Disparity Analysis for Cardiac Surgical Outcomes: The Citizenship Factor
Abstract
1. Introduction
2. Materials and Methods
Statistical Analysis
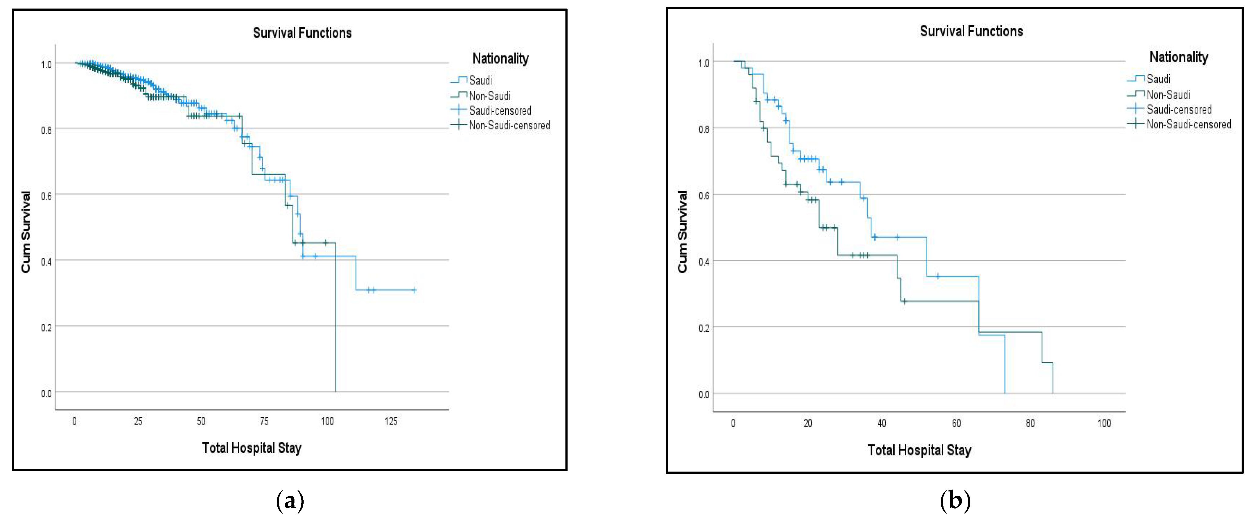
3. Results
4. Discussion
5. Conclusions
Author Contributions
Funding
Institutional Review Board Statement
Informed Consent Statement
Data Availability Statement
Conflicts of Interest
References
- Universal Health Coverage. Available online: https://www.who.int/news-room/fact-sheets/detail/universal-health-coverage-(uhc) (accessed on 20 March 2022).
- Riley, W.J. Health Disparities: Gaps in Access, Quality and Affordability of Medical Care. Trans. Am. Clin. Climatol. Assoc. 2012, 123, 167–174. [Google Scholar] [PubMed]
- Report of the Secretary’s Task Force on Black & Minority Health: Crosscutting Issues in Minority Health; U.S. Department of Health and Human Services: Washington, DC, USA, 1985.
- Schulman, K.A.; Berlin, J.A.; Harless, W.; Kerner, J.F.; Sistrunk, S.; Gersh, B.J. The Effect of Race and Sex on Physicians’ Recommendations for Cardiac Catheterization. N. Engl. J. Med. 1999, 340, 618–626. [Google Scholar] [CrossRef]
- Whittle, J.; Conigliaro, J.; Good, C.B.; Lofgren, R.P. Racial Differences in the Use of Invasive Cardiovascular Procedures in the Department of Veterans Affairs Medical System. N. Engl. J. Med. 1993, 329, 621–627. [Google Scholar] [CrossRef]
- Liu, X.; Li, N.; Liu, C.; Ren, X.; Liu, D.; Gao, B. Urban–Rural Disparity in Utilization of Preventive Care Services in China. Medicine 2016, 95, e4783. [Google Scholar] [CrossRef]
- Cardiovascular Diseases (CVDs). Available online: https://www.who.int/news-room/fact-sheets/detail/cardiovascular-diseases-(cvds) (accessed on 21 March 2022).
