Antibody Titer Testing in Dogs: Evaluation of Three Point-of-Care Tests for Canine Core Vaccine Antigens Compared to Virus Neutralization
Simple Summary
Abstract
1. Introduction
2. Materials and Methods
2.1. Serum Samples
2.2. Point-of-Care Tests (POCTs)
2.3. Virus Neutralization (VN) Test
2.4. Immunofluorescence Assay (IFA)
2.5. Statistical Analysis
3. Results
3.1. Quality of Serum Samples and Practicability of POCTs
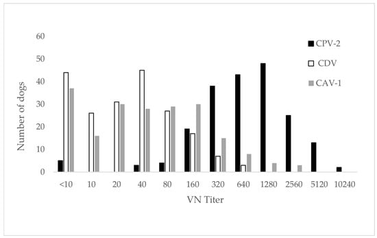
3.2. VN Results
3.3. Performance of POCTs
4. Discussion
5. Conclusions
Author Contributions
Funding
Institutional Review Board Statement
Informed Consent Statement
Data Availability Statement
Acknowledgments
Conflicts of Interest
Appendix A
| Serum Indices | POCT-1 | POCT-2 | POCT-3 |
|---|---|---|---|
| Triglycerides (mg/dL) | No interferences | CPV, CDV: 900 CAV: 1000 | Testing is not recommended in case of visible lipemia, hemolysis or hyperbilirubinemia |
| Hemoglobin (mg/dL) | Hemolysis causes a dark background with indistinct test spots | 10,000 | |
| Bilirubin (mg/dL) | No interferences | CPV, CDV: 5 CAV: 15 |
| Titer | Number of Results for Each Titer Level | ||
|---|---|---|---|
| CPV-2 | CDV | CAV-1 | |
| <10 | 5 | 45 | 37 |
| 10 | 0 | 25 | 16 |
| 20 | 0 | 31 | 31 |
| 40 | 3 | 45 | 28 |
| 80 | 4 | 27 | 29 |
| 160 | 19 | 17 | 29 |
| 320 | 38 | 7 | 15 |
| 640 | 43 | 3 | 8 |
| 1280 | 48 | 0 | 4 |
| 2560 | 25 | 0 | 3 |
| 5120 | 13 | 0 | 0 |
| 10,240 | 2 | 0 | 0 |
| Sample ID | VN | POCT-1 | POCT-2 | POCT-3 | ||||
|---|---|---|---|---|---|---|---|---|
| 1 | + | 320 | + | S4 | 160 | + | 120 | − |
| 2 | + | 640 | + | S5 | 320 | + | 1280 | + |
| 3 | + | 320 | + | S5 | 320 | + | 320 | + |
| 4 | + | 1280 | + | S5 | 320 | + | 640 | + |
| 5 | + | 320 | + | S5 | 320 | + | 320 | + |
| 6 | + | 640 | + | S5 | 320 | + | 1280 | + |
| 7 | + | 160 | + | S4 | 160 | + | 160 | + |
| 8 | + | 160 | + | S4 | 160 | + | 160 | + |
| 9 | + | 160 | + | S4 | 160 | + | 80 | − |
| 10 | + | 160 | + | S6 | ≥640 | + | 1280 | + |
| 11 | + | 80 | + | S2 | 40 | + | 120 | − |
| 12 | + | 640 | + | S5 | 320 | + | 320 | + |
| 13 | + | 160 | + | S4 | 160 | + | 240 | + |
| 14 | + | 320 | + | S5 | 320 | + | 240 | + |
| 15 | + | 640 | + | S6 | ≥640 | + | 640 | + |
| 16 | + | 320 | + | S5 | 320 | + | 640 | + |
| 17 | + | 640 | + | S5 | 320 | + | 640 | + |
| 18 | + | 320 | + | S4 | 160 | + | 240 | + |
| 19 | + | 640 | + | S5 | 320 | + | 320 | + |
| 20 | + | 160 | + | S4 | 160 | + | 160 | + |
| 21 | + | 5120 | + | S6 | ≥640 | + | 1280 | + |
| 22 | + | 320 | + | S4 | 160 | + | 160 | + |
| 23 | + | 1280 | + | S6 | ≥640 | + | 1280 | + |
| 24 | + | 1280 | + | S6 | ≥640 | + | 1280 | + |
| 25 | + | 1280 | + | S6 | ≥640 | + | 1280 | + |
| 26 | + | 320 | + | S4 | 160 | + | 160 | + |
| 27 | + | 5120 | + | S6 | ≥640 | + | 1280 | + |
| 28 | + | 640 | + | S5 | 320 | + | 320 | + |
| 29 | + | 320 | invalid | + | 80 | + | ||
| 30 | + | 320 | + | S4 | 160 | + | 120 | − |
| 31 | + | 1280 | + | S5 | 320 | + | 320 | + |
| 32 | + | 640 | + | S4 | 160 | + | 240 | + |
| 33 | + | 640 | + | S5 | 320 | + | 240 | + |
| 34 | + | 640 | + | S5 | 320 | + | 320 | + |
| 35 | + | 320 | + | S4 | 160 | + | 80 | − |
| 36 | + | 1280 | + | S5 | 320 | + | 1280 | + |
| 37 | + | 1280 | + | S5 | 320 | + | 1280 | + |
| 38 | + | 1280 | + | S5 | 320 | + | 320 | + |
| 39 | + | 160 | + | S4 | 160 | − | 20 | − |
| 40 | + | 640 | + | S3 | 80 | + | 240 | − |
| 41 | + | 2560 | + | S5 | 320 | + | 640 | + |
| 42 | + | 320 | + | S4 | 160 | + | 120 | − |
| 43 | + | 320 | + | S4 | 160 | + | 160 | − |
| 44 | + | ≥10,240 | + | S5 | 320 | + | 1280 | − |
| 45 | + | 1280 | + | S5 | 320 | + | 1280 | + |
| 46 | + | 5120 | + | S5 | 320 | + | 1280 | + |
| 47 | + | 320 | + | S4 | 160 | + | 120 | − |
| 48 | + | 1280 | + | S5 | 320 | + | 1280 | − |
| 49 | + | 2560 | + | S5 | 320 | + | 1280 | + |
| 50 | + | 160 | + | S3 | 80 | + | 120 | − |
| 51 | + | 1280 | + | S5 | 320 | + | 1280 | + |
| 52 | + | 1280 | + | S5 | 320 | + | 1280 | + |
| 53 | + | 640 | + | S5 | 320 | + | 1280 | + |
| 54 | + | 1280 | + | S5 | 320 | + | 640 | + |
| 55 | + | 640 | + | S5 | 320 | + | 240 | − |
| 56 | + | 640 | + | S5 | 320 | + | 320 | + |
| 57 | + | 1280 | + | S5 | 320 | + | 640 | + |
| 58 | + | 320 | + | S4 | 160 | + | 320 | + |
| 59 | + | 320 | + | S4 | 160 | + | 240 | − |
| 60 | + | 640 | + | S4 | 160 | + | 240 | + |
| 61 | + | 640 | + | S4 | 160 | + | 320 | + |
| 62 | + | 1280 | + | S5 | 320 | + | 240 | + |
| 63 | + | 320 | + | S4 | 160 | + | 320 | − |
| 64 | + | 2560 | + | S5 | 320 | + | 640 | + |
| 65 | + | 320 | + | S3 | 80 | + | 160 | − |
| 66 | + | 640 | + | S5 | 320 | + | 320 | + |
| 67 | + | 80 | + | S3 | 80 | + | 80 | + |
| 68 | + | 640 | + | S4 | 160 | + | 240 | + |
| 69 | + | 1280 | + | S5 | 320 | + | 320 | + |
| 70 | + | 640 | + | S4 | 160 | + | 160 | − |
| 71 | + | 320 | + | S4 | 160 | − | 40 | − |
| 72 | + | 1280 | + | S5 | 320 | + | 640 | + |
| 73 | + | 320 | + | S3 | 80 | − | 20 | − |
| 74 | + | 2560 | + | S5 | 320 | + | 1280 | + |
| 75 | + | 160 | + | S4 | 160 | + | 120 | − |
| 76 | + | 80 | + | S3 | 80 | − | 20 | − |
| 77 | + | 640 | + | S4 | 160 | + | 240 | + |
| 78 | + | 160 | + | S4 | 160 | + | 240 | + |
| 79 | + | 320 | + | S4 | 160 | + | 240 | + |
| 80 | + | 320 | + | S5 | 320 | + | 240 | + |
| 81 | + | 5120 | + | S5 | 320 | + | 1280 | + |
| 82 | + | 5120 | + | S5 | 320 | + | 1280 | + |
| 83 | + | 1280 | + | S6 | ≥640 | + | 640 | + |
| 84 | + | 640 | + | S5 | 320 | + | 640 | − |
| 85 | + | 1280 | + | S5 | 320 | + | 1280 | + |
| 86 | − | <10 | − | S0 | − | − | 40 | − |
| 87 | + | 640 | + | S4 | 160 | + | 240 | + |
| 88 | + | 160 | + | S4 | 160 | + | 120 | − |
| 89 | + | 640 | + | S4 | 160 | + | 240 | + |
| 90 | + | 160 | + | S5 | 320 | − | 20 | + |
| 91 | + | 320 | + | S4 | 160 | + | 240 | + |
| 92 | + | 2560 | + | S6 | ≥640 | + | 1280 | + |
| 93 | + | ≥10,240 | + | S6 | ≥640 | + | 1280 | + |
| 94 | + | 160 | + | S4 | 160 | + | 80 | + |
| 95 | + | 640 | + | S4 | 160 | + | 240 | + |
| 96 | + | 1280 | + | S5 | 320 | + | 640 | + |
| 97 | + | 640 | + | S5 | 320 | + | 240 | + |
| 98 | + | 1280 | + | S5 | 320 | + | 320 | + |
| 99 | + | 1280 | + | S5 | 320 | + | 640 | + |
| 100 | + | 2560 | + | S6 | ≥640 | + | 1280 | + |
| 101 | − | <10 | − | S1 | − | − | ≤10 | − |
| 102 | + | 320 | + | S5 | 320 | + | 320 | + |
| 103 | + | 320 | + | S5 | 320 | + | 640 | + |
| 104 | + | 1280 | + | S5 | 320 | + | 640 | + |
| 105 | + | 160 | + | S5 | 320 | + | 160 | + |
| 106 | + | 2560 | + | S5 | 320 | + | 1280 | + |
| 107 | + | 320 | + | S4 | 160 | − | 40 | + |
| 108 | + | 40 | + | S4 | 160 | + | 160 | − |
| 109 | + | 320 | + | S5 | 320 | + | 240 | + |
| 110 | + | 320 | + | S5 | 320 | + | 240 | + |
| 111 | + | 1280 | + | S5 | 320 | + | 320 | + |
| 112 | + | 1280 | + | S5 | 320 | + | 640 | + |
| 113 | + | 2560 | + | S5 | 320 | + | 1280 | + |
| 114 | + | 5120 | + | S5 | 320 | + | 1280 | + |
| 115 | + | 1280 | + | S5 | 320 | + | 640 | + |
| 116 | + | 320 | + | S4 | 160 | + | 160 | + |
| 117 | + | 160 | + | S4 | 160 | + | 160 | − |
| 118 | + | 320 | + | S5 | 320 | + | 240 | + |
| 119 | + | 640 | + | S5 | 320 | + | 320 | − |
| 120 | + | 320 | + | S5 | 320 | + | 240 | + |
| 121 | + | 1280 | + | S6 | ≥640 | + | 320 | + |
| 122 | + | 2560 | + | S5 | 320 | + | 1280 | + |
| 123 | + | 1280 | + | S5 | 320 | + | 1280 | + |
| 124 | − | <10 | − | S1 | − | + | 240 | − |
| 125 | − | <10 | − | S1 | − | − | 20 | − |
| 126 | + | 640 | + | S5 | 320 | + | 240 | + |
| 127 | + | 1280 | + | S6 | ≥640 | + | 1280 | + |
| 128 | + | 640 | + | S4 | 160 | + | 320 | + |
| 129 | + | 2560 | + | S5 | 320 | + | 320 | + |
| 130 | + | 1280 | + | S6 | ≥640 | + | 1280 | + |
| 131 | + | 2560 | + | S5 | 320 | + | 640 | + |
| 132 | + | 640 | + | S4 | 160 | + | 240 | + |
| 133 | + | 160 | + | S4 | 160 | + | 120 | + |
| 134 | + | 1280 | + | S5 | 320 | + | 320 | + |
