Next Article in Journal
Changes in Polyphenols and Anthocyanin Pigments during Ripening of Vitis vinifera cv Maratheftiko: A Two-Year Study
Previous Article in Journal
From Fermented Wash to New Make Spirit: Assessing the Evolution of Flavour Characteristics of Scotch Whisky Using Lab-Scale Process Simulations
 
 
Font Type:
Arial Georgia Verdana
Font Size:
Aa Aa Aa
Line Spacing:
Column Width:
Background:
Article

Quality Determination of a High-Pressure Processed Avocado Puree-Based Smoothie Beverage

by
Paraskevi Sarantakou
,
Varvara Andreou
,
Eleni Paraskevopoulou
,
Efimia K. Dermesonlouoglou
* and
Petros Taoukis
Laboratory of Food Chemistry and Technology, School of Chemical Engineering, National Technical University of Athens, 5, Iroon Polytechniou, Polytechnioupoli Zorafou, 15780 Athens, Greece
*
Author to whom correspondence should be addressed.
Beverages 2023, 9(2), 38; https://doi.org/10.3390/beverages9020038
Submission received: 15 March 2023 / Revised: 11 April 2023 / Accepted: 17 April 2023 / Published: 27 April 2023
(This article belongs to the Topic Innovative Food Processing Technologies—2nd Volume)

Abstract

The aim was to study the quality stability of a high-pressure (HP) processed avocado puree-based smoothie beverage and to determine its shelf life. To achieve this mathematical description of HP process parameters (pressure, temperature, and pH conditions) on polyphenoloxidase (PPO) inactivation of avocado-puree (base of the smoothie beverage), use of the appropriate kinetic models was undertaken. Inactivation rate constants were obtained for combinations of constant pressure (600, 700, 750 MPa) and temperature (25, 35, 45 °C) for pH values 4 and 5. According to the Eyring and Arrhenius equations, activation volumes and activation energies, respectively, representing pressure and temperature dependence of the inactivation rate constant, were calculated for all temperatures and pressures studied. The combined use of HP led to PPO inactivation (<10% remaining PPO activity). An increase in the temperature at pressure 600 or 750 MPa caused an increase in PPO inactivation (4.5 and 9.0%, respectively). The ultimate goal was to produce a HP processed avocado puree-based smoothie beverage (containing acid whey and other ingredients) with superior quality and increased shelf life (under refrigeration). The blended ingredients were HP processed in PET packages (600 MPa-25 °C-10 min, 600 MPa-35 °C-10 min, 750 MPa-25 °C-5 min, 750 MPa-35 °C-5 min) based on PPO inactivation as well as industrial practices. Non-processed as well as thermally (TM) processed (90 °C-5 min) samples were used as control samples. No significant differences were found in sensorial attributes between non-processed and HP samples, although the aroma and acceptability scores decreased significantly for thermally pasteurized smoothies. Based on the data obtained, 600 MPa-25/35 °C-10 min are sufficient to obtain safe smoothies (of pH 5 approximately) (up to 6 months) whose organoleptic properties are equally as acceptable to consumers as freshly made smoothies.

1. Introduction

Avocado (Persea americana Mill.) is a tropical/subtropical fruit of excellent sensory properties with high nutritional value [1]. Eight million metric tons are harvested annually, with 72.5% produced from America, 12.8% from Africa, 11.4% Asia, 1.7% Europe, and 1.6% Oceania [2]. The harvesting and consumption of avocado (“Hass” being the most produced and consumed variety) has increased more than two-fold in the last ten years. Avocado fruit (oil fraction 15–30%, depending on the variety) is recognized for its high content of lipids, mainly monounsaturated fatty acids (75%) and polyunsaturated fatty acids (10–15%); the consumption of avocado is also related to beneficial health effects [3]. It is consumed fresh (whole fruit of chunks or halves) or processed (e.g., avocado puree, avocado-based paste such as guacamole). Avocado puree is also considered as a good source of dietary fibers, carbohydrates, minerals, proteins, and vitamins (e.g., C, E).
The shelf life of avocado is limited. The color of avocado fruit easily changes to brown, owing to the high activity of the enzyme polyphenoloxidase (PPO) [4]. Avocado PPO inactivation has been widely studied; the emphasis was given to inactivation strategies, such as the use of anti-browning agents of natural plant extract origin, novel packages (e.g., modified atmospheres), and thermal and/or non-thermal technologies (e.g., high pressure) [3,4,5,6,7,8,9,10]. It is proven that the avocado PPO is sensitive to low values of pH and high values of temperature/pressure [4,5]. High-pressure (HP) technology has been successfully applied in the industry to obtain high-quality, minimally processed avocado products. Conventional preservation techniques (e.g., thermal treatments, freezing) combined or not with the use of additives causes significant quality losses (e.g., odor, color, texture, flavor) [11,12,13]. HP can eliminate pathogen microorganisms and the microorganisms responsible for vegetative spoilage, and inactivate enzymes, with no significant, negative effects on the quality characteristics (sensory attributes and nutritional value) of the packed food [14,15,16,17,18]. HP is currently applied for the production of avocado and avocado-based products with high nutritional value and fresh-like quality characteristics [19,20,21].
Despite this. there is limited knowledge about the high-pressure processing effects on the enzyme inactivation, and there is lack of kinetic data [22]. The oxidative enzymes affecting the quality of avocado products, polyphenoloxidase (PPO) and lipoxygenase (LOX), and their inactivation under high pressures, were mostly investigated in the literature [13]. It was reported that, high-pressure processing of avocado paste (600–700 MPa; 3–10 min) can lead to 50% inactivation of these enzymes (PPO, LOX), at the same, it was noted that both enzymes can reactivate during storage resulting in not desirable quality deterioration [4,7,8,19]. Modeling and control of PPO (during processing and storage) is essential to evaluate the effectiveness of the process used to preserve the avocado puree color, to obtain the fresh fruit-like characteristics, and to determine the product shelf life [23].
The aim of the present study was the production of an innovative, high-pressure processed avocado puree-based smoothie beverage. To select the optimum high-pressure processing conditions, the inactivation of polyphenoloxidase under different pressure, temperature and pH conditions was first investigated for the avocado puree, and then (b) tested for the produced avocado puree-based smoothie beverage. The ultimate goal was to investigate the effect of HP on the quality (PPO inactivation, color, vitamin C content, sensory characteristics) and shelf life of the smoothie beverage made with avocado-puree (and acid whey), compared to the quality and shelf life of a same non treated and thermal-treated beverage.

2. Materials and Methods

2.1. Avocado Puree Production

Avocados (“Hass”) were obtained from a local store and kept under refrigeration (approximately 2 °C). The fruits were processed at commercial maturity as following: manually washed, peeled, halved lengthwise, pitted, and blended in a food processor to obtain avocado puree.

2.2. High-Pressure Processing

The avocado puree extracts were vacuum packed in multi-layered polymer film (EVOH and LDPE) and HP processed as following: HP (600, 700, 750 MPa), temperature (25, 35, 45 °C), time (0, 5, 10, 15, 20, 30, 40, 45, 60 min), and pH (4, 5, 6). HP processing conditions were selected to ensure adequate endogenous enzyme inactivation. The HP unit (Food Pressure Unit FPU 1.01, Resato International BV, Holland) comprised a pressure intensifier and one vessel (1.5 L), with a maximum operating pressure and temperature of 1000 MPa and 90 °C. Pressure and temperature in the chamber were constantly monitored and recorded (in 1 s intervals) during the process.

2.2.1. Polyphenoloxidase (PPO) Measurement in Avocado Puree Extract

The polyphenoloxidase (PPO) in avocado puree extract was measured according to the Fang et al. methodology, with slight modifications as following [24]. The crude enzyme was prepared by mixing 3 g of avocado puree or avocado puree-based smoothie beverage with 6 mL of 0.2-M sodium phosphate (Na2HPO4/NaH2PO4) buffer (pH 6.5) containing 4% (w/v) PVPP and 1% (v/v) Triton X100. The mixture was then stirred (ambient temperature, 10 min) and centrifuged (6000 rpm, 15 min). The obtained supernatant, which contained crude PPO, was filtered (Chromafil PVDF-45/25, Macherey-Nagel, Dueren, Germany) and kept at 0 °C before analysis (high-pressure processing at selected pressure and temperature conditions). PPO activity was determined using a 100 μL aliquot of the PPO extracts. The enzyme was diluted in 3 mL of 0.05 M sodium phosphate buffer (pH 6.5) with catechol at a concentration of 0.07 M. The increase in absorbance at 420 nm for 2 min was recorded. The absorbance graph (A420 nm) with the reaction time was plotted to simulate the enzyme inactivation kinetics.

