Morphological Evaluation of Transscleral Laser Retinopexy in Rabbits: Comparison of Optical Coherence Tomography and Histologic Examinations
Abstract
Simple Summary
Abstract
1. Introduction
2. Materials and Methods
2.1. Animals
2.2. Study Design
2.3. Transscleral Retinopexy and Ophthalmic Examination
2.4. SD-OCT Scanning
2.5. Histological Sections
2.6. Statistical Analysis
3. Results
OCT and Histological Photocoagulation Lesions Images
4. Discussion
5. Conclusions
Supplementary Materials
Author Contributions
Funding
Institutional Review Board Statement
Informed Consent Statement
Data Availability Statement
Acknowledgments
Conflicts of Interest
References
- Meekins, J.M. Acute Blindness. Top. Companion Anim. Med. 2015, 30, 118–125. [Google Scholar] [CrossRef] [PubMed]
- Steidl, S.M.; Tsilou, E.; Choe, H. Transscleral infrared laser for retinal ablation without retinal visualization in an experimental model. Retina 2000, 20, 655–659. [Google Scholar] [CrossRef] [PubMed]
- Goulart, D.G.; Sano, R.Y.; Cursino, S.R.; Takahashi, W.Y. [Transscleral infrared laser retinal photocoagulation experimental study under low visibility conditions]. Arq. Bras. Oftalmol. 2008, 71, 342–347. [Google Scholar] [CrossRef][Green Version]
- Mouries, O.; Vitrey, D.; Germain, P.; Bonnet, M. [Use of diode laser in transcleral retinal photocoagulation]. J. Fr. Ophtalmol. 1993, 16, 108–113. [Google Scholar] [PubMed]
- Kapran, Z.; Uyar, O.M.; Bilgin, B.A.; Kaya, V.; Cilsim, S.; Eltutar, K. Diode laser transscleral retinopexy in rhegmatogenous retinal detachment surgery. Eur. J. Ophthalmol. 2001, 11, 356–360. [Google Scholar] [CrossRef]
- McLellan, G.J.; Rasmussen, C.A. Optical coherence tomography for the evaluation of retinal and optic nerve morphology in animal subjects: Practical considerations. Vet. Ophthalmol. 2012, 15 (Suppl. 2), 13–28. [Google Scholar] [CrossRef]
- Meleppat, R.K.; Fortenbach, C.R.; Jian, Y.; Martinez, E.S.; Wagner, K.; Modjtahedi, B.S.; Motta, M.J.; Ramamurthy, D.L.; Schwab, I.R.; Zawadzki, R.J. In Vivo Imaging of Retinal and Choroidal Morphology and Vascular Plexuses of Vertebrates Using Swept-Source Optical Coherence Tomography. Transl. Vis. Sci. Technol. 2022, 11, 11. [Google Scholar] [CrossRef]
- Hernandez-Merino, E.; Kecova, H.; Jacobson, S.J.; Hamouche, K.N.; Nzokwe, R.N.; Grozdanic, S.D. Spectral domain optical coherence tomography (SD-OCT) assessment of the healthy female canine retina and optic nerve. Vet. Ophthalmol. 2011, 14, 400–405. [Google Scholar] [CrossRef]