- LaVeist, T.; Gaskin, D.; Richard, P. The Economic Burden of Health Inequalities in the United States. In Health Policy and Management Faculty Publications; Joint Center for Political and Economic Studies: Washington, DC, USA, 2009. [Google Scholar]
- Nguyen, P.H.; Avula, R.; Tran, L.M.; Sethi, V.; Kumar, A.; Baswal, D. Missed Opportunities for Delivering Nutrition Interventions in First 1000 Days of Life in India: Insights from the National Family Health Survey, 2006 and 2016. BMJ Glob. Health 2021, 6, E003717. [Google Scholar] [CrossRef] [PubMed]
- Page-Reeves, J.; Niforatos, J.; Mishra, S.; Regino, L.; Gingrich, A.; Bulten, R. Health Disparity and Structural Violence: How Fear Undermines Health Among Immigrants at Risk for Diabetes. J. Health Dispar. Res. Pract. 2013, 6, 30–47. [Google Scholar] [PubMed]
- Saudi Arabia Population Statistics 2023 [Infographics]. Official GMI Blog. 2023. Available online: https://www.globalmediainsight.com/blog/saudi-arabia-population-statistics/ (accessed on 10 May 2023).
- World Population by Age and Region 2022. Statista. Available online: https://www.statista.com/statistics/265759/world-population-by-age-and-region/ (accessed on 10 May 2023).
- Gross Domestic Product Per Capita of Saudi Arabia 2028. Statista. Available online: https://www.statista.com/statistics/268069/gross-domestic-product-per-capita-of-saudi-arabia/ (accessed on 10 May 2023).
- Available online: https://www.who.int/news-room/fact-sheets/detail/obesity-and-overweight (accessed on 10 May 2023).
- Althumiri, N.A.; Basyouni, M.H.; AlMousa, N.; AlJuwaysim, M.F.; Almubark, R.A.; BinDhim, N.F.; Alkhamaali, Z.; Alqahtani, S.A. Obesity in Saudi Arabia in 2020: Prevalence, Distribution, and Its Current Association with Various Health Conditions. Healthcare 2021, 9, 311. [Google Scholar] [CrossRef] [PubMed]
- Available online: https://www.ncbi.nlm.nih.gov/pmc/articles/PMC7999834/#B5-healthcare-09-00311 (accessed on 10 May 2023).
- Qattan, A.M.N.; Boachie, M.K.; Immurana, M.; Al-Hanawi, M.K. Socioeconomic Determinants of Smoking in the Kingdom of Saudi Arabia. Int. J. Environ. Res. Public Health 2021, 18, 5665. [Google Scholar] [CrossRef] [PubMed]
- List of Countries by Meat Consumption. In Wikipedia 2023. Available online: https://en.wikipedia.org/w/index.php?title=List_of_countries_by_meat_consumption&oldid=1152758263 (accessed on 10 May 2023).
- Aljefree, N.; Ahmed, F. Prevalence of Cardiovascular Disease and Associated Risk Factors among Adult Population in the Gulf Region: A Systematic Review; Hindawi: London, UK, 2015. [Google Scholar]
- Saudi Arabia Population and Housing Census 2010|GHDx. Available online: https://ghdx.healthdata.org/record/saudi-arabia-population-and-housing-census-2010 (accessed on 10 May 2023).
