Differences in Metabolic Characteristics of Rhizosphere Fungal Community of Typical Arboreal, Shrubby and Herbaceous Species in Oasis of Arid Region
Abstract
1. Introduction
2. Study Area and Research Methodology
2.1. Overview of the Study Area
2.2. Experimental Sample Collection
2.3. Indicator Measurement
2.4. Data Analysis
3. Results and Analysis
3.1. Soil Physicochemical Properties among Different Plant Life Forms
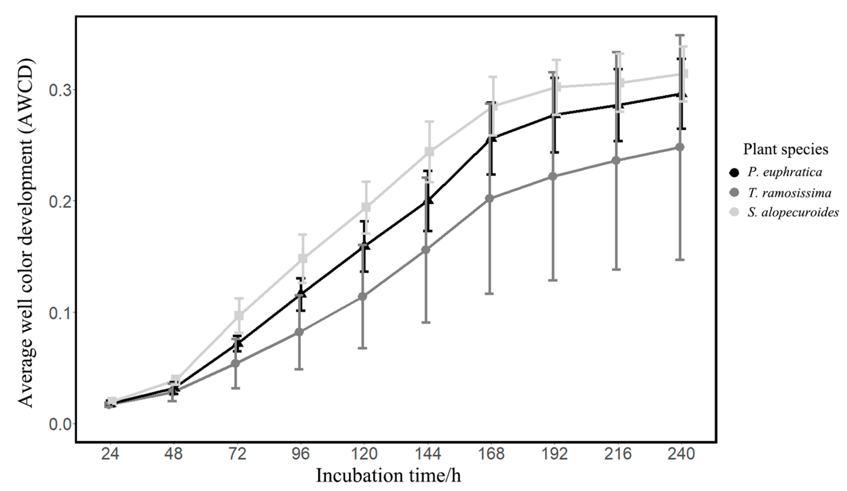
3.2. Carbon Metabolic Characteristics of Rhizosphere Fungal Communities among Different Plant Life Forms
3.3. Relationships between Carbon Metabolic Characteristics of Rhizosphere Fungal Communities and Soil Properties among Different Plant Life Forms
4. Discussion
4.1. Differences in Soil Properties of Different Plant Life Forms
4.2. Differences in Carbon Metabolic Characteristics of Rhizosphere Fungal Community among Different Plant Life Forms
4.3. Relationships between Carbon Metabolic Characteristics of Rhizosphere Fungal Community and Soil Properties among Different Plant Life Forms
5. Conclusions
Author Contributions
Funding
Institutional Review Board Statement
Informed Consent Statement
Data Availability Statement
Conflicts of Interest
References
- Soudzilovskaia, N.A.; Vaessen, S.; Barcelo, M.; He, J.; Rahimlou, S.; Abarenkov, K.; Brundrett, M.C.; Gomes, S.I.; Merckx, V.; Tedersoo, L. FungalRoot: Global online database of plant mycorrhizal associations. New Phytol. 2020, 227, 955–966. [Google Scholar] [CrossRef] [PubMed]
- Pawłowska, J.; Okrasińska, A.; Kisło, K.; Aleksandrzak-Piekarczyk, T.; Szatraj, K.; Dolatabadi, S.; Muszewska, A. Carbon assimilation profiles of mucoralean fungi show their metabolic versatility. Sci. Rep. 2019, 9, 11864. [Google Scholar] [CrossRef] [PubMed]
- Zanne, A.E.; Abarenkov, K.; Afkhami, M.E.; Aguilar-Trigueros, C.A.; Bates, S.; Bhatnagar, J.M.; Busby, P.E.; Christian, N.; Cornwell, W.K.; Crowther, T.W.; et al. Fungal functional ecology: Bringing a trait-based approach to plant-associated fungi. Biol. Rev. 2020, 95, 409–433. [Google Scholar] [CrossRef] [PubMed]
- Naranjo-Ortiz, M.A.; Gabaldón, T. Fungal evolution: Major ecological adaptations and evolutionary transitions. Biol. Rev. 2019, 94, 1443–1476. [Google Scholar] [CrossRef] [PubMed]
- Singh, M.P. Application of Biolog FF MicroPlate for substrate utilization and metabolite profiling of closely related fungi. J. Microbiol. Methods 2009, 77, 102–108. [Google Scholar] [CrossRef] [PubMed]
- Semchenko, M.; Leff, J.W.; Lozano, Y.M.; Saar, S.; Davison, J.; Wilkinson, A.; Jackson, B.G.; Pritchard, W.J.; De Long, J.R.; Oakley, S.; et al. Fungal diversity regulates plant-soil feedbacks in temperate grassland. Sci. Adv. 2018, 4, eaau4578. [Google Scholar] [CrossRef] [PubMed]
- Yang, Y.; Dou, Y.; Huang, Y.; An, S. Links between Soil Fungal Diversity and Plant and Soil Properties on the Loess Plateau. Front. Microbiol. 2017, 8, 2198. [Google Scholar] [CrossRef] [PubMed]