| 135 | + | 2560 | + | S6 | ≥640 | + | 1280 | + |
| 136 | + | 640 | + | S6 | ≥640 | + | 240 | − |
| 137 | + | 320 | + | S5 | 320 | + | 160 | + |
| 138 | + | 1280 | + | S6 | ≥640 | + | 240 | + |
| 139 | + | 5120 | + | S6 | ≥640 | + | ≥1280 | + |
| 140 | + | 320 | + | S4 | 160 | + | 160 | + |
| 141 | + | 5120 | + | S6 | ≥640 | + | 1280 | + |
| 142 | + | 2560 | + | S6 | ≥640 | + | 1280 | + |
| 143 | + | 640 | + | S4 | 160 | + | 120 | − |
| 144 | + | 2560 | + | S6 | ≥640 | + | 640 | + |
| 145 | + | 2560 | + | S6 | ≥640 | + | 640 | + |
| 146 | + | 1280 | + | S6 | ≥640 | + | 1280 | + |
| 147 | + | 2560 | + | S6 | ≥640 | + | 1280 | + |
| 148 | + | 640 | + | S4 | 160 | + | 120 | + |
| 149 | + | 1280 | + | S5 | 320 | + | 240 | + |
| 150 | + | 2560 | + | S6 | ≥640 | + | 320 | + |
| 151 | + | 640 | + | S4 | 160 | + | 160 | + |
| 152 | + | 320 | + | S4 | 160 | + | 160 | + |
| 153 | + | 2560 | + | S6 | ≥640 | + | 320 | + |
| 154 | + | 1280 | + | S6 | ≥640 | + | 240 | − |
| 155 | + | 2560 | + | S6 | ≥640 | + | 1280 | + |
| 156 | + | 1280 | + | S6 | ≥640 | + | 240 | + |
| 157 | + | 160 | + | S3 | 80 | − | 40 | − |
| 158 | + | 5120 | + | S6 | ≥640 | + | 1280 | + |
| 159 | + | 2560 | + | S6 | ≥640 | + | 1280 | + |
| 160 | + | 640 | + | S4 | 160 | + | 160 | + |
| 161 | + | 5120 | + | S6 | ≥640 | + | 1280 | + |
| 162 | + | 40 | + | S2 | 40 | − | 20 | − |
| 163 | + | 320 | + | S4 | 160 | − | 20 | − |
| 164 | + | 160 | + | S6 | ≥640 | + | 640 | + |
| 165 | + | 1280 | + | S5 | 320 | + | 240 | + |
| 166 | + | 1280 | + | S5 | 320 | + | 320 | + |
| 167 | + | 320 | + | S4 | 160 | + | 120 | − |
| 168 | + | 1280 | + | S6 | ≥640 | + | 1280 | + |
| 169 | + | 1280 | + | S6 | ≥640 | + | 1280 | + |
| 170 | + | 2560 | + | S6 | ≥640 | + | 640 | + |
| 171 | + | 1280 | + | S5 | 320 | + | 240 | + |
| 172 | − | <10 | − | S1 | − | − | ≤10 | − |
| 173 | + | 2560 | + | S6 | ≥640 | + | 320 | + |
| 174 | + | 640 | + | S5 | 320 | + | 240 | + |
| 175 | + | 640 | + | S5 | 320 | + | 240 | + |
| 176 | + | 5120 | + | S6 | ≥640 | + | 1280 | + |
| 177 | + | 1280 | + | S6 | ≥640 | + | 320 | + |
| 178 | + | 640 | + | S4 | 160 | + | 240 | + |
| 179 | + | 1280 | + | S5 | 320 | + | 320 | + |
| 180 | + | 1280 | + | S5 | 320 | + | 320 | + |
| 181 | + | 80 | + | S3 | 80 | + | 120 | − |
| 182 | + | 1280 | + | S5 | 320 | + | 320 | + |
| 183 | + | 40 | + | S3 | 80 | − | 40 | − |
| 184 | + | 640 | + | S5 | 320 | + | 240 | + |
| 185 | + | 320 | + | S4 | 160 | − | 20 | − |
| 186 | + | 2560 | + | S6 | ≥640 | + | 1280 | + |
| 187 | + | 5120 | + | S6 | ≥640 | + | 1280 | − |
| 188 | + | 2560 | + | S5 | 320 | + | 1280 | + |
| 189 | + | 640 | + | S4 | 160 | + | 240 | + |
| 190 | + | 320 | + | S4 | 160 | + | 160 | + |
| 191 | + | 1280 | + | S5 | 320 | + | 640 | + |
| 192 | + | 640 | + | S5 | 320 | + | 320 | − |
| 193 | + | 1280 | + | S5 | 320 | + | 240 | + |
| 194 | + | 5120 | + | S6 | ≥640 | + | 1280 | + |
| 195 | + | 1280 | + | S4 | 160 | − | 20 | − |
| 196 | + | 160 | + | S3 | 80 | + | 120 | − |
| 197 | + | 640 | + | S5 | 320 | + | 640 | + |
| 198 | + | 640 | + | S4 | 160 | + | 320 | + |
| 199 | + | 2560 | + | S5 | 320 | + | 640 | + |
| 200 | + | 640 | + | S4 | 160 | + | 320 | + |
| 201 | − | <10 | − | S0 | − | − | ≤10 | − |
| 202 | − | <10 | − | S0 | − | − | ≤10 | − |
| 203 | − | <10 | − | S0 | − | − | ≤10 | − |
| 204 | − | <10 | − | S0 | − | − | ≤10 | − |
| 205 | − | <10 | − | S0 | − | − | ≤10 | − |
| 206 | − | <10 | − | S0 | − | − | ≤10 | − |
| 207 | − | <10 | − | S0 | − | − | ≤10 | − |
| 208 | − | <10 | − | S0 | − | − | ≤10 | − |
| 209 | − | <10 | − | S0 | − | − | ≤10 | − |
| 210 | − | <10 | − | S0 | − | − | ≤10 | − |
| 211 | − | <10 | − | S0 | − | − | ≤10 | − |
| 212 | − | <10 | − | S0 | − | − | ≤10 | − |
| 213 | − | <10 | − | S0 | − | − | ≤10 | − |
| 214 | − | <10 | − | S0 | − | − | ≤10 | − |
| 215 | − | <10 | − | S0 | − | − | ≤10 | − |
| 216 | − | <10 | − | S0 | − | − | ≤10 | − |
| 217 | − | <10 | − | S0 | − | − | ≤10 | − |
| 218 | − | <10 | − | S0 | − | − | ≤10 | − |
| 219 | − | <10 | − | S0 | − | − | ≤10 | − |
| 220 | − | <10 | − | S0 | − | − | ≤10 | − |
| 221 | − | <10 | − | S0 | − | − | ≤10 | − |
| 222 | − | <10 | − | S0 | − | − | ≤10 | − |
| 223 | − | <10 | − | S0 | − | − | ≤10 | − |
| 224 | − | <10 | − | S0 | − | − | ≤10 | − |
| 225 | − | <10 | − | S1 | − | − | ≤10 | − |
| 226 | − | <10 | − | S0 | − | − | ≤10 | − |
| 227 | − | <10 | − | S0 | − | − | ≤10 | − |
| 228 | − | <10 | − | S0 | − | − | ≤10 | − |
| 229 | − | <10 | − | S1 | − | − | ≤10 | − |
| 230 | − | <10 | − | S0 | − | − | ≤10 | − |
| 231 | − | <10 | − | S0 | − | − | ≤10 | − |
| 232 | − | <10 | − | S0 | − | − | ≤10 | − |
| 233 | − | <10 | − | S0 | − | − | ≤10 | − |
| 234 | − | <10 | − | S0 | − | − | ≤10 | − |
| 235 | − | <10 | − | S0 | − | − | ≤10 | − |
| 236 | − | <10 | − | S0 | − | − | ≤10 | − |
| 237 | − | <10 | − | S0 | − | − | ≤10 | − |
| 238 | − | <10 | − | S0 | − | − | ≤10 | − |
| 239 | − | <10 | − | S0 | − | − | ≤10 | − |
| 240 | − | <10 | − | S0 | − | − | ≤10 | − |
| 241 | + | 80 | + | S2 | 40 | + | 80 | − |
| 242 | + | 80 | + | S2 | 40 | + | 80 | − |
| 243 | + | 80 | + | S2 | 40 | − | 40 | − |
| 244 | + | 20 | + | S2 | 40 | + | 80 | − |
| 245 | + | 80 | + | S2 | 40 | − | 40 | − |
| 246 | + | 160 | + | S3 | 80 | + | 80 | − |
| 247 | + | 20 | + | S3 | 80 | − | 20 | − |
| 248 | + | 20 | + | S3 | 80 | − | 20 | − |
| 249 | + | 10 | + | S3 | 80 | − | 20 | − |
| 250 | + | 10 | − | S1 | − | − | 10 | − |
| 251 | + | 10 | + | S2 | 40 | − | 20 | − |
| 252 | + | 40 | + | S3 | 80 | − | 40 | − |
| 253 | + | 20 | + | S2 | 40 | − | 40 | − |
| 254 | + | 20 | + | S2 | 40 | − | 20 | − |
| 255 | + | 80 | + | S3 | 80 | − | 40 | − |
| 256 | + | 10 | + | S2 | 40 | − | 40 | − |
| 257 | + | 80 | + | S4 | 160 | + | 80 | − |
| 258 | + | 20 | + | S3 | 80 | − | 40 | − |
| 259 | + | 20 | + | S2 | 40 | − | 20 | − |
| 260 | + | 80 | + | S3 | 80 | + | 80 | − |
| Sample ID | VN | POCT-1 | POCT-2 | POCT-3 | IFA | |||||
|---|---|---|---|---|---|---|---|---|---|---|
| 1 | + | 20 | + | S4 | 64 | + | 96 | + | ||
| 2 | + | 160 | + | S4 | 64 | + | 128 | − | ||
| 3 | + | 80 | + | S3 | 32 | + | 128 | + | ||
| 4 | + | 80 | + | S4 | 64 | + | 256 | + | ||
| 5 | + | 20 | + | S3 | 32 | + | 128 | − | ||
| 6 | + | 160 | + | S4 | 64 | + | 512 | + | ||
| 7 | − | <10 | + | S4 | 64 | + | 32 | − | − | <1:80 |
| 8 | − | <10 | + | S4 | 64 | + | 32 | − | − | <1:80 |
| 9 | + | 20 | − | S1 | − | + | 64 | − | ||
| 10 | + | 80 | + | S5 | ≥128 | + | 256 | − | ||
| 11 | − | <10 | + | S4 | 64 | + | 48 | + | − | <1:80 |
| 12 | + | 80 | + | S5 | ≥128 | + | 512 | − | ||
| 13 | + | 40 | + | S3 | 32 | + | 64 | − | ||
| 14 | + | 160 | + | S4 | 64 | + | 256 | − | ||
| 15 | + | 320 | + | S4 | 64 | − | ≤4 | − | ||
| 16 | + | 80 | + | S6 | ≥256 | + | 96 | + | ||
| 17 | + | 20 | + | S4 | 64 | + | 64 | − | ||
| 18 | + | 40 | + | S4 | 64 | + | 64 | + | ||
| 19 | + | 40 | + | S4 | 64 | + | 64 | + | ||
| 20 | − | <10 | + | S4 | 64 | + | 48 | − | − | <1:80 |
| 21 | + | 10 | + | S2 | 16 | + | 48 | − | ||
| 22 | − | <10 | + | S3 | 32 | + | 32 | − | − | <1:80 |
| 23 | + | 40 | + | S4 | 64 | + | 64 | + | ||
| 24 | − | <10 | + | S5 | ≥128 | + | 48 | + | + | 160 |
| 25 | + | 320 | + | S5 | ≥128 | + | 96 | + | ||
| 26 | + | 40 | + | S3 | 32 | + | 96 | − | ||
| 27 | + | 80 | + | S4 | 64 | + | 96 | − | ||
| 28 | + | 80 | + | S5 | ≥128 | + | 256 | − | ||
| 29 | + | 40 | invalid | + | 96 | − | ||||
| 30 | − | <10 | − | S1 | − | + | 48 | − | − | <1:80 |
| 31 | + | 40 | + | S4 | 64 | + | 64 | − | ||
| 32 | − | <10 | − | S1 | − | + | 48 | − | − | <1:80 |
| 33 | + | 20 | + | S3 | 32 | + | 128 | − | ||
| 34 | − | <10 | + | S4 | 64 | − | 16 | − | + | 160 |
| 35 | − | <10 | + | S3 | 32 | + | 48 | − | − | <1:80 |
| 36 | + | 80 | + | S5 | ≥128 | + | 256 | − | ||
| 37 | + | 160 | + | S5 | ≥128 | + | 128 | − | ||
