Lactide: Production Routes, Properties, and Applications
Abstract
:1. Introduction
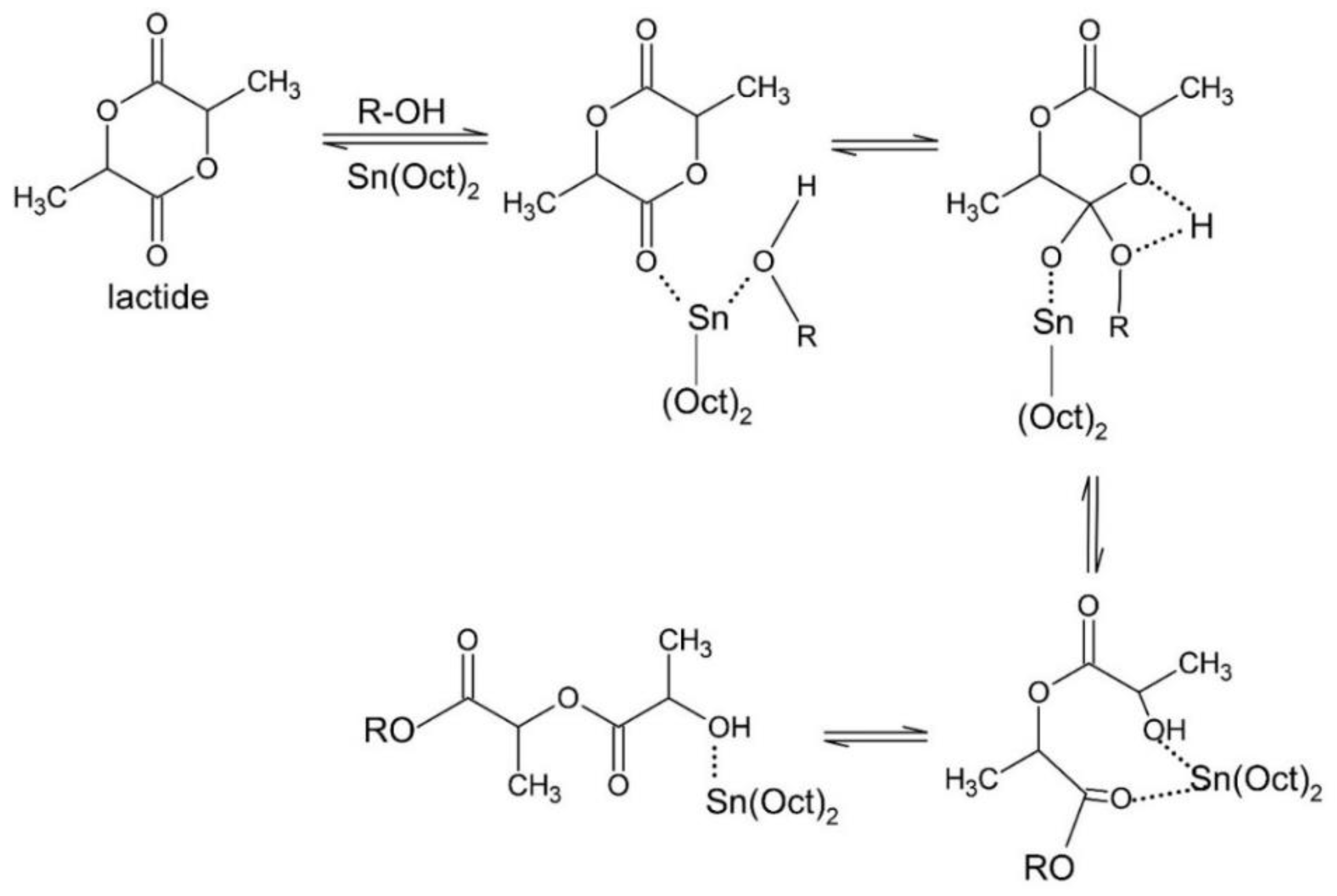
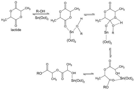
2. Synthesis
- Temperature, since the reaction rate, the vapor pressure of lactide from the reaction mixture, and the rate of racemization of lactide are proportional to heating;
- Pressure is inversely proportional to the depolymerization rate of the prepolymer and lactide yield.
