Real-World Patterns and Outcomes of Anticoagulation Therapy in Pulmonary Embolism: An Observational Dual-Centre Registry Analysis
Abstract
1. Introduction
2. Materials and Methods
2.1. Data Source
2.2. Pulmonary Embolism Diagnosis and Management
2.3. Study Population
2.4. Primary and Secondary Outcomes
2.5. Statistical Analysis
3. Results
3.1. Baseline Characteristics
3.2. Sociodemographic Characteristics
3.3. Clinical Outcomes
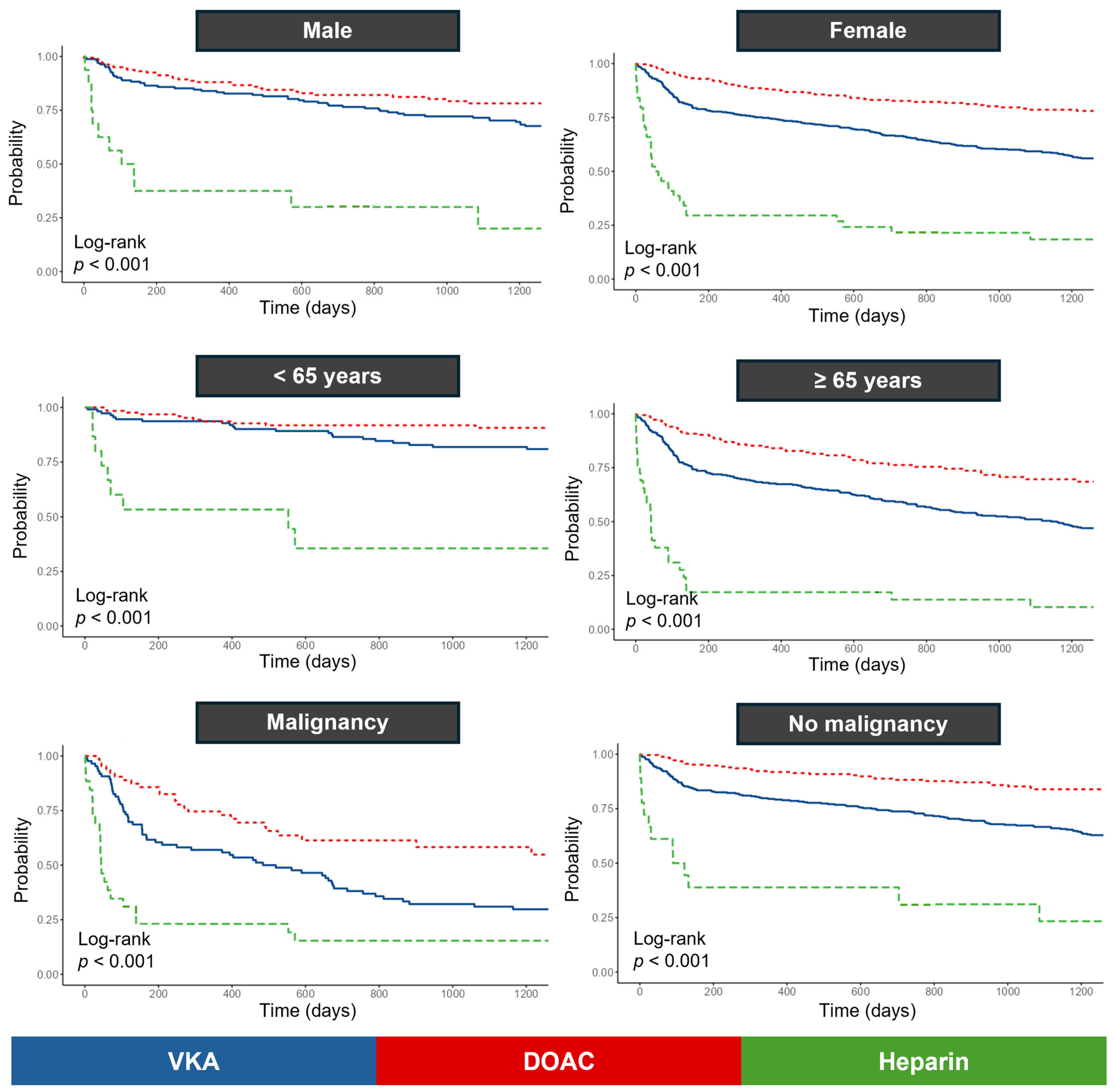
3.4. Survival Analysis
3.5. Predictors of VTE Recurrence
4. Discussion
5. Conclusions
Supplementary Materials
Author Contributions
Funding
Institutional Review Board Statement
Informed Consent Statement
Data Availability Statement
Conflicts of Interest
Abbreviations
| CI | Confidence interval | 
| DOAC | Direct oral anticoagulant | 
| DVT | Deep vein thrombosis | 
| ESC | European Society of Cardiology | 
| HAS-BLED | Hypertension, abnormal renal/liver function, stroke, bleeding history or predisposition, labile international normalized ratio, elderly, drugs/alcohol | 
| HR | Hazard ratio | 
| IQR | Interquartile range | 
| MSCT | Multi-slice computed tomography | 
| OR | Odds ratio | 
| PE | Pulmonary embolism | 
| PERT | Pulmonary Embolism Response Teams | 
| PESI | Pulmonary Embolism Severity Index | 
| VKA | Vitamin K antagonist | 
| VTE | Venous thromboembolism | 
References
- Raskob, G.E.; Angchaisuksiri, P.; Blanco, A.N.; Büller, H.; Gallus, A.; Hunt, B.J.; Hylek, E.M.; Kakkar, T.L.; Konstantinides, S.V.; McCumber, M.; et al. Thrombosis: A major contributor to global disease burden. Semin. Thromb. Hemost. 2014, 40, 724–735. [Google Scholar] [CrossRef]
- Tagalakis, V.; Patenaude, V.; Kahn, S.R.; Suissa, S. Incidence of and mortality from venous thromboembolism in a real-world population: The Q-VTE Study Cohort. Am. J. Med. 2013, 126, 832.e13–832.e21. [Google Scholar] [CrossRef]
- Huang, W.; Goldberg, R.J.; Anderson, F.A.; Cohen, A.T.; Spencer, F.A. Occurrence and predictors of recurrence after a first episode of acute venous thromboembolism: Population-based Worcester Venous Thromboembolism Study. J. Thromb. Thrombolysis 2016, 41, 525–538. [Google Scholar] [CrossRef] [PubMed]
- Konstantinides, S.V.; Meyer, G.; Becattini, C.; Bueno, H.; Geersing, G.J.; Harjola, V.P.; Huisman, M.V.; Humbert, M.; Jennings, C.S.; Jiménez, D.; et al. 2019 ESC Guidelines for the diagnosis and management of acute pulmonary embolism developed in collaboration with the European Respiratory Society (ERS). Eur. Heart J. 2020, 41, 543–603. [Google Scholar] [CrossRef]
- Chan, N.; Sobieraj-Teague, M.; Eikelboom, J.W. Direct oral anticoagulants: Evidence and unresolved issues. Lancet 2020, 396, 1767–1776. [Google Scholar] [CrossRef] [PubMed]
- Leminen, A.; Pyykönen, M.; Tynkkynen, J.; Tykkyläinen, M.; Laatikainen, T. Modeling patients’ time, travel, and monitoring costs in anticoagulation management: Societal savings achievable with the shift from warfarin to direct oral anticoagulants. BMC Health Serv. Res. 2019, 19, 901. [Google Scholar] [CrossRef]
- Urbaniak, A.M.; Strøm, B.O.; Krontveit, R.; Svanqvist, K.H. Prescription Patterns of Non-Vitamin K Oral Anticoagulants Across Indications and Factors Associated with Their Increased Prescribing in Atrial Fibrillation Between 2012-2015: A Study from the Norwegian Prescription Database. Drugs Aging 2017, 34, 635–645. [Google Scholar] [CrossRef]
- Aarnio, E.; Huupponen, R.; Martikainen, J.; Korhonen, M.J. Reimbursement and use of oral anticoagulants during 2014-2022: A register-based study. Explor. Res. Clin. Soc. Pharm. 2023, 11, 100284. [Google Scholar] [CrossRef]
