Isolation and Characterization of Yeasts from Rumen Fluids for Potential Use as Additives in Ruminant Feeding
Abstract
1. Introduction
2. Materials and Methods
2.1. Screening and Selection Potential Yeasts in the Rumen
2.1.1. Animals, Diet and Isolation Procedure
2.1.2. Morphological Characterization
2.1.3. Determination of the Biomass and Carboxymethyl Cellulase Activity
Experimental Design and Preparation of Media Solution
2.2. Study of Potential Ruminal Yeast and Identification
2.2.1. Molecular Identification of Selected Ruminal Yeast
2.2.2. Measurement of Yeast Cell Growth, Reducing Sugar and Ethanol Production
2.3. Statistical Analysis
2.3.1. Dry Biomass and Carboxymethyl Cellulase Activity
2.3.2. Cell Counts, Ethanol Production and Reducing Sugar
3. Results
3.1. Isolation and Morphological Characteristics of Yeast Isolated from Rumen Fluids
3.2. The Biomass Production and Cellulase Activity
3.2.1. Effects of Varying Concentrations of Sugarcane Molasses and Urea on Biomass of Isolated Yeast at 72 h of Incubation Time
3.2.2. Effects of Varying Concentrations of Sugarcane Molasses and Urea on Cellulase Activity of Isolated Yeast at 72 h of Incubation Time
3.3. Selection and Identification of Potential Yeast Strains
3.4. Cell Counts, Ethanol Production and Reducing Sugar by Ruminal Yeast Strains
3.4.1. Effect of Incubation Time and Isolated Yeast Strains on Cell Counts
3.4.2. Effect of Incubation Time and Isolated Yeast Strains on Ethanol Production
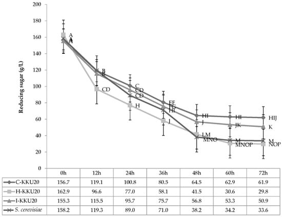
3.4.3. Effect of Incubation Time and Isolated Yeast Strains on Reducing Sugar
4. Discussion
4.1. Isolation of Yeast from Rumen Fluids
4.2. The Biomass Production and Cellulase Enzyme Activity of Isolated Yeasts
4.3. Identification of Isolated Yeasts
4.4. Cell Counts, Ethanol Production and Sugar Reduction of Selected Ruminal Yeasts
5. Conclusions
Author Contributions
Funding
Institutional Review Board Statement
Informed Consent Statement
Data Availability Statement
Acknowledgments
Conflicts of Interest
References
- Campanile, G.; Zicarelli, F.; Vecchio, D.; Pacelli, C.; Neglia, G.; Balestrieri, A.; Di Palo, R.; Infascelli, F. Effects of Saccharomyces cerevisiae on in vivo organic matter digestibility and milk yield in buffalo cows. Livest. Sci. 2008, 114, 358–361. [Google Scholar] [CrossRef]
- Marrero, Y.; Castillo, Y.; Ruiz, O.; Burrola, E.; Angulo, C. Feeding of yeast (Candida spp.) improves in vitro ruminal fermentation of fibrous substrates. J. Integr. Agric. 2015, 14, 514–519. [Google Scholar] [CrossRef]
- Fonty, G.; Chaucheyras-Durand, F. Effects and modes of action of live yeasts in the rumen. Biologia 2006, 61, 741–750. [Google Scholar] [CrossRef]
- Arowolo, M.A.; He, J. Use of probiotics and botanical extracts to improve ruminant production in the tropics. Rev. Anim. Nutr. 2018, 4, 241–249. [Google Scholar] [CrossRef] [PubMed]
- Chaucheyras-Durand, F.; Chevaux, E.; Martin, C.; Forano, E. Use of yeast probiotics in ruminants: Effects and mechanisms of action on rumen pH, fibre degradation, and microbiota according to the diet. Biology 2012, 119–152. [Google Scholar] [CrossRef]
- Boonnop, K.; Wanapat, M.; Nontaso, N.; Wanapat, S. Enriching nutritive value of cassava root by yeast fermentation. Sci. Agric. 2009, 66, 629–633. [Google Scholar] [CrossRef]