3. Properties
4. Methods for Lactide Production
5. Lactide Industrial Production
6. Applications in Bioengineering
| Lactide | Polymers | Applications | References |
|---|---|---|---|
| L-lactide | L-lactide for producing PLLA | Membranes and films for medical applications and 3D printing for prosthesis | [94,95] |
| D-lactide | D-lactide for producing PDLA | Hydrogel and particles for drug delivery | [96] |
| L-lactide | L-lactide with PEG | Medical applications, drug vehicles, nanoparticles loaded with bioactive compounds, treatment for cancer and infections | [97,98] |
| D-lactide | D-lactide with PEG | Biochemical device and packaging | [25] |
| L-lactide | L-lactide with poly(trimethylene carbonate) | Biodegradable elastomeric scaffold for vascular engineering | [99] |
| L-lactide | L-lactide with PCL | Absorbable suture medical application due to good tensile properties Packaging application thanks to tunable barrier properties | [100,101,102] |
| L-lactide/D-lactide | Lactide with lignin | Bio-based composite materials | [103] |
| L-lactide/DL-lactide | L-lactide with ε-caprolactone and hydroxyapatite | Composite materials for bone reconstruction | [104] |
| L-lactide | L-lactide with hydroxyapatite | Composite scaffolds for bone tissue engineering | [105] |
| L-lactide | L-lactide, glycolide, butyl succinate/citrate | Bioabsorbable block copolymers for tissue engineering | [106] |
| L-lactide | L-lactide with PGA | Smart polymer used as drug delivery device | [83] |
7. Conclusions
Author Contributions
Funding
Institutional Review Board Statement
Informed Consent Statement
Data Availability Statement
Conflicts of Interest
References
- Ghadamyari, M.; Chaemchuen, S.; Zhou, K.; Dusselier, M.; Sels, B.F.; Mousavi, B.; Verpoort, F. One-Step Synthesis of Stereo-Pure L,L Lactide from L-Lactic Acid. Catal. Commun. 2018, 114, 33–36. [Google Scholar] [CrossRef]
- Ehsani, M.; Khodabakhshi, K.; Asgari, M. Lactide Synthesis Optimization: Investigation of the Temperature, Catalyst and Pressure Effects. E-Polymers 2014, 14, 353–361. [Google Scholar] [CrossRef]
- Ceppatelli, M.; Frediani, M.; Bini, R. High-Pressure Reactivity of L,L-Lactide. J. Phys. Chem. B 2011, 8, 2173–2184. [Google Scholar] [CrossRef] [PubMed]
- Shen, L.; Haufe, J.; Patel, M.K. Product Overview and Market Projection of Emerging Bio-Based Plastics; Universiteit Utrecht: Utrecht, The Netherlands, 2009. [Google Scholar]
- Van Wouwe, P.; Dusselier, M.; Vanleeuw, E.; Sels, B. Lactide Synthesis and Chirality Control for Polylactic Acid Production. ChemSusChem 2016, 9, 907–921. [Google Scholar] [CrossRef]
- Groot, W.; Van Krieken, J.; Sliekersl, O.; de Vos, S. Production and Purification of Lactic Acid and Lactide. In Poly (Lactic Acid): Synthesis, Structures, Properties, Processing, and Applications; Auras, R., Lim, L.-T., Selke, S.E.M., Tsuji, H., Eds.; John Wiley & Sons, Inc.: Hoboken, NJ, USA, 2011; pp. 3–16. ISBN 9780470293669. [Google Scholar]