- Teppo, K.; Jaakkola, J.; Biancari, F.; Halminen, O.; Linna, M.; Haukka, J.; Putaala, J.; Tiili, P.; Lehtonen, O.; Niemi, M.; et al. Association of income and educational levels with adherence to direct oral anticoagulant therapy in patients with incident atrial fibrillation: A Finnish nationwide cohort study. Pharmacol. Res. Perspect. 2022, 10, e00961. [Google Scholar] [CrossRef] [PubMed]
- Nathan, A.S.; Geng, Z.; Dayoub, E.J.; Khatana, S.A.M.; Eberly, L.A.; Kobayashi, T.; Pugliese, S.C.; Adusumalli, S.; Giri, J.; Groeneveld, P.W. Racial, Ethnic, and Socioeconomic Inequities in the Prescription of Direct Oral Anticoagulants in Patients With Venous Thromboembolism in the United States. Circ. Cardiovasc. Qual. Outcomes 2019, 12, e005600. [Google Scholar] [CrossRef]
- Ghanima, W.; Schultze, A.; Donaldson, R.; Brodin, E.; Halvorsen, S.; Graham, S.; Carroll, R.; Ulvestad, M.; Lambrelli, D. Oral Anticoagulation Therapy for Venous Thromboembolism in Norway: Time Trends and Treatment Patterns. Clin. Ther. 2021, 43, 1179–1190.e3. [Google Scholar] [CrossRef]
- Stevens, S.M.; Woller, S.C.; Baumann Kreuziger, L.; Bounameaux, H.; Doerschug, K.; Geersing, G.J.; Huisman, M.V.; Kearon, C.; King, C.S.; Knighton, A.J.; et al. Executive Summary: Antithrombotic Therapy for VTE Disease: Second Update of the CHEST Guideline and Expert Panel Report. Chest 2021, 160, 2247–2259. [Google Scholar] [CrossRef] [PubMed]
- Steffel, J.; Collins, R.; Antz, M.; Cornu, P.; Desteghe, L.; Haeusler, K.G.; Oldgren, J.; Reinecke, H.; Roldan-Schilling, V.; Rowell, N.; et al. 2021 European Heart Rhythm Association Practical Guide on the Use of Non-Vitamin K Antagonist Oral Anticoagulants in Patients with Atrial Fibrillation. Europace 2021, 23, 1612–1676. [Google Scholar] [CrossRef] [PubMed]
- Li, X.; Zuo, C.; Ji, Q.; Xue, Y.; Wang, Z.; Lv, Q. Body mass index influence on the clinical outcomes for nonvalvular atrial fibrillation patients admitted to a hospital treated with direct oral anticoagulants: A retrospective cohort study. Drug Des. Dev. Ther. 2021, 15, 1931–1943. [Google Scholar] [CrossRef] [PubMed]
- Alkhalfan, F.; Bukhari, S.; Rosenzveig, A.; Moudgal, R.; Khan, S.Z.; Ghoweba, M.; Chaudhury, P.; Cameron, S.J.; Tefera, L. The Obesity Mortality Paradox in Patients with Pulmonary Embolism: Insights from a Tertiary Care Center. J. Clin. Med. 2024, 13, 2375. [Google Scholar] [CrossRef] [PubMed]
- El-Menyar, A.; Asim, M.; Al-Thani, H. Obesity Paradox in Patients With Deep Venous Thrombosis. Clin. Appl. Thromb. Hemost. 2018, 24, 986–992. [Google Scholar] [CrossRef]
- Chen, A.; Stecker, E.; Warden, B.A. Direct oral anticoagulant use: A practical guide to common clinical challenges. J. Am. Heart Assoc. 2020, 9, e017559. [Google Scholar] [CrossRef]
- Ageno, W.; Farjat, A.; Haas, S.; Weitz, J.I.; Goldhaber, S.Z.; Turpie, A.G.G.; Goto, S.; Angchaisuksiri, P.; Dalsgaard Nielsen, J.; Kayani, G.; et al. Provoked versus unprovoked venous thromboembolism: Findings from GARFIELD-VTE. Res. Pract. Thromb. Haemost. 2021, 5, 326–341. [Google Scholar] [CrossRef]
- Jurin, I.; Lucijanić, M.; Šakić, Z.; Hulak Karlak, V.; Atić, A.; Magličić, A.; Starčević, B.; Hadžibegović, I. Patterns of anticoagulation therapy in atrial fibrillation: Results from a large real-life single-center registry. Croat. Med. J. 2020, 61, 440–449. [Google Scholar] [CrossRef]