- Huang, D.; Swanson, E.A.; Lin, C.P.; Schuman, J.S.; Stinson, W.G.; Chang, W.; Hee, M.R.; Flotte, T.; Gregory, K.; Puliafito, C.A.; et al. Optical coherence tomography. Science 1991, 254, 1178–1181. [Google Scholar] [CrossRef]
- Muraoka, Y.; Ikeda, H.O.; Nakano, N.; Hangai, M.; Toda, Y.; Okamoto-Furuta, K.; Kohda, H.; Kondo, M.; Terasaki, H.; Kakizuka, A.; et al. Real-time imaging of rabbit retina with retinal degeneration by using spectral-domain optical coherence tomography. PLoS ONE 2012, 7, e36135. [Google Scholar] [CrossRef]
- Fujimoto, J.G. Optical coherence tomography for ultrahigh resolution in vivo imaging. Nat. Biotechnol. 2003, 21, 1361–1367. [Google Scholar] [CrossRef] [PubMed]
- Alkin, Z.; Kashani, A.H.; López-Jaime, G.R.; Ruiz García, H.; Humayun, M.S.; Sadda, S.R. Quantitative analysis of retinal structures using spectral domain optical coherence tomography in normal rabbits. Curr. Eye Res. 2013, 38, 299–304. [Google Scholar] [CrossRef] [PubMed]
- Toth, C.A.; Birngruber, R.; Boppart, S.A.; Hee, M.R.; Fujimoto, J.G.; DiCarlo, C.D.; Swanson, E.A.; Cain, C.P.; Narayan, D.G.; Noojin, G.D.; et al. Argon laser retinal lesions evaluated in vivo by optical coherence tomography. Am. J. Ophthalmol. 1997, 123, 188–198. [Google Scholar] [CrossRef] [PubMed]
- Schmidt, G.M.; Vainisi, S.J. Retrospective study of prophylactic random transscleral retinopexy in the Bichon Frise with cataract. Vet. Ophthalmol. 2004, 7, 307–310. [Google Scholar] [CrossRef]
- Braus, B.K.; Rhodes, M.; Featherstone, H.J.; Renwick, P.W.; Heinrich, C.L. Cataracts are not associated with retinal detachment in the Bichon Frise in the UK—A retrospective study of preoperative findings and outcomes in 40 eyes. Vet. Ophthalmol. 2012, 15, 98–101. [Google Scholar] [CrossRef]
- Benner, J.D.; Galustian, J.C.; Lim, M.; Hjelmeland, L.; Landers, M.B., 3rd; Morse, L.S. Comparison of techniques for transscleral diode photocoagulation in the rabbit. Retina 1995, 15, 253–260. [Google Scholar] [CrossRef] [PubMed]
- Vanore, M.; Benoit-Biancamano, M.O. Optical Coherence Tomography: A Review of Current Applications in Veterinary Ophthalmology. Vet. Clin. N. Am. Small Anim. Pract. 2023, 53, 319–338. [Google Scholar] [CrossRef]
- Koo, T.K.; Li, M.Y. A Guideline of Selecting and Reporting Intraclass Correlation Coefficients for Reliability Research. J. Chiropr. Med. 2016, 15, 155–163. [Google Scholar] [CrossRef]
- McHugh, D.A.; Schwartz, S.; Dowler, J.G.; Ulbig, M.; Blach, R.K.; Hamilton, P.A. Diode laser contact transscleral retinal photocoagulation: A clinical study. Br. J. Ophthalmol. 1995, 79, 1083–1087. [Google Scholar] [CrossRef]