- Komesu, A.; de Oliveira, J.A.R.; da Silva Martins, L.H.; Maciel, M.R.W.; Maciel Filho, R. Lactic Acid Production to Purification: A Review. BioResources 2017, 12, 4364–4383. [Google Scholar] [CrossRef] [Green Version]
- Alves De Oliveira, R.; Alexandri, M.; Komesu, A.; Venus, J.; Vaz Rossell, C.E.; Maciel Filho, R. Current Advances in Separation and Purification of Second-Generation Lactic Acid. Sep. Purif. Rev. 2020, 49, 159–175. [Google Scholar] [CrossRef]
- Itzinger, R.; Schwarzinger, C.; Paulik, C. Investigation of the Influence of Impurities on the Ring-Opening Polymerisation of L-Lactide from Biogenous Feedstock. J. Polym. Res. 2020, 27, 1–13. [Google Scholar] [CrossRef]
- Groot, W.J.; Borén, T. Life Cycle Assessment of the Manufacture of Lactide and PLA Biopolymers from Sugarcane in Thailand. Int. J. Life Cycle Assess. 2010, 15, 970–984. [Google Scholar] [CrossRef]
- Souza, R.V. Glycolide and Lactide Synthesis Process Study for Production of PLGA Poly(Lactic Acid-Co-Glycolic Acid) Used in Radioactive Sources Production; University of São Paulo (USP): São Paulo, Brazil, 2017. [Google Scholar]
- Lunt, J. Large-Scale Production, Properties and Commercial Applications of Polylactic Acid Polymers. Polym. Degrad. Stab. 1998, 59, 145–152. [Google Scholar] [CrossRef]
- Pattaro, A.F. Synthesis, Characterization and Processing of Bioreabsorbable Polymers to Use in Tissue Engineering; University of Campinas: Campinas, Brazil, 2016. [Google Scholar]
- Yoo, D.K.; Dukjoon, K.; Lee, D.S. Synthesis of Lactide from Oligomeric PLA: Effects of Temperature, Pressure, and Catalyst. Macromol. Res. 2006, 14, 510–516. [Google Scholar] [CrossRef]
- Van Nostrum, C.F.; Veldhuis, T.F.J.; Bos, G.W.; Hennink, W.E. Hydrolytic Degradation of Oligo(Lactic Acid): A Kinetic and Mechanistic Study. Polymer 2004, 45, 6779–6787. [Google Scholar] [CrossRef]
- Yarkova, A.V.; Novikov, V.T.; Glotova, V.N.; Shkarin, A.A.; Borovikova, Y.S. Vacuum Effect on the Lactide Yield. Procedia Chem. 2015, 15, 301–307. [Google Scholar] [CrossRef] [Green Version]
- Kaihara, S.; Matsumura, S.; Mikos, A.G.; Fisher, J.P. Synthesis of Poly(L-Lactide) and Polyglycolide by Ring-Opening Polymerization. Nat. Protoc. 2007, 2, 2767–2771. [Google Scholar] [CrossRef] [PubMed]
- Drumright, R.E.; Gruber, P.R.; Henton, D.E. Polylactic Acid Technology. Adv. Mater. 2000, 12, 1841–1846. [Google Scholar] [CrossRef]
- Hiltunen, K.; Seppälä, J.V.; Härkönen, M. Effect of Catalyst and Polymerization Conditions on the Preparation of Low Molecular Weight Lactic Acid Polymers. Macromolecules 1997, 30, 373–379. [Google Scholar] [CrossRef]
- Nofar, M.; Salehiyan, R.; Sinha Ray, S. Rheology of Poly(Lactic Acid)-Based Systems. Polym. Rev. 2019, 59, 465–509. [Google Scholar] [CrossRef]
