Effect of Supplementation Plans and Frequency on Performance and Metabolic Responses of Grazing Pregnant Beef Heifers
Abstract
Simple Summary
Abstract
1. Introduction
2. Materials and Methods
2.1. Location and Weather Conditions
2.2. Animal Management, Experimental Design, and Treatments
2.3. Food and Feces Sampling and Chemical Analysis
2.4. Productive Performance
2.5. Blood Metabolite and Hormone Assessment
2.6. Statistical Analysis
3. Results
3.1. Forage Samples and Nutritional Performance
3.2. Productive Response
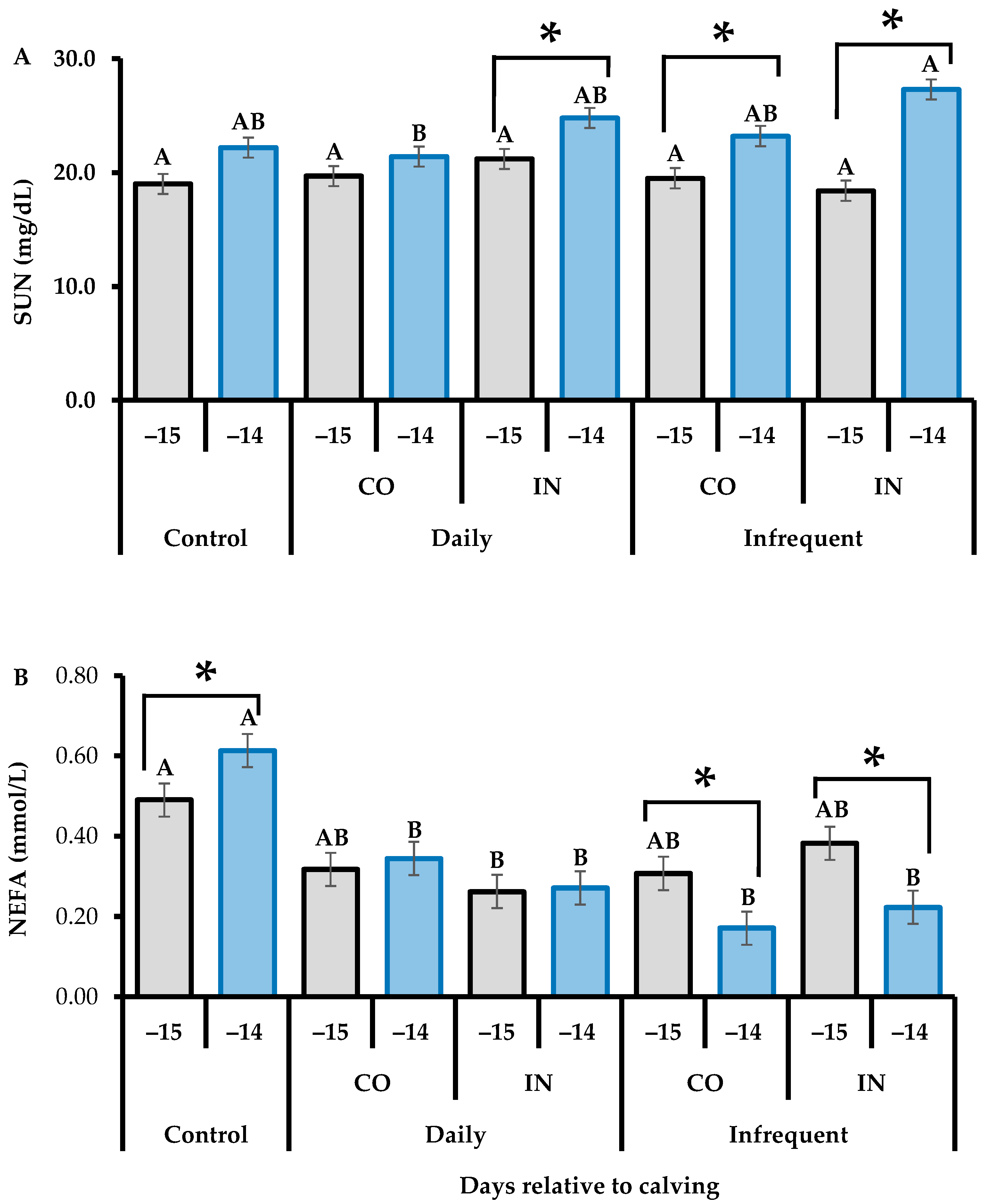
3.3. Metabolite and Hormone Concentration
4. Discussion
5. Conclusions
Author Contributions
Funding
Institutional Review Board Statement
Informed Consent Statement
Data Availability Statement
Acknowledgments
Conflicts of Interest
References
- Sousa, G.G.T.; Sousa Júnior, S.C.; Santos, K.R.; Guimarães, J.E.C.; Luz, C.S.M.; Barros Júnior, C.P.; Fonseca, W.J.L. Características reprodutivas de bovinos da raça Nelore do meio Norte do Brasil. Pubvet 2012, 6, 1390. [Google Scholar] [CrossRef][Green Version]
- Wettemann, R.P.; Lents, C.A.; Ciccioli, N.H.; White, F.J.; Rubio, I. Nutritional-and pre-weaning-mediated anovulation in beef cows. J. Anim. Sci. 2002, 81, E48–E59. [Google Scholar] [CrossRef]
- Da Silva, A.G.; Musgrave, J.A.; Nollette, J.; Applegarth, A.; Funston, R.N. Effect of Dam Age on Offspring Productivity. Neb. Beef Cattle Rep. 2016, 874, 18–21. [Google Scholar]
- Vizcarra, J.A.; Wettemann, R.P.; Spitzer, J.C.; Morrison, D.G. Body condition at parturition and postpartum weight gain influence luteal activity and concentrations of glucose, insulin, and nonesterified fatty acids in plasma of primiparous beef cows. J. Anim. Sci. 1998, 76, 927–936. [Google Scholar] [CrossRef]
- Hess, B.W.; Lake, S.L.; Scholljegerdes, E.J.; Weston, T.R.; Nayigihugu, V.; Molle, J.D.C.; Moss, G.E. Nutritional controls of beef cow reproduction. J. Anim. Sci. 2005, 83, E90–E106. [Google Scholar] [CrossRef]
- Cappellozza, B.I.; Bohnert, D.W.; Reis, M.M.; Emon, M.L.V.; Schauer, C.S.; Falck, S.J.; Cooke, R.F. Influence of amount and frequency of protein supplementation to ruminants consuming low-quality cool-season forages: Efficiency of nitrogen utilization in lambs and performance of gestating beef cows. J. Anim. Sci. 2021, 99, skab122. [Google Scholar] [CrossRef]
- Farmer, C.G.; Cochran, R.C.; Nagaraja, T.G.; Titgemeyer, E.C.; Johnson, D.E.; Wickersham, T.A. Ruminal and host adaptations to changes in frequency of protein supplementation. J. Anim. Sci. 2004, 82, 895–903. [Google Scholar] [CrossRef]
- Cappellozza, B.I.; Bohnert, B.W.; Reis, M.M.; Swanson, K.C.; Falck, S.J.; Cooke, R.F. Influence of amount and frequency of protein supplementation to steers consuming low-quality, cool-season forage: Intake, nutrient digestibility, and ruminal fermentation. J. Anim. Sci. 2021, 99, skab112. [Google Scholar] [CrossRef]