| 38 | + | 80 | + | S4 | 64 | + | 256 | + | ||
| 39 | + | 80 | + | S3 | 32 | + | 48 | − | ||
| 40 | + | 80 | + | S3 | 32 | + | 96 | − | ||
| 41 | − | <10 | + | S3 | 32 | + | 128 | − | − | <1:80 |
| 42 | + | 10 | + | S3 | 32 | − | 16 | − | ||
| 43 | + | 20 | + | S2 | 16 | + | 48 | − | ||
| 44 | + | 640 | + | S5 | ≥128 | + | 512 | − | ||
| 45 | − | <10 | + | S5 | ≥128 | + | 64 | − | − | <1:80 |
| 46 | + | 10 | + | S3 | 32 | + | 32 | − | ||
| 47 | − | <10 | + | S4 | 64 | + | 128 | − | + | 80 |
| 48 | + | 160 | + | S4 | 64 | + | 32 | − | ||
| 49 | + | 40 | + | S5 | ≥128 | + | 96 | − | ||
| 50 | + | 10 | + | S2 | 16 | + | 96 | − | ||
| 51 | + | 40 | + | S5 | ≥128 | + | 96 | − | ||
| 52 | + | 20 | + | S3 | 32 | + | 96 | − | ||
| 53 | + | 10 | + | S3 | 32 | + | 48 | − | ||
| 54 | − | <10 | + | S5 | ≥128 | + | 96 | − | + | ≥320 |
| 55 | + | 20 | + | S3 | 32 | + | 48 | − | ||
| 56 | + | 40 | + | S4 | 64 | + | 96 | − | ||
| 57 | + | 80 | + | S5 | ≥128 | + | 64 | − | ||
| 58 | + | 40 | + | S2 | 16 | + | 96 | − | ||
| 59 | + | 10 | − | S1 | − | + | 64 | − | ||
| 60 | + | 40 | + | S3 | 32 | + | 96 | + | ||
| 61 | + | 160 | + | S4 | 64 | + | 256 | − | ||
| 62 | + | 10 | + | S2 | 16 | + | 32 | − | ||
| 63 | + | 20 | + | S3 | 32 | + | 96 | − | ||
| 64 | + | 80 | + | S4 | 64 | + | 256 | − | ||
| 65 | + | 20 | + | S2 | 16 | + | 96 | − | ||
| 66 | + | 40 | + | S4 | 64 | + | 64 | − | ||
| 67 | + | 40 | + | S2 | 16 | + | 96 | − | ||
| 68 | + | 40 | + | S3 | 32 | + | 48 | − | ||
| 69 | + | 20 | + | S3 | 32 | + | 96 | − | ||
| 70 | + | 160 | + | S3 | 32 | + | 96 | − | ||
| 71 | + | 10 | + | S2 | 16 | + | 32 | − | ||
| 72 | + | 20 | + | S3 | 32 | + | 48 | − | ||
| 73 | + | 40 | + | S4 | 64 | + | 48 | − | ||
| 74 | + | 80 | + | S5 | ≥128 | + | 256 | − | ||
| 75 | + | 40 | + | S3 | 32 | + | 96 | − | ||
| 76 | + | 40 | + | S4 | 64 | + | 64 | − | ||
| 77 | + | 80 | + | S4 | 64 | + | 128 | − | ||
| 78 | − | <10 | + | S3 | 32 | + | 32 | − | + | 160 |
| 79 | + | 40 | + | S3 | 32 | + | 64 | − | ||
| 80 | + | 160 | + | S4 | 64 | + | 128 | − | ||
| 81 | + | 160 | + | S4 | 64 | + | 128 | − | ||
| 82 | + | 40 | + | S4 | 64 | + | 256 | − | ||
| 83 | − | <10 | + | S2 | 16 | + | 48 | − | − | <1:80 |
| 84 | + | 40 | + | S3 | 32 | + | 128 | + | ||
| 85 | − | <10 | + | S5 | ≥128 | + | 48 | − | + | 320 |
| 86 | + | 160 | + | S5 | ≥128 | + | 96 | − | ||
| 87 | + | 10 | + | S4 | 64 | + | 48 | − | ||
| 88 | + | 20 | + | S3 | 32 | + | 48 | − | ||
| 89 | − | <10 | + | S4 | 64 | + | 512 | − | + | 160 |
| 90 | − | <10 | + | S3 | 32 | + | 48 | − | − | <1:80 |
| 91 | − | <10 | + | S3 | 32 | + | 48 | − | − | <1:80 |
| 92 | + | 40 | + | S5 | ≥128 | + | 64 | − | ||
| 93 | + | 160 | + | S5 | ≥128 | + | 128 | − | ||
| 94 | − | <10 | − | S1 | − | + | 32 | − | − | <1:80 |
| 95 | + | 10 | + | S3 | 32 | + | 96 | + | ||
| 96 | + | 10 | + | S4 | 64 | + | 96 | − | ||
| 97 | + | 10 | + | S5 | ≥128 | + | 48 | − | ||
| 98 | + | 10 | + | S4 | 64 | + | 32 | − | ||
| 99 | + | 40 | + | S4 | 64 | + | 128 | − | ||
| 100 | − | <10 | + | S5 | ≥128 | + | 48 | − | + | ≥320 |
| 101 | − | <10 | + | S2 | 16 | + | 32 | − | + | 160 |
| 102 | + | 20 | + | S5 | ≥128 | + | 48 | − | ||
| 103 | + | 20 | + | S2 | 16 | + | 64 | − | ||
| 104 | − | <10 | + | S4 | 64 | + | 48 | − | + | 80 |
| 105 | + | 40 | + | S4 | 64 | + | 64 | + | ||
| 106 | + | 20 | + | S4 | 64 | + | 48 | − | ||
| 107 | − | <10 | + | S3 | 32 | − | 16 | − | − | <1:80 |
| 108 | − | <10 | + | S3 | 32 | − | 16 | + | − | <1:80 |
| 109 | + | 40 | + | S5 | ≥128 | + | 256 | − | ||
| 110 | + | 320 | + | S5 | ≥128 | + | 96 | − | ||
| 111 | + | 80 | + | S4 | 64 | + | 96 | − | ||
| 112 | + | 10 | + | S3 | 32 | + | 48 | − | ||
| 113 | + | 160 | + | S4 | 64 | + | 64 | + | ||
| 114 | + | 640 | + | S6 | ≥256 | + | 512 | − | ||
| 115 | − | <10 | + | S6 | ≥256 | + | 64 | − | + | 320 |
| 116 | + | 320 | + | S4 | 64 | + | 96 | − | ||
| 117 | + | 80 | + | S4 | 64 | + | 96 | − | ||
| 118 | + | 160 | + | S5 | ≥128 | + | 96 | − | ||
| 119 | + | 320 | + | S6 | ≥256 | + | 256 | + | ||
| 120 | + | 20 | + | S4 | 64 | + | 48 | − | ||
| 121 | + | 320 | + | S5 | ≥128 | + | 256 | + | ||
| 122 | + | 640 | + | S4 | 64 | + | 256 | − | ||
| 123 | + | 320 | + | S4 | 64 | + | 256 | − | ||
| 124 | + | 80 | + | S4 | 64 | + | 128 | − | ||
| 125 | − | <10 | + | S6 | ≥256 | + | 64 | − | + | ≥320 |
| 126 | − | <10 | + | S3 | 32 | + | 48 | − | + | 80 |
| 127 | − | <10 | + | S3 | 32 | + | 512 | − | + | 80 |
| 128 | + | 40 | + | S3 | 32 | + | 64 | − | ||
| 129 | − | <10 | + | S3 | 32 | + | 48 | − | + | 80 |
| 130 | − | <10 | + | S2 | 16 | − | 16 | − | − | <1:80 |
| 131 | + | 40 | + | S6 | ≥256 | + | 96 | − | ||
| 132 | + | 20 | + | S4 | 64 | + | 48 | − | ||
| 133 | + | 10 | + | S3 | 32 | + | 128 | + | ||
| 134 | + | 80 | + | S4 | 64 | + | 128 | + | ||
| 135 | + | 80 | + | S5 | ≥128 | + | 128 | + | ||
| 136 | + | 40 | + | S4 | 64 | + | 48 | − | ||
| 137 | + | 40 | + | S5 | ≥128 | + | 96 | − | ||
| 138 | + | 10 | + | S3 | 32 | + | 64 | − | ||
| 139 | + | 10 | + | S4 | 64 | + | 48 | − | ||
| 140 | + | 20 | + | S4 | 64 | + | 64 | − | ||
| 141 | + | 80 | + | S5 | ≥128 | + | 64 | − | ||
| 142 | − | <10 | + | S5 | ≥128 | + | 64 | − | + | ≥320 |
| 143 | + | 40 | + | S4 | 64 | + | 48 | + | ||
| 144 | + | 20 | + | S3 | 32 | + | 96 | − | ||
| 145 | + | 40 | + | S4 | 64 | + | 96 | − | ||
| 146 | + | 10 | + | S5 | ≥128 | + | 48 | − | ||
| 147 | + | 80 | + | S3 | 32 | + | 64 | − | ||
| 148 | + | 10 | + | S3 | 32 | + | 48 | + | ||
| 149 | + | 10 | + | S3 | 32 | + | 48 | − | ||
| 150 | + | 20 | + | S5 | ≥128 | + | 128 | − | ||
| 151 | + | 20 | + | S4 | 64 | + | 96 | + | ||
| 152 | + | 10 | + | S4 | 64 | + | 48 | − | ||
| 153 | − | <10 | + | S3 | 32 | + | 48 | − | + | 80 |
| 154 | − | <10 | + | S3 | 32 | + | 32 | − | + | 80 |
| 155 | + | 160 | + | S4 | 64 | + | 512 | − | ||
| 156 | + | 80 | + | S5 | ≥128 | + | 48 | − | ||
| 157 | − | <10 | + | S3 | 32 | + | 32 | − | + | 80 |
| 158 | + | 20 | + | S5 | ≥128 | + | 128 | − | ||
| 159 | + | 20 | + | S5 | ≥128 | + | 96 | − | ||
| 160 | + | 20 | + | S4 | 64 | + | 96 | − | ||
| 161 | + | 40 | + | S4 | 64 | + | 48 | − | ||
| 162 | − | <10 | − | S1 | − | − | ≤4 | − | ||
| 163 | + | 40 | + | S4 | 64 | + | 48 | − | ||
| 164 | + | 40 | + | S4 | 64 | + | 128 | − | ||
| 165 | − | <10 | − | S1 | − | − | 16 | − | ||
| 166 | + | 20 | + | S4 | 64 | + | 512 | + | ||
| 167 | − | <10 | + | S4 | 64 | + | 32 | − | + | 160 |
| 168 | + | 160 | + | S5 | ≥128 | + | 96 | − | ||
| 169 | + | 20 | + | S5 | ≥128 | + | 64 | − | ||
| 170 | + | 40 | + | S5 | ≥128 | + | 64 | − | ||
| 171 | + | 20 | + | S4 | 64 | + | 48 | + | ||
| 172 | − | <10 | − | S1 | − | − | 16 | − | ||
| 173 | + | 10 | + | S5 | ≥128 | + | 48 | − | ||
| 174 | + | 20 | + | S4 | 64 | + | 64 | + | ||
| 175 | + | 40 | + | S4 | 64 | + | 64 | + | ||
| 176 | + | 40 | + | S4 | 64 | + | 96 | − | ||
| 177 | + | 10 | + | S4 | 64 | + | 48 | − | ||
| 178 | + | 20 | + | S3 | 32 | + | 128 | − | ||
| 179 | + | 160 | + | S5 | ≥128 | + | 256 | − | ||
| 180 | + | 40 | + | S4 | 64 | + | 64 | − | ||
| 181 | + | 40 | + | S4 | 64 | + | 128 | − | ||
| 182 | − | <10 | + | S5 | ≥128 | + | 96 | − | + | ≥320 |
| 183 | + | 10 | + | S3 | 32 | + | 32 | − | ||
| 184 | + | 40 | + | S4 | 64 | + | 96 | − | ||
| 185 | + | 10 | + | S4 | 64 | + | 32 | − | ||
| 186 | + | 40 | + | S4 | 64 | + | 48 | − | ||
| 187 | + | 80 | + | S4 | 64 | + | 64 | − | ||
| 188 | + | 40 | + | S3 | 32 | + | 64 | − | ||
| 189 | + | 20 | + | S3 | 32 | + | 48 | − | ||
| 190 | − | <10 | + | S3 | 32 | + | 128 | − | − | <1:80 |
| 191 | + | 40 | + | S4 | 64 | + | 64 | − | ||
| 192 | + | 160 | + | S5 | ≥128 | + | 128 | − | ||
| 193 | + | 40 | + | S5 | ≥128 | + | 96 | − | ||
| 194 | + | 80 | + | S4 | 64 | + | 64 | − | ||
| 195 | − | <10 | + | S2 | 16 | + | 32 | − | + | ≥320 |