- Xavier Moniz, A.M. Study of Lactic Acid Polycondensation and Lactide Production; Porto University: Porto, Portugal, 2010. [Google Scholar]
- Carpentier, J.; Kirillov, E. Stereoselective Polymerization. In Science of Synthesis; Thieme: New York, NY, USA, 2011; pp. 931–971. [Google Scholar]
- Masutani, K.; Kimura, Y. Chapter 1 PLA Synthesis. From the Monomer to the Polymer. In Poly(Lactic Acid) Science and Technology: Processing, Properties, Additives and Applications; Jiménez, A., Peltzer, M., Ruseckaite, R., Eds.; The Royal Society of Chemistry: London, UK, 2015; pp. 1–36. ISBN 978-1-84973-879-8. [Google Scholar]
- Kolstad, J.J. Crystallization Kinetics of Poly(L-Lactide-Co-Meso-Lactide). J. Appl. Polym. Sci. 1996, 62, 1079–1091. [Google Scholar] [CrossRef]
- Dechy-Cabaret, O.; Martin-Vaca, B.; Bourissou, D. Controlled Ring-Opening Polymerization of Lactide and Glycolide. Chem. Rev. 2004, 104, 6147–6176. [Google Scholar] [CrossRef]
- Grijpma, D.W.; Pennings, A.J. (Co)Polymers of L-Lactide, 2a) Mechanical Properties. Macromol. Chem. Phys. 1994, 195, 1649–1663. [Google Scholar] [CrossRef]
- Sedush, N.G.; Chvalun, S.N. Kinetics and Thermodynamics of L-Lactide Polymerization Studied by Differential Scanning Calorimetry. Eur. Polym. J. 2015, 62, 198–203. [Google Scholar] [CrossRef]
- Stanford, M.J.; Dove, A.P. Stereocontrolled Ring-Opening Polymerisation of Lactide. Chem. Soc. Rev. 2010, 39, 486–494. [Google Scholar] [CrossRef] [PubMed]
- Södergård, A.; Stolt, M. Properties of Lactic Acid Based Polymers and Their Correlation with Composition. Prog. Polym. Sci. 2002, 27, 1123–1163. [Google Scholar] [CrossRef]
- Odian, G. Ring-Opening Polymerization. In Principals of Polymerization; Odian, G., Ed.; John Wiley & Sons, Inc.: Hoboken, NJ, USA, 2004; pp. 544–618. [Google Scholar]
- Jin, Z.; Tian, Y.; Wang, J. Chemistry and Thermodynamic Properties of Lactic Acid and Lactide and Solvent Miscibility. In Poly (Lactic Acid): Synthesis, Structures, Properties, Processing, and Applications; Auras, R., Lim, L.-T., Selke, S.E.M., Tsuji, H., Eds.; John Wiley & Sons, Inc.: Hoboken, NJ, USA, 2010; pp. 19–25. [Google Scholar]
- Pattaro, A.F.; Bahú, J.O.; Schiavon, M.I.R.B.; Gabriel, L.P.; Concha, V.O.C.; Jardini, A.L.; Filho, R.M. Poly(L-Lactide-Co-Glycolide) (PLLGA)—Fast Synthesis Method for the Production of Tissue Engineering Scaffolds. Mater. Int. 2020, 2, 286–296. [Google Scholar] [CrossRef]
- Cunha, B.L.C. Síntese e Caracterização Do Dímero L-Lactídeo Para Produção Do Ácido Poli-L-Láctico Visando Sua Aplicação Na Área Médica; Federal University of São Paulo: São Paulo, Brazil, 2021. [Google Scholar]
- Botvin, V.; Karaseva, S.; Salikova, D.; Dusselier, M. Syntheses and Chemical Transformations of Glycolide and Lactide as Monomers for Biodegradable Polymers. Polym. Degrad. Stab. 2021, 183, 109427. [Google Scholar] [CrossRef]