- Rol, P.; Barth, W.; Schwager, M.; Zuber, N.; Fankhauser, F.; Fankhauser, S.; Niederer, P. Devices for the control of laser transmission across the sclera during transscleral photocoagulation. Ophthalmic Surg. 1992, 23, 459–464. [Google Scholar] [CrossRef]
- Loewenstein, A.; Lamborne, A.N.; Haller, J.A.; de Juan, E., Jr. Effect of scleral indentation on diode laser transscleral retinal photocoagulation. Ophthalmic Surg. Lasers 1998, 29, 658–662. [Google Scholar] [CrossRef] [PubMed]
- Dorin, G. Evolution of retinal laser therapy: Minimum intensity photocoagulation (MIP). Can the laser heal the retina without harming it? Semin. Ophthalmol. 2004, 19, 62–68. [Google Scholar] [CrossRef] [PubMed]
- Wilson, A.S.; Hobbs, B.G.; Shen, W.Y.; Speed, T.P.; Schmidt, U.; Begley, C.G.; Rakoczy, P.E. Argon laser photocoagulation-induced modification of gene expression in the retina. Investig. Ophthalmol. Vis. Sci. 2003, 44, 1426–1434. [Google Scholar] [CrossRef] [PubMed]
- Grierson, I.; Mazure, A.; Hogg, P.; Hiscott, P.; Sheridan, C.; Wong, D. Non-vascular vitreoretinopathy: The cells and the cellular basis of contraction. Eye 1996, 10 Pt 6, 671–684. [Google Scholar] [CrossRef] [PubMed]
- Koinzer, S.; Saeger, M.; Hesse, C.; Portz, L.; Kleemann, S.; Schlott, K.; Brinkmann, R.; Roider, J. Correlation with OCT and histology of photocoagulation lesions in patients and rabbits. Acta Ophthalmol. 2013, 91, e603–e611. [Google Scholar] [CrossRef] [PubMed]
- Brancato, R.; Pratesi, R.; Leoni, G.; Trabucchi, G.; Vanni, U. Histopathology of diode and argon laser lesions in rabbit retina. A comparative study. Investig. Ophthalmol. Vis. Sci. 1989, 30, 1504–1510. [Google Scholar]
- Wallow, I.H.; Sponsel, W.E.; Stevens, T.S. Clinicopathologic correlation of diode laser burns in monkeys. Arch. Ophthalmol. 1991, 109, 648–653. [Google Scholar] [CrossRef]
- Haller, J.A.; Blair, N.; de Juan, E., Jr.; de Bustros, S.; Goldberg, M.F.; Muldoon, T.; Packo, K.; Resnick, K.; Rosen, R.; Shapiro, M.; et al. Multicenter trial of transscleral diode laser retinopexy in retinal detachment surgery. Trans. Am. Ophthalmol. Soc. 1997, 95, 221–230. [Google Scholar] [CrossRef]
- Haller, J.A.; Blair, N.; de Juan, E., Jr.; De Bustros, S.; Goldberg, M.F.; Muldoon, T.; Packo, K.; Resnick, K.; Rosen, R.; Shapiro, M.; et al. Transscleral diode laser retinopexy in retinal detachment surgery: Results of a multicenter trial. Retina 1998, 18, 399–404. [Google Scholar] [CrossRef] [PubMed]
- Smiddy, W.E.; Hernandez, E. Histopathologic characteristics of diode laser-induced chorioretinal adhesions for experimental retinal detachment in rabbit eyes. Arch. Ophthalmol. 1992, 110, 1630–1633. [Google Scholar] [CrossRef]