- Khampa, S.; Chuelong, S.; Kosonkittiumporn, S.; Khejornsart, P. Manipulation of yeast fermented cassava chip supplementation in dairy heifer raised under tropical condition. Pak. J. Nutr. 2010, 9, 950–954. [Google Scholar] [CrossRef][Green Version]
- Polsit, K.; Chuelong, S.; Siriuthane, T.; Ittarat, S.; Koatedoke, U.; Cherdthong, A.; Khampa, S. Supplementation of cassava and durian hull fermented yeast (Saccharomyces cerevisiae) on rumen fermentation and average daily gain in crossbred native cattle. Pak. J. Nutr. 2011, 10, 1121–1125. [Google Scholar] [CrossRef][Green Version]
- Puramongkon, T.; Thummasaeng, K. Effect of yeast fermented cassava pulp from ethanol production with molasses on feed intake, digestibility and rumen fermentation in beef cattle. Rajabhat Agric. 2017, 16, 26–33. [Google Scholar]
- Khampa, S.; Ittharat, S.; Koatdoke, U. Enrichment value of yeast-malate fermented cassava pulp and cassava hay as protein source replace soybean meal in concentrate on rumen ecology in crossbred native cattle. Pak. J. Nutr. 2011, 10, 1126–1131. [Google Scholar] [CrossRef]
- Cherdthong, A.; Suntara, C.; Khota, W. Improving nutritive value of ensiled rice straw as influenced by Lactobacillus casei. Khon Kaen Agric. J. 2019, 47, 105–110. [Google Scholar]
- Wanapat, M.; Polyorach, S.; Boonnop, K.; Mapato, C.; Cherdthong, A. Effects of treating rice straw with urea or urea and calcium hydroxide upon intake, digestibility, rumen fermentation and milk yield of dairy cows. Livest. Sci. 2009, 125, 238–243. [Google Scholar] [CrossRef]
- Foiklang, S.; Upama, P.; Kolyanee, W.; Japanya, R.; Ounpon, P.; Pengsiri, K.; Wanapat, M.; Yammuen-art, S. In vitro gas kinetics and digestibility as influenced by yeast media solution ratios and physical forms of rice straw. Khon Kaen Agric. J. 2017, 45, 74–79. [Google Scholar]
- Wardrop, F.; Liti, G.; Cardinali, G.; Walker, G. Physiological responses of Crabtree positive and Crabtree negative yeasts to glucose upshifts in a chemostat. Ann. Microbiol. 2004, 54, 103–114. [Google Scholar]
- Verduyn, C.; Zomerdijk, T.P.; van Dijken, J.P.; Scheffers, W.A. Continuous measurement of ethanol production by aerobic yeast suspensions with an enzyme electrode. Appl. Microbiol. Biotechnol. 1984, 19, 181–185. [Google Scholar] [CrossRef]
- Sirisan, V.; Pattarajinda, V.; Vichitphan, K.; Leesing, R. Isolation, identification and growth determination of lactic acid-utilizing yeasts from the ruminal fluid of dairy cattle. Lett. Appl. Microbiol. 2013, 57, 102–107. [Google Scholar] [CrossRef] [PubMed]
- Suntara, C.; Cherdthong, A.; Uriyapongson, S.; Wanapat, M.; Chanjula, P. Comparison effects of ruminal Crabtree-negative yeasts and Crabtree-positive yeasts for improving ensiled rice straw quality and ruminal digestion using in vitro gas production. J. Fungi. 2020, 6, 109. [Google Scholar] [CrossRef] [PubMed]
- Sarawan, S.; Mahakhan, P.; Jindamorakot, S.; Vichitphan, K.; Vichitphan, S.; Sawaengkaew, J. Candida konsanensis sp. nov., a new yeast species isolated from Jasminum adenophyllum in Thailand with potentially carboxymethyl cellulase-producing capability. World J. Microbiol. Biotechnol. 2013, 29, 1481–1486. [Google Scholar] [CrossRef] [PubMed]