- Wiegand, T.E. Resorbable Polymer-Hydroxyapatite Composites for Bone Trauma Treatment: Synthesis and Properties; University of Nebraska-Lincoln: Lincoln, NE, USA, 2011. [Google Scholar]
- Rahmayetty; Sukirno; Prasetya, B.; Gozan, M. Synthesis and Characterization of L-Lactide and Polylactic Acid (PLA) from L-Lactic Acid for Biomedical Applications. In Proceedings of the AIP Conference Proceedings; AIP Publishing LLC: Melville, NY, USA, 2017; Volume 1817, p. 020009. [Google Scholar]
- Feng, L.; Chen, X.; Bian, X.; Xiang, S.; Sun, B.; Chen, Z. Calculating D-Lactide Content by Probability Using Gas Chromatographic Data. Chemom. Intell. Lab. Syst. 2012, 110, 32–37. [Google Scholar] [CrossRef]
- Sinclair, R.G.; Markle, R.A.; Smith, R.K. Lactide Production from Dehydration of Aqueous Lactic Acid Feed. U.S. Patent 5,274,127, 2 April 1992. [Google Scholar]
- Penu, C.; Belloncle, B. Production of Meso-Lactide, D-Lactide, and L-Lactide by Back-Biting of Polylactide. U.S. Patent 9,850,224, 27 October 2016. [Google Scholar]
- Noda, M.; Okuyama, H. Thermal Catalytic Depolymerization of Poly(L-Lactic Acid) Oligomer into LL-Lactide: Effects of Al, Ti, Zn and Zr Compounds as Catalysts. Chem. Pharm. Bull. 1999, 47, 467–471. [Google Scholar] [CrossRef] [Green Version]
- Sanglard, P.; Adamo, V.; Bourgeois, J.-P.; Chappuis, T.; Vanoli, E. Poly(Lactic Acid) Synthesis and Characterization. Chim. Int. J. Chem. 2012, 66, 951–954. [Google Scholar] [CrossRef]
- Dusselier, M.; Van Wouwe, P.; Dewaele, A.; Jacobs, P.A.; Sels, B.F. Shape-Selective Zeolite Catalysis for Bioplastics Production. Science 2015, 349, 78–80. [Google Scholar] [CrossRef] [Green Version]
- Baick, I.H.; Luciani, C.V.; Park, S.Y.; Lim, T.; Choi, K.Y. Kinetics of Reversible Oligomerization of L-Lactic Acid with a SnCl2·2H2O/p-Toluenesulfonic Acid Catalyst. Ind. Eng. Chem. Res. 2012, 51, 16617–16625. [Google Scholar] [CrossRef]
- De Clercq, R.; Dusselier, M.; Makshina, E.; Sels, B.F. Catalytic Gas-Phase Production of Lactide from Renewable Alkyl Lactates. Angew. Chem.—Int. Ed. 2018, 57, 3074–3078. [Google Scholar] [CrossRef]
- Park, J.; Cho, H.; Hwang, D.; Kim, S.; Moon, I.; Kim, M. Design of a Novel Process for Continuous Lactide Synthesis from Lactic Acid. Ind. Eng. Chem. Res. 2018, 57, 11955–11962. [Google Scholar] [CrossRef]
- Upare, P.P.; Yoon, J.W.; Hwang, D.W.; Lee, U.H.; Hwang, Y.K.; Hong, D.Y.; Kim, J.C.; Lee, J.H.; Kwak, S.K.; Shin, H.; et al. Design of a Heterogeneous Catalytic Process for the Continuous and Direct Synthesis of Lactide from Lactic Acid. Green Chem. 2016, 18, 5978–5983. [Google Scholar] [CrossRef]
- Chang, J.-S.; Hwang, Y.-K.; Lee, J.; Lee, J.-M.; Jung, M.-H. Catalyst for Direct Conversion of Esters of Lactic Acid to Lactide and the Method for Producing Lactide Using the Same. U.S. Patent 8258317B2, 4 September 2012. [Google Scholar]