- Nashef, S.A.; Roques, F.; Sharples, L.D.; Nilsson, J.; Smith, C.; Goldstone, A.R.; Lockowandt, U. EuroSCORE II. In European Journal of Cardio-Thoracic Surgery: Official Journal of the European Association for Cardio-thoracic Surgery; Oxford University Press: Oxford, UK, 2012; Volume 41, pp. 734–745. [Google Scholar] [CrossRef]
- Rumsfeld, J.S.; Plomondon, M.E.; Peterson, E.D.; Shlipak, M.G.; Maynard, C.; Grunwald, G.K. The Impact of Ethnicity on Outcomes Following Coronary Artery Bypass Graft Surgery in the Veterans Health Administration. J. Am. Coll. Cardiol. 2002, 40, 1786–1793. [Google Scholar] [CrossRef] [PubMed]
- Gray, R.J.; Nessim, S.; Khan, S.S.; Denton, T.; Matloff, J.M. Adverse 5-Year Outcome After Coronary Artery Bypass Surgery in Blacks. Arch. Intern. Med. 1996, 156, 769–773. [Google Scholar] [CrossRef] [PubMed]
- Hartz, R.S.; Rao, A.V.; Plomondon, M.E.; Grover, F.L.; Shroyer, A.L.W. Effects of Race, with or without Gender, on Operative Mortality after Coronary Artery Bypass Grafting: A Study Using The Society of Thoracic Surgeons National Database. Ann. Thorac. Surg. 2001, 71, 512–520. [Google Scholar] [CrossRef] [PubMed]
- Lillie-Blanton, M.; Maddox, T.M.; Rushing, O.; Mensah, G.A. Disparities in Cardiac Care: Rising to the Challenge of Healthy People 2010. J. Am. Coll. Cardiol. 2004, 44, 503–508. [Google Scholar] [CrossRef] [PubMed]
- Distelmaier, K.; Wiedemann, D.; Binder, C.; Haberl, T.; Zimpfer, D.; Heinz, G. Duration of Extracorporeal Membrane Oxygenation Support and Survival in Cardiovascular Surgery Patients. J. Thorac. Cardiovasc. Surg. 2018, 155, 2471–2476. [Google Scholar] [CrossRef] [PubMed]
- Hravnak, M.; Ibrahim, S.; Kaufer, A.; Sonel, A.; Conigliaro, J. Racial Disparities in Outcomes Following Coronary Artery Bypass Grafting. J. Cardiovasc. Nurs. 2006, 21, 367–378. [Google Scholar] [CrossRef] [PubMed]
- Hannan, E.L.; Racz, M.J.; Walford, G.; Ryan, T.J.; Isom, O.W.; Bennett, E. Predictors of Readmission for Complications of Coronary Artery Bypass Graft Surgery. JAMA 2003, 209, 773–780. [Google Scholar] [CrossRef] [PubMed]
- Bridges, C.R.; Edwards, F.H.; Peterson, E.D.; Coombs, L.P. The Effect of Race on Coronary Bypass Operative Mortality. J. Am. Coll. Cardiol. 2000, 36, 1870–1876. [Google Scholar] [CrossRef] [PubMed]
- Brooks, M.M.; Jones, R.H.; Bach, R.G.; Chaitman, B.R.; Kern, M.J.; Orszulak, T.A. Predictors of Mortality and Mortality From Cardiac Causes in the Bypass Angioplasty Revascularization Investigation (BARI) Randomized Trial and Registry. Circulation 2000, 101, 2682–2689. [Google Scholar] [CrossRef] [PubMed]
- Woods, S.E.; Smith, J.M.; Sohail, S.; Sarah, A.; Engle, A. The Influence of Type 2 Diabetes Mellitus in Patients Undergoing Coronary Artery Bypass Graft Surgery: An 8-Year Prospective Cohort Study. Chest 2004, 126, 1789–1795. [Google Scholar] [CrossRef] [PubMed]

