Association Between Muscle Quality Assessed by the 5-Repetition Sit-to-Stand Test and Falls in Community-Dwelling Older Adults in Japan: A Cross-Sectional Study
Abstract
1. Introduction
2. Methods
2.1. Study Design
2.2. Calculation of Sample Size
2.3. Participants
2.4. Outcome Measure
2.5. Calculation of MQI (Muscle Quality Index)
2.6. Explanatory Variables
2.7. Covariate Variables
2.8. Statistical Analysis
3. Results
3.1. Characteristics of Participants and Comparison of Fallers and Non-Fallers
3.2. Results of Binary Logistic Regression Analysis
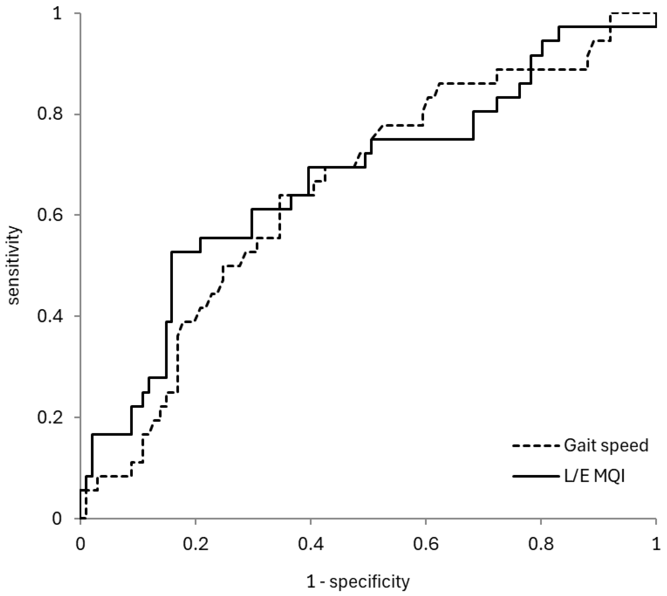
3.3. Discrimination Performance and Cutoff Value of Fall History Using the ROC Curve
4. Discussion
4.1. Clinical Implications
4.2. Limitations
4.3. Future Studies
5. Conclusions
Author Contributions
Funding
Institutional Review Board Statement
Informed Consent Statement
Data Availability Statement
Acknowledgments
Conflicts of Interest
Abbreviations
| SMI | Skeletal muscle mass index |
| SMM | Skeletal muscle mass |
| MQI | Muscle quality index |
| BIA | Bioelectrical impedance analysis |
| BMI | Body Mass Index |
| 5R-STS | 5-repetition sit-to-stand test |
| 30-CS | 30 s chair stand test |
| TUG | Timed up and go test |
| MCR | Motoric cognitive risk syndrome |
| OR | Odds ratio |
| ROC curve | Receiver operating characteristic curve |
| AUC | Area under the curve |
References
- Salari, N.; Darvishi, N.; Ahmadipanah, M.; Shohaimi, S.; Mohammadi, M. Global Prevalence of Falls in the Older Adults: A Comprehensive Systematic Review and Meta-Analysis. J. Orthop. Surg. Res. 2022, 17, 334. [Google Scholar] [CrossRef] [PubMed]
- Niino, N.; Tsuzuku, S.; Ando, F.; Shimokata, H. Frequencies and Circumstances of Falls in the National Institute for Longevity Sciences, Longitudinal Study of Aging (NILS-LSA). J. Epidemiol. 2000, 10, S90–S94. [Google Scholar] [CrossRef] [PubMed][Green Version]
- Aoyagi, K.; Ross, P.D.; Davis, J.W.; Wasnich, R.D.; Hayashi, T.; Takemoto, T. Falls among Community-Dwelling Elderly in Japan. J. Bone Miner. Res. 1998, 13, 1468–1474. [Google Scholar] [CrossRef] [PubMed]
- Yamada, M.; Terao, Y.; Kojima, I.; Tanaka, S.; Saegusa, H.; Nanbu, M.; Soma, S.; Matsumoto, H.; Saito, M.; Okawa, K.; et al. Characteristics of Falls in Japanese Community-Dwelling Older Adults. Geriatr. Gerontol. Int. 2024, 24, 1181–1188. [Google Scholar] [CrossRef]
- Shimada, H.; Tsutsumimoto, K.; Doi, T.; Lee, S.; Bae, S.; Nakakubo, S.; Makino, K.; Arai, H. Effect of Sarcopenia Status on Disability Incidence Among Japanese Older Adults. J. Am. Med. Dir. Assoc. 2021, 22, 846–852. [Google Scholar] [CrossRef]
- Xu, J.; Wan, C.S.; Ktoris, K.; Reijnierse, E.M.; Maier, A.B. Sarcopenia Is Associated with Mortality in Adults: A Systematic Review and Meta-Analysis. Gerontology 2022, 68, 361–376. [Google Scholar] [CrossRef]