- Li, S.; Zhang, Z.; Wang, T.; Yan, C.; Du, H. Oasis Functional Stability Evaluation Based on Multiple Indicators, Northwest China. Acta Geol. Sin. 2020, 94, 624–636. [Google Scholar] [CrossRef]
- Shi, X.; Jiang, X.; Liu, Y.; Wu, Q.; Zhang, Y.; Li, X. Evaluation of the Evolution of the Ecological Security of Oases in Arid Regions and Its Driving Forces: A Case Study of Ejina Oasis in China. Sustainability 2024, 16, 1942. [Google Scholar] [CrossRef]
- Yu, J.; Wang, P. Relationship between Water and Vegetation in the Ejina Delta. Agric. Water Ecol. 2012, 26, 68–75. [Google Scholar]
- Zhu, J.; Yu, J.; Wang, P.; Yu, Q.; Eamus, D. Variability in groundwater depth and composition and their impacts on vegetation succession in the lower Heihe River Basin, north-western China. Mar. Freshw. Res. 2014, 65, 206–217. [Google Scholar] [CrossRef]
- Li, X.; Li, Y.; Zhang, G.; Wang, L.; Yoshikawa, K. Regeneration properties of a Populus euphratica riparian forest located in the vicinity of the Ejina Oasis, Inner Mongolia, China. Landsc. Ecol. Eng. 2017, 13, 71–79. [Google Scholar] [CrossRef][Green Version]
- Zhao, J.; Shi, C.; Wang, D.; Zhu, Y.; Liu, J.; Li, H.; Yang, X. Sand Burial, Rather than Salinity or Drought, Is the Main Stress That Limits the Germination Ability of Sophora alopecuroides L. Seed in the Desert Steppe of Yanchi, Ningxia, China. Plants 2023, 12, 2766. [Google Scholar] [CrossRef]
- Ju, M.; Zhang, Q.; Wang, R.; Yan, S.; Li, Z.; Li, P.; Gu, P. Correlation in endophytic fungi community diversity and bioactive compounds of Sophora alopecuroides. Front. Microbiol. 2022, 13, 955647. [Google Scholar] [CrossRef] [PubMed]
- Bing, L.; Wenzhi, Z.; Rong, Y. Characteristics and spatial heterogeneity of Tamarix ramosissima Nebkhas in desert-oasis ecotones. Acta Ecol. Sin. 2008, 28, 1446–1455. [Google Scholar] [CrossRef]
- Yusup, A.; Halik, Ü.; Abliz, A.; Aishan, T.; Keyimu, M.; Wei, J. Population Structure and Spatial Distribution Pattern of Populus euphratica Riparian Forest Under Environmental Heterogeneity Along the Tarim River, Northwest China. Front. Plant. Sci. 2022, 13, 844819. [Google Scholar] [CrossRef]
- Zhao, P.; Qu, J.; Xu, X.; Yu, Q.; Jiang, S.; Zhao, H. Desert vegetation distribution and species-environment relationships in an oasis-desert ecotone of northwestern China. J. Arid Land 2019, 11, 461–476. [Google Scholar] [CrossRef]
- Cao, L.; Nie, Z.; Liu, M.; Wang, L.; Wang, J.; Wang, Q. The Ecological Relationship of Groundwater–Soil–Vegetation in the Oasis–Desert Transition Zone of the Shiyang River Basin. Water 2021, 13, 1642. [Google Scholar] [CrossRef]
- Shi, H.; Shi, Q.; Zhou, X.; Imin, B.; Li, H.; Zhang, W.; Kahaer, Y. Effect of the competition mechanism of between co-dominant species on the ecological characteristics of Populus euphratica under a water gradient in a desert oasis. Glob. Ecol. Conserv. 2021, 27, e01611. [Google Scholar] [CrossRef]