| Characteristics | Saudi (n = 1252) | Non-Saudi (n = 926) | Total (N = 2178) | p-Value | |
|---|---|---|---|---|---|
| Socio-demographic characteristics | |||||
| Gender | Male | 869 (69.4%) | 715 (77.2%) | 1584 (72.7%) | <0.001 |
| Female | 383 (30.6%) | 211 (22.8%) | 594 (27.3%) | ||
| Age | 55.4 ± 12.9 | 55.8 ± 11.6 | 55.5 ± 12.4 | 0.430 | |
| Weight | 74.4 ± 15.7 | 74.3 ± 15.0 | 74.3 ± 15.4 | 0.940 | |
| Euroscore II | 2.6 (2.1–4.1) | 2.6 (2.1–4.3) | 2.6 (2.1–4.1) | 0.891 | |
| Ejection fraction (EF) | 45.2 ±10.4 | 44.8 ± 10.3 | 45.05 ± 10.4 | 0.952 | |
| Smoker | 493 (39.4%) | 298 (32.2%) | 791 (36.3%) | 0.001 | |
| New York Heart Association (NYHA) Classification | |||||
| I | 9 (0.7%) | 5 (0.5%) | 14 (0.6%) | 0.090 | |
| II | 786 (62.8%) | 630 (68.0%) | 1416 (65.0%) | ||
| III | 383 (30.6%) | 234 (25.3%) | 617 (28.3%) | ||
| IV | 65 (5.2%) | 46 (5.0%) | 111 (5.1%) | ||
| Comorbidities | |||||
| Dyslipidemia | 138 (11.0%) | 86 (9.3%) | 224 (10.3%) | 0.188 | |
| Obesity | 281 (22.4%) | 205 (22.1%) | 486 (22.3%) | 0.865 | |
| Diabetes mellitus | 820 (65.5%) | 528 (57.0%) | 1348 (61.9%) | 0.000 | |
| Hypertension | 849 (67.8%) | 609 (65.8%) | 1458 (66.9%) | 0.316 | |
| Cerebrovascular accident | 78 (6.2%) | 34 (3.7%) | 112 (5.1%) | 0.008 | |
| Peripheral vascular disease | 29 (2.3%) | 10 (1.1%) | 39 (1.8%) | 0.031 | |
| Carotid disease | 19 (1.5%) | 14 (1.5%) | 33 (1.5%) | 0.991 | |
| Chronic obstructive pulmonary disease | 58 (4.6%) | 32 (3.5%) | 90 (4.1%) | 0.173 | |
| Operative techniques | |||||
| CABG on pump | Yes | 1305 (95.9%) | 56 (4.1%) | 1361 (100%) | 0.029 |
| No | 761 (93.1%) | 56 (6.9%) | 817 (100%) | ||
| Total | 2066 (94.9%) | 112 (5.1%) | 2178 (100%) | ||
| CABG off pump | Yes | 22 (100%) | 0 (0.0%) | 22 (100%) | 0.251 |
| No | 2044 (94.8%) | 112 (5.2%) | 2156 (100%) | ||
| Total | 2066 (94.9%) | 112 (5.1%) | 2178 (100%) | ||
| Nature of the operation | |||||
| Elective | 1122 (89.6%) | 771 (83.3%) | 1893 (87%) | <0.001 | |
| Urgent | 5 (0.4%) | 5 (0.5%) | 10 (0.5%) | ||
| Emergency | 123 (9.8%) | 150 (16.2%) | 273 (12.5%) | ||
| Postoperative Mortality and Morbidities | Saudi | Non-Saudi | Total | p-Value |
|---|---|---|---|---|
| In-hospital mortality | 63 (5.0%) | 49 (5.3) | 112 (5.1%) | 0.786 |
| Morbidities | ||||
| Prolonged ventilation | 101 (8.1%) | 77 (8.3%) | 178 (8.2%) | 0.834 |
| Reintubation | 47 (3.8%) | 31 (3.3%) | 78 (3.6%) | 0.614 |
| New postoperative atrial fibrillation (AF) | 236 (18.8%) | 166 (17.9%) | 402 (18.5%) | 0.583 |
| Re-exploration | 66 (5.3%) | 52 (5.6%) | 118 (5.4%) | 0.721 |
| Acute kidney injury | 64 (5.1%) | 54 (5.8%) | 118 (5.4%) | 0.463 |
| Continuous renal replacement therapy | 64 (5.1%) | 45 (4.9%) | 109 (5.0%) | 0.790 |
