimicrob. Resist. 2021, 25, 199–201. [Google Scholar] [CrossRef]
- Kilburn, S.; Innes, G.; Quinn, M.; Southwick, K.; Ostrowsky, B.; Greenko, J.A.; Lutterloh, E.; Greeley, R.; Magleby, R.; Chaturvedi, V.; et al. Antifungal Resistance Trends of Candida auris Clinical Isolates in New York and New Jersey from 2016 to 2020. Antimicrob. Agents Chemother. 2022, 66, e0224221. [Google Scholar] [CrossRef]
- Cerqueira, F.M.; Bertsch, J.; DeMaet, M.A.; York, T.; McDougal, A.; Patel, J.A.; Ren, P. Enhancing Candida auris Surveillance in High-Risk Settings by Implementing a High-Throughput Molecular Assay on the Hologic Fusion Open Access Platform. J. Fungi 2024, 10, 285. [Google Scholar] [CrossRef] [PubMed]
- Calderaro, A.; Chezzi, C. MALDI-TOF MS: A Reliable Tool in the Real Life of the Clinical Microbiology Laboratory. Microorganisms 2024, 12, 322. [Google Scholar] [CrossRef] [PubMed]
- Satam, H.; Joshi, K.; Mangrolia, U.; Waghoo, S.; Zaidi, G.; Rawool, S.; Thakare, R.P.; Banday, S.; Mishra, A.K.; Das, G.; et al. Next-Generation Sequencing Technology: Current Trends and Advancements. Biology 2023, 12, 997. [Google Scholar] [CrossRef] [PubMed]
Disclaimer/Publisher’s Note: The statements, opinions and data contained in all publications are solely those of the individual author(s) and contributor(s) and not of MDPI and/or the editor(s). MDPI and/or the editor(s) disclaim responsibility for any injury to people or property resulting from any ideas, methods, instructions or products referred to in the content. |
© 2025 by the authors. Licensee MDPI, Basel, Switzerland. This article is an open access article distributed under the terms and conditions of the Creative Commons Attribution (CC BY) license (https://creativecommons.org/licenses/by/4.0/).