- Xia, L.; Zhao, R.; Wan, Q.; Wu, Y.; Zhou, Y.; Wang, Y.; Cui, Y.; Shen, X.; Wu, X. Sarcopenia and Adverse Health-Related Outcomes: An Umbrella Review of Meta-Analyses of Observational Studies. Cancer Med. 2020, 9, 7964–7978. [Google Scholar] [CrossRef]
- McCormick, R.; Vasilaki, A. Age-Related Changes in Skeletal Muscle: Changes to Life-Style as a Therapy. Biogerontology 2018, 19, 519–536. [Google Scholar] [CrossRef]
- Lexell, J.; Taylor, C.C.; Sjöström, M. What Is the Cause of the Ageing Atrophy? Total Number, Size and Proportion of Different Fiber Types Studied in Whole Vastus Lateralis Muscle from 15- to 83-Year-Old Men. J. Neurol. Sci. 1988, 84, 275–294. [Google Scholar] [CrossRef]
- Yeung, S.S.Y.; Reijnierse, E.M.; Pham, V.K.; Trappenburg, M.C.; Lim, W.K.; Meskers, C.G.M.; Maier, A.B. Sarcopenia and Its Association with Falls and Fractures in Older Adults: A Systematic Review and Meta-Analysis. J. Cachexia Sarcopenia Muscle 2019, 10, 485–500. [Google Scholar] [CrossRef]
- Barbat-Artigas, S.; Rolland, Y.; Zamboni, M.; Aubertin-Leheudre, M. How to Assess Functional Status: A New Muscle Quality Index. J. Nutr. Health Aging 2012, 16, 67–77. [Google Scholar] [CrossRef] [PubMed]
- Mitchell, W.K.; Williams, J.; Atherton, P.; Larvin, M.; Lund, J.; Narici, M. Sarcopenia, Dynapenia, and the Impact of Advancing Age on Human Skeletal Muscle Size and Strength; a Quantitative Review. Front. Physiol. 2012, 3, 260. [Google Scholar] [CrossRef] [PubMed]
- Yamada, M.; Kimura, Y.; Ishiyama, D.; Otobe, Y.; Suzuki, M.; Koyama, S.; Arai, H. Combined Effect of Lower Muscle Quality and Quantity on Incident Falls and Fall-Related Fractures in Community-Dwelling Older Adults: A 3-Year Follow-up Study. Bone 2022, 162, 116474. [Google Scholar] [CrossRef]
- Michel, E.; Zory, R.; Guerin, O.; Prate, F.; Sacco, G.; Chorin, F. Assessing Muscle Quality as a Key Predictor to Differentiate Fallers from Non-Fallers in Older Adults. Eur. Geriatr. Med. 2024, 15, 1301–1311. [Google Scholar] [CrossRef]
- Radaelli, R.; Brusco, C.M.; Lopez, P.; Rech, A.; Machado, C.L.F.; Grazioli, R.; Müller, D.C.; Tufano, J.J.; Cadore, E.L.; Pinto, R.S. Muscle Quality and Functionality in Older Women Improve Similarly with Muscle Power Training Using One or Three Sets. Exp. Gerontol. 2019, 128, 110745. [Google Scholar] [CrossRef]
- Fukumoto, Y.; Ikezoe, T.; Yamada, Y.; Tsukagoshi, R.; Nakamura, M.; Mori, N.; Kimura, M.; Ichihashi, N. Skeletal Muscle Quality Assessed from Echo Intensity Is Associated with Muscle Strength of Middle-Aged and Elderly Persons. Eur. J. Appl. Physiol. 2012, 112, 1519–1525. [Google Scholar] [CrossRef]
- McGregor, R.A.; Cameron-Smith, D.; Poppitt, S.D. It Is Not Just Muscle Mass: A Review of Muscle Quality, Composition and Metabolism during Ageing as Determinants of Muscle Function and Mobility in Later Life. Longev. Healthspan 2014, 3, 9. [Google Scholar] [CrossRef]