- Moura, F.H.; Costa, T.C.; Trece, A.S.; Melo, L.P.; Manso, M.R.; Paulino, M.F.; Rennó, L.N.; Fonseca, M.A.; Detmann, E.; Gionbelli, M.P.; et al. Effects of energy-protein supplementation frequency on performance of primiparous grazing beef cows during pre and postpartum. Asian-Australas. J. Anim. Sci. 2020, 33, 1430–1443. [Google Scholar] [CrossRef]
- Lopes, R.C.; Sampaio, C.B.; Trece, A.S.; Teixeira, P.D.; Gionbelli, T.R.S.; Santos, L.R.; Costa, T.C.; Duarte, M.S.; Gionbelli, M.P. Impacts of protein supplementation during late gestation of beef cows on maternal skeletal muscle and liver tissues metabolism. Animal 2020, 14, 1867–1875. [Google Scholar] [CrossRef]
- Elrod, C.C.; Van Amburgh, M.; Butler, W.R. Alterations of pH in response to increased dietary protein in cattle are unique to the uterus. J. Anim. Sci. 1993, 71, 702–706. [Google Scholar] [CrossRef] [PubMed]
- Acott, T.S.; Carr, D.W. Inhibition of bovine spermatozoa by caudal epididymal fluid: II. Interaction of pH and a quiescence factor. Biol. Reprod. 1984, 30, 926–935. [Google Scholar] [CrossRef] [PubMed]
- Butler, W.R. Review: Effect of protein nutrition on ovarian and uterine physiology in dairy cattle. J. Dairy Sci. 1998, 81, 2533–2539. [Google Scholar] [CrossRef] [PubMed]
- Cappellozza, B.I.; Cooke, R.F.; Reis, M.M.; Marques, R.S.; Guarnieri Filho, T.A.; Perry, G.A.; Jump, D.B.; Lytle, K.A.; Bohnert, D.W. Effects of protein supplementation frequency on physiological responses associated with reproduction in beef cows. J. Anim. Sci. 2015, 93, 386–394. [Google Scholar] [CrossRef] [PubMed]
- Izquierdo, V.; Vedovatto, M.; Palmer, E.A.; Oliveira, R.A.; Silva, H.M.; Vendramini, J.M.B.; Moriel, P. Frequency of maternal supplementation of energy and protein during late gestation modulates preweaning growth of their beef offspring. Transl. Anim. Sci. 2022, 6, txac110. [Google Scholar] [CrossRef]
- Astessiano, A.L.; Perez-Clariget, R.; Quintans, G.; Soca, P.; Meikle, A.; Crooker, B.A.; Carriquiry, M. Metabolic and endocrine profile and hepatic gene expression in periparturient, grazing primiparous beef cows with different body reserves. Livest. Sci. 2014, 170, 63–71. [Google Scholar] [CrossRef]
- Long, N.M.; Tousley, C.B.; Underwood, K.R.; Paisley, S.I.; Means, W.J.; Hess, B.W.; Du, M.; Ford, S.P. Effects of early- to mid-gestational undernutrition with or without protein supplementation on offspring growth, carcass characteristics, and adipocyte size in beef cattle. J. Anim. Sci. 2012, 90, 197–206. [Google Scholar] [CrossRef]
- Wood, K.M.; Awda, B.J.; Fitzsimmons, C.; Miller, S.P.; McBride, B.W.; Swanson, K.C. Influence of pregnancy in mid-to-late gestation on circulating metabolites, visceral organ mass, and abundance of proteins relating to energy metabolism in mature beef cows. J. Anim. Sci. 2013, 91, 5775–5784. [Google Scholar] [CrossRef]
- Universidade Federal de Viçosa—UFV. Departamento de Engenharia Agrícola. Estação Climatológica Principal de Viçosa. In Boletim Meteorológico 2017; UFV: Viçosa, MG, Brasil, 2017; Available online: https://posmet.ufv.br/wp-content/uploads/2019/09/Estacao-Automatica-2017.pdf (accessed on 15 January 2018).