- Heo, S.; Park, H.W.; Lee, J.H.; Chang, Y.K. Design and Evaluation of Sustainable Lactide Production Process with an One-Step Gas Phase Synthesis Route. ACS Sustain. Chem. Eng. 2019, 7, 6178–6184. [Google Scholar] [CrossRef]
- Idage, B.B.; Idage, S.B.; Swaminathan, S. Process for the Preparation of L-Lactide of High Chemical Yield and Optical Purity. U.S. Patent 8895760B2, 25 November 2014. [Google Scholar]
- Li, H.; Zhang, Q.; Zhang, T.; Jiang, W.; Huang, W.; Pan, B. Technological Method for Synthesis of Optically Pure L-/D-Lactide Catalyzed by Biogenic Guanidine. U.S. Patent 9630942B2, 25 April 2017. [Google Scholar]
- Idage, B.B.; Idage, S.B.; Swaminathan, S. Improved Process for the Preparation of L-Lactide of High Chemical Yield and Optical Purity. U.S. Patent 8,895,760, 1 September 2011. [Google Scholar]
- Xu, Y.; Fang, Y.; Cao, J.; Sun, P.; Min, C.; Qi, Y.; Jiang, W.; Zhang, Q. Controlled Synthesis of L-Lactide Using Sn-Beta Zeolite Catalysts in a One-Step Route. Ind. Eng. Chem. Res. 2021, 60, 13534–13541. [Google Scholar] [CrossRef]
- Si-Hwan, K.; Chae-Hwan, H.; Do-Seok, H.; Ji-Yeon, S. A Method for Preparing Lactide Using a Ionic Solvent. KR101428340B1, 7 August 2014. [Google Scholar]
- Hwang, D.; Prabin, J.; Rei, W.; Hwang, W.; Kyu, H.Y. Method for Producing Directly Lactide from Lactic Acid and a Catalyst Used Therein. KR101376483B1, 4 March 2012. [Google Scholar]
- Shvets, V.F.; Kozlovsky, R.A.; Khlopov, D.S.; Kozlovsky, I.A.; Suchkov, Y.P. Method of Producing L-Lactide. RU2460726C1, 7 April 2011. [Google Scholar]
- Ikeda, T.; Kurashima, H.; Higuchi, Y.; Kurokawa, M. Production of Lactide and Catalyst for Producing Lactide. JPH11209370A, 21 January 1998. [Google Scholar]
- Obara, H.; Okuyama, H.; Oguchi, M.; Kawamoto, T.; Kawabe, T.; Horibe, Y. Rapid Producion of Lactide. JPH1192475A, 16 September 1997. [Google Scholar]
- Ito, T.; Kimura, K.; Aoyama, T.; Hotta, S.; Yuuchi, M.; Uno, K. Production of Lactide. JPH07304763A, 10 May 1994. [Google Scholar]
- Tsuda, A. Novel Lactide and Its Production. JPH05286966A, 9 April 1992. [Google Scholar]
- Benecke, H.P.; Markle, R.A.; Sinclair, R.G. Catalytic Production of Lactide Directly from Lactic Acid. U.S. Patent 5332839A, 26 July 1990. [Google Scholar]
- Muller, M. Process for the Preparation of Lactide. DE3708915C2, 19 March 1987. [Google Scholar]
- Yamaguchi, Y.; Arimura, T. Method for Purification of Lactide. EP0657447B1, 27 August 1997. [Google Scholar]
- Hirao, K.; Masutani, K.; Ohara, H. Synthesis of L,L-Lactide via Depolymerization of Oligo(L-Lactic Acid). J. Chem. Eng. Jpn. 2009, 42, 687–690. [Google Scholar] [CrossRef]
- Huang, W.; Qi, Y.; Cheng, N.; Zong, X.; Zhang, T.; Jiang, W.; Li, H.; Zhang, Q. Green Synthesis of Enantiomerically Pure L-Lactide and D-Lactide Using Biogenic Creatinine Catalyst. Polym. Degrad. Stab. 2014, 101, 18–23. [Google Scholar] [CrossRef]