- Zhang, J.; Wang, X.J.; Wang, J.P.; Wang, W.X. Carbon and Nitrogen Contents in Typical Plants and Soil Profiles in Yanqi Basin of Northwest China. J. Integr. Agric. 2014, 13, 648–656. [Google Scholar]
- Han, H.; Zhai, Z.H.; Zhang, Y.Y. BIOLOG analysis for fungal communities in environmental samples. Acta Ecol. Sin. 2009, 29, 2368–2373. [Google Scholar]
- Tang, Y.; Guo, C.; Sun, X.; Wang, J.; Han, X.; Liu, Y. Vegetation Change Characteristics and Influencing Factors of Ejina Populus Euphratica Forest from 1977 to 2020. Desert Oasis Meteorol. 2023, 17, 152–159. [Google Scholar]
- Caijuan, P.; Qiaoyun, H.; Wenli, C. Comparison of different BIOLOG microplate technology for detecting carbon metabolism of farmland soils. J. Huazhong Agric. Univ. 2017, 36, 7–12. [Google Scholar]
- Albuquerque, L.G.R.; Fioroto, A.M.; Paixão, T.R.L.C.; Oliveira, P.V. Evaluation of Multi-Mixtures of Acids for the Sample Preparation of Organic Soil Amendments for Multi-Element Determination by ICP OES. Commun. Soil Sci. Plant Anal. 2017, 48, 2210–2217. [Google Scholar] [CrossRef]
- Wang, P.; Li, J.; Wang, Y.; Liu, Y.; Zhang, Y. Assessment of soil fertility in Xinjiang oasis cotton field based on big data techniques. Big Data Res. 2024, 37, 100480. [Google Scholar] [CrossRef]
- Su, Y.; Yang, R. Background concentrations of elements in surface soils and their changes as affected by agriculture use in the desert-oasis ecotone in the middle of Heihe River Basin, North-west China. J. Geochem. Explor. 2008, 98, 57–64. [Google Scholar] [CrossRef]
- An, F.; Niu, Z.; Liu, T.; Su, Y. Succession of soil bacterial community along a 46-year choronsequence artificial revegetation in an arid oasis-desert ecotone. Sci. Total Environ. 2022, 814, 152496. [Google Scholar] [CrossRef] [PubMed]
- Suttanukool, P.; Darunsontaya, T.; Jindaluang, W. A Study on the Quantity/Intensity Relationships of Potassium of Sugarcane Growing Soils, Eastern Thailand. Commun. Soil Sci. Plant Anal. 2019, 50, 153–163. [Google Scholar] [CrossRef]
- Lai, J.; Zou, Y.; Zhang, J.; Peres-Neto, P.R. Generalizing hierarchical and variation partitioning in multiple regression and canonical analyses using the rdacca.hp R package. Methods Ecol. Evol. 2022, 13, 782–788. [Google Scholar] [CrossRef]
- Liu, Y.; Yu, X.; Yu, Y.; Hu, W.H.; Lai, J.S. Application of “rdacca.hp” R package in ecological data analysis: Case and progress. Chin. J. Plant Ecol. 2023, 47, 134–144. [Google Scholar] [CrossRef]
- Hu, G.B.; Dong, K.; Dong, Y.; Tang, L.; Zheng, Y.; Li, X.R. Effects of intercropping oe wheat and faba bean on diversity of metabolic function of rhizosphere fungal community. Acta Pedol. Sin. 2015, 52, 926–933. [Google Scholar]