| Postoperative cerebrovascular accident (CVA) | 30 (2.4%) | 16 (1.7%) | 46 (2.1%) | 0.284 |
| Perioperative myocardial infarction (MI) | 2 (0.2%) | 2 (0.2%) | 4 (0.2%) | 0.762 |
| Sepsis | 73 (5.8%) | 49 (5.3%) | 122 (5.6%) | 0.589 |
| Mediastinitis | 5 (0.4%) | 4 (0.4%) | 9 (0.4%) | 0.907 |
| Postoperative intra-aortic balloon pump (IABP) | 79 (6.3%) | 75 (8.1%) | 154 (7.1%) | 0.107 |
| Postoperative ECMO | 12 (1.0%) | 19 (2.1%) | 31 (1.4%) | 0.033 |
| Characteristics | Alive (n = 2066) | Dead (n = 112) | Total (N = 2178) | p-Value | |
|---|---|---|---|---|---|
| Socio-demographic characteristics | |||||
| Gender | Male | 1514 (95.6%) | 70 (4.4%) | 1584 (100%) | 0.013 |
| Female | 552 (92.9%) | 42 (7.1%) | 594 (100%) | ||
| Nationality | Saudi | 1189 (95.0%) | 63 (5.0%) | 1252 (100%) | 0.786 |
| Non-Saudi | 877 (94.7%) | 49 (5.3%) | 926 (100%) | ||
| Age | 55.3 ± 12.4 | 59.4 ± 11.9 | 55.5 ± 12.4 | <0.001 | |
| Weight | 74.5 ± 15.5 | 71.6 ± 14.0 | 74.3 ± 15.4 | 0.052 | |
| Smoker | 758 (95.8%) | 33 (4.2%) | 791 (100%) | 0.122 | |
| Non-smoker | 1308 (94.3%) | 79 (5.7%) | 1387 (100%) | ||
| Comorbidities | |||||
| Dyslipidemia | Yes | 218 (97.3%) | 6 (2.7%) | 224 (100%) | 0.078 |
| No | 1848 (94.6%) | 106 (5.4%) | 1954 (100%) | ||
| Obesity | Yes | 463 (95.3%) | 23 (4.7%) | 486 (100%) | 0.643 |
| No | 1603 (94.7%) | 89 (5.3%) | 1692 (100%) | ||
| Diabetes mellitus | Yes | 1266 (93.9%) | 82 (6.1%) | 1348 (100%) | 0.011 |
| No | 800 (96.4%) | 30 (3.6%) | 830 (100%) | ||
| Hypertension | Yes | 1376 (94.4%) | 82 (5.6%) | 1458 (100%) | 0.147 |
| No | 690 (95.8%) | 30 (4.2%) | 720 (100%) | ||
| Cerebrovascular accident | Yes | 104 (92.9%) | 8 (7.1%) | 112 (100%) | 0.325 |
| No | 1962 (95.0%) | 104 (5.0%) | 2066 (100%) | ||
| Peripheral vascular disease | Yes | 36 (92.3%) | 3 (7.7%) | 39 (100%) | 0.467 |
| No | 2030 (94.9%) | 109 (5.1%) | 2139 (100%) | ||
| Carotid disease | Yes | 29 (87.9%) | 4 (12.1%) | 33 (100%) | 0.067 |
| No | 2037 (95.0%) | 108 (5.0%) | 2145 (100%) | ||
| Chronic obstructive pulmonary disease | Yes | 86 (95.6%) | 4 (4.4%) | 90 (100%) | 0.759 |
| No | 1980 (94.8%) | 108 (5.2%) | 2088 (100%) | ||
| New York Heart Association (NYHA) Classification | |||||
| 0 | 12 (100%) | 0 (0.0%) | 12 (100%) | <0.001 | |
| I | 11 (78.6%) | 3 (21.4%) | 14 (100%) | ||
| II | 1364 (96.3%) | 52 (3.7%) | 1416 (100%) | ||
| III | 576 (93.4%) | 41 (6.6%) | 617 (100%) | ||
| IV | 95 (85.6%) | 16 (14.4%) | 111 (100%) | ||
| Nature of the operation | |||||
| Elective | 1825 (96.4%) | 68 (3.6%) | 1893 (100%) | <0.001 | |
| Urgent | 7 (70.0%) | 3 (30.0%) | 10 (100%) | ||
| Emergency | 232 (85.0%) | 41 (15.0%) | 273 (100%) | ||
| Other parameters | |||||
| Creatinine clearance | 81.6 ± 33.4 | 58.0 ± 30.4 | 80.3 ± 33.6 | <0.001 | |
| Euroscore II | 2.5 (2.1–4.0) | 6.2 (2.9–12.0) | 2.6 (2.1–4.1) | <0.001 | |