2.2.2. Modeling Avocado Polyphenoloxidase (PPO) Inactivation

PPO inactivation followed a first order kinetic model [4]. PPO activity decrease was described by Equation (1) or Equation (2) as a function of time at constant pressure (600–750 MPa) processing conditions.
A A 0 = e k P P O t
l n A = l n A 0 k * t
Here, A and A0 are the enzymatic activity at time t and time zero, respectively, t is the time, and k is the inactivation rate constant.
The temperature dependence of the inactivation rate constant (kPPO) was expressed by the activation energy (Ea) using the Arrhenius equation (Equation (3)) [4].
k = k 0 exp E a R T
Here, kTref is the inactivation rate constant at the reference temperature, Tref (K), and R is the universal gas constant (8.314 J/(mol·K)).
The pressure effect on the reaction rate constant, kp, was described by the activation volume, VaT (mL/mol), using the Eyring equation as following [4]:
k = k r e f exp [ V a R P P r e f T ]
where kPref the inactivation rate (min−1) at the reference pressure, Pref, and R is the universal gas constant (8.314 J/mol·K).
The combined effects of temperature and pressure were described by a mathematical model Equation (5) taking into account the effect of temperature on the activation volume and the effect of pressure on the activation energy.
k = k r e f · exp E a R · exp B · P P r e f · 1 T 1 T r e f A · T T r e f + V a R T · P P r e f

2.3. Avocado Puree-Based Smoothie Beverage

2.3.1. Development and Production

Avocados (“Hass”) (32% w/w) were blended with acid whey (high added-value by-product that cannot be readily utilized by the strained or Greek yogurt industry) (61% w/w), prebiotic fibers (6% w/w), vitamin C (0.1% w/w), salt (0.1% w/w), natural rosemary extract (0.02% w/w), and potassium sulphite (0.1% w/w) at 20 °C for 60 s and immediately cooled [23,25,26]. The blended ingredients were packed in PET packages and HP processed (600 MPa-25 °C-10 min, 600 MPa-35 °C-10 min, 750 MPa-25 °C-5 min, 750 MPa-35 °C-5 min). Non-processed (Non-processed) as well as thermally processed (TM processed) (90 °C-5 min) samples were used control samples.
The produced avocado puree-based smoothie beverages were tested for enzymatic browning (color) and for PPO activity. The color change was measured in CIELab scale by a chromatometer after up to 24 h of storage at 25 °C. Τhe total color difference was expressed by ΔΕ value and it was mathematically modelled using a three-parameter sigmoid equation (t0, kΔΕ, ΔEmax; supplementary files (Supplementary Table S1)). PPO activity was determined spectrophotometrically and expressed as % remaining activity (A/A0) (based on methodology in Section 2.2.1).
The initial physico-chemical parameters of the produced avocado puree-based smoothie beverages were measured as following: pH: 4.991 ± 0.110 (pHmeter 338, Amel instruments, Milan, Italy), water activity: 0.9874 ± 0.0033 (Aqua lab 4TEV (Decagon Devices, Pullman, WA, USA), soluble solids (°Brix): 10.2 ± 0.8 (ABBE Refractometer, Atago Co., Ltd., Bellevue, WA, USA), and viscosity (cP): 1100 ± 125 (Rheometer, Rheotec RC1, Hadamar-Steinbach, Germany).

2.3.2. Quality and Shelf-Life Determination

The avocado puree-based beverage samples were stored at stable temperature conditions (5, 10, 15 °C) (Sanyo MIR 153, Sanyo Electric, Ora-Gun, Gunma, Japan). Kinetic analysis of the selected quality parameters of the beverages was conducted in order to estimate the quality loss during refrigerated storage and estimate shelf life. Color, nutritional (vitamin C), microbiological (Total Viable Count, Yeasts & Molds), and sensorial analyses were conducted.
Color
Instrumentally (CR-200 Chromameter®, Minolta Co., Tokyo, Japan) measured avocado-based beverage color was expressed by three color coordinates: the L (lightness), the a value (from +: red to −: green) and the b value (from +: yellow to −: blue), and the total color difference, ΔΕ, calculated by Equation 6.
Δ Ε = L L 0 2 + ( a a 0 ) 2 + ( b b 0 ) 2
Experimental ΔE values during cold storage were mathematically modelled using a three-parameter sigmoid equation (t0, kΔΕ, ΔEmax) (Equation (7)).
Δ Ε = Δ Ε m a x 1 + e t t 0 / k
Here, ΔE is the total color difference, ΔEmax is the maximum color change for each studied sample, t0 is the required maximum storage time for reaching ΔΕmax, and k is the rate of total color change (supplementary files). All measurements were conducted in triplicate.
Vitamin C
Vitamin C (L-ascorbic acid) was determined using a high-performance liquid chromatography method as described by Giannakourou and Taoukis [27]. The results were expressed in mg L-ascorbic acid/100 g fresh material (f.m.). Three replicates were performed for each studied sample. Vitamin C content loss during storage was mathematically described by a first-order reaction as follows (Equation (8)).
C C 0 = 100 e k t
Here, CvitC is the vitamin C concentration (mg/g initial dry mass) at time t, CvitC0 is the concentration of vitamin C at zero time, and kvitC is the rate constant of vitamin C loss. The temperature dependence of vitamin C loss was described by the Arrhenius equation (Equation (3)).
Sensory Analysis
Twelve trained panellists evaluated some organoleptic characteristics of the produced avocado puree-based beverage according to ISO standards (1993) [28]. The panellists scored from 1 to 9 (9: high quality; 1: low quality) several sensory attributes such as odor, color (the intensity of green color), consistent texture, creamy texture, natural/fresh-like flavor, off flavor, and the overall sensory quality in terms of their preference [18,29]. A score of 5 was set as the limit score for minimum acceptability. Obtained scores for the overall sensory impression were mathematically modeled by using apparent zero-order kinetics (Equation (9)):
S o v e r a l l = S o v e r a l l , 0 k o v e r a l l t
where S and S0 are the scores for the overall impression examined at time t and time 0, respectively, and ksens (d−1) is the rate constant of overall impression degradation at each storage temperature. The temperature dependence of sensory quality degradation was described by the Arrhenius equation (Equation (3)).
Microbiological Analysis
All samples were analysed in terms of microbial growth during their storage. Total aerobic viable count (TVC) was enumerated on plate count agar (PCA, Merck, Darmstadt, Germany) after incubation at 25 °C for 72 h. The kinetic parameters, such as microbial growth rate (kmicr, days−1), lag phase λ (d), and initial and final microbial loads, N0 (logCFU/g) and Nmax (logCFU/g), respectively, were estimated at all tested temperature conditions, using the Baranyi Growth Model [30]. All measurements were conducted in duplicate.

3. Results and Discussion

3.1. Inactivation Models of Avocado Puree PPO by Thermal and High-Pressure Treatment

Residual PPO activity of the avocado puree with high-pressure processing time, at pressures 600, 700, and 750 MPa and temperatures 25, 35, and 45 °C, is shown in Figure 1 (pH: 4) and Figure 2 (pH: 5). PPO inactivation rates in the avocado puree are calculated according to Equations (1) and (2) for all samples (Table 1). The activation energy (Ea) and the activation volume (VaT) are calculated according to Equations 3 and 4 for all samples (Table 1). Avocado puree PPO was high-pressure resistant at ambient temperature. Increasing pressure above 600 MPa led to PPO inactivation as also reported in literature [19,31]. Based on results, the combined effect of pressure and temperature resulted in high inactivation rates of the avocado puree PPO (at pH values 4 and 5) (p < 0.05). An increase in pH from 4 to 5 led to a decrease in the PPO inactivation rate. At pH value 6, avocado PPO was not inactivated (under experimental conditions). In literature, PPO activity was shown to significantly reduced by high-pressure processing [7,9,32]. Palou et al. reported that the residual PPO activities of guacamole reduced to 51% after a 5-min treatment and 37% after a 10-min treatment at 689 MPa [19]. Similarly, Jacobo-Velázquez and Hernández-Brenes reported an average residual PPO activity of 51% and lipoxygenase (LOX) activity of 55% in avocado paste following 600 MPa for 3 min [7].
In this study, the combined effects of pressure and temperature are described by a three-parameter mathematical model (Equation (5); Table 2). The mathematical description of enzyme inactivation is a useful tool to (a) evaluate the effectiveness of HP process applied to beverages, (b) to determine their quality (browning), and (c) estimate their shelf life.