- Detmann, E.; Gionbelli, M.P.; Paulino, M.F.; Valadares Filho, S.C.; Rennó, L.N. Considerations on research methods applied to ruminants under grazing. Nutritime 2016, 13, 4711–4731. [Google Scholar]
- Valadares Filho, S.C.; Silva, L.F.C.; Gionbelli, M.P.; Rotta, P.P.; Marcondes, M.I.; Chizzotti, M.L.; Prados, L.F. Nutrient Requirements of Zebu and Crossbred Cattle, 3rd ed.; Suprema Gráfica: Viçosa, Brazil, 2016. [Google Scholar]
- Wallis de Vries, M.F. Estimating forage intake and quality in grazing cattle: A reconsideration of the hand-plucking method. J. Range Manag. 1995, 48, 370–375. [Google Scholar] [CrossRef]
- Detmann, E.; Souza, M.A.; Valadares Filho, S.C.; Queiroz, A.C.; Berchielli, T.T.; Saliba, E.O.S.; Cabral, L.S.; Pina, D.S.; Ladeira, M.M.; Azevedo, J.A.G. Métodos Para Análise de Alimentos; Visconde do Rio Branco: Suprema, Brazil, 2012. [Google Scholar]
- Gionbelli, M.P.; Duarte, M.S.; Valadares Filho, S.C.; Detmann, E.; Chizzotti, M.L.; Rodrigues, F.C.; Zanetti, D.; Gionbelli, T.R.S.; Machado, M.G. Achieving body weight adjustments for feeding status and pregnant or non-pregnant condition in beef cows. PLoS ONE 2015, 10, e0112111. [Google Scholar] [CrossRef] [PubMed]
- National Academies of Sciences, Engineering, and Medicine (NASEM). Nutrient Requirements of Beef Cattle, 8th ed.; Nutrient Requirements of Domestic Animals; The National Academies Press: Washington, DC, USA, 2016. [Google Scholar]
- Almeida, D.M.; Marcondes, M.I.; Rennó, L.N.; Barros, L.V.; Cabral, C.H.A.; Martins, L.S.; Marquez, D.E.C.; Saldarriaga, F.V.; Villadiego, F.A.C.; Cardozo, M.A.; et al. Estimation of daily milk yield of Nellore cows grazing tropical pastures. Trop. Anim. Health Prod. 2018, 50, 1771–1777. [Google Scholar] [CrossRef] [PubMed]
- National Research Council (NRC). Nutrient Requirements of Dairy Cattle; National Academy Press: Washington, DC, USA, 2001. [Google Scholar]
- Delevatti, L.M.; Romanzini, E.P.; Koscheck, J.F.W.; de Araujo, T.L.R.; Renesto, D.M.; Ferrari, A.C.; Barbero, R.P.; Mullinks, J.T.; Reis, R.A. Forage management intensification and supplementation strategy: Intake and metabolic parameters on beef cattle production. Anim. Feed Sci. Technol. 2018, 247, 74–82. [Google Scholar] [CrossRef]
- Sampaio, C.B.; Detmann, E.; Paulino, M.F.; Valadares Filho, S.C.; Souza, M.A.; Lazzarini, I.; Paulino, P.V.R.; Queiroz, A.C. Intake and digestibility in cattle fed low-quality tropical forage and supplemented with nitrogenous compounds. Trop. Anim. Health Prod. 2010, 42, 1471–1479. [Google Scholar] [CrossRef]
- Poppi, D.P.; McLennan, S.R. Protein and energy utilization by ruminants at pasture. J. Anim. Sci. 1995, 73, 278–290. [Google Scholar] [CrossRef]
- Detmann, E.; Paulino, M.F.; Valadares Filho, S.C.; Huhtanen, P. Nutritional aspects applied to grazing cattle in the tropics: A review based on Brazilian results. Semin. Ciências Agrárias 2014, 35, 2829–2854. [Google Scholar] [CrossRef]
- Scheaffer, A.N.; Caton, J.S.; Bauer, M.L.; Reynolds, L.P. Influence of pregnancy on body weight, ruminal characteristics, and visceral organ mass in beef heifers. J. Anim. Sci. 2001, 79, 2481–2490. [Google Scholar] [CrossRef]