- National Research Council (NRC). Nutrient Requirements of Dairy Cattle, 7th ed.; National Academic Press: Washington, DC, USA, 2001. [Google Scholar]
- Sirisan, V. Screening and Identification of Lactic Acid Utilizing Yeasts in the Rumen by Molecular Technique for Increasing Dairy Cattle Performance; Khon Kaen University: Khon Kaen, Thailand, 2013. [Google Scholar]
- Kurtzman, C.; Fell, J.; Boekhout, T.; Robert, V. Methods for the Isolation, Maintenance and Identification of Yeasts. The Yeast, A Taxonomic Study; Elsevier: Amsterdam, The Netherlands, 1998; pp. 79–80. [Google Scholar]
- Sarawan, S. Utilization of Agricultural Waste by Using Carboxymethyl Cellulase and Beta-Glucosidase from Yeast for Ethanol Production; Khon Kaen University: Khon Kaen, Thailand, 2013. [Google Scholar]
- Johnson, V.W.; Singh, M.; Saini, V.S.; Adhikari, D.K.; Sista, V.; Yadav, N.K. Utilization of molasses for the production of fat by an oleaginous yeast, Rhodotorula glutinis IIP-30. J. Ind. Microbiol. 1995, 14, 1–4. [Google Scholar] [CrossRef]
- Mandel, M. Exoglucanase activity by microorganisms. Adv. Chem. 1969, 95, 391–414. [Google Scholar]
- Kurtzman, C.P.; Robnett, C.J. Identification and phylogeny of ascomycetous yeasts from analysis of nuclear large subunit (26S) ribosomal DNA partial sequences. Antonie Leeuwenhoek 1998, 73, 331–371. [Google Scholar] [CrossRef]
- Darvishi, F.; Moradi, M.; Madzak, C.; Jolivalt, C. Production of laccase by recombinant Yarrowia lipolytica from molasses: Bioprocess development using statistical modeling and increase productivity in shake-flask and bioreactor cultures. Appl. Biochem. Biotechnol. 2017, 181, 1228–1239. [Google Scholar] [CrossRef]
- Miller, G. Modified DNS method for reducing sugars. Anal. Chem. 1959, 31, 426–428. [Google Scholar] [CrossRef]
- Ghose, T. Measurement of cellulase activities. Pure Appl. Chem. 1987, 59, 257–268. [Google Scholar] [CrossRef]
- Luangkriangkrai, A.S.I.C. Determination of ethanol in fermented media by head space the internal standard method in cas chromatography. In Proceedings of the Agricultural Conference, Faculty of Agriculture, Kasetsart University, Bangkok, Thailand, 8–10 December 2011. [Google Scholar]
- SAS. User’s Guide: Statistic, 12th ed.; Version 6; SAS Institute Inc.: Cary, NC, USA, 1998. [Google Scholar]
- Steel, R.G.; Torrie, J.H. Principles and Procedures of Statistics; McGraw-Hill Book Co. Inc.: New York, NY, USA, 1980; p. 633. [Google Scholar]
- Marrero, Y.; Castillo, Y.; Burrola-Barraza, M.E.; Lobaina, T.; Rosa, C.A.; Ruiz, O.; González-Rodríguez, E.; Basso, L.C. Morphological, biochemical and molecular identification of the yeast Levica 25: A potential ruminal microbial additive. Glob. Vet. 2011, 7, 60–65. [Google Scholar]
- Marrero, Y.; Burrola-Barraza, M.; Castillo, Y.; Basso, L.C.; Rosa, C.; Ruiz, O.; González-Rodríguez, E. Identification of Levica yeasts as a potential ruminal microbial additive. Czech J. Anim. Sci. 2013, 58, 460–469. [Google Scholar] [CrossRef]
- Tefera, T.; Ameha, K.; Biruhtesfa, A. Cassava based foods: Microbial fermentation by single starter culture towards cyanide reduction, protein enhancement and palatability. Int. Food Res. J. 2014, 21, 1751. [Google Scholar]