3.2. Selection of the HP Processing Conditions for Avocado Puree-Based Smoothie Beverage Production

The experimental conditions 600 MPa-25 °C-10 min, 600 MPa-35 °C-10 min, 750 MPa-25 °C-5 min, and 750 MPa-35 °C-5 min were selected as the processing conditions for the further step of the avocado puree-based smoothie beverage production. The 750 MPa-5 min conditions were the optimum processing HP conditions based on the results of the previous experiment of the study of HP effect on avocado puree PPO activity (Section 3.1). The 600 MPa-25 °C-10 min conditions were selected to simulate the industrial processing conditions (commonly used in food industry for HP processed products such as juices, sauces). The 600 MPa-35 °C-10 min conditions were applied to study the temperature effect on the shelf life of the developed beverage, under constant pressure.
In Figure 3a, the remaining PPO activity values are presented for HP processed avocado puree-based smoothie beverage samples, respectively. HP processing at 600–750 MPa and temperatures of 25–35 °C led to PPO inactivation (<10% remaining PPO activity). An increase in temperature at pressure 600 or 750 MPa caused an increase in PPO inactivation (4.5 and 9.0%, respectively). Higher values of PPO activity reduction were reported in literature. Palou et al. show that after HP treatment at 689 MPa for 10 min, the remaining PPO activity of guacamole was determined to be equal to 37% [19]. Jacobo-Velázquez and Hernández-Brenes reported that HP treated (600 MPa, 3 min) avocado paste had decreased PPO and LOX activities (51 and 55%, respectively) [8]. Contradictory results have been reported in the literature due to different pH values of studied avocados. Palou et al. show PPO inactivation was enhanced when the pH of avocado puree was low (pH = 4.3 with citric acid) [19]. Woolf et al. proved that HP treatment at pressures above 400 MPa resulted in POD activity decreasing and PPO activity increasing (~30% increase compared to control) in avocado (no pH adjustment; ≅ pH 6.2–6.5) [9]. The avocado PPO has different sensitivity towards HP in terms of pressure and temperature, as well as pH.
In Figure 3b, the color change (ΔE) values are presented for HP processed avocado puree-based smoothie beverage samples, respectively. The maximum color difference is reported for the experimental conditions 600 MPa-10 min at 25 and 35 °C (15) (no statistically significant differences between different HP processing temperatures 25 and 35 °C; p > 0.05). The respective ΔE values for experimental conditions 750 MPa-25 °C-5 min and 750 MPa-35 °C-5 min are 5 and 6 (no statistically significant differences between different HP processing temperatures 25 and 35 °C; p >0.05). Minor color alteration was observed at the higher pressure of 750 MPa. The color change, ΔE, was significantly decreased with the increase in pressure from 600 to 750 MPa (p < 0.05), whereas it was not significantly affected by the increase in temperature from 25 to 35 °C (p > 0.05). HP processed at 750 MPa smoothie showed a well-visible difference when compared to HP processed at 600 MPa, which showed great differences, according to classification proposed by Cserhalmi et al. (2006) [33]. The avocado puree samples without HP processing had higher PPO activity, resulting in more intense and faster pulp browning. Same results with this study were obtained by Soliva-Fortuny et al. and Bustos et al. [6,10].

3.3. Avocado Puree-Based Smoothie Beverage: Development and Production, Quality and Shelf-Life Determination

3.3.1. Color

In Figure 4, luminosity (L), yellowness (b), and redness (a) at initial time (storage time 0 days) of non-processed, thermally processed, and HP processed avocado beverage samples stored at temperatures 5, 10, and 15 °C are presented, respectively. Color coordinates of non- and HP treated avocado beverages (600 MPa-25 °C-10 min) had no statistically significant differences (p > 0.05), as PPO activity in the early stage did not affect color. The thermal processing (atmospheric-90 °C-5 min) increased the L value and decreased the a value, but did not affect the value of b, resulting in slightly less translucent, less green, and browner smoothies. More intense HP conditions (samples: 600 MPa-35 °C-10 min, 750 MPa-25 °C-5 min, 750 MPa-35 °C-5 min) led to similar color alteration with thermal processing (increase in L and b and decrease in a). It was reported that a value (green color) showed sensitivity towards heat and pressure processing [34,35,36]. Al-Ghamdi et al. observed that L value (luminosity) and a value (red to green) were equally important for the processed avocado paste [34]. At the same time b (yellowness to blue) increased due to the exposure to heat in avocado.
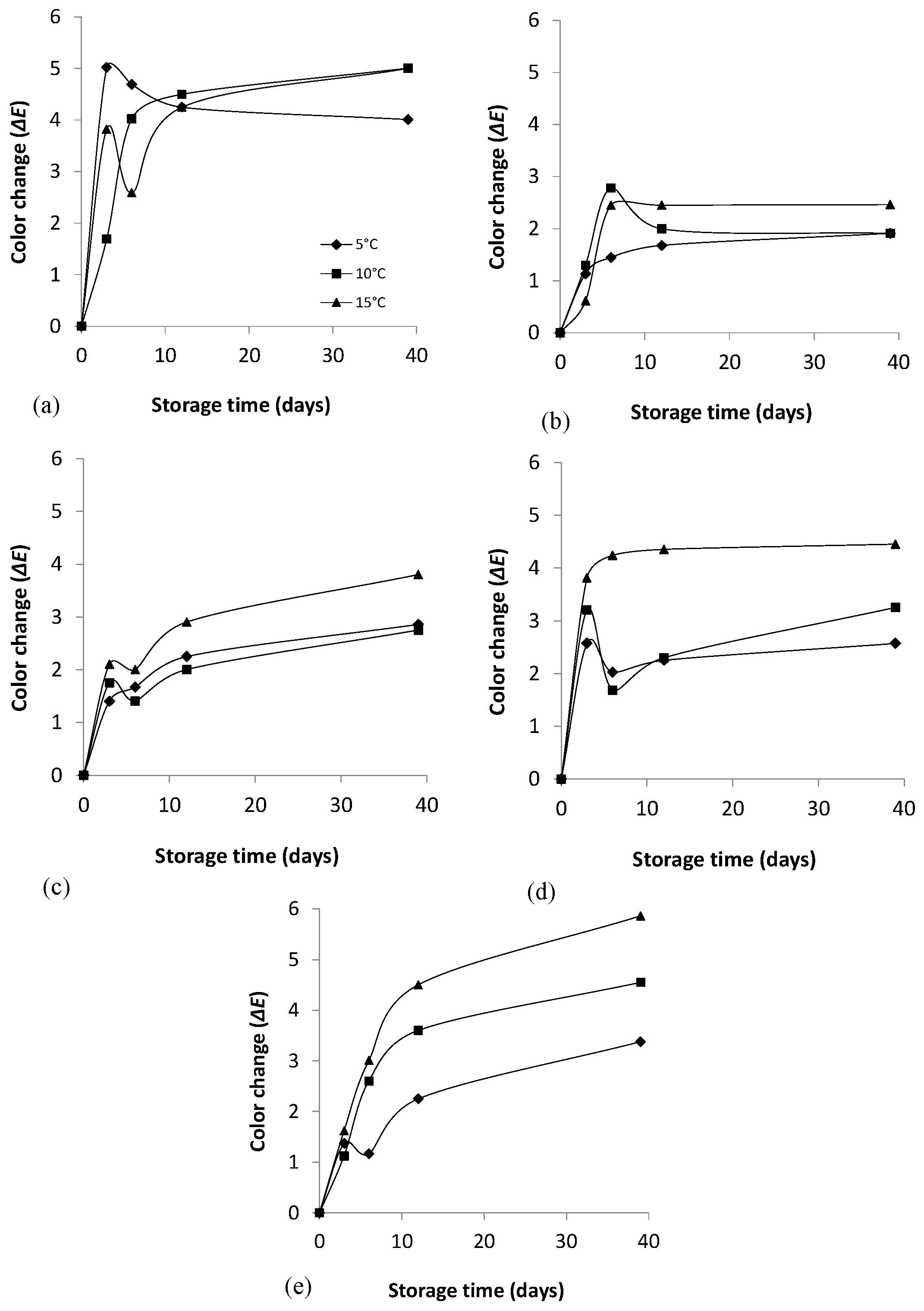
In Figure 5, color change (calculated as ΔΕ) versus storage time for non-processed, thermally processed, and HP processed avocado beverage samples stored at temperatures 5, 10, and 15 °C are presented, respectively. The kinetic parameters (kcolor, Ea,color), calculated according to Equation 6, are provided in the supplementary files (Supplementary Table S1). At the beginning of storage time, the total color difference, ΔE, of each studied sample was increasing significantly, achieving stable values: ΔΕ value of 5, approximately, for storage times >4–10 days at 5–15 °C for thermally processed beverage samples, ΔΕ value of 1.5–2.5, approximately, for storage times >6–10 days at 5–5 °C for HP samples processed at 600 MPa (−25 °C-10 min, −35 °C-10 min), and ΔΕ value of 2–6, approximately, for storage times >6–10 days at 5–15 °C for HP samples processed at 750 MPa (−25 °C-5 min, −35 °C-5 min). HP samples at 750 MPa showed significantly higher ΔΕ values at higher storage temperatures (p < 0.05).
Palou et al. reported that HP (689 MPa-5–20 min) did not affect the color of guacamole. However, during storage, several color changes occurred, more specifically [19], the green (a value) color gradually decreased. Changes in hue and chroma were correlated with a values, indicating that severe browning of guacamole was observed when the a value was positive. Lopez-Malo et al. reported that the loss of the green color of avocado puree was negatively affected by residual PPO activity, initial pH, and storage temperature [5]. An acceptable color of the avocado puree was maintained during refrigerated storage for a longer time when the high pressure was applied (517/689 MPa) and the pH was 4.1 or 3.9. Color changes during storage could be attributed to residual PPO activity after high-pressure processing and also to possible PPO regeneration during storage [37]. Inhibition of undesirable enzymatic reactions, such as browning of avocado products, requires the combination of pressure treatments with one or more additional factors to inhibit enzyme activity, such as refrigeration temperatures [19]). Studies of the effects of HP on the oxidative enzymes in fruit derivatives revealed differing levels of enzyme inactivation [38].