- Chopard, R.; Andarelli, J.N.; Humbert, S.; Falvo, N.; Morel-Aleton, M.; Bonnet, B.; Napporn, G.; Kalbacher, E.; Obert, L.; Degano, B.; et al. Prescription patterns of direct oral anticoagulants in pulmonary embolism: A prospective multicenter French registry. Thromb. Res. 2019, 174, 27–33. [Google Scholar] [CrossRef]
- Kirchhof, P.; Benussi, S.; Kotecha, D.; Ahlsson, A.; Atar, D.; Casadei, B.; Castella, M.; Diener, H.C.; Heidbuchel, H.; Hendriks, J.; et al. 2016 ESC Guidelines for the management of atrial fibrillation developed in collaboration with EACTS. Eur. Heart J. 2016, 37, 2893–2962. [Google Scholar] [CrossRef] [PubMed]
- Hindricks, G.; Potpara, T.; Dagres, N.; Arbelo, E.; Bax, J.J.; Blomström-Lundqvist, C.; Boriani, G.; Castella, M.; Dan, G.A.; Dilaveris, P.E.; et al. 2020 ESC Guidelines for the diagnosis and management of atrial fibrillation developed in collaboration with the European Association for Cardio-Thoracic Surgery (EACTS): The Task Force for the diagnosis and management of atrial fibrillation of the European Society of Cardiology (ESC) Developed with the special contribution of the European Heart Rhythm Association (EHRA) of the ESC. Eur. Heart J. 2021, 42, 373–498. [Google Scholar] [CrossRef]
- Van Gelder, I.C.; Rienstra, M.; Bunting, K.V.; Casado-Arroyo, R.; Caso, V.; Crijns, H.J.G.M.; De Potter, T.J.R.; Dwight, J.; Guasti, L.; Hanke, T.; et al. 2024 ESC Guidelines for the management of atrial fibrillation developed in collaboration with the European Association for Cardio-Thoracic Surgery (EACTS). Eur. Heart J. 2024, 45, 3314–3414. [Google Scholar] [CrossRef]
- January, C.T.; Wann, L.S.; Calkins, H.; Chen, L.Y.; Cigarroa, J.E.; Cleveland, J.C., Jr.; Ellinor, P.T.; Ezekowitz, M.D.; Field, M.E.; Furie, K.L.; et al. 2019 AHA/ACC/HRS Focused Update of the 2014 AHA/ACC/HRS Guideline for the Management of Patients With Atrial Fibrillation: A Report of the American College of Cardiology/American Heart Association Task Force on Clinical Practice Guidelines and the Heart Rhythm Society. J. Am. Coll. Cardiol. 2019, 74, 104–132. [Google Scholar] [CrossRef]
- Papp, T.; Kiss, Z.; Rokszin, G.; Fábián, I.; Márk, L.; Bagoly, Z.; Becker, D.; Merkely, B.; Aradi, D.; Dézsi, C.A.; et al. Mortality on DOACs Versus on Vitamin K Antagonists in Atrial Fibrillation: Analysis of the Hungarian Health Insurance Fund Database. Clin. Ther. 2023, 45, 333–346. [Google Scholar] [CrossRef]
- Young, A.M.; Marshall, A.; Thirlwall, J.; Chapman, O.; Lokare, A.; Hill, C.; Hale, D.; Dunn, J.A.; Lyman, G.H.; Hutchinson, C.; et al. Comparison of an Oral Factor Xa Inhibitor With Low Molecular Weight Heparin in Patients with Cancer with Venous Thromboembolism: Results of a Randomized Trial (SELECT-D). J. Clin. Oncol. 2018, 36, 2017–2023. [Google Scholar] [CrossRef]
- Agnelli, G.; Becattini, C.; Meyer, G.; Muñoz, A.; Huisman, M.V.; Connors, J.M.; Cohen, A.; Bauersachs, R.; Brenner, B.; Torbicki, A.; et al. Apixaban for the Treatment of Venous Thromboembolism Associated with Cancer. N. Engl. J. Med. 2020, 382, 1599–1607. [Google Scholar] [CrossRef]
- Liu, Z.Y.; Zhang, H.X.; Ma, L.Y.; Mu, G.Y.; Xie, Q.F.; Zhou, S.; Wang, Z.N.; Wang, Z.; Hu, K.; Xiang, Q.; et al. Non-vitamin K antagonist oral anticoagulants in venous thromboembolism patients: A meta-analysis of real-world studies. BMC Cardiovasc. Disord. 2022, 22, 105. [Google Scholar] [CrossRef] [PubMed]
- Joy, M.; Williams, J.; Emanuel, S.; Kar, D.; Fan, X.; Delanerolle, G.; Field, B.C.; Heiss, C.; Pollock, K.G.; Sandler, B.; et al. Trends in direct oral anticoagulant (DOAC) prescribing in English primary care (2014–2019). Heart 2023, 109, 195–201. [Google Scholar] [CrossRef]