| Ejection fraction | 45.2 ± 10.3 | 41.5 ± 12.1 | 45.1 ± 10.4 | <0.001 | |
| Factors | Beta Coefficient | p-Value | Hazard Ratio (HR) | 95.0% CI for HR | |
|---|---|---|---|---|---|
| Lower | Upper | ||||
| Euroscore II | 0.03 | 0.015 | 1.03 | 1.01 | 1.05 |
| Prolonged ventilation | 1.44 | 0.000 | 4.23 | 2.18 | 8.24 |
| Reintubation | 1.52 | 0.000 | 4.56 | 2.58 | 8.06 |
| Acute kidney injury | 1.22 | 0.000 | 3.39 | 1.85 | 6.20 |
| Continuous renal replacement therapy | 0.78 | 0.006 | 2.19 | 1.25 | 3.84 |
| Mediastinitis | 1.95 | 0.059 | 7.06 | 0.93 | 53.54 |
| Postoperative intra-aortic balloon pump (IABP) | 1.08 | 0.000 | 2.94 | 1.73 | 5.00 |
| Postoperative ECMO | 0.90 | 0.012 | 2.46 | 1.22 | 4.94 |
| Total Postoperative stay | −0.09 | 0.000 | 0.92 | 0.90 | 0.93 |
| Factors | B | p-Value | Odds Ratio | 95% C.I. for Odds Ratio | |
|---|---|---|---|---|---|
| Lower | Upper | ||||
| Nationality (Non-Saudi) | 0.791 | 0.048 | 2.205 | 1.006 | 4.834 |
| Propensity Scores | 0.654 | 0.486 | 1.922 | 0.306 | 12.085 |
Disclaimer/Publisher’s Note: The statements, opinions and data contained in all publications are solely those of the individual author(s) and contributor(s) and not of MDPI and/or the editor(s). MDPI and/or the editor(s) disclaim responsibility for any injury to people or property resulting from any ideas, methods, instructions or products referred to in the content. |
© 2023 by the authors. Licensee MDPI, Basel, Switzerland. This article is an open access article distributed under the terms and conditions of the Creative Commons Attribution (CC BY) license (https://creativecommons.org/licenses/by/4.0/).
Share and Cite
Babgi, M.F.; Albar, H.M.; Miny, M.H.; Alzahrani, H.; Ahmad, M.S.; Shaik, R.A.; Ahmed, E.O. Disparity Analysis for Cardiac Surgical Outcomes: The Citizenship Factor. J. Cardiovasc. Dev. Dis. 2023, 10, 292. https://doi.org/10.3390/jcdd10070292
Babgi MF, Albar HM, Miny MH, Alzahrani H, Ahmad MS, Shaik RA, Ahmed EO. Disparity Analysis for Cardiac Surgical Outcomes: The Citizenship Factor. Journal of Cardiovascular Development and Disease. 2023; 10(7):292. https://doi.org/10.3390/jcdd10070292
Chicago/Turabian StyleBabgi, Mohammad F., Haitham M. Albar, Mohammed H. Miny, Haitham Alzahrani, Mohammad Shakil Ahmad, Riyaz Ahmed Shaik, and Elnazeer O. Ahmed. 2023. "Disparity Analysis for Cardiac Surgical Outcomes: The Citizenship Factor" Journal of Cardiovascular Development and Disease 10, no. 7: 292. https://doi.org/10.3390/jcdd10070292
APA StyleBabgi, M. F., Albar, H. M., Miny, M. H., Alzahrani, H., Ahmad, M. S., Shaik, R. A., & Ahmed, E. O. (2023). Disparity Analysis for Cardiac Surgical Outcomes: The Citizenship Factor. Journal of Cardiovascular Development and Disease, 10(7), 292. https://doi.org/10.3390/jcdd10070292