3.3.2. Vitamin C

In Table 3, the kinetic parameters (kvitC, Ea,vitC), calculated according to Equations (3) and (7), are provided. In the supplementary files (Supplementary Figure S1), the remaining vitamin C content versus storage time for HP processed avocado beverage samples stored at temperatures 5, 10, and 15 °C is presented. The vitamin C loss rate is significantly affected by the storage temperature for either thermal processing or HP processing, both pressures of 600 and 750 MPa (p < 0.05) and temperatures of 25 and 35 °C (p < 0.05); however, it is not significantly affected by the processing pressure at processing temperature 25 °C (p > 0.05). From the above, it could be concluded that the heat treatment leads to the vitamin C reduction in the smoothie beverage and, consequently, its nutritional value, probably due to the presence of residual oxygen. Specifically, in the 39 days of storage at a temperature of 15 °C, the thermally pasteurized beverage has a 90% reduced concentration of vitamin C. On the same day, the HP processed samples showed a decrease in concentration of less than 60%. This is also shown by the vitamin C loss reaction rates, kvitC, which are 10-fold in the thermally processed samples, both those treated with HP as well as the non-processed ones. HP helps to maintain the vitamin C concentration. The highest values of concentrations are observed for processing conditions of 750 MPa at 25 and 35 °C for 5 min, the values of which are about 90% of the initial vitamin C content at 5 °C, 85% at 10 °C, and 77% at 15 °C. Andres et al. reported that after HP (600 MPa/3 min/20 °C), ascorbic acid content of a smoothie was almost unaffected (92% of the initial content) [38].
Higher percentages of ascorbic acid retention in HP processed than in thermally processed smoothie beverages were reported [39,40]. The ascorbic acid retention was noticeably higher in HP (450 and 600 MPa) smoothie beverages (95% and 92%, respectively) than in thermally processed ones (88%). Similar percentages of losses were reported for orange juice-milk beverage at 400 MPa [41] and tomato-based smoothie beverage at 600 MPa [42]. It was also observed that the degradation rate of ascorbic acid was enhanced by increasing pressure [14,41,42]. Sakhale et al. suggested the ascorbic acid deterioration of HP processed samples could be explained by the possible existence of other anti- or pro-oxidants, pressure-induced enzyme activation, and aerobic and non-enzymatic anaerobic reactions [43]. Cao et al. observed that ascorbic acid decreased 39.61% in cloudy strawberry juices treated with HP (600 MPa, 4 min) after 6 months of storage at 4 °C [44].

3.3.3. Sensory Quality

In Figure 6, the sensory scores for the selected properties (odor, the intensity of green color, consistent texture, creamy texture, natural/fresh-like flavor, off flavor, and the overall sensory quality) of non-processed, thermally processed, and HP processed avocado puree-based beverage samples, at initial time (storage time 0 days), are presented. The maximum preference scores were given for the avocado puree-based beverage samples processed at 600 MPa-35 °C-10 min and 600 MPa-25 °C-10 min (7.3 and 7.0 average scores for the sensory quality, respectively). The samples processed at 750 MPa-25 °C-5 min and 750 MPa-35 °C-5 min and thermally processed sample received lower scores (6.5, 6.0, and 6.3 average scores for the sensory quality, respectively). All HP processed samples were characterized by “fresh-like” avocado fruit characteristics (vivid green color, creamy and consistent texture, natural avocado flavor) and were evaluated positively by trained sensory panellists. However, HP processed samples at 750 MPa were characterized by a slight metallic taste and TH-processed samples by a cooked-like taste as well as a bitter taste (also reported for thermally processed avocado pulps by Bates and Degenhardt & Hofmann [11,45]. This was depicted in the sensory scores for the off-flavor development. The HP processed samples at 750 MPa and thermally processed samples received the lowest scores, 5.3 and 5.8, respectively. The HP processed samples at 750 MPa-35 °C-10 min were characterized by the lowest scores for the texture characteristics (consistent and creamy texture, 6.1 the average score) compared to other HP samples (the respective scores ranged from 7.1–8.0). Overall. the highest sensory quality scores (taking into account texture, flavor, as well as off-flavor development) were given for the samples processed at 600 MPa (25 and 35 °C, 10 min; 7.3 and 7.0 average scores, respectively). The Palou et al. and Lopez-Malo et al. reported that HP treatments (689 MPa-5–20 min) preserve sensory attributes of the avocado paste product (guacamole) [5,19].
In the supplementary files (Supplementary Figure S2), the sensory quality content versus storage time for HP processed avocado beverage samples stored at temperatures 5, 10, and 15 °C are presented. In Table 4, the respective kinetic parameters (ksens, Ea,sens), calculated according to Equations (4) and (8), are provided. The sensory quality loss rate is significantly affected by the storage temperature for either thermal processing or both processing pressures of 600 and 750 MPa (p < 0.05) and processing temperatures of 25 and 35 °C (p < 0.05) at storage temperatures (T > 10 °C). Similarly, it is significantly affected by the processing (either thermally or both HP) at higher storage temperatures (e.g., T = 15 °C) (p > 0.05).

3.3.4. Microbial Stability

Microbial data confirmed that the HP as well as thermally processed samples (TVC, yeasts, and moulds not detected) had increased stability. HP and thermal treated avocado puree-based smoothie beverages did not present microbial growth (<2 log CFU/mL). No significant differences were observed between HP and TH processed samples (p < 0.05). Unni, Chauhan, and Raju reported that HP (200–600 MPa/5 min/30 °C) and thermal (90 °C/5 min) treatments were effective to decrease equally the microbial counts in ginger paste [35]. HP guacamole was microbiologically stable <10 cfu for 30 days at 5, 15, and 25 °C, whereas guacamole controls, at 5 °C, spoiled within the first 5 days [19].