- Rotta, P.P.; Valadares Filho, S.C.; Gionbelli, T.R.S.; Costa e Silva, L.F.; Engle, T.E.; Marcondes, M.I.; Machado, F.S.; Villadiego, F.A.C.; Silva, L.H.R. Effects of day of gestation a feeding regimen in Holsteins x Gir cows: I. Apparent total-tract digestibility, nitrogen balance, and fat deposition. J. Dairy Sci. 2015, 98, 3197–3210. [Google Scholar] [CrossRef]
- Hummel, G.; Woodruff, K.; Austin, K.; Knuth, R.; Lake, S.; Cunningham-Hollinger, H. Late gestation maternal feed restriction decreases microbial diversity on the placenta while mineral supplementation improves richness of the fetal gut microbiome in cattle. Animals 2021, 11, 2219. [Google Scholar] [CrossRef]
- Van Soest, P. Nutritional Ecology of the Ruminant, 2nd ed.; Cornell University Press: Ithaca, NY, USA, 1994. [Google Scholar]
- Luchiari Filho, A. Pecuária da Carne Bovina, 1st ed.; R Vieira Gráfica e Editora Ltda.: São Paulo, Brazil, 2000. [Google Scholar]
- Chimonyo, M.; Hamudikuwana, H.; Kusina, N.T.; Ncube, I. Changes in stress-related plasma metabolite concentrations in working Mashona cows on dietary supplementation. Livest. Prod. Sci. 2002, 73, 165–173. [Google Scholar] [CrossRef]
- Soca, P.; Carriquiry, M.; Claramunt, M.; Gestido, V.; Meikle, A. Metabolic and endocrine profiles of primiparous beef cows grazing native grassland. 1. Relationships between body condition score at calving and metabolic profiles during the transition period. Anim. Prod. Sci. 2013, 54, 856–861. [Google Scholar] [CrossRef]
- Montanholi, Y.R.; Haas, L.S.; Swanson, K.C.; Coomber, B.L.; Yamashiro, S.; Miller, S.P. Liver morphometrics and metabolic blood profile across divergent phenotypes for feed efficiency in the bovine. Acta Vet. Scand. 2017, 59, 24. [Google Scholar] [CrossRef] [PubMed]
- González, F.H.; Barcellos, J.; Patiño, H.O.; Ribeiro, L.A. Perfil Metabólico em Ruminantes: Seu Uso em Nutrição e Doenças Nutricionais; Editora UFRGS: Porto Alegre, Brazil, 2000. [Google Scholar]
- Bossis, I.R.; Wettemann, P.; Welty, S.D.; Vizcarra, J.A.; Spicer, L.J.; Diskin, M.G. Nutritionally induced anovulation in beef heifers: Ovarian and endocrine function preceding cessation of ovulation. J. Anim. Sci. 1999, 77, 1536–1546. [Google Scholar] [CrossRef] [PubMed]
- Cassady, J.M.; Maddock, T.D.; Dicostanzo, A.; Lamb, G.C. Initial body condition score affects hormone and metabolite response to nutritional restriction and repletion in yearling postpubertal beef heifers. J. Anim. Sci. 2009, 87, 2262–2273. [Google Scholar] [CrossRef] [PubMed]
- Ndlovu, T.; Chimonyo, M.; Okoh, A.I.; Muchenje, V.; Dzama, K.; Raats, J.G. Assessing the nutritional status of beef cattle: Current practices and future prospects. Afr. J. Biotechnol. 2007, 6, 2727–2734. [Google Scholar] [CrossRef]
- Pogliani, F.C.; Azedo, M.R.; Souza, R.M.; Raimondo, R.F.; Birgel Júnior, E.H. Influência da gestação e do puerpério no lipidograma de bovinos da raça holandesa. Arq. Bras. Med. Vet. Zootec. 2010, 62, 273–280. [Google Scholar] [CrossRef]