| 196 | − | <10 | + | S2 | 16 | + | 48 | − | − | <1:80 |
| 197 | + | 80 | + | S4 | 64 | + | 48 | − | ||
| 198 | + | 40 | + | S4 | 64 | + | 48 | − | ||
| 199 | + | 80 | + | S4 | 64 | + | 64 | − | ||
| 200 | − | <10 | + | S3 | 32 | − | 16 | − | − | <1:80 |
| 201 | − | <10 | − | S0 | − | + | 32 | + | − | <1:80 |
| 202 | − | <10 | − | S0 | − | + | 32 | + | − | <1:80 |
| 203 | − | <10 | − | S1 | − | − | 16 | − | ||
| 204 | − | <10 | − | S0 | − | − | 16 | − | ||
| 205 | − | <10 | − | S0 | − | + | 32 | − | − | <1:80 |
| 206 | − | <10 | − | S0 | − | + | 32 | − | − | <1:80 |
| 207 | − | <10 | − | S0 | − | − | 16 | − | ||
| 208 | − | <10 | − | S0 | − | − | 16 | − | ||
| 209 | − | <10 | − | S0 | − | − | 16 | − | ||
| 210 | − | <10 | − | S0 | − | + | 48 | − | − | <1:80 |
| 211 | − | <10 | − | S1 | − | − | 16 | − | ||
| 212 | − | <10 | + | S2 | 16 | + | 32 | − | − | <1:80 |
| 213 | − | <10 | + | S2 | 16 | + | 32 | − | − | <1:80 |
| 214 | − | <10 | + | S2 | 16 | − | 8 | − | − | <1:80 |
| 215 | − | <10 | + | S2 | 16 | − | 16 | − | − | <1:80 |
| 216 | − | <10 | − | S1 | − | − | 8 | − | ||
| 217 | − | <10 | + | S2 | 16 | − | 16 | − | − | <1:80 |
| 218 | − | <10 | + | S2 | 16 | − | 16 | − | − | <1:80 |
| 219 | − | <10 | − | S1 | − | − | 16 | − | ||
| 220 | − | <10 | − | S1 | − | − | 16 | − | ||
| 221 | − | <10 | − | S1 | − | − | 16 | − | ||
| 222 | − | <10 | − | S1 | − | + | 32 | − | − | <1:80 |
| 223 | − | <10 | − | S1 | − | − | 16 | − | ||
| 224 | − | <10 | − | S1 | − | − | 16 | − | ||
| 225 | − | <10 | + | S2 | 16 | + | 32 | − | − | <1:80 |
| 226 | − | <10 | + | S2 | 16 | − | 8 | − | − | <1:80 |
| 227 | − | <10 | + | S2 | 16 | + | 32 | − | − | <1:80 |
| 228 | − | <10 | − | S1 | − | − | 16 | − | ||
| 229 | − | <10 | − | S1 | − | + | 32 | − | − | <1:80 |
| 230 | − | <10 | − | S1 | − | + | 32 | − | − | <1:80 |
| 231 | − | <10 | − | S1 | − | − | 8 | − | ||
| 232 | − | <10 | − | S1 | − | − | 8 | − | ||
| 233 | − | <10 | − | S1 | − | − | ≤4 | − | ||
| 234 | − | <10 | − | S1 | − | − | ≤4 | − | ||
| 235 | − | <10 | − | S1 | − | − | ≤4 | − | ||
| 236 | − | <10 | − | S0 | − | − | ≤4 | − | ||
| 237 | − | <10 | − | S0 | − | − | ≤4 | − | ||
| 238 | − | <10 | − | S0 | − | − | ≤4 | − | ||
| 239 | − | <10 | − | S0 | − | − | ≤4 | − | ||
| 240 | − | <10 | − | S1 | − | − | ≤4 | − | ||
| 241 | − | <10 | + | S3 | 32 | − | 16 | − | ||
| 242 | − | <10 | + | S3 | 32 | − | 16 | − | ||
| 243 | − | <10 | + | S2 | 16 | + | 48 | − | ||
| 244 | − | <10 | + | S2 | 16 | + | 48 | − | ||
| 245 | − | <10 | + | S2 | 16 | + | 32 | − | ||
| 246 | − | <10 | + | S3 | 32 | − | 16 | − | ||
| 247 | + | 10 | + | S3 | 32 | − | 16 | − | ||
| 248 | − | <10 | + | S2 | 16 | + | 32 | − | ||
| 249 | − | <10 | − | S1 | − | − | 16 | − | ||
| 250 | − | <10 | − | S1 | − | + | 32 | − | ||
| 251 | + | 10 | − | S1 | − | − | 16 | − | ||
| 252 | + | 20 | + | S2 | 16 | + | 48 | − | ||
| 253 | − | <10 | + | S2 | 16 | + | 32 | − | ||
| 254 | − | <10 | − | S1 | − | + | 32 | − | ||
| 255 | + | 10 | + | S2 | 16 | + | 48 | − | ||
| 256 | − | <10 | + | S2 | 16 | + | 48 | − | ||
| 257 | − | <10 | + | S4 | 64 | − | 16 | − | ||
| 258 | − | <10 | + | S3 | 32 | − | 16 | − | ||
| 259 | − | <10 | − | S1 | − | + | 32 | − | ||
| 260 | + | 10 | + | S3 | 32 | + | 32 | − | ||
| Sample ID | VN | POCT-1 | POCT-2 | POCT-3 | ||||
|---|---|---|---|---|---|---|---|---|
| 1 | + | 80 | + | S5 | 64 | + | 256 | + |
| 2 | − | <10 | + | S4 | 32 | + | 128 | − |
| 3 | + | 40 | + | S3 | 16 | + | 32 | + |
| 4 | + | 20 | + | S4 | 32 | + | 64 | + |
| 5 | + | 160 | + | S5 | 64 | + | 512 | − |
| 6 | + | 160 | + | S5 | 64 | + | 512 | + |
| 7 | + | 320 | + | S4 | 32 | + | 64 | − |
| 8 | + | 20 | + | S3 | 16 | − | 8 | − |
| 9 | + | 160 | + | S3 | 16 | + | 64 | − |
| 10 | + | 80 | + | S4 | 32 | + | 256 | + |
| 11 | + | 40 | + | S4 | 32 | + | 64 | + |
| 12 | + | 40 | + | S5 | 64 | + | 512 | + |
| 13 | − | <10 | + | S4 | 32 | + | 256 | − |
| 14 | + | 160 | + | S4 | 32 | + | 64 | + |
| 15 | + | 40 | + | S4 | 32 | + | 64 | − |
| 16 | + | 80 | + | S5 | 64 | + | 256 | + |
| 17 | + | 320 | + | S4 | 32 | + | 64 | + |
| 18 | + | 40 | + | S4 | 32 | + | 128 | + |
| 19 | + | 40 | + | S4 | 32 | + | 128 | + |
| 20 | + | 40 | + | S3 | 16 | + | 64 | + |
| 21 | + | 20 | + | S4 | 32 | + | 128 | − |
| 22 | + | 20 | − | S1 | − | − | 8 | + |
| 23 | − | <10 | + | S3 | 16 | + | 16 | + |
| 24 | + | 20 | + | S4 | 32 | + | 64 | + |
| 25 | + | 80 | + | S4 | 32 | + | 128 | + |
| 26 | + | 320 | + | S3 | 16 | + | 64 | − |
| 27 | + | 640 | + | S6 | ≥128 | + | 512 | + |
| 28 | + | 160 | + | S4 | 32 | + | 16 | − |
| 29 | − | <10 | invalid | − | 8 | − | ||
| 30 | − | <10 | − | S1 | − | − | ≤2 | − |
| 31 | + | 80 | + | S4 | 32 | + | 128 | − |
| 32 | + | 80 | + | S2 | 8 | + | 16 | − |
| 33 | + | 20 | + | S4 | 32 | + | 128 | − |
| 34 | − | <10 | + | S2 | 8 | − | ≤2 | − |
| 35 | − | <10 | + | S2 | 8 | − | 4 | − |
| 36 | + | 160 | + | S5 | 64 | + | 1024 | − |
| 37 | + | 2560 | + | S5 | 64 | + | 1024 | − |
| 38 | + | 320 | + | S5 | 64 | + | 512 | + |
| 39 | + | 10 | + | S3 | 16 | + | 16 | − |
| 40 | + | 80 | + | S3 | 16 | + | 256 | − |
| 41 | + | 80 | + | S4 | 32 | + | 256 | + |
| 42 | − | <10 | + | S3 | 16 | + | 16 | − |
| 43 | − | <10 | + | S2 | 8 | + | 32 | − |
| 44 | + | 160 | + | S4 | 32 | + | 512 | − |
| 45 | + | 320 | + | S4 | 32 | + | 512 | − |
| 46 | + | 20 | + | S4 | 32 | + | 16 | − |
| 47 | + | 20 | + | S3 | 16 | + | 32 | − |
| 48 | + | 20 | + | S4 | 32 | + | 64 | − |
| 49 | + | 160 | + | S4 | 32 | + | 256 | − |
| 50 | + | 10 | + | S3 | 16 | + | 128 | − |
| 51 | + | 1280 | + | S5 | 64 | + | 1024 | − |
| 52 | − | <10 | + | S4 | 32 | + | 128 | − |
| 53 | + | 20 | + | S3 | 16 | + | 32 | − |
| 54 | + | 20 | + | S4 | 32 | + | 64 | − |
| 55 | − | <10 | + | S3 | 16 | + | 16 | − |
| 56 | + | 80 | + | S4 | 32 | + | 16 | − |
| 57 | − | <10 | + | S4 | 32 | − | 4 | − |
| 58 | − | <10 | + | S2 | 8 | − | 4 | − |
| 59 | − | <10 | + | S3 | 16 | − | 4 | − |
| 60 | + | 80 | + | S4 | 32 | + | 64 | + |
| 61 | + | 160 | + | S4 | 32 | + | 256 | − |
| 62 | − | <10 | − | S1 | − | − | ≤2 | − |
| 63 | + | 320 | + | S3 | 16 | + | 128 | − |
| 64 | + | 40 | + | S4 | 32 | + | 128 | − |
| 65 | + | 10 | + | S3 | 16 | + | 64 | − |
| 66 | + | 160 | + | S4 | 32 | + | 64 | − |
| 67 | + | 40 | + | S3 | 16 | + | 128 | − |
| 68 | + | 80 | + | S4 | 32 | + | 128 | + |
| 69 | + | 80 | + | S4 | 32 | + | 256 | − |
| 70 | + | 20 | + | S3 | 16 | + | 16 | − |
| 71 | − | <10 | + | S2 | 8 | − | 8 | − |
| 72 | + | 10 | + | S3 | 16 | + | 32 | − |
| 73 | + | 320 | + | S5 | 64 | + | 256 | − |
| 74 | + | 160 | + | S5 | 64 | + | 512 | + |
| 75 | + | 40 | + | S4 | 32 | + | 64 | + |
| 76 | + | 10 | + | S3 | 16 | − | 8 | + |
| 77 | + | 40 | + | S5 | 64 | + | 256 | − |
| 78 | − | <10 | + | S2 | 8 | − | ≤2 | − |
| 79 | + | 20 | + | S3 | 16 | + | 32 | − |
| 80 | + | 80 | + | S5 | 64 | + | 256 | − |
| 81 | + | 40 | + | S4 | 32 | + | 64 | − |
| 82 | + | 160 | + | S4 | 32 | + | 16 | − |
| 83 | + | 640 | + | S6 | ≥128 | + | 1024 | − |
| 84 | + | 160 | + | S5 | 64 | + | 512 | + |
| 85 | + | 160 | + | S5 | 64 | + | 512 | − |
| 86 | + | 40 | + | S6 | ≥128 | + | 1024 | − |
| 87 | + | 80 | + | S4 | 32 | + | 64 | − |
| 88 | + | 160 | + | S5 | 64 | + | 256 | − |
| 89 | − | <10 | + | S2 | 8 | + | 16 | − |
| 90 | + | 20 | + | S4 | 32 | + | 16 | − |
| 91 | − | <10 | + | S3 | 16 | + | 32 | + |
| 92 | + | 160 | + | S4 | 32 | + | 256 | − |
| 93 | + | 10 | + | S4 | 32 | + | 128 | − |
| 94 | − | <10 | + | S2 | 8 | − | 4 | − |
| 95 | + | 20 | + | S4 | 32 | + | 64 | + |
| 96 | + | 160 | + | S4 | 32 | + | 128 | − |
| 97 | + | 80 | + | S4 | 32 | + | 128 | − |
| 98 | + | 160 | + | S5 | 64 | + | 128 | − |
| 99 | + | 40 | + | S4 | 32 | + | 32 | − |
| 100 | + | 20 | + | S2 | 8 | − | 8 | + |
| 101 | − | <10 | + | S3 | 16 | − | 8 | + |
| 102 | + | 20 | + | S4 | 32 | + | 16 | − |