- Pertile, G.; Panek, J.; Oszust, K.; Siczek, A.; Frąc, M. Intraspecific functional and genetic diversity of Petriella setifera. PeerJ 2018, 6, e4420. [Google Scholar] [CrossRef]
- Zhong, Y.; Wang, W.; Wang, J.; Wang, Y.; Li, J.; Yuan, D.; Fan, Y.; Wei, X. Leaf functional traits of oasis plants in extremely arid areas and its response to soil water and salt factors. J. Beijing For. Univ. 2019, 41, 20–29. [Google Scholar]
- Wu, G.L.; Jiang, S.; Liu, W.; Zhao, C.; Li, J. Competition between Populus euphratica and Tamarix ramosissima seedlings under simulated high groundwater availability. J. Arid Land 2016, 8, 293–303. [Google Scholar] [CrossRef]
- Lixue, J.; Yan, L. Comparison on Architecture Characteristics of Root Systems and Leaf Traits for Three Desert Shrubs Adapted to Arid Habitat. J. Desert Res. 2008, 28, 1118–1124. [Google Scholar]
- Zhang, D.; Yin, L.; Pan, B. Biological and ecological characteristics of Tamarix L. and its effect on the ecological environment. Sci. China Ser. D Earth Sci. 2002, 45, 18–22. [Google Scholar] [CrossRef]
- Sun, Z.; Long, X.; Ma, R. Water uptake by saltcedar (Tamarix ramosissima) in a desert riparian forest: Responses to intra-annual water table fluctuation. Hydrol. Process. 2016, 30, 1388–1402. [Google Scholar] [CrossRef]
- Sun, L.; Liu, W.; Chen, T.; Liu, G. Review on Mechanism of Habitat Adaptability and Resource Value of Tamarix Species. J. Desert Res. 2016, 36, 349–356. [Google Scholar]
- Yu, T.; Feng, Q.; Si, J.; Xi, H.; Li, Z.; Chen, A. Hydraulic redistribution of soil water by roots of two desert riparian phreatophytes in northwest China’s extremely arid region. Plant Soil 2013, 372, 297–308. [Google Scholar] [CrossRef]
- Nippert, J.B.; Butler, J.J.; Kluitenberg, G.J.; Whittemore, D.O.; Arnold, D.; Spal, S.E.; Ward, J.K. Patterns of Tamarix water use during a record drought. Oecologia 2010, 162, 283–292. [Google Scholar] [CrossRef]
- Tengfei, Y. Hydraulic Redistribution of Roots and It’s Ecohydrologic Effects for Desert Riparian Plants on the Lower Heihe River. Ph.D Thesis, Lanzhou University, Lanzhou, China, 2013; p. 125. [Google Scholar]
- Feng, X.; Liu, R.; Li, C.; Zhang, H.; Slot, M. Contrasting responses of two C4 desert shrubs to drought but consistent decoupling of photosynthesis and stomatal conductance at high temperature. Environ. Exp. Bot. 2023, 209, 105295. [Google Scholar] [CrossRef]
- Wang, Y.; Wang, J.; Qu, M.; Li, J. Plant community assembly processes and key drivers in an arid inland river basin. Biodivers. Sci. 2022, 30, 5–20. [Google Scholar] [CrossRef]
- Wang, F.; Xu, Y.; Yang, X.; Liu, Y.; Lv, G.H.; Yang, S. Soil water potential determines the presence of hydraulic lift of Populus euphratica Olivier across growing seasons in an arid desert region. J. For. Sci. 2018, 64, 319–329. [Google Scholar] [CrossRef]
- Duan, Q.; Zhu, Z.; Wang, B.; Chen, M. Recent Progress on the Salt Tolerance Mechanisms and Application of Tamarisk. Int. J. Mol. Sci. 2022, 23, 3325. [Google Scholar] [CrossRef] [PubMed]