- de Lucena Alves, C.P.; de Almeida, S.B.; Lima, D.P.; Neto, P.B.; Miranda, A.L.; Manini, T.; Vlietstra, L.; Waters, D.L.; Bielemann, R.M.; Correa-de-Araujo, R.; et al. Muscle Quality in Older Adults: A Scoping Review. J. Am. Med. Dir. Assoc. 2023, 24, 462–467.e12. [Google Scholar] [CrossRef]
- Phillipe de Lucena Alves, C.; Câmara, M.; Dantas Macêdo, G.A.; Freire, Y.A.; de Melo Silva, R.; Paulo-Pereira, R.; Farias-Junior, L.F.; Fayh, A.P.T.; Mortatti, A.L.; Costa, E.C. Agreement between Upper and Lower Limb Measures to Identify Older Adults with Low Skeletal Muscle Strength, Muscle Mass and Muscle Quality. PLoS ONE 2022, 17, e0262732. [Google Scholar] [CrossRef]
- Machado-Payer, R.; Latorre-Román, P.Á.; Jerez-Mayorga, D.; Chirosa, L.J.; Ábalos-Medina, G. Muscle Quality Index as a Predictor of Hip Osteoarthritis. Top. Geriatr. Rehabil. 2020, 36, 50. [Google Scholar] [CrossRef]
- Fragala, M.S.; Fukuda, D.H.; Stout, J.R.; Townsend, J.R.; Emerson, N.S.; Boone, C.H.; Beyer, K.S.; Oliveira, L.P.; Hoffman, J.R. Muscle Quality Index Improves with Resistance Exercise Training in Older Adults. Exp. Gerontol. 2014, 53, 1–6. [Google Scholar] [CrossRef] [PubMed]
- Cho, K.H.; Bok, S.K.; Kim, Y.-J.; Hwang, S.L. Effect of Lower Limb Strength on Falls and Balance of the Elderly. Ann. Rehabil. Med. 2012, 36, 386–393. [Google Scholar] [CrossRef] [PubMed]
- Reider, N.; Gaul, C. Fall Risk Screening in the Elderly: A Comparison of the Minimal Chair Height Standing Ability Test and 5-Repetition Sit-to-Stand Test. Arch. Gerontol. Geriatr. 2016, 65, 133–139. [Google Scholar] [CrossRef] [PubMed]
- Lusardi, M.M.; Fritz, S.; Middleton, A.; Allison, L.; Wingood, M.; Phillips, E.; Criss, M.; Verma, S.; Osborne, J.; Chui, K.K. Determining Risk of Falls in Community Dwelling Older Adults: A Systematic Review and Meta-Analysis Using Posttest Probability. J. Geriatr. Phys. Ther. 2017, 40, 1–36. [Google Scholar] [CrossRef]
- Kyrdalen, I.L.; Thingstad, P.; Sandvik, L.; Ormstad, H. Associations between Gait Speed and Well-Known Fall Risk Factors among Community-Dwelling Older Adults. Physiother. Res. Int. 2019, 24, e1743. [Google Scholar] [CrossRef]
- Beauchet, O.; Fantino, B.; Allali, G.; Muir, S.W.; Montero-Odasso, M.; Annweiler, C. Timed Up and Go Test and Risk of Falls in Older Adults: A Systematic Review. J. Nutr. Health Aging 2011, 15, 933–938. [Google Scholar] [CrossRef]
- Liu, H.; Hou, Y.; Li, H.; Lin, J. Influencing Factors of Weak Grip Strength and Fall: A Study Based on the China Health and Retirement Longitudinal Study (CHARLS). BMC Public Health 2022, 22, 2337. [Google Scholar] [CrossRef]
- Middleton, R.; Poveda, J.L.; Orfila Pernas, F.; Martinez Laguna, D.; Diez Perez, A.; Nogués, X.; Carbonell Abella, C.; Reyes, C.; Prieto-Alhambra, D. Mortality, Falls, and Fracture Risk Are Positively Associated With Frailty: A SIDIAP Cohort Study of 890 000 Patients. J. Gerontol. A Biol. Sci. Med. Sci. 2022, 77, 148–154. [Google Scholar] [CrossRef]