| 103 | + | 40 | + | S4 | 32 | + | 64 | + |
| 104 | − | <10 | + | S3 | 16 | + | 64 | + |
| 105 | + | 2560 | + | S4 | 32 | + | 512 | − |
| 106 | + | 80 | + | S5 | 64 | + | 256 | − |
| 107 | + | 10 | + | S2 | 8 | − | 8 | − |
| 108 | + | 20 | + | S2 | 8 | − | 4 | + |
| 109 | + | 20 | + | S5 | 64 | + | 128 | + |
| 110 | + | 640 | + | S6 | ≥128 | + | 1024 | − |
| 111 | + | 40 | + | S3 | 16 | + | 32 | − |
| 112 | + | 40 | + | S3 | 16 | + | 32 | + |
| 113 | + | 40 | + | S4 | 32 | + | 16 | + |
| 114 | + | 640 | + | S6 | ≥128 | + | 1024 | + |
| 115 | + | 80 | + | S4 | 32 | + | 64 | − |
| 116 | + | 10 | + | S5 | 64 | + | 128 | − |
| 117 | + | 80 | + | S4 | 32 | + | 128 | − |
| 118 | + | 40 | + | S4 | 32 | + | 64 | − |
| 119 | + | 80 | + | S5 | 64 | + | 128 | − |
| 120 | + | 2560 | + | S5 | 64 | + | 512 | − |
| 121 | + | 160 | + | S6 | ≥128 | + | 512 | + |
| 122 | − | <10 | + | S4 | 32 | + | 32 | − |
| 123 | + | 40 | + | S4 | 32 | + | 32 | − |
| 124 | − | <10 | + | S6 | ≥128 | + | 1024 | − |
| 125 | + | 640 | + | S6 | ≥128 | + | 1024 | + |
| 126 | + | 40 | + | S6 | ≥128 | + | 256 | + |
| 127 | + | 320 | + | S5 | 64 | + | 128 | − |
| 128 | + | 10 | + | S3 | 16 | + | 16 | − |
| 129 | + | 10 | + | S3 | 16 | + | 32 | − |
| 130 | + | 160 | + | S4 | 32 | + | 64 | − |
| 131 | + | 160 | + | S5 | 64 | + | 256 | − |
| 132 | + | 20 | + | S4 | 32 | + | 32 | − |
| 133 | + | 320 | + | S5 | 64 | + | 256 | + |
| 134 | + | 80 | + | S5 | 64 | + | 64 | + |
| 135 | − | <10 | + | S4 | 32 | + | 128 | − |
| 136 | + | 20 | + | S3 | 16 | − | 4 | − |
| 137 | + | 80 | + | S4 | 32 | − | 4 | − |
| 138 | + | 80 | + | S5 | 64 | + | 64 | − |
| 139 | + | 1280 | + | S6 | ≥128 | + | 256 | − |
| 140 | − | <10 | + | S3 | 16 | + | 16 | − |
| 141 | − | <10 | + | S3 | 16 | − | 4 | + |
| 142 | + | 80 | + | S4 | 32 | + | 64 | − |
| 143 | + | 20 | + | S2 | 8 | − | ≤2 | + |
| 144 | + | 160 | + | S5 | 64 | + | 256 | + |
| 145 | − | <10 | + | S2 | 8 | − | 4 | − |
| 146 | + | 160 | + | S5 | 64 | + | 512 | − |
| 147 | + | 320 | + | S4 | 32 | + | 256 | + |
| 148 | + | 10 | + | S2 | 8 | − | 8 | + |
| 149 | − | <10 | + | S3 | 16 | + | 16 | − |
| 150 | + | 640 | + | S5 | 64 | + | 512 | + |
| 151 | + | 20 | + | S3 | 16 | + | 32 | + |
| 152 | + | 20 | + | S4 | 32 | + | 64 | − |
| 153 | + | 10 | + | S3 | 16 | + | 16 | − |
| 154 | + | 20 | + | S3 | 16 | + | 16 | − |
| 155 | + | 80 | + | S5 | 64 | + | 256 | − |
| 156 | + | 80 | + | S5 | 64 | + | 256 | + |
| 157 | − | <10 | + | S3 | 16 | − | 4 | − |
| 158 | + | 80 | + | S5 | 64 | + | 1024 | − |
| 159 | + | 40 | + | S5 | 64 | + | 512 | − |
| 160 | − | <10 | + | S4 | 32 | + | 128 | − |
| 161 | + | 80 | + | S6 | ≥128 | + | 512 | − |
| 162 | − | <10 | − | S1 | − | − | ≤2 | − |
| 163 | + | 320 | + | S6 | ≥128 | + | 512 | − |
| 164 | + | 40 | + | S4 | 32 | + | 16 | − |
| 165 | − | <10 | + | S2 | 8 | − | ≤2 | − |
| 166 | + | 320 | + | S4 | 32 | + | 256 | + |
| 167 | + | 10 | + | S4 | 32 | + | 32 | − |
| 168 | + | 160 | + | S5 | 64 | + | 256 | − |
| 169 | + | 40 | + | S5 | 64 | + | 128 | − |
| 170 | + | 40 | + | S4 | 32 | + | 64 | − |
| 171 | + | 160 | + | S3 | 16 | − | 8 | + |
| 172 | − | <10 | + | S2 | 8 | − | ≤2 | − |
| 173 | + | 20 | + | S4 | 32 | + | 16 | + |
| 174 | + | 160 | + | S4 | 32 | + | 64 | − |
| 175 | + | 1280 | + | S5 | 64 | + | 1024 | + |
| 176 | + | 10 | + | S5 | 64 | + | 128 | − |
| 177 | + | 160 | + | S6 | ≥128 | + | 512 | − |
| 178 | + | 20 | + | S3 | 16 | + | 16 | − |
| 179 | + | 40 | + | S5 | 64 | + | 128 | + |
| 180 | + | 320 | + | S5 | 64 | + | 512 | + |
| 181 | + | 320 | + | S5 | 64 | + | 512 | + |
| 182 | + | 20 | + | S5 | 64 | + | 512 | − |
| 183 | − | <10 | + | S2 | 8 | − | ≤2 | + |
| 184 | − | <10 | + | S3 | 16 | − | 8 | − |
| 185 | + | 160 | + | S4 | 32 | − | 4 | − |
| 186 | + | 320 | + | S4 | 32 | + | 256 | − |
| 187 | + | 1280 | + | S5 | 64 | + | 256 | − |
| 188 | + | 40 | + | S4 | 32 | + | 128 | − |
| 189 | + | 80 | + | S4 | 32 | + | 128 | − |
| 190 | + | 160 | + | S5 | 64 | + | 512 | − |
| 191 | + | 10 | + | S3 | 16 | − | 8 | + |
| 192 | + | 640 | + | S4 | 32 | + | 512 | − |
| 193 | + | 80 | + | S4 | 32 | + | 512 | − |
| 194 | + | 640 | + | S6 | ≥128 | + | 1024 | − |
| 195 | + | 40 | + | S3 | 16 | − | 8 | − |
| 196 | + | 10 | + | S3 | 16 | + | 32 | − |
| 197 | + | 20 | + | S4 | 32 | + | 128 | + |
| 198 | + | 20 | + | S2 | 8 | − | 4 | − |
| 199 | + | 20 | + | S3 | 16 | + | 32 | − |
| 200 | − | <10 | + | S2 | 8 | − | ≤2 | − |
| 201 | − | <10 | − | S0 | − | − | ≤2 | − |
| 202 | − | <10 | − | S0 | − | − | 4 | + |
| 203 | − | <10 | − | S0 | − | − | ≤2 | − |
| 204 | − | <10 | − | S0 | − | − | ≤2 | − |
| 205 | − | <10 | − | S0 | − | − | ≤2 | − |
| 206 | − | <10 | − | S0 | − | − | 4 | − |
| 207 | − | <10 | − | S0 | − | − | ≤2 | − |
| 208 | − | <10 | − | S0 | − | − | ≤2 | − |
| 209 | − | <10 | − | S0 | − | − | ≤2 | − |
| 210 | − | <10 | − | S0 | − | − | ≤2 | − |
| 211 | − | <10 | − | S0 | − | − | ≤2 | − |
| 212 | − | <10 | − | S0 | − | − | ≤2 | + |
| 213 | − | <10 | − | S0 | − | − | 4 | − |
| 214 | − | <10 | − | S0 | − | − | ≤2 | − |
| 215 | − | <10 | + | S3 | 16 | − | 8 | − |
| 216 | − | <10 | − | S0 | − | − | ≤2 | − |
| 217 | − | <10 | − | S0 | − | − | ≤2 | − |
| 218 | − | <10 | − | S0 | − | − | ≤2 | − |
| 219 | − | <10 | − | S0 | − | − | ≤2 | − |
| 220 | − | <10 | − | S0 | − | − | ≤2 | + |
| 221 | − | <10 | − | S0 | − | − | ≤2 | − |
| 222 | − | <10 | − | S0 | − | − | ≤2 | − |
| 223 | − | <10 | − | S0 | − | − | ≤2 | − |
| 224 | − | <10 | − | S0 | − | − | ≤2 | − |
| 225 | − | <10 | − | S1 | − | − | ≤2 | − |
| 226 | − | <10 | − | S0 | − | − | ≤2 | − |
| 227 | − | <10 | − | S0 | − | − | ≤2 | − |
| 228 | − | <10 | − | S0 | − | − | ≤2 | + |
| 229 | − | <10 | − | S0 | − | − | 8 | − |
| 230 | − | <10 | − | S0 | − | − | 4 | + |
| 231 | − | <10 | − | S0 | − | − | ≤2 | − |
| 232 | − | <10 | − | S0 | − | − | ≤2 | − |
| 233 | − | <10 | − | S0 | − | − | ≤2 | − |
| 234 | − | <10 | − | S0 | − | − | ≤2 | − |
| 235 | − | <10 | − | S0 | − | − | ≤2 | − |
| 236 | − | <10 | − | S0 | − | − | ≤2 | − |
| 237 | − | <10 | − | S0 | − | − | ≤2 | − |
| 238 | − | <10 | − | S0 | − | − | ≤2 | − |
| 239 | − | <10 | − | S0 | − | − | ≤2 | − |
| 240 | − | <10 | − | S0 | − | − | ≤2 | − |
| 241 | + | 10 | + | S4 | 32 | + | 32 | − |
| 242 | − | <10 | + | S4 | 32 | + | 64 | − |
| 243 | + | 40 | + | S4 | 32 | + | 64 | − |
| 244 | + | 40 | + | S4 | 32 | + | 128 | − |
| 245 | − | <10 | − | S1 | − | − | ≤2 | − |
| 246 | + | 10 | + | S4 | 32 | + | 32 | − |
| 247 | + | 10 | − | S1 | − | − | ≤2 | − |
| 248 | − | <10 | + | S3 | 16 | − | 8 | − |
| 249 | + | 20 | + | S4 | 32 | − | 8 | − |
| 250 | + | 20 | + | S3 | 16 | − | 4 | − |
| 251 | + | 40 | + | S3 | 16 | + | 16 | − |
| 252 | + | 80 | + | S4 | 32 | + | 64 | − |
| 253 | − | <10 | + | S2 | 8 | − | 8 | − |
| 254 | − | <10 | + | S2 | 8 | − | 4 | − |
| 255 | + | 80 | + | S4 | 32 | + | 64 | − |
| 256 | + | 10 | + | S3 | 16 | − | 8 | − |
| 257 | + | 10 | + | S4 | 32 | + | 64 | − |
| 258 | + | 10 | + | S4 | 32 | + | 64 | − |
| 259 | − | <10 | + | S2 | 8 | − | 4 | − |
| 260 | − | <10 | + | S2 | 8 | − | ≤2 | − |
References
- Moore, G.E.; Guptill, L.F.; Ward, M.P.; Glickman, N.W.; Faunt, K.K.; Lewis, H.B.; Glickman, L.T. Adverse events diagnosed within three days of vaccine administration in dogs. J. Am. Vet. Med. Assoc. 2005, 227, 1102–1108. [Google Scholar] [CrossRef]
- Gershwin, L.J. Adverse Reactions to Vaccination: From Anaphylaxis to Autoimmunity. Vet. Clin. N. Am. Small Anim. Pract. 2018, 48, 279–290. [Google Scholar] [CrossRef]
- Duval, D.; Giger, U. Vaccine-associated immune-mediated hemolytic anemia in the dog. J. Vet. Intern. Med. 1996, 10, 290–295. [Google Scholar] [CrossRef] [PubMed]
- Schultz, R.D.; Thiel, B.; Mukhtar, E.; Sharp, P.; Larson, L.J. Age and long-term protective immunity in dogs and cats. J. Comp. Pathol. 2010, 142 (Suppl. S1), S102–S108. [Google Scholar] [CrossRef] [PubMed]