- Gonano, C.V.; Montanholi, Y.R.; Schenkel, F.S.; Smith, B.A.; Cant, J.P.; Miller, S.P. The relationship between feed efficiency and the circadian profile of blood plasma analytes measured in beef heifers at different physiological stages. Animal 2014, 8, 1684–1698. [Google Scholar] [CrossRef]
- Putnam, P.A.; Lehmann, R.; Davis, R.E. Ration selection and feeding patterns of steers fed in drylot. J. Anim. Sci. 1967, 26, 647–650. [Google Scholar] [CrossRef]
- Lalman, D.L.; Keisler, D.H.; Williams, J.E.; Scholljegerdes, E.J.; Mallett, D.M. Influence of postpartum weight and body condition change on duration of anestrus by undernourished suckled beef heifers. J. Anim. Sci. 1997, 75, 2003–2008. [Google Scholar] [CrossRef]
- Bohnert, D.W.; Stalker, L.A.; Mills, R.R.; Nyman, A.; Falck, S.J.; Cooke, R.F. Late gestation supplementation of beef cows differing in BCS: Effects on cow and calf performance. J. Anim. Sci. 2013, 91, 5485–5491. [Google Scholar] [CrossRef]
- Mulliniks, J.T.; Cox, S.H.; Kemp, M.E.; Endecott, R.L.; Waterman, R.C.; Vanleeuwen, D.M.; Petersen, M.K. Relationship between body condition score at calving and reproductive performance in young postpartum cows grazing native range. J. Anim. Sci. 2012, 90, 2811–2817. [Google Scholar] [CrossRef] [PubMed]
- Bandyk, C.A.; Cochran, R.C.; Wickersham, T.A.; Titgemeyer, E.C.; Farmer, C.G.; Higgins, J.J. Effect of ruminal vs postruminal administration of degradable protein on utilization of low-quality forage by beef steers. J. Anim Sci. 2001, 79, 225–231. [Google Scholar] [CrossRef] [PubMed]
- Wickersham, T.A.; Cochran, R.C.; Titgemeyer, E.C.; Farmer, C.G.; Klevesahl, E.A.; Arroquy, J.I.; Johnson, D.E.; Gnad, D.P. Effect of post-ruminal protein supply on the response to ruminal protein supplementation in beef steers fed a low-quality grass hay. Anim. Feed Sci. Technol. 2004, 115, 19–36. [Google Scholar] [CrossRef]



| Item | Supplement | Forage 2 | Forage 3 | Forage 4 | Forage 5 | Forage 6 |
|---|---|---|---|---|---|---|
| Dry matter (as-fed) | 878.00 | 363.00 ± 0.039 | 592.00 ± 0.057 | 407.00 ± 0.018 | 580.00 ± 0.048 | 328.00 ± 0.052 |
| Organic matter (g/kg DM) | 953.00 | 935.00 ± 1.824 | 939.00 ± 2.012 | 934.00 ± 1.935 | 935.00 ± 2.142 | 923.00 ± 1.842 |
| Crude protein (g/kg DM) | 250.00 | 58.00 ± 1.058 | 51.00 ± 0.317 | 61.00 ± 0.357 | 60.00 ± 0.947 | 106.00 ± 0.402 |
| apNDF 1 (g/kg DM) | 351.00 | 698.00 ± 4.563 | 694.00 ± 3.367 | 679.00 ± 4.067 | 677.00 ± 4.217 | 557.00 ± 4.795 |
| Indigestible NDF (g/kg DM) | 80.00 | 255.00 ± 1.065 | 273.00 ±4.061 | 296.00 ± 3.864 | 296.00 ± 4.362 | 173.00 ± 1.383 |
| Item 1 | Treatments 2 | SEM | p-Value 3 | |||||||
|---|---|---|---|---|---|---|---|---|---|---|
| Control | Daily | Infrequent | C vs. S | P | F | P × F | ||||
| CO | IN | CO | IN | |||||||
| Intake in the middle third of gestation | ||||||||||
| Total DM (kg/day) | 4.62 | 6.62 | 5.99 | 7.72 | 5.97 | 0.757 | 0.062 | 0.177 | 0.510 | 0.493 |
| Forage DM (kg/day) | 4.62 | 5.62 | 5.50 | 6.71 | 5.47 | 0.757 | 0.200 | 0.406 | 0.510 | 0.493 |
| Organic matter (kg/day) | 4.08 | 6.23 | 5.58 | 7.20 | 5.62 | 0.646 | 0.032 | 0.142 | 0.466 | 0.500 |
| Crude protein (kg/day) | 0.22 | 0.52 | 0.46 | 0.74 | 0.44 | 0.084 | 0.017 | 0.083 | 0.307 | 0.211 |