3.3.5. Shelf-Life Determination

The shelf life of HP processed samples was calculated based on the total sensory quality criteria (final score = 5/9) [e.g., 600 MPa 35 °C 10 min 160 days] (Table 5). The shelf life of TH processed samples was 25 days, based on 50 vitamin C loss. The shelf life of the non-processed smoothie beverage was 7 days, calculated based on microbial growth. The application of HP (and mild temperatures, up to 35 °C) can lead to the production of a smoothie beverage of superior quality and stability with “fresh-like” characteristics. HP processed avocado guacamole has an approximate shelf life of 3 months at refrigeration temperature [34].
It is widely known that HP processing is an efficient pasteurization method, obtaining microbiologically safe food products with minimum effect on nutritional and sensorial properties. Hurtado et al. studied the effects of HP treatments (350, 450 MPa-5 min, 600 MPa-3 min, both at 10 °C, and thermal pasteurization 85 °C-7 min) on sensory, enzymatic, quality, nutritional properties, and microbial quality after 30 days of refrigerated storage of fruit smoothies [5]. HP (>450 MPa) resulted in microbiological safety, retention of quality, vitamin C content, and sensory characteristics of smoothies. The thermal treatment led to inactivation of oxidase and pectin enzymes, although there was loss of vitamin C and “cooked” flavour in smoothies.

4. Conclusions

High-pressure processing is an alternative non-thermal food processing technique applied to smoothie beverages with minimal negative effects on nutritional and sensory parameters compared to conventional thermal processing. In the present study, high-pressure processing conditions studied (600–750 MPa, 25–45 °C, 5–10 min, pH 4–5) show that high pressure leads to a satisfactory result for a smoothie beverage with minimum quality/sensory changes (in terms of color, texture, overall sensory quality, high retention of vitamin C) and increased shelf life compared to the respective freshly made smoothie beverage (as well as thermally processed). HP processing at 600 MPa (at mild temperatures up to 35 °C for time 10 min) are recommended as the optimum HP processing conditions for the design and production of an innovative avocado puree-based smoothie beverage (along with other ingredients). At the same time, the PPO inactivation in avocado puree as well as in avocado puree-based smoothie beverage has been studied. A three-parameter mathematical model that describes the temperature and pressure dependence of the PPO inactivation rate in avocado puree has been developed. This model can serve as a prediction tool for PPO inactivation (in the range of temperature, HP, and pH of the experiment).

Supplementary Materials

The following supporting information can be downloaded at: https://www.mdpi.com/article/10.3390/beverages9020038/s1. Table S1: Estimated kinetic parameters, kcol (days−1) and activation energy Ea,col (kJ/mol) values for color change of avocado puree-based beverages stored at temperatures 5, 10 and 15 °C. Samples: 600 MPa-25 °C-10 min, 600 MPa-35 °C-10 min, 750 MPa-25 °C-5 min, and atmospheric-90 °C-5 min (thermally processed). Figure S1: Vitamin C (remaining vitamin C concentration) versus time t (days) for HP processed avocado beverage samples stored at temperatures (T) 5 (♦), 10 (■) and 15 °C (▲); Figure S2: Overall sensory quality scores (scale 1–9) versus time t (days) for HP processed avocado beverage samples stored at temperatures (T) 5 (♦), 10 (■) and 15 °C (▲).

Author Contributions

Conceptualization, P.T.; methodology, P.S., V.A., E.P., E.K.D.; validation, V.A., E.P., E.K.D.; investigation, P.S., E.P.; data curation, P.S.; writing—original draft preparation, V.A., E.K.D.; writing—review and editing, V.A., E.K.D.; visualization, P.S.; supervision, E.K.D., P.T.; project administration, P.T. All authors have read and agreed to the published version of the manuscript.

Funding

This research received no external funding.

Data Availability Statement

The data presented in this study are available on request from the corresponding author.

Acknowledgments

The prototype of the described product under the name “AVOYOG SMOOTHIE BEVERAGE” was awarded the GOLD PRIZE at the ECOTROPHELIA EUROPE 2017 contest for the creation of eco-innovative food products (https://eu.ecotrophelia.org/content/2017-prize-winners (accessed on 1 March 2023)).

Conflicts of Interest

The authors declare no conflict of interest.