- Tucciarone, C.M.; Franzo, G.; Mazzetto, E.; Legnardi, M.; Caldin, M.; Furlanello, T.; Cecchinato, M.; Drigo, M. Molecular insight into Italian canine parvovirus heterogeneity and comparison with the worldwide scenario. Infect. Genet. Evol. 2018, 66, 171–179. [Google Scholar] [CrossRef]
- Truyen, U.; Steinel, A.; Bruckner, L.; Lutz, H.; Möstl, K. Distribution of antigen types of canine parvovirus in Switzerland, Austria and Germany. Schweiz. Arch. Tierheilkd. 2000, 142, 115–119. [Google Scholar]
- Willi, B.; Spiri, A.M.; Meli, M.L.; Grimm, F.; Beatrice, L.; Riond, B.; Bley, T.; Jordi, R.; Dennler, M.; Hofmann-Lehmann, R. Clinical and molecular investigation of a canine distemper outbreak and vector-borne infections in a group of rescue dogs imported from Hungary to Switzerland. BMC Vet. Res. 2015, 11, 154. [Google Scholar] [CrossRef]
- Riedl, M.; Truyen, U.; Reese, S.; Hartmann, K. Prevalence of antibodies to canine parvovirus and reaction to vaccination in client-owned, healthy dogs. Vet. Rec. 2015, 177, 597. [Google Scholar] [CrossRef]
- Bergmann, M.; Freisl, M.; Zablotski, Y.; Khan, M.A.A.; Speck, S.; Truyen, U.; Hartmann, K. Prevalence of Neutralizing Antibodies to Canine Distemper Virus and Response to Vaccination in Client-Owned Adult Healthy Dogs. Viruses 2021, 13, 945. [Google Scholar] [CrossRef]
- Decaro, N.; Campolo, M.; Elia, G.; Buonavoglia, D.; Colaianni, M.L.; Lorusso, A.; Mari, V.; Buonavoglia, C. Infectious canine hepatitis: An “old” disease reemerging in Italy. Res. Vet. Sci. 2007, 83, 269–273. [Google Scholar] [CrossRef]
- Walker, D.; Abbondati, E.; Cox, A.L.; Mitchell, G.B.; Pizzi, R.; Sharp, C.P.; Philbey, A.W. Infectious canine hepatitis in red foxes (Vulpes vulpes) in wildlife rescue centres in the UK. Vet. Rec. 2016, 178, 421. [Google Scholar] [CrossRef]
- Pereira, F.M.; de Oliveira, A.R.; Melo, E.S.; Soares-Neto, L.L.; Mangueira, D.K.; Dos Santos, D.O.; de Carvalho, T.P.; Momo, C.; Santos, R.L. Naturally Acquired Infectious Canine Hepatitis in Two Captive Maned Wolf (Chrysocyon brachyurus) Puppies. J. Comp. Pathol. 2021, 186, 62–68. [Google Scholar] [CrossRef]
- Emery, J.B.; House, J.A.; Brown, W.R. Cross-protective immunity to canine adenovirus type 2 by canine adenovirus type 1 vaccination. Am. J. Vet. Res. 1978, 39, 1778–1783. [Google Scholar] [CrossRef] [PubMed]
- Decaro, N.; Martella, V.; Buonavoglia, C. Canine adenoviruses and herpesvirus. Vet. Clin. N. Am. Small Anim. Pract. 2008, 38, 799–814. [Google Scholar] [CrossRef] [PubMed]
- Squires, R.A.; Crawford, C.; Marcondes, M.; Whitley, N. 2024 guidelines for the vaccination of dogs and cats—Compiled by the Vaccination Guidelines Group (VGG) of the World Small Animal Veterinary Association (WSAVA). J. Small Anim. Pract. 2024, 65, 277–316. [Google Scholar] [CrossRef] [PubMed]
- Impfempfehlungen der SVK-ASMPA. Available online: https://svk-asmpa.ch/publikationen/impfempfehlungen/ (accessed on 14 May 2025).
- Ellis, J.; Marziani, E.; Aziz, C.; Brown, C.M.; Cohn, L.A.; Lea, C.; Moore, G.E.; Taneja, N. AAHA Canine Vaccination Guidelines. J. Am. Anim. Hosp. Assoc. 2022, 58, 213–230. [Google Scholar] [CrossRef]
- Dall’Ara, P.; Lauzi, S.; Turin, L.; Castaldelli, G.; Servida, F.; Filipe, J. Effect of Aging on the Immune Response to Core Vaccines in Senior and Geriatric Dogs. Vet. Sci. 2023, 10, 412. [Google Scholar] [CrossRef]
- Gonzalez, S.E.; Gogal, R.M., Jr.; Meindl, A.G.; Boyer, N.; Nelson, S.; Everett, S.E.; Vetter, C.A.; Gonzalez, J.M. Influence of age and vaccination interval on canine parvovirus, distemper virus, and adenovirus serum antibody titers. Vet. Immunol. Immunopathol. 2023, 262, 110630. [Google Scholar] [CrossRef]
- Taguchi, M.; Namikawa, K.; Maruo, T.; Saito, M.; Lynch, J.; Sahara, H. Effects of body weight on antibody titers against canine parvovirus type 2, canine distemper virus, and canine adenovirus type 1 in vaccinated domestic adult dogs. Can. J. Vet. Res. 2012, 76, 317–319. [Google Scholar]
- Mitchell, S.A.; Zwijnenberg, R.J.; Huang, J.; Hodge, A.; Day, M.J. Duration of serological response to canine parvovirus-type 2, canine distemper virus, canine adenovirus type 1 and canine parainfluenza virus in client-owned dogs in Australia. Aust. Vet. J. 2012, 90, 468–473. [Google Scholar] [CrossRef]
- Coyne, M.J.; Burr, J.H.; Yule, T.D.; Harding, M.J.; Tresnan, D.B.; McGavin, D. Duration of immunity in dogs after vaccination or naturally acquired infection. Vet. Rec. 2001, 149, 509–515. [Google Scholar] [CrossRef]
- Bergmann, M.; Holzheu, M.; Zablotski, Y.; Speck, S.; Truyen, U.; Straubinger, R.K.; Hartmann, K. Comparison of Four Commercially Available Point-of-Care Tests to Detect Antibodies Against Canine Parvovirus in Dogs. Viruses 2020, 13, 18. [Google Scholar] [CrossRef] [PubMed]
- Egerer, A.; Schaefer, Z.; Larson, L. A point-of-care dot blot ELISA assay for detection of protective antibody against canine adenovirus, canine parvovirus, and canine distemper virus is diagnostically accurate. J. Am. Vet. Med. Assoc. 2022, 260, 1928–1933. [Google Scholar] [CrossRef] [PubMed]
- Ad, Y.; Halperin, I.M.; Olstad, E.C.; Gershwin, L.J.; Sullivan, L.; Reagan, K.L. Clinical assessment of a point-of-care assay to determine protective vaccinal antibody titers to canine viral diseases. Vet. J. 2023, 298, 106017. [Google Scholar] [CrossRef] [PubMed]
- Meazzi, S.; Filipe, J.; Fiore, A.; Di Bella, S.; Mira, F.; Dall’Ara, P. Agreement between In-Clinics and Virus Neutralization Tests in Detecting Antibodies against Canine Distemper Virus (CDV). Viruses 2022, 14, 517. [Google Scholar] [CrossRef]
- Bergmann, M.; Zablotski, Y.; Rieger, A.; Speck, S.; Truyen, U.; Hartmann, K. Comparison of four commercially available point-of-care tests to detect antibodies against canine distemper virus in dogs. Vet. J. 2021, 273, 105693. [Google Scholar] [CrossRef]
- Bergmann, M.; Holzheu, M.; Zablotski, Y.; Speck, S.; Truyen, U.; Hartmann, K. Evaluation of a Point-of-Care Test for Pre-Vaccination Testing to Detect Antibodies against Canine Adenoviruses in Dogs. Viruses 2021, 13, 183. [Google Scholar] [CrossRef]
- Murata, H.; Shimada, N.; Yoshioka, M. Current research on acute phase proteins in veterinary diagnosis: An overview. Vet. J. 2004, 168, 28–40. [Google Scholar] [CrossRef]
- Parrish, C.R.; Carmichael, L.E.; Antczak, D.F. Antigenic relationships between canine parvovirus type 2, feline panleukopenia virus and mink enteritis virus using conventional antisera and monoclonal antibodies. Arch. Virol. 1982, 72, 267–278. [Google Scholar] [CrossRef]
- Landis, J.R.; Koch, G.G. An application of hierarchical kappa-type statistics in the assessment of majority agreement among multiple observers. Biometrics 1977, 33, 363–374. [Google Scholar] [CrossRef]
- Day, M.J.; Horzinek, M.C.; Schultz, R.D.; Squires, R.A. WSAVA Guidelines for the vaccination of dogs and cats. J. Small Anim. Pract. 2016, 57, 4–8. [Google Scholar] [CrossRef]
- Rikula, U.; Nuotio, L.; Sihvonen, L. Vaccine coverage, herd immunity and occurrence of canine distemper from 1990–1996 in Finland. Vaccine 2007, 25, 7994–7998. [Google Scholar] [CrossRef] [PubMed]
- Bergman, D.; Larsson, A.; Hansson-Hamlin, H.; Svensson, A.; Holst, B.S. Prevalence of interfering antibodies in dogs and cats evaluated using a species-independent assay. Vet. Clin. Pathol. 2018, 47, 205–212. [Google Scholar] [CrossRef] [PubMed]
- Dimeski, G. Interference testing. Clin. Biochem. Rev. 2008, 29 (Suppl. S1), S43–S48. [Google Scholar] [PubMed]
- Sturgeon, C.M.; Viljoen, A. Analytical error and interference in immunoassay: Minimizing risk. Ann. Clin. Biochem. 2011, 48, 418–432. [Google Scholar] [CrossRef]