| apNDF (kg/day) | 3.10 | 4.35 | 3.98 | 4.68 | 4.07 | 0.441 | 0.059 | 0.308 | 0.656 | 0.796 |
| Indigestible NDF (kg/day) | 1.19 | 1.53 | 1.54 | 1.53 | 1.40 | 0.145 | 0.095 | 0.675 | 0.664 | 0.637 |
| DOM (kg/day) | 1.84 | 2.64 | 2.29 | 3.75 | 2.50 | 0.556 | 0.180 | 0.209 | 0.291 | 0.450 |
| CP/DOM (kg/day) | 130.0 | 207.0 | 219.0 | 216.0 | 180.0 | 38.900 | 0.141 | 0.768 | 0.723 | 0.568 |
| Intake in the last third of gestation | ||||||||||
| Total DM (kg/day) | 4.47 | 5.74 | 5.92 | 5.67 | 6.14 | 0.277 | 0.004 | 0.283 | 0.806 | 0.615 |
| Forage DM (kg/day) | 4.47 | 4.74 | 4.42 | 4.67 | 4.64 | 0.277 | 0.634 | 0.551 | 0.806 | 0.615 |
| Organic matter (kg/day) | 4.18 | 5.41 | 5.56 | 5.35 | 5.78 | 0.260 | 0.004 | 0.303 | 0.757 | 0.601 |
| Crude protein (kg/day) | 0.22 | 0.48 | 0.58 | 0.49 | 0.64 | 0.023 | <0.001 | 0.002 | 0.127 | 0.306 |
| apNDF (kg/day) | 3.09 | 3.62 | 3.59 | 3.59 | 3.75 | 0.196 | 0.045 | 0.756 | 0.726 | 0.630 |
| Indigestible NDF (kg/day) | 1.22 | 1.48 | 1.37 | 1.32 | 1.39 | 0.103 | 0.184 | 0.872 | 0.540 | 0.457 |
| DOM (kg/day) | 1.56 | 2.24 | 2.34 | 2.33 | 2.40 | 0.235 | 0.031 | 0.745 | 0.761 | 0.954 |
| CP/DOM (kg/day) | 139 | 209 | 243 | 216 | 260 | 21.5 | 0.012 | 0.130 | 0.621 | 0.825 |
| Item 1 | Treatments 2 | SEM | p-Value 3 | |||||||
|---|---|---|---|---|---|---|---|---|---|---|
| Control | Daily | Infrequent | C vs. S | P | F | P × F | ||||
| CO | IN | CO | IN | |||||||
| Digestibility coefficients in the middle third of gestation | ||||||||||
| Organic matter (g/g) | 0.412 | 0.423 | 0.402 | 0.497 | 0.440 | 0.045 | 0.598 | 0.429 | 0.267 | 0.709 |
| Crude protein (g/g) | −0.037 | 0.354 | 0.358 | 0.545 | 0.357 | 0.069 | 0.002 | 0.240 | 0.227 | 0.220 |
| apNDF (g/g) | 0.548 | 0.504 | 0.483 | 0.532 | 0.538 | 0.039 | 0.468 | 0.861 | 0.327 | 0.745 |
| DOM (g/kg DM) | 387 | 398 | 375 | 464 | 414 | 42.9 | 0.614 | 0.435 | 0.273 | 0.764 |
| Digestibility coefficients in the last third of gestation | ||||||||||
| Organic matter (g/g) | 0.372 | 0.409 | 0.423 | 0.435 | 0.444 | 0.032 | 0.170 | 0.719 | 0.491 | 0.946 |
| Crude protein (g/g) | 0.030 | 0.432 | 0.511 | 0.463 | 0.591 | 0.049 | <0.001 | 0.085 | 0.300 | 0.625 |
| apNDF (g/g) | 0.495 | 0.047 | 0.478 | 0.511 | 0.496 | 0.032 | 0.865 | 0.933 | 0.398 | 0.739 |
| DOM (g/kg DM) | 349 | 394 | 407 | 410 | 419 | 35.8 | 0.221 | 0.917 | 0.898 | 0.747 |
| Item 1 | Treatments 2 | SEM | p-Value 3 | |||||||
|---|---|---|---|---|---|---|---|---|---|---|
| Control | Daily | Infrequent | C vs. S | P | F | P × F | ||||
| CO | IN | CO | IN | |||||||
| Initial BW (kg) | 405 | 404 | 408 | 410 | 406 | 21.6 | 0.927 | 0.996 | 0.944 | 0.860 |
| Prepartum | ||||||||||
| BWec (kg) | 439 | 469 | 462 | 461 | 467 | 5.4 | 0.008 | 0.970 | 0.777 | 0.289 |
| ADG (kg/day) | 0.140 | 0.301 | 0.266 | 0.266 | 0.239 | 0.0217 | <0.001 | 0.702 | 0.695 | 0.257 |
| BCS | 5.3 | 6.0 | 5.7 | 5.8 | 6.0 | 0.21 | 0.052 | 0.700 | 0.904 | 0.292 |
| REA (cm2) | 39.1 | 47.1 | 45.8 | 40.6 | 46.2 | 2.70 | 0.099 | 0.396 | 0.241 | 0.210 |
| STF (mm) | 2.84 | 2.26 | 3.22 | 2.19 | 2.61 | 0.225 | 0.282 | 0.020 | 0.151 | 0.255 |
| Postpartum | ||||||||||