References

  1. Araújo, R.G.; Rodriguez-Jasso, R.M.; Ruiz, H.A.; Pintado, M.M.E.; Aguilar, C.E. Avocado by-products: Nutritional and functional properties. Trends Food Sci. Technol. 2018, 80, 51–60. [Google Scholar] [CrossRef]
  2. FAO. FAO-STAT—Food and Agriculture Organization of the United Nations; FAO: Rome, Italy, 2020. [Google Scholar]
  3. Bi, X.; Hemar, Y.; Balaban, M.O.; Liao, X. The effect of ultrasound on particle size, color, viscosity and polyphenol oxidase activity of diluted avocado puree. Ultrason. Sonochem. 2015, 27, 567–575. [Google Scholar] [CrossRef]
  4. Weemaes, C.A.; Ludikhuyza, L.R.; Van den Broeck, I.; Hendrickx, M.E. Kinetics of combined pressure-temperature inactivation of avocado polyphenoloxidase. Biotechnol. Bioeng. 1998, 60, 292–300. [Google Scholar] [CrossRef]
  5. López-Malo, A.; Palou, E.; Barbosa-Cánovas, G.V.; Welti-Chanes, J.; Swanson, B.G. Polyphenoloxidase activity and color changes during storage of high hydrostatic pressure treated avocado puree. Food Res. Int. 1998, 31, 549–556. [Google Scholar] [CrossRef]
  6. Soliva-Fortuny, R.C.; Elez-Martínez, P.; Sebastián-Calderó, M.; Martín-Belloso, O. Kinetics of polyphenol oxidase activity inhibition and browning of avocado puree preserved by combined methods. J. Food Eng. 2002, 55, 131–137. [Google Scholar] [CrossRef]
  7. Jacobo-Velázquez, D.A.; Hernández-Brenes, C. Biochemical changes during the storage of high hydrostatic pressure processed avocado paste. J. Food Sci. 2010, 75, S264–S270. [Google Scholar] [CrossRef]
  8. Jacobo-Velázquez, D.A.; Hernández-Brenes, C. Stability of avocado paste carotenoids as affected by high hydrostatic pressure processing and storage. Innov. Food Sci. Emerg. Technol. 2012, 16, 121–128. [Google Scholar] [CrossRef]
  9. Woolf, A.B.; Wibisono, R.; Farr, J.; Hallett, I.; Richter, L.; Oey, I. Effect of high pressure processing on avocado slices. Innov. Food Sci. Emerg. Technol. 2013, 18, 65–73. [Google Scholar] [CrossRef]
  10. Bustos, M.C.; Mazzobre, M.F.; Buera, M.P. Stabilization of refrigerated avocado pulp: Effect of Allium and Brassica extracts on enzymatic browning. LWT—Food Sci. Technol. 2015, 61, 89–97. [Google Scholar] [CrossRef]
  11. Degenhardt, A.G.; Hofmann, T. Bitter-tasting and kokumi-enhancing molecules in thermally processed avocado (Persea americana Mill.). J. Agric. Food Chem. 2010, 58, 12906–12915. [Google Scholar] [CrossRef]
  12. Daiuto, E.R.; Vieites, R.L.; Simon, J.W.; De Carvalho, L.R.; Pegoretti, C. Sensorial, biochemical and microbiological evaluations of guacamole, an avocado based product, under cold storage and added with ascorbic acid. Semin. Cienc. Agrar. 2011, 32, 599–612. [Google Scholar] [CrossRef]
  13. Bermejo-Prada, A.; Van Buggenhout, S.; Otero, L.; Houben, K.; Van Loey, A.; Hendrickx, M.E. Kinetics of thermal and high-pressure inactivation of avocado polygalacturonase. Innov. Food Sci. Emerg. Technol. 2014, 26, 51–58. [Google Scholar] [CrossRef]
  14. Oey, I.; Lille, M.; Van Loey, A.; Hendrickx, M. Effect of high-pressure processing on colour, texture and flavor of fruit- and vegetable-based food products: A review. Trends Food Sci. Technol. 2008, 19, 320–328. [Google Scholar] [CrossRef]
  15. Marszałek, K.; Woźniak, L.; Kruszewski, B.; Skąpska, S. The Effect of High Pressure Techniques on the Stability of Anthocyanins in Fruit and Vegetables. Int. J. Mol. Sci. 2017, 18, 277. [Google Scholar] [CrossRef]
  16. Ferrari, G.; Maresca, P.; Ciccarone, R. The application of high hydrostatic pressure for the stabilization of functional foods: Pomegranate juice. J. Food Eng. 2010, 100, 245–253. [Google Scholar] [CrossRef]
  17. Keenan, D.F.; Brunton, N.P.; Ronan Gormley, T.; Butler, F.; Tiwari, B.K.; Patras, A. Effect of thermal and high hydrostatic pressure processing on antioxidant activity and colour of fruit smoothies. Innov. Food Sci. Emerg. Technol. 2010, 11, 551–556. [Google Scholar] [CrossRef]
  18. Andrés, V.; Tenorio, M.D.; Villanueva, M.J. Sensory profile, soluble sugars, organic acids, and mineral content in milk- and soy-juice based beverages. Food Chem. 2015, 173, 1100–1106. [Google Scholar] [CrossRef]
  19. Palou, E.; Hernández-Salgado, C.; López-Malo, A.; Barbosa-Cánovas, G.V.; Swanson, B.G.; Welti-Chanes, J.C. High pressure-processed guacamole. Innov. Food Sci. Emerg. Technol. 2010, 1, 69–75. [Google Scholar] [CrossRef]
  20. Purroy, B.F.; Tonello, C.; Peregrina, R.; de Celis, C. Industrial high-pressure processing of avocado products: Emerging trends and implementation in new markets. In Proceedings of the VII World Avocado Congress, Queensland, Australia, 4–9 September 2011; pp. 641–645. [Google Scholar]
  21. Huang, H.-W.; Wu, S.-J.; Lu, J.-K.; Shyu, Y.-T.; Wang, C.-Y. Current status and future trends of high-pressure processing in food industry. Food Control 2017, 72, 1–8. [Google Scholar] [CrossRef]
  22. Hendrickx, M.; Ludikhuyze, L.; Van Den Broeck, I.; Weemaes, C. Effects of high pressure on enzymes related to food quality. Trends Food Sci. Technol. 1998, 9, 197–203. [Google Scholar] [CrossRef]
  23. Quevedo, R.; Ronceros, B.; Garcia, K.; Lopez, P.; Pedreschi, F. Enzymatic browning in sliced and puréed avocado: A fractal kinetic study. J. Food Eng. 2011, 105, 210–215. [Google Scholar] [CrossRef]
  24. Fang, C.; Wang, C.; Xiong, Y.L.; Pomper, K.W. Extraction and characterization of polyphenol oxidase in pawpaw (Asimina triloba) fruit. J. Food Biochem. 2007, 31, 603–620. [Google Scholar] [CrossRef]
  25. Dermesonlouoglou, E.; Andreou, V.; Paraskevopoulou, E.; Sarantakou, P.; Papamichail, E.; Xanthou, Z.-M.; Taoukis, P. Design and production of an eco-innovative high pressure processed avocado smoothie beverage. In Proceedings of the 32nd EFFoST International Conference “Developing Innovative Food Structures and Functionalities through Process and Reformulation to Satisfy Consumer Needs and Expectations”, Nantes, France, 6–8 November 2018. [Google Scholar]
  26. Dermesonlouoglou, E.; Andreou, V.; Paraskevopoulou, E.; Xanthou, Z.-M.; Papamichail, E.; Taoukis, P. Design and shelf life modeling of a high pressure processed smoothie beverage based on Greek yogurt acid whey and avocado. In Proceedings of the IFT Annual Meeting, New Orleans, LA, USA, 2–5 June 2019. [Google Scholar]
  27. Giannakourou, M.C.; Taoukis, P.S. Kinetic modeling of vitamin c loss in frozen green vegetables under variable storage conditions. Food Chem. 2003, 83, 33–41. [Google Scholar] [CrossRef]
  28. ISO (International Organization for Standardization). ISO 8586-1:1993. Sensory Analysis—General Guidance for the Selection, Training and Monitoring of Assessors, Part 1: Selected As-sessors; International Organization for Standardization: Geneva, Switzerland, 1993. [Google Scholar]
  29. Lim, J. Hedonic scaling: A review of methods and theory. Food Qual. Prefer. 2011, 22, 733–747. [Google Scholar] [CrossRef]
  30. Baranyi, J.; Roberts, T.A. Mathematics of predictive food microbiology. Int. J. Food Microbiol. 1995, 26, 199–218. [Google Scholar] [CrossRef]
  31. Sulaiman, A.; Soo, M.J.; Farid, M.; Silva, F.V.M. Thermosonication for polyphenoloxidase inactivation in fruits: Modeling the ultrasound and thermal kinetics in pear, apple and strawberry purees at different temperatures. J. Food Eng. 2015, 165, 133–140. [Google Scholar] [CrossRef]
  32. Ludikhuyze, L.; Van Loey, A.; Indrawati, D.S.; Hendrickx, M. The effect of pressure processing on food quality related enzymes: From kinetic information to process engineering. Prog. Biotechnol. 2002, 19, 517–524. [Google Scholar]
  33. Cserhalmi, Z.; Sass-Kiss, A.; Tóth-Markus, M.; Lechner, N. Study of pulsed electric field treated citrus juices. Innov. Food Sci. Emerg. Technol. 2006, 7, 49–54. [Google Scholar] [CrossRef]
  34. Al-Ghamdi, S.; Sonar, C.R.; Albahr, Z.; Alqahtani, O.; Collins, B.A.; Sablani, S.S. Pressure-assisted thermal sterilization of avocado puree in high barrier polymeric packaging. LWT 2022, 155, 112960. [Google Scholar] [CrossRef]
  35. Sonar, C.R.; Al-Ghamdi, S.; Marti, F.; Tang, J.; Sabalni, S.S. Performance evaluation of biobsed/biodegradable films for in-package termal pasteurization. Innov. Food Sci. Emerg. Technol. 2019, 66, 102485. [Google Scholar] [CrossRef]
  36. Qu, Z.; Tang, Z.; Liu, F.; Sabalani, S.S.; Ross, C.F.; Sankaran, S.; Tang, J.A. Quality of green beans (Phaseolous vulgaris L.) influenced by microwave and hot water pasteurization. Food Control 2021, 124, 107936. [Google Scholar] [CrossRef]
  37. Huang, W.; Bi, X.; Zhang, X.; Liao, X.; Hu, X.; Jihong, W. Comparative study of enzymes, phenolics, carotenoids and color of apricot nectars treated by high hydrostatic pressure and high temperature short time. Innov. Food Sci. Emerg. Technol. 2013, 18, 74–82. [Google Scholar] [CrossRef]
  38. Andrés, V.; Villanueva, M.-J.; Tenorio, M.-D. Influence of high pressure processing on microbial shelf life, sensory profile, soluble sugars, organic acids, and mineral content of milk- and soy-smoothies. LWT 2016, 65, 98–105. [Google Scholar] [CrossRef]
  39. Sánchez-Moreno, C.; Plaza, L.; Elez-Martinez, P.; De Ancos, B.; Martin-Belloso, O.; Pilar Cano, M. Impact of high pressure and pulsed electric fields on bioactive compounds and antioxidant activity of orange juice in comparison with traditional thermal processing. Agric. Food Chem. 2005, 53, 4403–4409. [Google Scholar] [CrossRef]
  40. Velázquez-Estrada, R.M.; Hernández-Herrero, M.M.; Rüfer, C.E.; Guamis-López, B.; Roig-Sagués, A.X. Influence of ultra high pressure homogenization processing on bioactive compounds and antioxidant activity of orange juice. Innov. Food Sci. Emerg. Technol. 2013, 18, 89–94. [Google Scholar] [CrossRef]
  41. Barba, F.J.; Cortés, C.; Esteve, M.J.; Frígola, A. Study of antioxidant capacity and quality parameters in an orange juice–milk beverage after high-pressure processing treatment. Food Bioproc. Technol. 2012, 5, 2222–2232. [Google Scholar] [CrossRef]
  42. Patras, A.; Brunton, N.P.; O’Donnell, C.; Tiwari, B.K. Effect of thermal processing on anthocyanin stability in foods; mechanisms and kinetics of degradation. Trends Food Sci. Technol. 2010, 21, 3–11. [Google Scholar] [CrossRef]
  43. Sakhale, B.K.; Pawar, V.N.; Ranveer, R.C. Studies on the development and storage of whey based RTS beverage from Mango cv. Kesar. J. Food Proc. Technol. 2012, 3, 148. [Google Scholar]
  44. Cao, X.M.; Xu, W.W.; Liao, X.J.; Hu, X.S.; Zhang, Y. Effect of high pressure processing steps on antioxidants and antioxidant activity in strawberry juice drinks. Food Nutr. China 2011, 17, 30–35. [Google Scholar]
  45. Bates, R.P. Heat-induced off-flavor in avocado flesh. J. Food Sci. 1970, 35, 478–482. [Google Scholar] [CrossRef]
Figure 1. PPO inactivation in avocado puree of pH 4 (remaining PPO activity) during processing at pressures 600 (◇), 700 (□), and 750 MPa (△) and temperatures (a) 25, (b) 35, and (c) 45 °C. Lines represent the fit of Equation (1) to experimental data. Error bars represent standard deviation from multiple treatments and measurements.
Figure 1. PPO inactivation in avocado puree of pH 4 (remaining PPO activity) during processing at pressures 600 (◇), 700 (□), and 750 MPa (△) and temperatures (a) 25, (b) 35, and (c) 45 °C. Lines represent the fit of Equation (1) to experimental data. Error bars represent standard deviation from multiple treatments and measurements.