- Yin, C.H.; Feng, G.; Zhang, F.; Tian, C.Y.; Tang, C. Enrichment of soil fertility and salinity by tamarisk in saline soils on the northern edge of the Taklamakan Desert. Agric. Water Manag. 2010, 97, 1978–1986. [Google Scholar] [CrossRef]
- Zhou, C.; Gong, L.; Wu, X.; Luo, Y. Nutrient resorption and its influencing factors of typical desert plants in different habitats on the northern margin of the Tarim Basin, China. J. Arid Land 2023, 15, 858–870. [Google Scholar] [CrossRef]
- Wu, H.; Cui, H.; Fu, C.; Li, R.; Qi, F.; Liu, Z.; Yang, G.; Xiao, K.; Qiao, M. Unveiling the crucial role of soil microorganisms in carbon cycling: A review. Sci. Total Environ. 2024, 909, 168627. [Google Scholar] [CrossRef] [PubMed]
- Yusup, A.; Halik, U.; Keyimu, M.; Aishan, T.; Abliz, A.; Dilixiati, B.; Wei, J. Trunk volume estimation of irregular shaped Populus euphratica riparian forest using TLS point cloud data and multivariate prediction models. For. Ecosyst. 2023, 10, 100082. [Google Scholar] [CrossRef]
- Li, S.; Gou, W.; Wang, H.; White, J.F.; Wu, G.; Su, P. Trade-Off Relationships of Leaf Functional Traits of Lycium ruthenicum in Response to Soil Properties in the Lower Reaches of Heihe River, Northwest China. Diversity 2021, 13, 453. [Google Scholar] [CrossRef]
- Chen, Y.; Wu, S.; Shi, Z.; Yue, Y.; He, Y. Simulation and model comparison of the photosynthesis-light response process of Populus euphratica under different irrigation amounts. J. Gansu Agric. Univ. 2023, 58, 146–155. [Google Scholar]
- Zheng, C.; Qiu, J.; Jiang, C.; Yue, N.; Wang, X.; Wang, W. Comparison of stomatal characteristics and photosynthesis of polymorphic Populus euphratica leaves. Front. For. China 2007, 2, 87–93. [Google Scholar] [CrossRef]
- Zhang, Y.; Wang, H.; Cai, Y.; Yang, Q.; Lv, G. Fertile Island Effect by Three Typical Woody Plants on Wetlands of Ebinur Lake, northwestern China. Front. Environ. Sci. 2022, 10, 1034077. [Google Scholar] [CrossRef]
- Shi, W.; Gao, W.; Yang, Z.; Ma, T. Soil texture and organic carbon molecular composition are the main factors affecting soil organic carbon mineralization and microbial carbon accumulation efficiency. Pratacultural Sci. 2023, 40, 365–377. [Google Scholar]
- Singh, M.; Sarkar, B.; Bolan, N.S.; Ok, Y.S.; Churchman, G.J. Decomposition of soil organic matter as affected by clay types, pedogenic oxides and plant residue addition rates. J. Hazard. Mater. 2019, 374, 11–19. [Google Scholar] [CrossRef] [PubMed]
- Wang, W.; Li, J.; Wang, Z.; Qu, L. The Soil Fungi Community Metabolic Characteristics and Influence Factors in Rhizosphere Soils of Populuseuphratica. Acta Bot. Boreali-Occident. Sin. 2017, 37, 1429–1437. [Google Scholar]