- Emanuel, S.; Field, B.C.; Joy, M.; Fan, X.; Williams, J.; Kaba, R.A.; Lip, G.Y.H.; de Lusignan, S. Disparities in the care and direct-acting oral anticoagulant (DOAC) management in atrial fibrillation (AF) and chronic kidney disease (CKD) in English primary care between 2018 and 2022: Primary care sentinel network database study. Open Heart 2025, 12, e002923. [Google Scholar] [CrossRef] [PubMed]
- Robles, T.F.; Slatcher, R.B.; Trombello, J.M.; McGinn, M.M. Marital quality and health: A meta-analytic review. Psychol. Bull. 2014, 140, 140–187. [Google Scholar] [CrossRef]
- Lindström, M.; Pirouzifard, M.; Rosvall, M.; Fridh, M. Marital status and cause-specific mortality: A population-based prospective cohort study in southern Sweden. Prev. Med. Rep. 2023, 37, 102542. [Google Scholar] [CrossRef] [PubMed]
- Couturaud, F.; Schmidt, J.; Sanchez, O.; Ballerie, A.; Sevestre, M.A.; Meneveau, N.; Bertoletti, L.; Connault, J.; Benhamou, Y.; Constans, J.; et al. Extended treatment of venous thromboembolism with reduced-dose versus full-dose direct oral anticoagulants in patients at high risk of recurrence: A non-inferiority, multicentre, randomised, open-label, blinded endpoint trial. Lancet 2025, 405, 725–735. [Google Scholar] [CrossRef] [PubMed]
- Araszkiewicz, A.; Jankiewicz, S.; Sławek-Szmyt, S.; Klotzka, A.; Grygier, M.; Mularek-Kubzdela, T.; Lesiak, M. Rapid clinical and haemodynamic improvement in a patient with intermediate-high risk pulmonary embolism treated with transcatheter aspiration thrombectomy. Adv. Interv. Cardiol. 2019, 15, 497–498. [Google Scholar] [CrossRef] [PubMed]







| Variables | Total (n = 773) | VKA (n = 418) | DOAC (n = 311) | Heparin (n = 44) | p | 
|---|---|---|---|---|---|
| Age (years) | 72 (60–80) | 74 (64–81) | 69 (55–77) | 72 (62–80) | <0.001 | 
| Male (%) | 338 (43.7) | 162 (38.8) | 160 (51.4) | 16 (36.4) | 0.002 | 
| BMI (kg/m2) 1 | 28.1 (25.4–31.7) | 28.3 (25.3–31.8) | 27.9 (25.8–31.8) | 26.0 (23.3–30.2) | 0.066 | 
| Pre-admission anticoagulation (%) | 186 (24.1) | 113 (27.0) | 66 (21.2) | 7 (15.9) | 0.082 | 
| Co-morbidities (%) | |||||
| Arterial hypertension | 485 (62.7) | 257 (61.5) | 205 (65.9) | 23 (52.3) | 0.158 | 
| Diabetes | 157 (20.3) | 84 (20.1) | 58 (18.6) | 15 (34.1) | 0.058 | 
| Coronary disease | 71 (9.2%) | 50 (12.0) | 19 (6.1) | 2 (4.5) | 0.014 | 
| Heart failure | 175 (22.6) | 109 (26.1) | 58 (18.6) | 8 (18.2) | 0.046 | 
| Peripheral artery disease | 63 (8.2%) | 41 (9.8) | 15 (4.8) | 7 (15.9) | 0.008 | 
| Atrial fibrillation | 169 (21.9) | 108 (25.8) | 59 (19.0) | 2 (4.5) | 0.001 | 
| Prior stroke | 79 (10.2) | 49 (11.7) | 23 (7.4) | 7 (15.9) | 0.071 | 
| Chronic kidney disease | 184 (23.8) | 118 (28.2) | 51 (16.4) | 15 (34.1) | <0.001 | 
| Neurocognitive disease | 208 (26.9) | 138 (33.0) | 49 (15.8) | 21 (47.7) | <0.001 | 
| Chronic obstructive pulmonary disease | 86 (11.1) | 58 (13.9) | 22 (7.1) | 6 (13.6) | 0.013 | 
| Malignancy | 175 (22.6) | 86 (20.6) | 63 (20.3) | 26 (59.1) | <0.001 | 
| Nicotinismus | 232 (30.0) | 132 (31.6) | 82 (26.4) | 18 (40.9) | 0.084 | 
| Prior bleeding | 41 (5.3) | 24 (5.7) | 13 (4.2) | 4 (9.1) | 0.333 | 
| Prior PE | 46 (6.0) | 24 (5.7) | 19 (6.1) | 3 (6.8) | 0.948 | 
| Prior DVT | 85 (11.0) | 47 (11.2) | 36 (11.6) | 2 (4.5) | 0.367 | 
| Surgical procedure | 113 (14.6) | 59 (14.1) | 43 (13.8) | 11 (25.0) | 0.133 | 
| Reduced mobility | 281 (36.4) | 170 (40.7) | 82 (26.4) | 29 (65.9) | <0.001 | 
| Immobilized | 95 (12.3) | 40 (9.6) | 42 (13.5) | 13 (29.5) | <0.001 | 