- Chhetri, J.K.; Chan, P.; Vellas, B.; Cesari, M. Motoric Cognitive Risk Syndrome: Predictor of Dementia and Age-Related Negative Outcomes. Front. Med. 2017, 4, 166. [Google Scholar] [CrossRef]
- Peduzzi, P.; Concato, J.; Kemper, E.; Holford, T.R.; Feinstein, A.R. A Simulation Study of the Number of Events per Variable in Logistic Regression Analysis. J. Clin. Epidemiol. 1996, 49, 1373–1379. [Google Scholar] [CrossRef]
- Yamada, M.; Arai, H. Self-Management Group Exercise Extends Healthy Life Expectancy in Frail Community-Dwelling Older Adults. Int. J. Environ. Res. Public Health 2017, 14, 531. [Google Scholar] [CrossRef] [PubMed]
- Koski, K.; Luukinen, H.; Laippala, P.; Kivela, S.L. Physiological Factors and Medications as Predictors of Injurious Falls by Elderly People: A Prospective Population-Based Study. Age Ageing 1996, 25, 29–38. [Google Scholar] [CrossRef] [PubMed]
- Satake, S.; Arai, H. The Revised Japanese Version of the Cardiovascular Health Study Criteria (Revised J-CHS Criteria). Geriatr. Gerontol. Int. 2020, 20, 992–993. [Google Scholar] [CrossRef] [PubMed]
- Chen, L.-K.; Woo, J.; Assantachai, P.; Auyeung, T.-W.; Chou, M.-Y.; Iijima, K.; Jang, H.C.; Kang, L.; Kim, M.; Kim, S.; et al. Asian Working Group for Sarcopenia: 2019 Consensus Update on Sarcopenia Diagnosis and Treatment. J. Am. Med. Dir. Assoc. 2020, 21, 300–307.e2. [Google Scholar] [CrossRef]
- Yamada, M.; Kimura, Y.; Ishiyama, D.; Nishio, N.; Abe, Y.; Kakehi, T.; Fujimoto, J.; Tanaka, T.; Ohji, S.; Otobe, Y.; et al. Differential Characteristics of Skeletal Muscle in Community-Dwelling Older Adults. J. Am. Med. Dir. Assoc. 2017, 18, 807.e9–807.e16. [Google Scholar] [CrossRef]
- Verghese, J.; Wang, C.; Lipton, R.B.; Holtzer, R. Motoric Cognitive Risk Syndrome and the Risk of Dementia. J. Gerontol. A Biol. Sci. Med. Sci. 2013, 68, 412–418. [Google Scholar] [CrossRef]
- Shimada, H.; Suzukawa, M.; Tiedemann, A.; Kobayashi, K.; Yoshida, H.; Suzuki, T. Which Neuromuscular or Cognitive Test. Is. the Optimal Screening Tool. to Predict. Falls in Frail Community-Dwelling Older People? Gerontology 2009, 55, 532–538. [Google Scholar] [CrossRef]
- Kitamura, A.; Seino, S.; Abe, T.; Nofuji, Y.; Yokoyama, Y.; Amano, H.; Nishi, M.; Taniguchi, Y.; Narita, M.; Fujiwara, Y.; et al. Sarcopenia: Prevalence, Associated Factors, and the Risk of Mortality and Disability in Japanese Older Adults. J. Cachexia Sarcopenia Muscle 2021, 12, 30–38. [Google Scholar] [CrossRef]
- Kojima, G.; Iliffe, S.; Taniguchi, Y.; Shimada, H.; Rakugi, H.; Walters, K. Prevalence of Frailty in Japan: A Systematic Review and Meta-Analysis. J. Epidemiol. 2017, 27, 347–353. [Google Scholar] [CrossRef]