- Ward, G.; Simpson, A.; Boscato, L.; Hickman, P.E. The investigation of interferences in immunoassay. Clin. Biochem. 2017, 50, 1306–1311. [Google Scholar] [CrossRef]
- Solter, P.F.; Oyama, M.A.; Sisson, D.D. Canine heterophilic antibodies as a source of false-positive B-type natriuretic peptide sandwich ELISA results. Vet. Clin. Pathol. 2008, 37, 86–95. [Google Scholar] [CrossRef]
- Bolstad, N.; Warren, D.J.; Nustad, K. Heterophilic antibody interference in immunometric assays. Best Pract. Res. Clin. Endocrinol. Metab. 2013, 27, 647–661. [Google Scholar] [CrossRef]
- Tate, J.; Ward, G. Interferences in immunoassay. Clin. Biochem. Rev. 2004, 25, 105–120. [Google Scholar]
- Posthuma-Trumpie, G.A.; Korf, J.; van Amerongen, A. Lateral flow (immuno)assay: Its strengths, weaknesses, opportunities and threats. A literature survey. Anal. Bioanal. Chem. 2009, 393, 569–582. [Google Scholar] [CrossRef]
- Omidfar, K.; Riahi, F.; Kashanian, S. Lateral Flow Assay: A Summary of Recent Progress for Improving Assay Performance. Biosensors 2023, 13, 837. [Google Scholar] [CrossRef] [PubMed]
- Ji, J.Z.; Meng, Q.H. Evaluation of the interference of hemoglobin, bilirubin, and lipids on Roche Cobas 6000 assays. Clin. Chim. Acta 2011, 412, 1550–1553. [Google Scholar] [CrossRef] [PubMed]
- Riley, M.C.; Wilkes, R.P. Sequencing of emerging canine distemper virus strain reveals new distinct genetic lineage in the United States associated with disease in wildlife and domestic canine populations. Virol. J. 2015, 12, 219. [Google Scholar] [CrossRef] [PubMed]
- Rendon-Marin, S.; da Fontoura Budaszewski, R.; Canal, C.W.; Ruiz-Saenz, J. Tropism and molecular pathogenesis of canine distemper virus. Virol. J. 2019, 16, 30. [Google Scholar] [CrossRef]
- Wilkes, R.P.; Sanchez, E.; Riley, M.C.; Kennedy, M.A. Real-time reverse transcription polymerase chain reaction method for detection of Canine distemper virus modified live vaccine shedding for differentiation from infection with wild-type strains. J. Vet. Diagn. Investig. 2014, 26, 27–34. [Google Scholar] [CrossRef]
- Truyen, U. Evolution of canine parvovirus—A need for new vaccines? Vet. Microbiol. 2006, 117, 9–13. [Google Scholar] [CrossRef]
- von Messling, V.; Harder, T.C.; Moennig, V.; Rautenberg, P.; Nolte, I.; Haas, L. Rapid and sensitive detection of immunoglobulin M (IgM) and IgG antibodies against canine distemper virus by a new recombinant nucleocapsid protein-based enzyme-linked immunosorbent assay. J. Clin. Microbiol. 1999, 37, 1049–1056. [Google Scholar] [CrossRef]
- Chandler, T.L.; Yang, A.; Otero, C.E.; Permar, S.R.; Caddy, S.L. Protective mechanisms of nonneutralizing antiviral antibodies. PLoS Pathog. 2023, 19, e1011670. [Google Scholar] [CrossRef]
- Abdelmagid, O.Y.; Larson, L.; Payne, L.; Tubbs, A.; Wasmoen, T.; Schultz, R. Evaluation of the efficacy and duration of immunity of a canine combination vaccine against virulent parvovirus, infectious canine hepatitis virus, and distemper virus experimental challenges. Vet. Ther. 2004, 5, 173–186. [Google Scholar]
- Jensen, W.A.; Totten, J.S.; Lappin, M.R.; Schultz, R.D. Use of serologic tests to predict resistance to Canine distemper virus-induced disease in vaccinated dogs. J. Vet. Diagn. Investig. 2015, 27, 576–580. [Google Scholar] [CrossRef]
- Larson, L.; Thiel, B.; Santana, V.; Schultz, R. Canine nomograph evaluation improves puppy immunization. Clin. Theriogenology 2020, 12, 216–221. [Google Scholar]
- Decaro, N.; Buonavoglia, C.; Barrs, V.R. Canine parvovirus vaccination and immunisation failures: Are we far from disease eradication? Vet. Microbiol. 2020, 247, 108760. [Google Scholar] [CrossRef]
- Burr, P. Serological testing--an alternative to boosters? Vet. Microbiol. 2006, 117, 39–42. [Google Scholar] [CrossRef]




| Characteristics | Category | Number of Dogs (n) | Years |
|---|---|---|---|
| Sex | Female | 87 | |
| Male | 113 | ||
| Neutering status | Intact | 99 | |
| Neutered | 101 | ||
| Breed | Purebred | 159 | |
| Mixed breed | 41 | ||
| Age | Range | 0.2–17.2 | |
| Median ± SD * | 7.7 ± 4.3 | ||
| Health status | Healthy or chronically ill | 76 | |
| Acutely ill | 124 |
| POCT-1 Canine VacciCheck® * | POCT-2 VCheck CPV/CDV/CAV Ab ** | POCT-3 Fassisi CantiCheck Plus *** | |
|---|---|---|---|
| Method | Enzyme-linked immunosorbent dot blot assay | Lateral flow test | Lateral flow test |
| Antibodies | CPV, CDV, CAV-1 | CPV, CDV, CAV-1 & CAV-2 | CPV, CDV, CAV-2 |
| Readout | Semiquantitative, visual | Semiquantitative, analyzer | Qualitative, visual |
| Sample volume | 1 × 5 μL serum/plasma or 10 μL whole blood | 3 × 5 μL serum/plasma | 3 × 20 μL serum, plasma or whole blood |
| Storage | 2–8 °C, warm-up to room temperature 1 h prior to testing required | Room temperature | Room temperature |
| Incubation time | 21 min | 10 min | 10 min |
| POCT | Sensitivity % (95% CI %) | True Positive/ False Negative | Specificity % (95% CI %) | True Negative/ False Positive | Positive Predictive Value % (95% CI %) | Negative Predictive Value % (95% CI %) | Overall Accuracy % (95% CI %) |
|---|---|---|---|---|---|---|---|
| All dog sera (n = 240 *) | |||||||
| POCT-1 | 100 (98.1–100) | 194/0 | 100 (92.1–100) | 45/0 | 100 (98.1–100) | 100 (92.1–100) | 100 (98.5–100) |
| POCT-2 | 93.9 (89.6–96.5) | 183/12 | 97.8 (88.4–99.9) | 44/1 | 99.5 (97.0–100.0) | 78.6 (66.2–87.3) | 94.6 (90.9–97.1) |
| POCT-3 | 79.0 (72.7–84.1) | 154/41 | 100 (92.1–100) | 45/0 | 100 (97.6–100) | 52.3 (41.9–62.6) | 82.92 (77.6–87.5) |
| Subgroup client-owned dogs (n = 200 **) | |||||||
| POCT-1 | 100 (98.1–100) | 194/0 | 100 (56.6–100) | 5/0 | 100 (98.1–100) | 100 (56.6–100) | 100 (98.2–100) |
| POCT-2 | 93.9 (89.6–96.5) | 183/12 | 80.0 (37.6–99.0) | 4/1 | 99.5 (97.0–100.0) | 25.0 (10.2–49.5) | 93.50 (89.1–96.5) |
| POCT-3 | 79.0 (72.7–84.1) | 154/41 | 100 (56.6–100) | 5/0 | 100 (97.6–100) | 10.9 (4.7–23.0) | 79.50 (73.2–84.9) |
| Healthy or chronically ill (n = 76 ***) | |||||||
| POCT-1 | 100 (94.9–100) | (72/0) | 100 (43.9–100) | (3/0) | 100 (94.9–100) | 100 (43.9–100) | 100 (95.2–100) |
| POCT-2 | 97.3 (90.6–99.5) | (71/2) | 66.7 (11.9–98.3) | (2/1) | 98.6 (92.5–99.9) | 50.0 (8.9–91.1) | 97.3 (90.7–99.7) |
| POCT-3 | 79.4 (68.8–87.1) | (58/15) | 100 (43.9–100) | (3/0) | 100 (93.8–100) | 16.7 (5.8–39.2) | 80.3 (69.5–88.5) |
| Acutely ill (n = 124) | |||||||
| POCT-1 | 100 (97.0–100) | (122/0) | 100 (17.8–100) | (2/0) | 100 (97.0–100) | 100 (17.8–100) | 100 (97.1–100) |
| POCT-2 | 91.8 (85.6–95.5) | (112/10) | 100 (17.8–100) | (2/0) | 100 (97.0–100) | 16.7 (3.0–44.8) | 91.9 (85.7–96.1) |
| POCT-3 | 78.7 (70.6–85.0) | (96/26) | 100 (17.8–100) | (2/0) | 100 (97.0–100) | 7.1 (1.3–22.7) | 79.3 (70.8–85.8) |
| Subgroup specific pathogen-free (SPF) and specified antibody-free dogs (n = 40) | |||||||
| POCT-1 | n.a. | 0/0 | 100 (91.2–100) | (40/0) | n.a. | 100 (91.2–100) | n.a. |
| POCT-2 | n.a. | 0/0 | 100 (91.2–100) | (40/0) | n.a. | 100 (91.2–100) | n.a. |
| POCT-3 | n.a. | 0/0 | 100 (91.2–100) | (40/0) | n.a. | 100 (91.2–100) | n.a. |
| POCT | Sensitivity % (95% CI %) | True Positive/ False Negative | Specificity % (95% CI %) | True Negative/ False Positive | Positive Predictive Value % (95% CI %) | Negative Predictive Value % (95% CI %) | Overall Accuracy % (95% CI %) |
|---|---|---|---|---|---|---|---|
| All dog sera (n = 240 *) | |||||||
| POCT-1 | 98.7 (95.4–99.8) | 152/2 | 43.5 (33.5–54.1) | 37/48 | 76.0 (69.6–81.4) | 94.9 (83.1–99.1) | 79.1 (73.4–84.1) |
| POCT-2 | 98.7 (95.4–99.8) | 153/2 | 42.4 (32.4–53.0) | 36/49 | 75.7 (69.4–81.1) | 94.7 (82.7–99.1) | 78.8 (73.0–83.8) |
| POCT-3 | 17.4 (12.3–24.2) | 27/128 | 94.1 (87.0–97.5) | 80/5 | 84.4 (68.3–93.1) | 38.46 (32.1–45.2) | 44.6 (38.2–51.1) |
| Subgroup client-owned dogs (n = 200 **) | |||||||
| POCT-1 | 98.7 (95.4–99.8) | 152/2 | 13.3 (62.6–26.2) | 6/39 | 79.6 (73.3–84.7) | 75.0 (40.9–95.6) | 79.4 (73.1–84.8) |