- de Vries, F.T.; Griffiths, R.I.; Bailey, M.; Craig, H.; Girlanda, M.; Gweon, H.S.; Hallin, S.; Kaisermann, A.; Keith, A.M.; Kretzschmar, M.; et al. Soil bacterial networks are less stable under drought than fungal networks. Nat. Commun. 2018, 9, 3033. [Google Scholar] [CrossRef] [PubMed]
- Wen, T.; Yu, G.-H.; Hong, W.-D.; Yuan, J.; Niu, G.-Q.; Xie, P.-H.; Sun, F.-S.; Guo, L.-D.; Kuzyakov, Y.; Shen, Q.-R. Root exudate chemistry affects soil carbon mobilization via microbial community reassembly. Fundam. Res. 2022, 2, 697–707. [Google Scholar] [CrossRef] [PubMed]
- Jingya, W.; Mingliang, W.; Fenghua, Z. Soil microbial properties under typical halophytic vegetation communities in arid regions. Acta Ecol. Sin. 2016, 36, 2363–2372. [Google Scholar]
- Oren, A.; Steinberger, Y. Catabolic profiles of soil fungal communities along a geographic climatic gradient in Israel. Soil Biol. Biochem. 2008, 40, 2578–2587. [Google Scholar] [CrossRef]
- Yuanyuan, L. Structure of Soil Microbial Community in the Rhizosphere of Populus euphratica in the Lower Reaches of Tarim River and Its Correlation with Soil Physicochemical Properties. Master’s Thesis, Shihezi University, Shihezi, China, 2022; p. 60. [Google Scholar]
- Forogh Nasab, M.; Moradi, M.; Moradi, G.; Taghizadeh-Mehrjardi, R. Topsoil Carbon Stock and Soil Physicochemical Properties in Riparian Forests and Agricultural Lands of Southwestern Iran. Eurasian Soil Sci. 2020, 53, 1389–1395. [Google Scholar] [CrossRef]
- Li, D.; Si, J.; Li, J.; Wang, P.; Yuan, L. Physiological responses and differences of Populus euphratica to salt stress and drought stress. J. Desert Res. 2023, 43, 205–215. [Google Scholar]
- Liu, J.N.; Fang, H.; Liang, Q.; Dong, Y.; Wang, C.; Yan, L.; Ma, X.; Zhou, R.; Lang, X.; Gai, S.; et al. Genomic analyses provide insights into the evolution and salinity adaptation of halophyte Tamarix chinensis. Gigascience 2022, 12, 1–17. [Google Scholar] [CrossRef] [PubMed]
- Costa, T.L.; Sampaio, E.V.S.B.; Sales, M.F.; Accioly, L.J.O.; Althoff, T.D.; Pareyn, F.G.C.; Albuquerque, E.R.G.M.; Menezes, R.S.C. Root and shoot biomasses in the tropical dry forest of semi-arid Northeast Brazil. Plant Soil 2014, 378, 113–123. [Google Scholar] [CrossRef]
- Hao, P.; Li, J.; Cong, R.; Zhang, N.; Jing, J.; Huang, J. Response of arid plant Sophora alopecuroides to soil heterogeneity and competitors. J. Beijing For. Univ. 2012, 34, 94–99. [Google Scholar]
- Wang, S.K.; Zuo, X.A.; Zhao, X.Y.; Li, Y.Q.; Zhou, X.; Lv, P.; Luo, Y.Q.; Yun, J.Y. Responses of soil fungal community to the sandy grassland restoration in Horqin Sandy Land, northern China. Environ. Monit. Assess. 2016, 188, 21. [Google Scholar] [CrossRef]




| Plant | P. euphratica | T. ramosissima | S. alopecuroides | Plant | P. euphratica | T. ramosissima | S. alopecuroides |
|---|---|---|---|---|---|---|---|
| WC (%) | 13.50 ± 1.64 a | 9.10 ± 0.88 b | 14.01 ± 1.05 a | SOC (g/kg) | 9.56 ± 1.37 a | 5.90 ± 0.59 b | 7.1 ± 0.59 ab |