Beverages 09 00038 g001
Figure 2. PPO inactivation in avocado puree of pH 5 (remaining PPO activity) during processing at pressures 600 (◇), 700 (□), and 750 MPa (△) and temperatures (a) 25, (b) 35, and (c) 45 °C. Lines represent the fit of Equation (1) to experimental data. Error bars represent standard deviation from multiple treatments and measurements.
Figure 2. PPO inactivation in avocado puree of pH 5 (remaining PPO activity) during processing at pressures 600 (◇), 700 (□), and 750 MPa (△) and temperatures (a) 25, (b) 35, and (c) 45 °C. Lines represent the fit of Equation (1) to experimental data. Error bars represent standard deviation from multiple treatments and measurements.
Beverages 09 00038 g002
Figure 3. (a) PPO inactivation (remaining PPO activity) and (b) color change (total color change—ΔΕ value) of avocado puree-based smoothie beverage (pH = 4.991 ± 0.110). Processing (pressure-temperature-time) conditions: 600 MPa-25 °C-10 min, 600 MPa-35 °C-10 min, 750 MPa-25 °C-5 min, and 750 MPa-35 °C-5 min. Error bars represent standard deviation from multiple treatments.
Figure 3. (a) PPO inactivation (remaining PPO activity) and (b) color change (total color change—ΔΕ value) of avocado puree-based smoothie beverage (pH = 4.991 ± 0.110). Processing (pressure-temperature-time) conditions: 600 MPa-25 °C-10 min, 600 MPa-35 °C-10 min, 750 MPa-25 °C-5 min, and 750 MPa-35 °C-5 min. Error bars represent standard deviation from multiple treatments.
Beverages 09 00038 g003
Figure 4. Color parameters (a) L, (b) a, (c) b values of non-processed, thermally processed (atmospheric-90 °C-5 min), and HP processed (processing pressure-temperature-time conditions: 600 MPa-25 °C-10 min, 600 MPa-35 °C-10 min, 750 MPa-25 °C-5 min, 750 MPa-35 °C-5 min) avocado puree-based smoothie beverage samples (Average values ±Standard deviation. In Picture: the avocado puree-based smoothie beverage prototype (immediately after the production on the right, and after storage on the left).
Figure 4. Color parameters (a) L, (b) a, (c) b values of non-processed, thermally processed (atmospheric-90 °C-5 min), and HP processed (processing pressure-temperature-time conditions: 600 MPa-25 °C-10 min, 600 MPa-35 °C-10 min, 750 MPa-25 °C-5 min, 750 MPa-35 °C-5 min) avocado puree-based smoothie beverage samples (Average values ±Standard deviation. In Picture: the avocado puree-based smoothie beverage prototype (immediately after the production on the right, and after storage on the left).
Beverages 09 00038 g004
Figure 5. Color change (ΔΕ-value) versus time t (days) for HP processed avocado beverage samples stored at temperatures (T) 5 (♦), 10 (■), and 15 °C (▲). Processing (pressure-temperature-time) conditions: (a) 600 MPa-25 °C-10 min, (b) 600 MPa-35 °C-10 min, (c) 750 MPa-25 °C-5 min, (d) 750 MPa-35 °C-5 min, and (e) atmospheric-90 °C-5 min (thermally processed).
Figure 5. Color change (ΔΕ-value) versus time t (days) for HP processed avocado beverage samples stored at temperatures (T) 5 (♦), 10 (■), and 15 °C (▲). Processing (pressure-temperature-time) conditions: (a) 600 MPa-25 °C-10 min, (b) 600 MPa-35 °C-10 min, (c) 750 MPa-25 °C-5 min, (d) 750 MPa-35 °C-5 min, and (e) atmospheric-90 °C-5 min (thermally processed).
Beverages 09 00038 g005
Figure 6. Sensory properties of non-processed, thermally processed (atmospheric-90 °C-5 min), and HP processed (processing (pressure-temperature-time) conditions: 600 MPa-25 °C-10 min, 600 MPa-35 °C-10 min, 750 MPa-25 °C-5 min, 750 MPa-35 °C-5 min) avocado beverage samples (Average values ± Standard deviation).
Figure 6. Sensory properties of non-processed, thermally processed (atmospheric-90 °C-5 min), and HP processed (processing (pressure-temperature-time) conditions: 600 MPa-25 °C-10 min, 600 MPa-35 °C-10 min, 750 MPa-25 °C-5 min, 750 MPa-35 °C-5 min) avocado beverage samples (Average values ± Standard deviation).
Beverages 09 00038 g006
Table 1. Estimated kinetic parameters, inactivation rate kPPO (min−1), activation energy Ea (kJ/mol), and activation volume Va (mL/mol) for 600, 700, and 750 MPa of avocado puree PPO from 25 to 45 °C (Samples pH: 4 and 5).
Table 1. Estimated kinetic parameters, inactivation rate kPPO (min−1), activation energy Ea (kJ/mol), and activation volume Va (mL/mol) for 600, 700, and 750 MPa of avocado puree PPO from 25 to 45 °C (Samples pH: 4 and 5).
pH = 4Temperature (°C)
Pressure (MPa)253545Ea (kJ/mol)
kPPO (d−1)R2kPPO (d−1)R2kPPO (d−1)R2
6000.0017 ± 0.0002 1a0.900.0025 ± 0.0003 1b0.920.0043 ± 0.0004 1c0.9569.48 ± 4.25
7000.0039 ± 0.0005 2a0.900.0061 ± 0.0003 2b0.980.0150 ± 0.0016 2c0.9452.86 ± 11.28
7500.0054 ± 0.0006 3a0.940.0145 ± 0.0017 3b0.870.0241 ± 0.0023 3c0.9559.11 ± 9.8
Va
(mL/mol)
−18.21 ± 2.04−29.37 ± 5.12−25.91 ± 1.90
pH = 5Temperature (°C)
Pressure (MPa)253545Ea (kJ/mol)
kPPO (d−1)R2kPPO (d−1)R2kPPO (d−1)R2
6000.0006 ± 0.0001 1a0.850.0020 ± 0.0003 1b0.850.0039 ± 0.0006 1c0.8674.06 ± 17.16
7000.0027 ± 0.0004 2a0.930.0054 ± 0.0006 2b0.860.0103 ± 0.0012 2c0.8947.40 ± 1.53
7500.0044 ± 0.0003 3a0.990.0138 ± 0.0013 3b0.930.0172 ± 0.0009 3c0.9957.42 ± 22.35
Va
(mL/mol)
−32.56 ± 6.34−28.99 ± 0.35−30.70 ± 0.19
Values are mean ± standard error. Values assigned with the same number in the same column (1, 2, 3) and with the same letter (a, b, c) in the same row, for sample pH value 4 and 5, are not statistically significant, regarding the HP processing conditions and the storage temperature effect on the presented kinetic parameters, respectively (p < 0.05).
Table 2. Estimated parameters of the multiparameter equation (Equation (5)) (Tref = 303 K and Pref = 650 MPa).
Table 2. Estimated parameters of the multiparameter equation (Equation (5)) (Tref = 303 K and Pref = 650 MPa).
PH: 4PH: 5
ParameterEstimated ValuesR2ParameterEstimated ValuesR2
kref (d−1)0.003 ± 0.0010.994kref (d−1)0.002 ± 0.0010.980
Ea (kJ/mol)57.762 ± 11.321Ea (kJ/mol)62.048 ± 28.129
B−0.163 × 10−7 ± 1.458 × 10−9B0.004 ± 0.0002
A0.082 ± 0.027A1.557 ± 0.045
Va (mL/mol)−3.018 ± 0.382Va (mL/mol)−3.742 ± 0.716
Estimated values ± Standard error.
Table 3. Estimated kinetic parameters, kvitC (days−1), and activation energy, Ea,vitC (kJ/mol), values for vitamin C loss in avocado puree-based smoothie beverages stored at temperatures 5, 10, and 15 °C. Samples: 600 MPa-25 °C-10 min, 600 MPa-35 °C-10 min, 750 MPa-25 °C-5 min, and atmospheric-90 °C-5 min (thermally processed).
Table 3. Estimated kinetic parameters, kvitC (days−1), and activation energy, Ea,vitC (kJ/mol), values for vitamin C loss in avocado puree-based smoothie beverages stored at temperatures 5, 10, and 15 °C. Samples: 600 MPa-25 °C-10 min, 600 MPa-35 °C-10 min, 750 MPa-25 °C-5 min, and atmospheric-90 °C-5 min (thermally processed).
HP Processed Smoothie Beverage Storage TemperatureEa,vitC (kJ/mol)
kref,vitC (d−1)
R2
5 °C10 °C15 °C
kvitC (d−1)R2kvitC (d−1)R2kvitC (d−1)R2
600 MPa-25 °C-10 min−0.005 ± 0.0002 aA0.992−0.008 ± 0.001 bA0.984−0.012 ± 0.002 cA0.92458.36 ± 1.89
−0.005 ± 0.0001
0.999
600 MPa-35 °C-10 min−0.006 ± 0.00006 aB0.9990.008 ± 0.001 bB0.9870.011 ± 0.001 cB0.97840.38 ± 1.60
−0.006 ± 0.00009
0.988
750 MPa-25 °C-5 min−0.003 ± 0.00011 aA0.994−0.004 ± 0.0011 aA0.868−0.007 ± 0.0011 bA0.82656.35 ± 11.04
−0.003 ± 0.00
0.963
750 MPa-35 °C-5 min−0.004 ± 0.001 aA0.9240.006 ± 0.0004 bA0.990−0.008 ± 0.00.1 cA0.91546.23 ± 4.06
−0.004 ± 0.0002
0.992
atmospheric-90 °C-5 min−0.022 ± 0.002 aA0.980−0.032 ± 0.001 bA0.999−0.045 ± 0.003 cA0.99347.70 ± 0.81
−0.022 ± 0.0002
0.999
Values are mean ± standard error. Values assigned with the same small and capital letter in the same column (a, b, c, and A, B) are not statistically significant, regarding the HP processing conditions and the storage temperature effect on the presented kinetic parameters, respectively (p < 0.05).
Table 4. Estimated kinetic parameters, ksens (days−1) and activation energy (Ea,sens, kJ/mol) values for sensory quality of avocado puree-based smoothie beverages stored at temperatures 5, 10, and 15 °C. Samples: 600 MPa-25 °C-10 min, 600 MPa-35 °C-10 min, 750 MPa-25 °C-5 min, and atmospheric-90 °C-5 min (thermally processed).
Table 4. Estimated kinetic parameters, ksens (days−1) and activation energy (Ea,sens, kJ/mol) values for sensory quality of avocado puree-based smoothie beverages stored at temperatures 5, 10, and 15 °C. Samples: 600 MPa-25 °C-10 min, 600 MPa-35 °C-10 min, 750 MPa-25 °C-5 min, and atmospheric-90 °C-5 min (thermally processed).
HP Processed Smoothie Beverage Storage TemperatureEa,sens (kJ/mol)
kref,sens (d−1)
R2
5 °C10 °C15 °C
ksens (d−1)R2ksens (d−1)R2ksens (d−1)R2
600 MPa-25 °C-10 min−0.023 ± 0.002 aA0.965−0.050 ± 0.002 bB0.996−0.059 ± 0.005 cB0.98162.83 ± 22.64
−0.025 ± 0.006
0.885
600 MPa-35 °C-10 min−0.018 ± 0.0011 aA0.974−0.023 ± 0.0021 bA0.900−0.033 ± 0.0071 cB0.88641.09 ± 4.48
−0.017 ± 0.0008
0.988
750 MPa-25 °C-5 min−0.018 ± 0.0022 aA0.982−0.034 ± 0.0052 bB0.930−0.033 ± 0.0072 bB0.95467.85 ± 12.22
−0.024 ± 0.003
0.957
750 MPa-35 °C-5 min−0.020 ± 0.0031 aA0.924−0.029 ± 0.0071 aA0.843−0.044 ± 0.0051 bB0.96563.69 ± 1.87
−0.019 ± 0.0004
0.999
atmospheric-90 °C-5 min−0.021 ± 0.003 aB0.950−0.024 ± 0.005 aB0.870−0.030 ± 0.003 aB0.82724.03 ± 2.43
−0.020 ± 0.0005
0.990
Values are mean ± standard error. Values assigned with the same small and capital letter in the same column (a, b, c, and A, B) are not statistically significant, regarding the HP processing conditions and the storage temperature effect on the presented kinetic parameters, respectively (p < 0.05).
Table 5. Shelf life (days) calculated based on microbial growth (logCFU value at the end of shelf life, 8), vitamin C loss (maximum acceptable vitamin C loss at the end of shelf life, 50% of the initial), and sensory quality (final score at the end of shelf life, 5.0/9.0). Samples: non-processed, thermally processed, HP processed 600 MPa-25 °C-10 min, 600 MPa-35 °C-10 min, 750 MPa-25 °C-5 min, and 750 MPa-35 °C-5 min.
Table 5. Shelf life (days) calculated based on microbial growth (logCFU value at the end of shelf life, 8), vitamin C loss (maximum acceptable vitamin C loss at the end of shelf life, 50% of the initial), and sensory quality (final score at the end of shelf life, 5.0/9.0). Samples: non-processed, thermally processed, HP processed 600 MPa-25 °C-10 min, 600 MPa-35 °C-10 min, 750 MPa-25 °C-5 min, and 750 MPa-35 °C-5 min.
SampleShelf Life (Days)
Based on Microbial Growth
logCFU = 8.0
Based on Vitamin C Loss
50% of the Initial
Based on Sensory Quality
Score = 5.0/9.0
non-processed7197
thermally processedNot detected2579
HP processed
600 MPa-25 °C-10 min
Not detected15562
HP processed
600 MPa-35 °C-10 min
Not detected206160
HP processed
750 MPa-25 °C-5 min
Not detected233192
HP processed
750 MPa-35 °C-5 min
Not detected230220
Disclaimer/Publisher’s Note: The statements, opinions and data contained in all publications are solely those of the individual author(s) and contributor(s) and not of MDPI and/or the editor(s). MDPI and/or the editor(s) disclaim responsibility for any injury to people or property resulting from any ideas, methods, instructions or products referred to in the content.