| Provoked PE | 568 (73.5) | 319 (76.3) | 207 (66.6) | 42 (95.5) | <0.001 | 
| Associated DVT | 302 (39.1) | 129 (30.9) | 155 (49.8) | 18 (40.9) | <0.001 | 
| Clinical characteristics | |||||
| HR at admission (b.p.m.) | 100 (84–115) | 100 (86–115) | 99 (82–111) | 99 (85–112) | 0.211 | 
| SBP at admission (mmHg) | 125 (110–140) | 123 (110–140) | 130 (115–140) | 120 (109–130) | 0.017 | 
| Arterial oxyhemoglobin saturation (%) 1 | 93 (90–96) | 93 (90–95) | 94 (91–96) | 94 (90–96) | 0.002 | 
| Body temperature at admission (°C) | 36.5 (36.3–36.9) | 36.6 (36.3–36.9) | 36.5 (36.2–36.9) | 36.5 (36.2–36.8) | 0.088 | 
| LVEF (%) 1 | 60 (51–65) | 55 (45–61) | 60 (55–65) | 55 (51–60) | <0.001 | 
| Biological data | |||||
| White blood cell count (×109/L) 1 | 9.8 (7.6–12.3) | 9.8 (7.6–12.0) | 9.6 (7.5–12.1) | 11.8 (8.7–15.6) | 0.012 | 
| Red blood cell count (×1012/L) | 4.5 (4.1–4.9) | 4.4 (4.1–4.8) | 4.6 (4.2–4.9) | 4.3 (3.9–4.8) | 0.005 | 
| Red cell distribution width (%) | 14.1 (13.3–15.3) | 14.3 (13.5–15.5) | 13.7 (13.0–14.9) | 15.1 (14.4–16.6) | <0.001 | 
| Hemoglobin (g/L) | 134 (121–146) | 133 (120–144) | 138 (125–148) | 120 (110–136) | <0.001 | 
| Hematocrit (L/L) | 0.40 (0.37–0.44) | 0.40 (0.36–0.43) | 0.41 (0.38–0.45) | 0.38 (0.34–0.42) | <0.001 | 
| Platelet count (×109/L) 1 | 226 (183–292) | 231 (185–307) | 219 (179–275) | 237 (179–316) | 0.221 | 
| Mean platelet volume (fL) | 8.4 (7.7–9.2) | 8.2 (7.5–9.1) | 8.6 (7.9–9.4) | 8.7 (8.2–10.3) | <0.001 | 
| Creatinine (µmol/L) 1 | 84 (74–102) | 88 (77–107) | 82 (71–94) | 83 (74–104) | <0.001 | 
| C-reactive protein (mg/L) | 21.4 (9.6–54.4) | 22.4 (11.1–47.3) | 18.4 (7.2–50.7) | 54.2 (30.0–101.0) | <0.001 | 
| D-dimers (mg/L) 1 | 4.4 (3.0–8.5) | 4.4 (2.7–11.0) | 4.4 (3.2–4.6) | 4.4 (4.1–17.4) | 0.058 | 
| Fibrinogen (g/L) 1 | 3.9 (3.2–5.0) | 4.0 (3.2–5.0) | 3.8 (3.1–5.0) | 3.8 (2.6–4.7) | 0.159 | 
| Albumin (g/L) 1 | 37 (33–40) | 37 (32–40) | 38 (35–41) | 34 (30–36) | <0.001 | 
| Estimated GFR (mL/min/1.73 m2) | 68 (51–86) | 66 (50–82) | 73 (56–90) | 66 (45–86) | <0.001 | 
| NT-proBNP (pg/mL) 1 | 1012 (269–4336) | 378 (117–1058) | 1540 (475–4756) | 493 (233–8950) | 0.002 | 
| Positive cardiac troponin I (%) 1 | 325 (45.0) | 144 (36.8) | 155 (52.9) | 26 (66.7) | <0.001 | 
| Scores | |||||
| Wells’ criteria for PE | 4.5 (3.0–6.5) | 4.5 (3.0–6.0) | 5.5 (4.0–7.0) | 6.0 (4.0–7.5) | 0.005 | 
| PESI | 100 (77–128) | 103 (79–136) | 94 (73–116) | 122 (105–169) | <0.001 | 
| CHA2DS2–VASc | 3 (2–4) | 3 (2–5) | 3 (2–4) | 3 (2–5) | 0.028 | 
| HAS-BLED | 2 (1–3) | 2 (1–3) | 1 (0–2) | 2 (1–3) | <0.001 | 
| ATRIA | 3 (1–4) | 3 (1–4) | 1 (0–4) | 4 (3–6) | <0.001 | 
| Variables | VKA vs. DOAC | VKA vs. Heparin | DOAC vs. Heparin | |||
|---|---|---|---|---|---|---|
| p | Cramer’s V | p | Cramer’s V | p | Cramer’s V | |
| Sex | <0.001 | 0.126 | 0.756 | - | 0.061 | - | 
| Co-morbidities | ||||||
| Coronary disease | 0.008 | 0.099 | 0.139 | - | 0.681 | - | 
| Heart failure | 0.018 | - | 0.252 | - | 0.941 | - | 
| Peripheral artery disease | 0.012 | 0.093 | 0.207 | - | 0.004 | 0.152 | 
| Atrial fibrillation | 0.029 | - | 0.002 | 0.147 | 0.018 | - | 
| Chronic kidney disease | <0.001 | 0.139 | 0.414 | - | 0.005 | 0.150 | 
| Neurocognitive disease | <0.001 | 0.195 | 0.051 | - | <0.001 | 0.265 | 
| Chronic obstructive pulmonary disease | 0.004 | 0.108 | 0.965 | - | 0.131 | - | 
| Malignancy | 0.916 | - | <0.001 | 0.264 | <0.001 | 0.295 | 
| Reduced mobility | <0.001 | 0.149 | 0.001 | 0.150 | <0.001 | 0.281 | 
| Immobilized | 0.096 | - | <0.001 | 0.184 | 0.006 | 0.146 | 