| BW at 60 d (kg) | 402 | 426 | 428 | 417 | 425 | 13.7 | 0.207 | 0.741 | 0.686 | 0.830 |
| ADG (kg/day) | 0.385 | 0.217 | 0.013 | 0.236 | 0.363 | 0.2270 | 0.510 | 0.871 | 0.451 | 0.496 |
| BCS | 5.0 | 5.7 | 5.1 | 4.9 | 5.3 | 0.26 | 0.346 | 0.746 | 0.236 | 0.133 |
| REA (cm2) | 41.1 | 42.5 | 41.9 | 41.1 | 42.2 | 2.47 | 0.756 | 0.922 | 0.823 | 0.747 |
| STF (mm) | 1.85 | 2.07 | 2.40 | 1.67 | 2.06 | 0.199 | 0.339 | 0.141 | 0.104 | 0.856 |
| Offspring | ||||||||||
| BW at birth (kg) | 32.9 | 33.0 | 31.1 | 29.9 | 32.3 | 1.90 | 0.544 | 0.875 | 0.630 | 0.291 |
| BW at 60 d (kg) | 71.0 | 69.4 | 71.3 | 68.3 | 69.1 | 3.58 | 0.733 | 0.724 | 0.680 | 0.892 |
| ADG (kg/day) | 0.700 | 0.675 | 0.741 | 0.697 | 0.674 | 0.0683 | 0.965 | 0.774 | 0.773 | 0.557 |
| Item 1 | Treatments 2 | SEM | p-Value 3 | |||||||||
|---|---|---|---|---|---|---|---|---|---|---|---|---|
| Control | Daily | Infrequent | C vs. S | P | F | P × F | D | T × D | ||||
| CO | IN | CO | IN | |||||||||
| Milk yield (kg/day) | 4.84 | 4.85 | 5.41 | 5.27 | 5.15 | 0.645 | 0.658 | 0.751 | 0.909 | 0.622 | 0.592 | 0.499 |
| Milk4% (kg/day) | 5.05 | 5.36 | 5.69 | 5.46 | 5.62 | 0.762 | 0.593 | 0.783 | 0.958 | 0.941 | 0.327 | 0.866 |
| Fat (%) | 4.46 | 4.64 | 4.25 | 4.16 | 4.62 | 0.331 | 0.905 | 0.925 | 0.888 | 0.235 | 0.169 | 0.976 |
| Protein (%) | 3.64 | 3.88 | 3.50 | 3.48 | 3.48 | 0.300 | 0.899 | 0.999 | 0.906 | 0.269 | <0.001 | 0.923 |
| Lactose (%) | 4.59 | 4.59 | 4.79 | 4.61 | 4.64 | 0.142 | 0.691 | 0.449 | 0.691 | 0.584 | 0.383 | 0.854 |
| Total solids (%) | 13.20 | 13.50 | 13.10 | 12.80 | 13.50 | 0.420 | 0.997 | 0.744 | 0.756 | 0.253 | 0.246 | 0.819 |
| Item 1 | Treatments 2 | SEM | p-Value 3 | |||||||||
|---|---|---|---|---|---|---|---|---|---|---|---|---|
| Control | Daily | Infrequent | C vs. S | P | F | P × F | D | T × D | ||||
| CO | IN | CO | IN | |||||||||
| Middle third of gestation | ||||||||||||
| SUN (mg/dL) | 15.5 | 16.6 | 16.4 | 18.4 | 19.8 | 1.74 | 0.289 | 0.197 | 0.726 | 0.663 | <0.001 | <0.001 |
| Total protein (g/dL) | 6.86 | 6.55 | 6.83 | 6.73 | 6.95 | 0.145 | 0.530 | 0.282 | 0.120 | 0.893 | 0.009 | 0.109 |
| Albumin (g/dL) | 3.38 | 3.30 | 3.33 | 3.35 | 3.46 | 0.071 | 0.785 | 0.217 | 0.388 | 0.580 | 0.390 | 0.103 |
| Glucose (mg/dL) | 59.6 | 60.4 | 55.5 | 60.1 | 59.0 | 1.78 | 0.709 | 0.418 | 0.148 | 0.362 | 0.050 | 0.130 |
| IGF-1 (ng/mL) | 325 | 302 | 321 | 362 | 302 | 48.9 | 0.954 | 0.692 | 0.692 | 0.459 | <0.001 | 0.153 |
| NEFA (mmol/L) | 0.146 | 0.153 | 0.178 | 0.087 | 0.208 | 0.0380 | 0.819 | 0.660 | 0.114 | 0.262 | 0.177 | 0.261 |
| βHB (mmol/L) | 0.322 | 0.354 | 0.372 | 0.415 | 0.382 | 0.0540 | 0.364 | 0.535 | 0.889 | 0.653 | <0.001 | 0.161 |
| Last third of gestation | ||||||||||||
| SUN (mg/dL) | 20.2 | 20.5 | 23.0 | 21.3 | 22.9 | 1.22 | 0.321 | 0.190 | 0.807 | 0.732 | <0.001 | 0.016 |
| Total protein (g/dL) | 6.55 | 6.56 | 6.64 | 6.68 | 6.83 | 0.169 | 0.482 | 0.487 | 0.353 | 0.860 | 0.242 | 0.245 |
| Albumin (g/dL) | 3.49 | 3.27 | 3.29 | 3.20 | 3.35 | 0.111 | 0.170 | 0.489 | 0.946 | 0.589 | 0.513 | 0.476 |
| Glucose (mg/dL) | 50.6 | 53.8 | 49.9 | 54.8 | 55.3 | 1.91 | 0.238 | 0.377 | 0.134 | 0.262 | 0.918 | 0.874 |