- Mitsiopoulos, N.; Baumgartner, R.N.; Heymsfield, S.B.; Lyons, W.; Gallagher, D.; Ross, R. Cadaver Validation of Skeletal Muscle Measurement by Magnetic Resonance Imaging and Computerized Tomography. J. Appl. Physiol. 1998, 85, 115–122. [Google Scholar] [CrossRef]
- Ito, K.; Tsushita, K.; Muramoto, A.; Kanzaki, H.; Nohara, T.; Shimizu, H.; Nakazawa, T.; Harada, A. Cross-Calibration of Pencil-Beam (DPX-NT) and Fan-Beam (QDR-4500C) Dual-Energy X-Ray Absorptiometry for Sarcopenia. Nagoya J. Med. Sci. 2015, 77, 647–652. [Google Scholar] [PubMed]
- Segers, J.; Hermans, G.; Charususin, N.; Fivez, T.; Vanhorebeek, I.; Van den Berghe, G.; Gosselink, R. Assessment of Quadriceps Muscle Mass with Ultrasound in Critically Ill Patients: Intra- and Inter-Observer Agreement and Sensitivity. Intensive Care Med. 2015, 41, 562–563. [Google Scholar] [CrossRef] [PubMed]
- Zhu, R.T.-L.; Zuo, J.J.-J.; Li, K.-J.; Lam, F.M.H.; Wong, A.Y.L.; Yang, L.; Bai, X.; Wong, M.S.; Kwok, T.; Zheng, Y.-P.; et al. Association of Lower-Limb Strength with Different Fall Histories or Prospective Falls in Community-Dwelling Older People: A Systematic Review and Meta-Analysis. BMC Geriatr. 2025, 25, 83. [Google Scholar] [CrossRef] [PubMed]
- Simpkins, C.; Yang, F. Muscle Power Is More Important than Strength in Preventing Falls in Community-Dwelling Older Adults. J. Biomech. 2022, 134, 111018. [Google Scholar] [CrossRef]
- Buatois, S.; Perret-Guillaume, C.; Gueguen, R.; Miget, P.; Vançon, G.; Perrin, P.; Benetos, A. A Simple Clinical Scale to Stratify Risk of Recurrent Falls in Community-Dwelling Adults Aged 65 Years and Older. Phys. Ther. 2010, 90, 550–560. [Google Scholar] [CrossRef]
- Tiedemann, A.; Shimada, H.; Sherrington, C.; Murray, S.; Lord, S. The Comparative Ability of Eight Functional Mobility Tests for Predicting Falls in Community-Dwelling Older People. Age Ageing 2008, 37, 430–435. [Google Scholar] [CrossRef]
- Knox, P.J.; Coyle, P.C.; Pugliese, J.M.; Pohlig, R.T.; Sions, J.M.; Hicks, G.E. Hip Osteoarthritis Signs and Symptoms Are Associated with Increased Fall Risk among Community-Dwelling Older Adults with Chronic Low Back Pain: A Prospective Study. Arthritis Res. Ther. 2021, 23, 71. [Google Scholar] [CrossRef]
- Ichinose, H.; Tanaka, F.; Yamagishi, T.; Sado, N.; Shiotani, H.; Evangelidis, P.E.; Naito, M.; Shibata, S.; Kawakami, Y. Age- and Sex-Dependence of Muscle Quality: Influence of Intramuscular Non-Contractile Tissues. Exp. Gerontol. 2024, 196, 112574. [Google Scholar] [CrossRef]


| Variable | Faller (n = 36, 26.3%) | Non-Faller (n = 101, 73.3%) | p-Value | Effect Size | ||
|---|---|---|---|---|---|---|
| Age (years) | 78.2 ± 5.6 | 76.9 ± 5.3 | 0.22 | # | 0.24 | |
| Sex; women (n, %) | 29 (80.6) | 82 (81.2) | 0.93 | * | <0.01 | ¶ |
| BMI (kg/m2) | 22.7 ± 3.4 | 22.1 ± 3.0 | 0.33 | # | 0.19 | |