Share and Cite

MDPI and ACS Style

Sarantakou, P.; Andreou, V.; Paraskevopoulou, E.; Dermesonlouoglou, E.K.; Taoukis, P. Quality Determination of a High-Pressure Processed Avocado Puree-Based Smoothie Beverage. Beverages 2023, 9, 38. https://doi.org/10.3390/beverages9020038

AMA Style

Sarantakou P, Andreou V, Paraskevopoulou E, Dermesonlouoglou EK, Taoukis P. Quality Determination of a High-Pressure Processed Avocado Puree-Based Smoothie Beverage. Beverages. 2023; 9(2):38. https://doi.org/10.3390/beverages9020038

Chicago/Turabian Style

Sarantakou, Paraskevi, Varvara Andreou, Eleni Paraskevopoulou, Efimia K. Dermesonlouoglou, and Petros Taoukis. 2023. "Quality Determination of a High-Pressure Processed Avocado Puree-Based Smoothie Beverage" Beverages 9, no. 2: 38. https://doi.org/10.3390/beverages9020038

APA Style

Sarantakou, P., Andreou, V., Paraskevopoulou, E., Dermesonlouoglou, E. K., & Taoukis, P. (2023). Quality Determination of a High-Pressure Processed Avocado Puree-Based Smoothie Beverage. Beverages, 9(2), 38. https://doi.org/10.3390/beverages9020038

Note that from the first issue of 2016, this journal uses article numbers instead of page numbers. See further details here.

Article Metrics

Back to TopTop