- Paserakung, A.; Pattarajinda, V.; Vichitphan, K.; Froetschel, M. Selection and identification of oleaginous yeast isolated from soil, animal feed and ruminal fluid for use as feed supplement in dairy cattle. Lett. Appl. Microbiol. 2015, 61, 325–332. [Google Scholar] [CrossRef]
- Manikandan, K.; Viruthagiri, T. Optimization of C/N ratio of the medium and fermentation conditions of ethanol production from tapioca starch using co–culture of Aspergillus niger and Saccharomyces cerevisiae. Int. J. Chem. Technol. Res. 2010, 2, 947–955. [Google Scholar]
- Danesi, E.D.G.; Miguel, Â.S.M.; de Oliveira Rangel-Yagui, C.; De Carvalho, J.C.M.; Pessoa, A., Jr. Effect of carbon: Nitrogen ratio (C: N) and substrate source on glucose-6-phosphate dehydrogenase (G6PDH) production by recombinant Saccharomyces cerevisiae. J. Food Eng. 2006, 75, 96–103. [Google Scholar] [CrossRef]
- Sokchea, H.; Thi Hang, P.; Dinh Phung, L.; Duc Ngoan, L.; Thu Hong, T. Effect of time, urea and molasses concentration on Saccharomyces cerevisiae biomass production. J. Vet. Anim. Res. 2018, 1, 104. [Google Scholar]
- Khampa, S.; Chaowarat, P.; Singhalert, R.; Wanapat, M. Supplementation of yeast fermented cassava chip as a replacement concentrate on rumen fermentation efficiency and digestibility on nutrients in cattle. Asian-Australas. J. Anim. Sci. 2009, 3, 18–24. [Google Scholar] [CrossRef][Green Version]
- Lynd, L.R.; Weimer, P.J.; Van Zyl, W.H.; Pretorius, I.S. Microbial cellulose utilization: Fundamentals and biotechnology. Microbiol. Mol. Biol. Rev. 2002, 66, 506–577. [Google Scholar] [CrossRef] [PubMed]
- Ilmén, M.; Den Haan, R.; Brevnova, E.; McBride, J.; Wiswall, E.; Froehlich, A.; Koivula, A.; Voutilainen, S.P.; Siika-Aho, M.; la Grange, D.C. High level secretion of cellobiohydrolases by Saccharomyces cerevisiae. Biotechnol. Biofuels. 2011, 4, 30. [Google Scholar] [CrossRef] [PubMed]
- Du Plessis, L.; Rose, S.H.; van Zyl, W.H. Exploring improved endoglucanase expression in Saccharomyces cerevisiae strains. Appl. Microbiol. Biotechnol. 2010, 86, 1503–1511. [Google Scholar] [CrossRef]
- Lund, A. Yeasts and moulds in the bovine rumen. Microbiology 1974, 81, 453–462. [Google Scholar] [CrossRef]
- Priji, P.; Unni, K.; Sajith, S.; Benjamin, S. Candida tropicalis BPU1, a novel isolate from the rumen of the Malabari goat, is a dual producer of biosurfactant and polyhydroxybutyrate. Yeast 2013, 30, 103–110. [Google Scholar] [CrossRef] [PubMed]
- Shin, E.; Kim, Y.; Lim, W.; Hong, S.; An, C.; Kim, E.; Cho, K.; Choi, B.; An, J.; Kang, J. Phylogenetic analysis of yeast in the rumen contents of cattle based on the 26S rDNA sequence. J. Agric. Sci. 2004, 142, 603–611. [Google Scholar] [CrossRef]
- Intanoo, M.; Kongkeitkajorn, M.; Pattarajinda, V.; Bernard, J.; Callaway, T.; Suriyasathaporn, W.; Phasuk, Y. Isolation and screening of aflatoxin-detoxifying yeast and bacteria from ruminal fluids to reduce aflatoxin B1 contamination in dairy cattle feed. J. Appl. Microbiol. 2018, 125, 1603–1613. [Google Scholar] [CrossRef]
- Pronk, J.T.; Yde Steensma, H.; van Dijken, J.P. Pyruvate metabolism in Saccharomyces cerevisiae. Yeast 1996, 12, 1607–1633. [Google Scholar] [CrossRef]
- Dashko, S.; Zhou, N.; Compagno, C.; Piškur, J. Why, when, and how did yeast evolve alcoholic fermentation? FEMS Yeast Res. 2014, 14, 826–832. [Google Scholar] [CrossRef] [PubMed]