| Provoked PE | 0.004 | 0.108 | 0.003 | 0.136 | <0.001 | 0.208 | 
| Associated DVT | <0.001 | 0.192 | 0.173 | - | 0.267 | - | 
| Biological data | ||||||
| Positive cardiac troponin I | <0.001 | 0.160 | <0.001 | 0.175 | 0.105 | - | 
| Sociodemographic data | ||||||
| Monthly household income | <0.001 | 0.422 | 0.010 | 0.169 | <0.001 | 0.377 | 
| Education level | <0.001 | 0.333 | <0.001 | 0.248 | <0.001 | 0.306 | 
| Marital status | <0.001 | 0.224 | 0.148 | - | 0.001 | 0.226 | 
| Employment status | <0.001 | 0.180 | 0.899 | - | 0.256 | - | 
| Household members | <0.001 | 0.271 | <0.001 | 0.244 | <0.001 | 0.367 | 
| Participants having underage children | 0.076 | - | 0.006 | 0.164 | <0.001 | 0.270 | 
| Variables | VKA vs. DOAC | VKA vs. Heparin | DOAC vs. Heparin | 
|---|---|---|---|
| p | p | p | |
| Age (years) | <0.001 | 0.871 | 0.168 | 
| Clinical characteristics | |||
| SBP at admission (mmHg) | 0.076 | 0.389 | 0.042 | 
| Arterial oxyhemoglobin saturation (%) | 0.001 | 0.649 | 0.774 | 
| LVEF (%) | <0.001 | 0.934 | 0.091 | 
| Biological data | |||
| White blood cell count (×109/L) | 0.819 | 0.015 | 0.010 | 
| Red blood cell count (×1012/L) | 0.010 | 0.566 | 0.107 | 
| Red cell distribution width (%) | <0.001 | 0.002 | <0.001 | 
| Hemoglobin (g/L) | 0.006 | 0.004 | <0.001 | 
| Hematocrit (L/L) | 0.039 | 0.019 | <0.001 | 
| Mean platelet volume (fL) | <0.001 | 0.002 | 0.240 | 
| Creatinine (µmol/L) | <0.001 | 0.381 | 0.656 | 
| C-reactive protein (mg/L) | 0.218 | <0.001 | <0.001 | 
| Albumin (g/L) | <0.001 | 0.009 | <0.001 | 
| Estimated GFR (mL/min/1.73 m2) | <0.001 | 0.996 | 0.245 | 
| NT-proBNP (pg/mL) | 0.001 | 0.608 | 0.816 | 
| Scores | |||
| Wells’ criteria for PE | 0.027 | 0.040 | 0.327 | 
| PESI | <0.001 | <0.001 | <0.001 | 
| CHA2DS2–VASc | 0.024 | 1.000 | 0.417 | 
| HAS-BLED | <0.001 | 0.700 | 0.090 | 
| ATRIA | 0.272 | 0.003 | 0.001 | 
| Variables | Total (n = 773) | VKA (n = 418) | DOAC (n = 311) | Heparin (n = 44) | p | 
|---|---|---|---|---|---|
| Monthly household income (%) | <0.001 | ||||
| <330 € | 106 (13.7) | 81 (19.4) | 22 (7.1) | 3 (6.8) | |
| 330–431 € | 144 (18.6) | 91 (21.8) | 50 (16.1) | 3 (6.8) | |
| 432–832 € | 118 (15.3) | 53 (12.7) | 58 (18.6) | 7 (15.9) | |
| >832 € | 221 (28.6) | 63 (15.1) | 149 (47.9) | 9 (20.5) | |
| Did not want to share information/unknown | 184 (23.8) | 130 (31.1) | 32 (10.3) | 22 (50.0) | |
| Education level (%) | <0.001 | ||||
| No elementary school | 132 (17.1) | 90 (21.5) | 27 (8.7) | 15 (34.1) | |
| Elementary school graduate | 217 (28.1) | 155 (37.1) | 57(18.3) | 5 (11.4) | |
| High school graduate | 306 (39.6) | 139 (33.3) | 153 (49.2) | 14 (31.8) | |
| Bachelor’s/master’s degree | 110 (14.2) | 32 (7.7) | 71 (22.8) | 7 (15.9) | |
| Unknown | 8 (1.0) | 2 (0.5) | 3 (1.0) | 3 (6.8) | |
| Marital status (%) | <0.001 | ||||
| Married | 440 (56.9) | 211 (50.5) | 210 (67.5) | 19 (43.2) | |
| Single | 64 (8.3) | 27 (6.5) | 33 (10.6) | 4 (9.1) | |
| Divorced | 26 (3.4) | 18 (4.3) | 6 (1.9) | 2 (4.5) | |
| Widow/widower | 231 (29.9) | 156 (37.3) | 59 (19.0) | 16 (36.4) | |
| Unknown | 12 (1.6) | 6 (1.4) | 3 (1.0) | 3 (6.8) | |
| Employment status (%) | <0.001 | ||||
| Emplyed | 163 (21.1) | 63 (15.1) | 92 (29.6) | 8 (18.2) | |
| Unemployed | 75 (9.7) | 44 (10.5) | 26 (8.4) | 5 (11.4) | |
| Retired | 514 (66.5) | 297 (71.1) | 188 (60.5) | 29 (65.9) | |
| Unknown | 21 (2.7) | 14 (3.3) | 5 (1.6) | 2 (4.5) | |
| Household members (%) | <0.001 | ||||
| Living alone | 139 (18.0) | 84 (20.1) | 44 (14.1) | 11 (25.0) | |
| Living with spouse | 272 (35.2) | 128 (30.6) | 136 (43.7) | 8 (18.2) | |