| pH | 8.22 ± 0.04 b | 8.50 ± 0.07 a | 8.47 ± 0.08 a | P (g/kg) | 0.50 ± 0.01 b | 0.58 ± 0.02 a | 0.52 ± 0.02 b |
| EC (ms/cm) | 0.49 ± 0.17 | 1.23 ± 0.60 | 1.03 ± 0.38 | K (g/kg) | 40.90 ± 1.35 | 43.08 ± 0.90 | 43.84 ± 1.87 |
| TC (%) | 2.09 ± 0.15 a | 1.69 ± 0.06 b | 1.96 ± 0.08 ab | Ca (g/kg) | 38.04 ± 0.74 b | 41.03 ± 0.64 ab | 43.76 ± 2.03 a |
| TN (%) | 0.08 ± 0.01 a | 0.05 ± 0.01 b | 0.06 ± 0.01 b | Na (g/kg) | 10.22 ± 0.35 b | 12.13 ± 0.38 a | 10.84 ± 0.60 ab |
| C/N | 29.06 ± 1.59 b | 35.60 ± 1.66 a | 34.19 ± 1.57 a | AN (mg/kg) | 1.06 ± 0.14 a | 0.61 ± 0.14 b | 0.82 ± 0.10 ab |
| AP (mg/kg) | 1.72 ± 0.18 | 1.91 ± 0.52 | 3.23 ± 2.43 | AK (mg/kg) | 380.38 ± 45.56 | 437.67 ± 168.86 | 372.87 ± 38.66 |
| Sand (%) | 41.39 ± 5.73 a | 39.84 ± 5.83 ab | 26.50 ± 3.48 b | Silt (%) | 55.91 ± 5.41 b | 57.70 ± 5.38 ab | 71.08 ± 3.17 a |
| Clay (%) | 2.70 ± 0.35 | 2.46 ± 0.51 | 2.42 ± 0.37 |
| Plant | Soil Properties and Contributions | Model R2 | p Value |
|---|---|---|---|
| P. euphratica | C/N (23%), AK (17.4%) | 40.4% | <0.01 |
| T. ramosissima | SOC (23.1%), pH (8.6%), TN (8.2%) | 39.9% | <0.05 |
| S. alopecuroides | Clay (36.6%), SOC (12.6%) | 49.2% | <0.01 |
Disclaimer/Publisher’s Note: The statements, opinions and data contained in all publications are solely those of the individual author(s) and contributor(s) and not of MDPI and/or the editor(s). MDPI and/or the editor(s) disclaim responsibility for any injury to people or property resulting from any ideas, methods, instructions or products referred to in the content. |
© 2024 by the authors. Licensee MDPI, Basel, Switzerland. This article is an open access article distributed under the terms and conditions of the Creative Commons Attribution (CC BY) license (https://creativecommons.org/licenses/by/4.0/).
Share and Cite
Tan, Y.; Lv, Y.; Xv, M.; Qu, L.; Wang, W. Differences in Metabolic Characteristics of Rhizosphere Fungal Community of Typical Arboreal, Shrubby and Herbaceous Species in Oasis of Arid Region. J. Fungi 2024, 10, 565. https://doi.org/10.3390/jof10080565
Tan Y, Lv Y, Xv M, Qu L, Wang W. Differences in Metabolic Characteristics of Rhizosphere Fungal Community of Typical Arboreal, Shrubby and Herbaceous Species in Oasis of Arid Region. Journal of Fungi. 2024; 10(8):565. https://doi.org/10.3390/jof10080565
Chicago/Turabian StyleTan, Yunxiang, Yunhang Lv, Mengyu Xv, Laiye Qu, and Wenjuan Wang. 2024. "Differences in Metabolic Characteristics of Rhizosphere Fungal Community of Typical Arboreal, Shrubby and Herbaceous Species in Oasis of Arid Region" Journal of Fungi 10, no. 8: 565. https://doi.org/10.3390/jof10080565
APA StyleTan, Y., Lv, Y., Xv, M., Qu, L., & Wang, W. (2024). Differences in Metabolic Characteristics of Rhizosphere Fungal Community of Typical Arboreal, Shrubby and Herbaceous Species in Oasis of Arid Region. Journal of Fungi, 10(8), 565. https://doi.org/10.3390/jof10080565