- Piškur, J.; Compagno, C. Molecular Mechanisms in Yeast Carbon Metabolism, 2014th ed.; Compagno, C., Ed.; Springer: Berlin/Heidelberg, Germany, 2014. [Google Scholar]
- Van Dijken, J.P.; Weusthuis, R.A.; Pronk, J.T. Kinetics of growth and sugar consumption in yeasts. Antonie Leeuwenhoek 1993, 63, 343–352. [Google Scholar] [CrossRef] [PubMed]
- Van Urk, H.; Voll, W.L.; Scheffers, W.A.; Van Dijken, J.P. Transient-state analysis of metabolic fluxes in Crabtree-positive and Crabtree-negative yeasts. Appl. Environ. Microbiol. 1990, 56, 281–287. [Google Scholar] [CrossRef] [PubMed]





| Code Name | Picture | Appearance | Elevation | Colony Nature | Colony Color |
|---|---|---|---|---|---|
| A-KKU20 | ![]() | Asymmetrical | Raised | Rough | White |
| B-KKU20 | ![]() | Asymmetrical | Raised | Rough | White |
| C-KKU20 | ![]() | Asymmetrical | Flat | Rough | White |
| D-KKU20 | ![]() | Ovoid | Flat | Smooth and shiny | colorless |
| E-KKU20 | ![]() | Asymmetrical | Flat | Rough | White |
| F-KKU20 | ![]() | Ovoid | Convex | Smooth | White |
| G-KKU20 | ![]() | Ovoid | Convex | Rough | Turbid |
| H-KKU20 | ![]() | Ovoid | Convex | Rough | White |
| I-KKU20 | ![]() | Ovoid | Flat | Smooth | White |
| J-KKU20 | ![]() | Asymetrical | Flat | Smooth | Colorless |
| K-KKU20 | ![]() | Ovoid | Convex | Rough | White |
| Isolates | Gene Bank Accession No. | Nearest Species with Accession No. | Nucleotide Identity (%) | No. of Nucleotide Differences |
|---|---|---|---|---|
| H-KKU20 | MH545928 | Pichia kudriavzevii | 572/572 (100) | 0 |
| I-KKU20 | U45749 | Candida tropicalis | 570/570 100 | 0 |
| C-KKU20 | EU651849 | Galactomyce spp. | 552/553 (99.82) | 1 |
Publisher’s Note: MDPI stays neutral with regard to jurisdictional claims in published maps and institutional affiliations. |
© 2021 by the authors. Licensee MDPI, Basel, Switzerland. This article is an open access article distributed under the terms and conditions of the Creative Commons Attribution (CC BY) license (http://creativecommons.org/licenses/by/4.0/).
Share and Cite
Suntara, C.; Cherdthong, A.; Wanapat, M.; Uriyapongson, S.; Leelavatcharamas, V.; Sawaengkaew, J.; Chanjula, P.; Foiklang, S. Isolation and Characterization of Yeasts from Rumen Fluids for Potential Use as Additives in Ruminant Feeding. Vet. Sci. 2021, 8, 52. https://doi.org/10.3390/vetsci8030052
Suntara C, Cherdthong A, Wanapat M, Uriyapongson S, Leelavatcharamas V, Sawaengkaew J, Chanjula P, Foiklang S. Isolation and Characterization of Yeasts from Rumen Fluids for Potential Use as Additives in Ruminant Feeding. Veterinary Sciences. 2021; 8(3):52. https://doi.org/10.3390/vetsci8030052
Chicago/Turabian StyleSuntara, Chanon, Anusorn Cherdthong, Metha Wanapat, Suthipong Uriyapongson, Vichai Leelavatcharamas, Jutaporn Sawaengkaew, Pin Chanjula, and Suban Foiklang. 2021. "Isolation and Characterization of Yeasts from Rumen Fluids for Potential Use as Additives in Ruminant Feeding" Veterinary Sciences 8, no. 3: 52. https://doi.org/10.3390/vetsci8030052
APA StyleSuntara, C., Cherdthong, A., Wanapat, M., Uriyapongson, S., Leelavatcharamas, V., Sawaengkaew, J., Chanjula, P., & Foiklang, S. (2021). Isolation and Characterization of Yeasts from Rumen Fluids for Potential Use as Additives in Ruminant Feeding. Veterinary Sciences, 8(3), 52. https://doi.org/10.3390/vetsci8030052