| Gait Speed (m/s) | 1.19 ± 0.24 | 1.32 ± 0.26 | 0.01 | # | 0.50 | |
| TUG (s) | 8.74 ± 2.12 | 7.76 ± 1.31 | <0.01 | ### | 0.63 | |
| Grip Strength (kg) | 22.8 ± 5.6 | 25.0 ± 5.9 | 0.07 | ### | 0.37 | |
| 5R-STS (s) | 9.7 ± 3.0 | 8.0 ± 2.3 | <0.01 | ## | 0.66 | |
| SMI (kg/m2) | 6.09 ± 0.64 | 6.23 ± 0.86 | 0.29 | ## | 0.18 | |
| Lower leg SMM (kg) | 11.08 ± 1.90 | 11.64 ± 2.57 | 0.37 | ### | 0.23 | |
| Lower leg MQI (s/kg) | 8.92 ± 3.18 | 7.13 ± 2.30 | <0.01 | ### | 0.70 | |
| Physical Frailty (n, %) Robust Pre-Frail Frail | 17 (12.4) 14 (10.2) 5 (3.6) | 55 (40.1) 45 (32.8) 1 (0.7) | 0.01 | ** | 0.28 | ¶¶ |
| Sarcopenia (n, %) Robust Pre-Sarcopenia Dynapenia Sarcopenia | 18 (13.1) 6 (4.4) 8 (5.8) 4 (2.9) | 62 (45.3) 23 (16.8) 10 (7.3) 6 (4.4) | 0.17 | ** | 0.19 | ¶¶ |
| MCR (n, %) Non-MCR MCR | 32 (23.4) 4 (2.9) | 94 (68.6) 7 (5.1) | 0.48 | ** | 0.07 | ¶ |
| Odds Ratio | 95%CI [Min–Max] | Wald | p-Value | |
|---|---|---|---|---|
| Gait Speed | 0.14 | [0.03–0.76] | 5.17 | 0.02 |
| L/E MQI | 1.28 | [1.09–1.51] | 9.46 | <0.01 |
Disclaimer/Publisher’s Note: The statements, opinions and data contained in all publications are solely those of the individual author(s) and contributor(s) and not of MDPI and/or the editor(s). MDPI and/or the editor(s) disclaim responsibility for any injury to people or property resulting from any ideas, methods, instructions or products referred to in the content. |
© 2025 by the authors. Licensee MDPI, Basel, Switzerland. This article is an open access article distributed under the terms and conditions of the Creative Commons Attribution (CC BY) license (https://creativecommons.org/licenses/by/4.0/).
Share and Cite
Takimoto, K.; Takebayashi, H.; Kondo, H.; Ikeda, K. Association Between Muscle Quality Assessed by the 5-Repetition Sit-to-Stand Test and Falls in Community-Dwelling Older Adults in Japan: A Cross-Sectional Study. Geriatrics 2025, 10, 78. https://doi.org/10.3390/geriatrics10030078
Takimoto K, Takebayashi H, Kondo H, Ikeda K. Association Between Muscle Quality Assessed by the 5-Repetition Sit-to-Stand Test and Falls in Community-Dwelling Older Adults in Japan: A Cross-Sectional Study. Geriatrics. 2025; 10(3):78. https://doi.org/10.3390/geriatrics10030078
Chicago/Turabian StyleTakimoto, Koji, Hideaki Takebayashi, Hiroshi Kondo, and Koji Ikeda. 2025. "Association Between Muscle Quality Assessed by the 5-Repetition Sit-to-Stand Test and Falls in Community-Dwelling Older Adults in Japan: A Cross-Sectional Study" Geriatrics 10, no. 3: 78. https://doi.org/10.3390/geriatrics10030078
APA StyleTakimoto, K., Takebayashi, H., Kondo, H., & Ikeda, K. (2025). Association Between Muscle Quality Assessed by the 5-Repetition Sit-to-Stand Test and Falls in Community-Dwelling Older Adults in Japan: A Cross-Sectional Study. Geriatrics, 10(3), 78. https://doi.org/10.3390/geriatrics10030078