| Living with spouse and children | 90 (11.6) | 38 (9.1) | 47 (15.1) | 5 (11.4) | |
| Retirement home | 154 (19.9) | 110 (26.3) | 31(10.0) | 13 (29.5) | |
| Living with children (>18 years old) | 7 (0.9) | 4 (1.0) | 3 (1.0) | 0 (0.0) | |
| Living with family | 80 (10.3) | 45 (10.8) | 33 (10.6) | 2 (4.5) | |
| Widowed with underage children | 1 (0.1) | 1 (0.2) | 0 (0.0) | 0 (0.0) | |
| Living with parents | 19 (2.5) | 4 (1.0) | 15 (4.8) | 0 (0.0) | |
| Unknown | 11 (1.4) | 4 (1.0) | 2 (0.6) | 5 (11.4) | |
| Participants having underage children (%) | <0.001 | ||||
| Has underage children | 33 (4.3) | 14 (3.3) | 18 (5.8) | 1 (2.3) | |
| No underage children | 89 (11.5) | 44 (10.5) | 41 (13.2) | 4 (9.1) | |
| Has children older than 18 | 630 (81.5) | 348 (83.3) | 249 (80.1) | 33 (75.0) | |
| Unknown | 21 (2.7) | 12 (2.9) | 3 (1.0) | 6 (13.6) | 
| Variables | Total (n = 773) | VKA (n = 418) | DOAC (n = 311) | Heparin (n = 44) | p | 
|---|---|---|---|---|---|
| Outcomes | |||||
| Death from any cause (%) | 370 (47.9%) | 252 (60.3) | 81 (26.0) | 37 (84.1) | <0.001 | 
| Cause of death (%) | |||||
| Embolism | 49 (6.3) | 31 (7.4) | 7 (2.3) | 11 (25.0) | |
| CV/MI | 32 (4.1) | 22 (5.3) | 9 (2.9) | 1 (2.3) | |
| Heart failure | 40 (5.2) | 29 (6.9) | 10 (3.2) | 1 (2.3) | |
| Stroke | 13 (1.7) | 11 (2.6) | 2 (0.6) | 0 (0.0) | |
| Sepsis | 82 (10.6) | 59 (14.1) | 19 (6.1) | 4 (9.1) | |
| Malignancy | 111 (14.4) | 69 (16.5) | 25 (8.0) | 17 (38.6) | |
| Intracerebral bleeding | 6 (0.8) | 6 (1.4) | 0 (0.0) | 0 (0.0) | |
| Any bleeding | 4 (0.5) | 4 (1.0) | 0 (0.0) | 0 (0.0) | |
| External causes | 6 (0.8) | 5 (1.2) | 0 (0.0) | 1 (2.3) | |
| Unknown | 27 (3.5) | 16 (3.8) | 9 (2.9) | 2 (4.5) | |
| VTE recurrences (%) | |||||
| Total VTE recurrences | 177 (22.9) | 101 (24.2) | 69 (22.2) | 7 (15.9) | 0.431 | 
| VTE recurrence on therapy | 112 (14.5) | 66 (15.8) | 43 (13.8) | 3 (6.8) | 0.250 | 
| VTE recurrence after therapy | 65 (8.4) | 35 (8.4) | 26 (8.4) | 4 (9.1) | 0.986 | 
| Bleeding (%) | 49 (6.3) | 39 (9.3) | 9 (2.9) | 1 (2.3) | 0.001 | 
| Follow-up (days) | 1106 (357–2234) | 1390 (335–2583) | 955 (425–1926) | 58 (21–483) | <0.001 | 
| Variables | DOAC (n = 311) | Dabigatran (n = 57) | Rivaroxaban (n = 150) | Apixaban (n = 98) | Edoxaban (n = 6) | p | 
|---|---|---|---|---|---|---|
| Outcomes | ||||||
| Death from any cause (%) | 81 (26.0) | 21 (36.8) | 37 (24.7) | 22 (22.4) | 1 (16.7) | 0.210 | 
| VTE recurrences | ||||||
| Total VTE recurrences | 69 (22.2) | 14 (24.6) | 37 (24.7) | 17 (17.3) | 1 (16.7) | 0.541 | 
| VTE recurrence on therapy | 43 (13.8) | 5 (8.8) | 27 (18.0) | 10 (10.2) | 1 (16.7) | 0.209 | 
| VTE recurrence after therapy | 26 (8.4) | 9 (15.8) | 10 (6.7) | 7 (7.1) | 0 (0.0) | 0.144 | 
| Bleeding (%) | 9 (2.9) | 1 (1.8) | 4 (2.7) | 3 (3.1) | 1 (16.7) | 0.226 | 
| Variables | Total | Univariate HR (95% CI, p) | Multivariate HR (95% CI, p) | 
|---|---|---|---|
| Post-discharge anticoagulant therapy (ref. VKA) | 418 (54.1) | ||
| DOAC | 311 (40.2) | 0.49 (0.38–0.64, p < 0.001) | 0.62 (0.48–0.80, p < 0.001) | 
| Heparin | 44 (5.7) | 4.18 (2.94–5.94, p < 0.001) | 3.63 (2.54–5.21, p < 0.001) | 
| PESI score (ref. Class I) 1 | 97 (12.5) | ||
| Class II | 168 (21.7) | 4.38 (1.86–10.32, p = 0.001) | 3.75 (1.58–8.87, p = 0.003) | 
| Class III | 167 (21.6) | 10.82 (4.72–24.82, p < 0.001) | 8.82 (3.79–20.51, p < 0.001) | 
| Class IV | 130 (16.8) | 18.71 (8.16–42.89, p < 0.001) | 12.43 (5.32–29.02, p < 0.001) | 
| Class V | 211 (27.3) | 27.36 (12.09–61.94, p < 0.001) | 19.56 (8.50–45.00, p < 0.001) | 