| IGF-1 (ng/mL) | 111 | 152 | 173 | 195 | 164 | 16.6 | 0.012 | 0.753 | 0.310 | 0.141 | 0.782 | 0.719 |
| NEFA (mmol/L) | 0.551 | 0.330 | 0.266 | 0.239 | 0.303 | 0.0560 | 0.007 | 0.998 | 0.615 | 0.215 | 0.331 | 0.024 |
| βHB (mmol/L) | 0.651 | 0.588 | 0.485 | 0.485 | 0.480 | 0.6460 | 0.135 | 0.446 | 0.436 | 0.473 | 0.510 | 0.114 |
| Postpartum period | ||||||||||||
| SUN (mg/dL) | 16.3 | 16.3 | 17.2 | 17.8 | 16.1 | 1.29 | 0.712 | 0.759 | 0.907 | 0.349 | 0.118 | 0.376 |
| Total protein (g/dL) | 6.64 | 6.37 | 6.54 | 6.58 | 6.92 | 0.212 | 0.880 | 0.276 | 0.216 | 0.713 | 0.783 | 0.430 |
| Albumin (g/dL) | 3.35 | 3.11 | 3.13 | 2.91 | 3.25 | 0.545 | <0.001 | 0.004 | 0.500 | 0.010 | 0.091 | 0.673 |
| Glucose (mg/dL) | 54.1 | 55.5 | 54.5 | 55.0 | 55.4 | 1.73 | 0.594 | 0.861 | 0.899 | 0.650 | 0.093 | 0.508 |
| IGF-1 (ng/mL) | 256 | 257 | 218 | 244 | 231 | 37.5 | 0.669 | 0.497 | 0.994 | 0.731 | 0.844 | 0.710 |
| NEFA (mmol/L) | 0.049 | 0.052 | 0.109 | 0.069 | 0.142 | 0.0180 | 0.045 | 0.003 | 0.221 | 0.712 | 0.608 | 0.572 |
| βHB (mmol/L) | 0.459 | 0.458 | 0.419 | 0.468 | 0.375 | 0.0370 | 0.490 | 0.105 | 0.665 | 0.498 | 0.356 | 0.066 |
| Progesterone (ng/mL) | 1.10 | 2.94 | 5.63 | 1.37 | 0.41 | 2.18 | 0.574 | 0.711 | 0.164 | 0.444 | 0.247 | 0.500 |
Disclaimer/Publisher’s Note: The statements, opinions and data contained in all publications are solely those of the individual author(s) and contributor(s) and not of MDPI and/or the editor(s). MDPI and/or the editor(s) disclaim responsibility for any injury to people or property resulting from any ideas, methods, instructions or products referred to in the content. |
© 2024 by the authors. Licensee MDPI, Basel, Switzerland. This article is an open access article distributed under the terms and conditions of the Creative Commons Attribution (CC BY) license (https://creativecommons.org/licenses/by/4.0/).
Share and Cite
de Melo, L.P.; Rennó, L.N.; Detmann, E.; Paulino, M.F.; Júnior, R.G.d.S.; Ortega, R.M.; Moreno, D.S. Effect of Supplementation Plans and Frequency on Performance and Metabolic Responses of Grazing Pregnant Beef Heifers. Vet. Sci. 2024, 11, 506. https://doi.org/10.3390/vetsci11100506
de Melo LP, Rennó LN, Detmann E, Paulino MF, Júnior RGdS, Ortega RM, Moreno DS. Effect of Supplementation Plans and Frequency on Performance and Metabolic Responses of Grazing Pregnant Beef Heifers. Veterinary Sciences. 2024; 11(10):506. https://doi.org/10.3390/vetsci11100506
Chicago/Turabian Stylede Melo, Luciano Prímola, Luciana Navajas Rennó, Edenio Detmann, Mário Fonseca Paulino, Ronaldo Gomes da Silva Júnior, Román Maza Ortega, and Deilen Sotelo Moreno. 2024. "Effect of Supplementation Plans and Frequency on Performance and Metabolic Responses of Grazing Pregnant Beef Heifers" Veterinary Sciences 11, no. 10: 506. https://doi.org/10.3390/vetsci11100506
APA Stylede Melo, L. P., Rennó, L. N., Detmann, E., Paulino, M. F., Júnior, R. G. d. S., Ortega, R. M., & Moreno, D. S. (2024). Effect of Supplementation Plans and Frequency on Performance and Metabolic Responses of Grazing Pregnant Beef Heifers. Veterinary Sciences, 11(10), 506. https://doi.org/10.3390/vetsci11100506