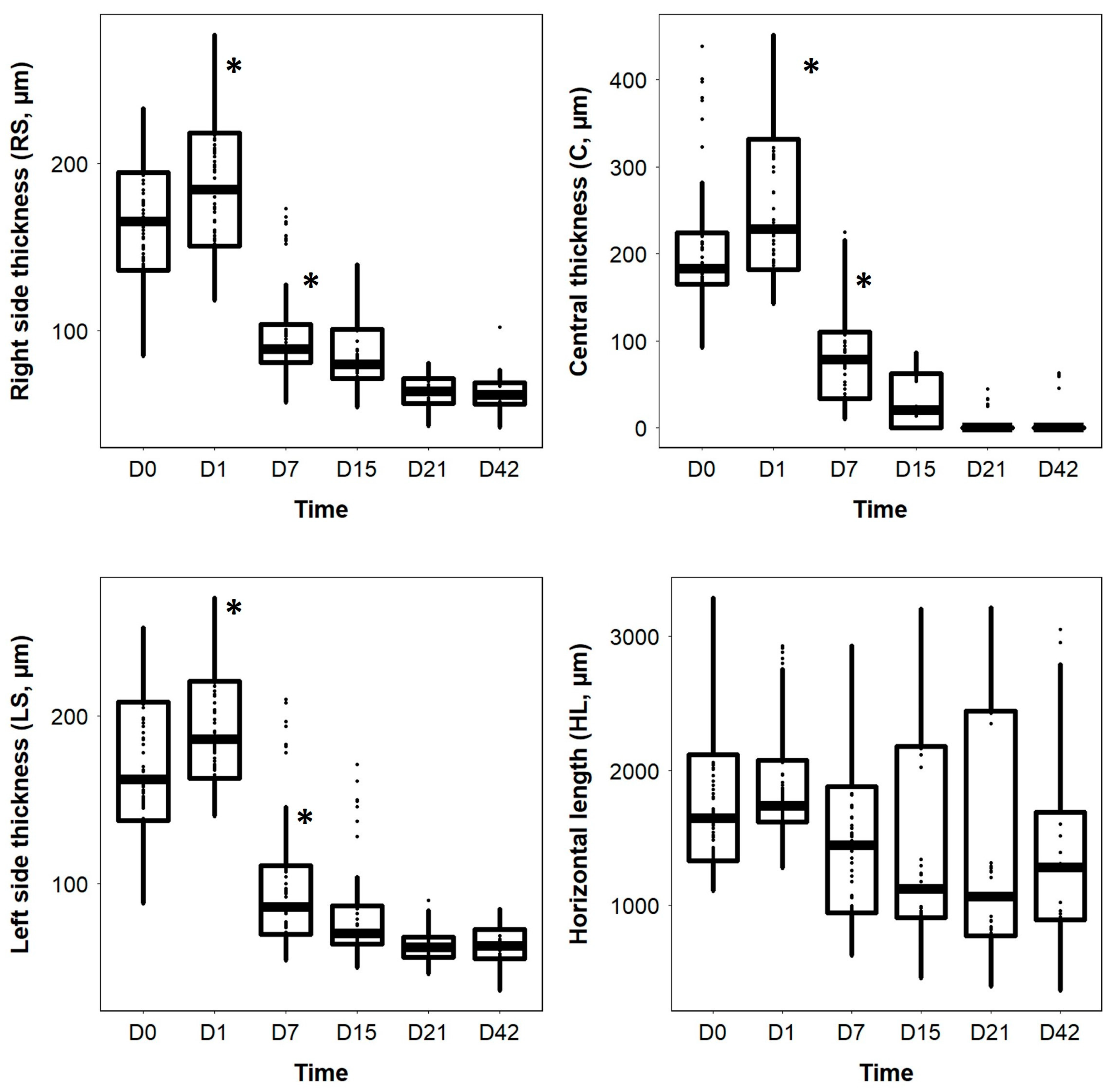
| Time | Right Side (RS) Mean (±SD) % | Central (C) % Mean (±SD) % | Left Side (LS) % Mean (±SD) % | Horizontal Length (HL) % Mean (±SD) % |
|---|---|---|---|---|
| D0 | 164.3 (38.1) 0.00 | 200.9 (69.2) 0.00 | 169.9 (45.2) 0.00 | 1841 (630) 0.00 |
| D1 | 188.2 (41.0) + 14.19 | 258.3 (87.1) + 28.51 | 194.2 (36.5) + 14.55 | 1906 (454) + 3.51 |
| D7 | 98.3 (32.0) * − 49.15 * | 88.9 (65.7) * − 65.59 * | 98.7 (40.7) − 47.75 * | 1461 (622) − 23.33 |
| D15 | 87.0 (21.2) − 15.49 | 30.4 (31.8) − 65.83 | 83.4 (31.4) − 11.58 | 1455 (821) − 0.45 |
| D21 | 63.8(10.1) − 24.27 | 5.5 (12.8) − 81.89 | 63.1 (10.3) − 26.59 | 1484 (991) + 2.06 |
| D42 | 62.6 (11.3) + 1.61 | 12.9 (24.2) + 134.27 | (64.2) (12.9) − 1.97 | 1357 (837) − 8.59 |
Disclaimer/Publisher’s Note: The statements, opinions and data contained in all publications are solely those of the individual author(s) and contributor(s) and not of MDPI and/or the editor(s). MDPI and/or the editor(s) disclaim responsibility for any injury to people or property resulting from any ideas, methods, instructions or products referred to in the content. |
© 2023 by the authors. Licensee MDPI, Basel, Switzerland. This article is an open access article distributed under the terms and conditions of the Creative Commons Attribution (CC BY) license (https://creativecommons.org/licenses/by/4.0/).
Share and Cite
Vanore, M.; Juette, T.; Benito, J.; Benoit-Biancamano, M.-O. Morphological Evaluation of Transscleral Laser Retinopexy in Rabbits: Comparison of Optical Coherence Tomography and Histologic Examinations. Vet. Sci. 2023, 10, 535. https://doi.org/10.3390/vetsci10090535
Vanore M, Juette T, Benito J, Benoit-Biancamano M-O. Morphological Evaluation of Transscleral Laser Retinopexy in Rabbits: Comparison of Optical Coherence Tomography and Histologic Examinations. Veterinary Sciences. 2023; 10(9):535. https://doi.org/10.3390/vetsci10090535
Chicago/Turabian StyleVanore, Maria, Tristan Juette, Javier Benito, and Marie-Odile Benoit-Biancamano. 2023. "Morphological Evaluation of Transscleral Laser Retinopexy in Rabbits: Comparison of Optical Coherence Tomography and Histologic Examinations" Veterinary Sciences 10, no. 9: 535. https://doi.org/10.3390/vetsci10090535
APA StyleVanore, M., Juette, T., Benito, J., & Benoit-Biancamano, M.-O. (2023). Morphological Evaluation of Transscleral Laser Retinopexy in Rabbits: Comparison of Optical Coherence Tomography and Histologic Examinations. Veterinary Sciences, 10(9), 535. https://doi.org/10.3390/vetsci10090535