| HAS-BLED score (ref. Low risk) 2 | 335 (43.3) | ||
| Medium risk | 215 (27.8) | 1.97 (1.50–2.58, p < 0.001) | 1.15 (0.87–1.52, p = 0.331) | 
| High/very high risk | 223 (28.8) | 3.27 (2.54–4.21, p < 0.001) | 1.64 (1.26–2.13, p < 0.001) | 
| Variables | Total | Univariate OR (95% CI, p) | Multivariate OR (95% CI, p) | 
|---|---|---|---|
| Post-discharge anticoagulant therapy (ref. VKA) | 418 (54.1) | ||
| DOAC | 311 (40.2) | 1.12 (0.79–1.58, p = 0.533) | 1.30 (0.90–1.88, p = 0.155) | 
| Heparin | 44 (5.7) | 1.68 (0.73–3.89, p = 0.223) | 1.30 (0.55–3.08, p = 0.555) | 
| PESI score (ref. Class I) 1 | 97 (12.5) | ||
| Class II | 168 (21.7) | 0.96 (0.55–1.66, p = 0.877) | 1.03 (0.58–1.81, p = 0.926) | 
| Class III | 167 (21.6) | 0.95 (0.55–1.65, p = 0.854) | 1.03 (0.57–1.85, p = 0.931) | 
| Class IV | 130 (16.8) | 1.70 (0.92–3.16, p = 0.091) | 1.87 (0.96–3.64, p = 0.067) | 
| Class V | 211 (27.3) | 3.16 (1.71–5.83, p < 0.001) | 3.50 (1.79–6.81, p < 0.001) | 
| HAS-BLED score (ref. Low risk) 2 | 335 (43.3) | ||
| Medium risk | 215 (27.8) | 0.89 (0.60–1.32, p = 0.566) | 0.73 (0.48–1.13, p = 0.155) | 
| High/very high risk | 223 (28.8) | 1.39 (0.91–2.12, p = 0.124) | 1.08 (0.67–1.73, p = 0.757) | 
| Disclaimer/Publisher’s Note: The statements, opinions and data contained in all publications are solely those of the individual author(s) and contributor(s) and not of MDPI and/or the editor(s). MDPI and/or the editor(s) disclaim responsibility for any injury to people or property resulting from any ideas, methods, instructions or products referred to in the content. | 
© 2025 by the authors. Licensee MDPI, Basel, Switzerland. This article is an open access article distributed under the terms and conditions of the Creative Commons Attribution (CC BY) license (https://creativecommons.org/licenses/by/4.0/).
Share and Cite
Jurin, I.; Pejić, J.; Gjuras, K.; Šaler, F.; Cvetko, T.-T.; Piskač Živković, N.; Mitrović, Z.; Manola, Š.; Pavlov, M.; Blivajs, A.; et al. Real-World Patterns and Outcomes of Anticoagulation Therapy in Pulmonary Embolism: An Observational Dual-Centre Registry Analysis. J. Cardiovasc. Dev. Dis. 2025, 12, 394. https://doi.org/10.3390/jcdd12100394
Jurin I, Pejić J, Gjuras K, Šaler F, Cvetko T-T, Piskač Živković N, Mitrović Z, Manola Š, Pavlov M, Blivajs A, et al. Real-World Patterns and Outcomes of Anticoagulation Therapy in Pulmonary Embolism: An Observational Dual-Centre Registry Analysis. Journal of Cardiovascular Development and Disease. 2025; 12(10):394. https://doi.org/10.3390/jcdd12100394
Chicago/Turabian StyleJurin, Ivana, Josip Pejić, Karlo Gjuras, Fran Šaler, Tea-Terezija Cvetko, Nevenka Piskač Živković, Zdravko Mitrović, Šime Manola, Marin Pavlov, Aleksandar Blivajs, and et al. 2025. "Real-World Patterns and Outcomes of Anticoagulation Therapy in Pulmonary Embolism: An Observational Dual-Centre Registry Analysis" Journal of Cardiovascular Development and Disease 12, no. 10: 394. https://doi.org/10.3390/jcdd12100394
APA StyleJurin, I., Pejić, J., Gjuras, K., Šaler, F., Cvetko, T.-T., Piskač Živković, N., Mitrović, Z., Manola, Š., Pavlov, M., Blivajs, A., Marić Bešić, K., Divković, D., & Hadžibegović, I. (2025). Real-World Patterns and Outcomes of Anticoagulation Therapy in Pulmonary Embolism: An Observational Dual-Centre Registry Analysis. Journal of Cardiovascular Development and Disease, 12(10), 394. https://doi.org/10.3390/jcdd12100394
 
         
                                                

 
                         
       