| POCT-2 | 98.7 (95.4–99.8) | 153/2 | 17.8 (9.3–31.3) | 8/37 | 80.5 (74.3–85.5) | 80.0 (49.0–96.5) | 80.5 (74.3–85.8) |
| POCT-3 | 17.4 (12.3–24.2) | 27/128 | 93.3 (82.1–97.7) | 42/3 | 90.0 (74.4–96.5) | 24.7 (8.8–31.7) | 34.5 (27.9–41.5) |
| Healthy or chronically ill (n = 76 ***) | |||||||
| POCT-1 | 96.7 (88.8–99.4) | 58/3 | 7.1 (0.4–31.5) | 1/13 | 81.9 (71.5–89.1) | 33.3 (1.7–88.2) | 80.0 (69.2–88.4) |
| POCT-2 | 98.4 (91.4–99.9) | 61/1 | 7.1 (0.4–31.5) | 1/13 | 82.4 (72.2–89.4) | 50.0 (2.6–97.4) | 81.6 (71.0–89.6) |
| POCT-3 | 19.4 (11.4–30.9) | 12/50 | 85.7 (60.1–97.5) | 12/2 | 85.7 (60.1–97.5) | 19.4 (11.4–30.9) | 31.6 (21.4–43.3) |
| Acutely ill (n = 124) | |||||||
| POCT-1 | 100 (96.0–100) | 93/0 | 16.1 (7.1–32.6) | 5/26 | 78.2 (69.9–84.6) | 100 (56.6–100) | 79.0 (70.8–85.8) |
| POCT-2 | 98.9 (94.2–99.9) | 92/1 | 22.6 (11.4–39.8) | 7/24 | 79.3 (71.1–85.7) | 87.5 (52.9–99.4) | 79.8 (71.7–86.5) |
| POCT-3 | 16.1 (10.0–24.9) | 15/78 | 96.8 (83.8–99.8) | 30/1 | 93.8 (71.7–99.7) | 27.8 (20.2–36.9) | 36.3 (27.9–45.4) |
| Subgroup specific pathogen-free (SPF) and specified antibody-free dogs (n = 40) | |||||||
| POCT-1 | n.a. | 0/0 | 77.5 (62.5–87.7) | 31/9 | 0 (0–30.0) | 100 (89.0–100) | n.a. |
| POCT-2 | n.a. | 0/0 | 70.0 (54.6–81.9) | 28/12 | 0 (0–24.25) | 100 (87.9–100) | n.a. |
| POCT-3 | n.a. | 0/0 | 95.0 (83.5–99.1) | 38/2 | 0 (0–82.23) | 100 (0.82–100) | n.a. |
| POCT | Sensitivity % (95% CI %) | True Positive/ False Negative | Specificity % (95% CI %) | True Negative/ False Positive | Positive Predictive Value % (95% CI %) | Negative Predictive Value % (95% CI %) | Overall Accuracy % (95% CI %) |
|---|---|---|---|---|---|---|---|
| All dog sera (n = 240 *) | |||||||
| POCT-1 | 99.4 (96.6–100) | 162/1 | 55.3 (44.1–65.9) | 42/34 | 82.7 (76.7–87.3) | 97.7 (87.9–99.9) | 85.4 (80.2–89.6) |
| POCT-2 | 90.8 (85.4–94.3) | 148/15 | 79.2 (68.9–86.8) | 61/16 | 90.2 (84.7–93.9) | 80.3 (70.0–87.7) | 87.1 (82.2–91.1) |
| POCT-3 | 33.1 (26.4–40.7) | 54/109 | 84.4 (74.7–90.9) | 65/12 | 81.8 (70.9–89.3) | 37.4 (30.5–44.7) | 43.6 (43.1–56.1) |
| Subgroup client-owned dogs (n = 200 **) | |||||||
| POCT-1 | 99.4 (96.6–100) | 162/1 | 8.3 (2.9–21.8) | 3/33 | 83.1 (77.2–87.7) | 75.0 (30.1–98.7) | 82.9 (77.0–87.9) |
| POCT-2 | 90.8 (85.4–94.3) | 148/15 | 56.8 (40.9–71.3) | 21/16 | 90.2 (84.7–93.9) | 58.3 (42.2–72.9) | 84.5 (78.7–89.2) |
| POCT-3 | 33.1 (26.4–40.7) | 54/109 | 81.1 (65.8–90.5) | 30/7 | 88.5 (78.2–94.3) | 21.6 (15.6–29.1) | 42 (35.1–49.2) |
| Healthy or chronically ill (n = 76 ***) | |||||||
| POCT-1 | 100 (94.4–100) | 65/0 | 0 (0–27.8) | 0/10 | 86.7 (77.2–92.6) | n.a. | 86.7 (76.8–93.4) |
| POCT-2 | 93.9 (85.2–97.6) | 61/4 | 36.4 (15.2–64.6) | 4/7 | 89.7 (80.2–94.9) | 50.0 (21.5–78.5) | 85.5 (75.6–92.6) |
| POCT-3 | 38.5 (27.6–50.6) | 25/40 | 81.8 (52.3–96.8) | 9/2 | 92.6 (76.6–98.7) | 18.4 (9.98–31.4) | 44.7 (33.3–56.6) |
| Acutely ill (n = 124) | |||||||
| POCT-1 | 99.0 (94.4–100) | 97/1 | 11.5 (4.0–29.0) | 3/23 | 80.8 (72.9–86.9) | 75.0 (30.1–98.7) | 80.7 (72.6–87.2) |
| POCT-2 | 88.8 (81.0–93.6) | 87/11 | 65.4 (46.2–80.6) | 17/9 | 90.6 (83.1–95.0) | 60.7 (42.4–76.4) | 83.9 (76.2–89.9) |
| POCT-3 | 69.4 (59.7–77.6) | 29/69 | 80.8 (62.1–91.5) | 21/5 | 93.2 (85.0–97.0) | 41.2 (28.8–54.8) | 71.8 (63.0–79.5) |
| Subgroup specific pathogen-free (SPF), specified antibody-free dogs (n = 40) | |||||||
| POCT-1 | n.a. | 0/0 | 97.5 (87.1–99.9) | 39/1 | 0 (0–94.9) | 100 (91.0–100) | n.a. |
| POCT-2 | n.a. | 0/0 | 100 (91.2–100) | 40/0 | n.a. | 100 (91.2–100) | n.a. |
| POCT-3 | n.a. | 0/0 | 87.5 (73.9–94.5) | 35/5 | 0 (0–43.5) | 100 (90.1–100) | n.a. |
| Virus | POCT | Sensitivity % (95% CI %) | True Positive/ False Negative | Specificity % (95% CI %) | True Negative/ False Positive | Positive Predictive Value % (95% CI %) | Negative Predictive Value % (95% CI %) | Overall Accuracy % (95% CI %) |
|---|---|---|---|---|---|---|---|---|
| CPV-2 | POCT-1 * | 95 (76.4–99.7) | 19/1 | n.a. | 0/0 | 100 (83.2–100) | 0 (0–94.9) | n.a. |
| POCT-2 | 30 (14.6–51.9) | 6/14 | n.a. | 0/0 | 100 (61.0–100) | 0 (0–21.5) | n.a. | |
| POCT-3 | 0 (0–16.1) | 0/20 | n.a. | 0/0 | n.a. | 0 (0–16.1) | n.a. | |
| CDV | POCT-1 * | 80.0 (37.6–99.0) | 4/1 | 26.7 (10.9–52.0) | 4/11 | 26.7 (10.9–52.0) | 80 (37.6–99.0) | 40.0 (19.1–64.0) |
| POCT-2 | 60.0 (23.1–92.9) | 3/2 | 40.0 (19.8–64.3) | 6/9 | 25.0 (8.9–53.2) | 75 (40.9–95.6) | 45.0 (23.1–68.5) | |
| POCT-3 | 0 (0–43.5) | 0/5 | 100 (79.6–100) | 15/0 | n.a. | 75 (53.1–88.8) | 75.0 (50.9–91.3) | |
| CAV-1 | POCT-1 * | 92.3 (66.7–99.6) | 12/1 | 14.3 (0.7–51.3) | 1/6 | 66.7 (43.8–83.7) | 50 (25.7–97.4) | 65.0 (40.8–84.6) |
| POCT-2 | 69.2 (42.4–87.3) | 9/4 | 85.7 (48.7–99.3) | 6/1 | 90 (59.6–99.5) | 60 (31.3–83.2) | 75.0 (50.9–91.3) | |
| POCT-3 | 0 (0–22.8) | 0/13 | 100 (64.6–100) | 7/0 | n.a. | 35 (18.1–56.7) | 35.0 (15.4–59.2) |
| Virus | Assay | Cohen’s Kappa (CI 95%) | Agreement |
|---|---|---|---|
| CPV-2 | POCT-1 vs. POCT-2 | 0.72 (0.62–0.82) | Substantial |
| POCT-1 vs. POCT-3 | 0.48 (0.38–0.57) | Moderate | |
| POCT-2 vs. POCT-3 | 0.66 (0.57–0.76) | Substantial | |
| CDV | POCT-1 vs. POCT-2 | 0.54 (0.41–0.68) | Moderate |
| POCT-1 vs. POCT-3 | 0.04 (0.01–0.07) | None/slight | |
| POCT-2 vs. POCT-3 | 0.05 (0.02–0.08) | None/slight | |
| CAV | POCT-1 vs. POCT-2 | 0.60 (0.50–0.71) | Moderate |
| POCT-1 vs. POCT-3 | 0.06 (0.01–0.12) | None/slight | |
| POCT-2 vs. POCT-3 | 0.06 (0.02–0.15) | None/slight |
| Test | Virus | Positive Result | Negative Result | Vaccination Recommended | |
|---|---|---|---|---|---|
| Yes | No | ||||
| VN | CPV-2 | 110 | 44 | 85 (29) | 69 (65) |
| CDV | 80 | 74 | |||
| CAV | 93 | 61 | |||
| POCT-1 * | CPV-2 | 69 | 31 | 35 (5) | 66 (66) |
| CDV | 76 | 24 | |||
| CAV | 71 | 29 | |||
| POCT-2 | CPV-2 | 93 | 61 | 77 (18) | 77 (76) |
| CDV | 113 | 41 | |||
| CAV | 92 | 62 | |||
| POCT-3 | CPV-2 | 67 | 87 | 142 (82) | 12 (12) |
| CDV | 21 | 133 | |||
| CAV | 35 | 119 | |||
Disclaimer/Publisher’s Note: The statements, opinions and data contained in all publications are solely those of the individual author(s) and contributor(s) and not of MDPI and/or the editor(s). MDPI and/or the editor(s) disclaim responsibility for any injury to people or property resulting from any ideas, methods, instructions or products referred to in the content. |
© 2025 by the authors. Licensee MDPI, Basel, Switzerland. This article is an open access article distributed under the terms and conditions of the Creative Commons Attribution (CC BY) license (https://creativecommons.org/licenses/by/4.0/).
Share and Cite
Janowitz, L.; Abd El Wahed, A.; Truyen, U.; Hofmann-Lehmann, R.; Spiri, A.M. Antibody Titer Testing in Dogs: Evaluation of Three Point-of-Care Tests for Canine Core Vaccine Antigens Compared to Virus Neutralization. Vet. Sci. 2025, 12, 737. https://doi.org/10.3390/vetsci12080737
Janowitz L, Abd El Wahed A, Truyen U, Hofmann-Lehmann R, Spiri AM. Antibody Titer Testing in Dogs: Evaluation of Three Point-of-Care Tests for Canine Core Vaccine Antigens Compared to Virus Neutralization. Veterinary Sciences. 2025; 12(8):737. https://doi.org/10.3390/vetsci12080737
Chicago/Turabian StyleJanowitz, Lena, Ahmed Abd El Wahed, Uwe Truyen, Regina Hofmann-Lehmann, and Andrea Monika Spiri. 2025. "Antibody Titer Testing in Dogs: Evaluation of Three Point-of-Care Tests for Canine Core Vaccine Antigens Compared to Virus Neutralization" Veterinary Sciences 12, no. 8: 737. https://doi.org/10.3390/vetsci12080737
APA StyleJanowitz, L., Abd El Wahed, A., Truyen, U., Hofmann-Lehmann, R., & Spiri, A. M. (2025). Antibody Titer Testing in Dogs: Evaluation of Three Point-of-Care Tests for Canine Core Vaccine Antigens Compared to Virus Neutralization. Veterinary Sciences, 12(8), 737. https://doi.org/10.3390/vetsci12080737