- Huang, Q.; Li, R.; Fu, G.; Jiang, J. Size Effects of the Crystallite of ZSM-5 Zeolites on the Direct Catalytic Conversion of L-Lactic Acid to L, L-Lactide. Crystals 2020, 10, 781. [Google Scholar] [CrossRef]
- Krutas, D.S.; Brozek, J.; Benesová, V.; Zinovyev, A.L.; Novikov, V.T. Synthesis of L-Lactide Supplemented with Stage-Wise Analytical Control. Pet. Coal 2016, 58, 561–566. [Google Scholar]
- Tsuji, H.; Fukui, I.; Daimon, H.; Fujie, K. Poly(L-Lactide) XI. Lactide Formation by Thermal Depolymerisation of Poly(L-Lactide) in a Closed System. Polym. Degrad. Stab. 2003, 81, 501–509. [Google Scholar] [CrossRef]
- Upare, P.P.; Hwang, Y.K.; Chang, J.S.; Hwang, D.W. Synthesis of Lactide from Alkyl Lactate via a Prepolymer Route. Ind. Eng. Chem. Res. 2012, 51, 4837–4842. [Google Scholar] [CrossRef]
- Hong, C.H.; Kim, S.H.; Seo, J.Y.; Han, D.S. Manufacturing Method of Lactide from Lactic Acid. U.S. Patent 13/181,808, 29 November 2012. [Google Scholar]
- Zhang, Y.M.; Wang, P.; Han, N.; Lei, H.F. Microwave Irradiation: A Novel Method for Rapid Synthesis of D,L-Lactide. Macromol. Rapid Commun. 2007, 28, 417–421. [Google Scholar] [CrossRef]
- Zhang, Y.; Qi, Y.; Yin, Y.; Sun, P.; Li, A.; Zhang, Q.; Jiang, W. Efficient Synthesis of Lactide with Low Racemization Catalyzed by Sodium Bicarbonate and Zinc Lactate. ACS Sustain. Chem. Eng. 2020, 8, 2865–2873. [Google Scholar] [CrossRef]
- Vink, E.T.H.; Rábago, K.R.; Glassner, D.A.; Gruber, P.R. Applications of Life Cycle Assessment to NatureWorksTM Polylactide (PLA) Production. Polym. Degrad. Stab. 2003, 80, 403–419. [Google Scholar] [CrossRef]
- Carothers, W.H.; Dorough, G.L.; Natta, F.J. van Studies of Polymerization and Ring Formation. X. The Reversible Polymerization of Six-Membered Cyclic Esters. J. Am. Chem. Soc. 1932, 54, 761–772. [Google Scholar] [CrossRef]
- Komesu, A. Separation and Purification Strategies for Lactic Acid Produced by Fermentation; University of Campinas: Campinas, Brazil, 2015. [Google Scholar]
- Alberti, C.; Enthaler, S. Depolymerization of End-of-Life Poly(Lactide) to Lactide via Zinc-Catalysis. ChemistrySelect 2020, 5, 14759–14763. [Google Scholar] [CrossRef]
- Vink, E.T.H.; Rábago, K.R.; Glassner, D.A.; Springs, B.; Connor, R.P.O.; Kolstad, J.; Gruber, P.R. The Sustainability of NatureWorksTM Polylactide Polymers and IngeoTM Polylactide Fibers: An Update of the Future. Macromol. Biosci. 2004, 4, 551–564. [Google Scholar] [CrossRef]
- Kwan, T.H.; Hu, Y.; Lin, C.S.K. Techno-Economic Analysis of a Food Waste Valorisation Process for Lactic Acid, Lactide and Poly(Lactic Acid) Production. J. Clean. Prod. 2018, 181, 72–87. [Google Scholar] [CrossRef]
- Auras, R.; Harte, B.; Selke, S. An Overview of Polylactides as Packaging Materials. Macromol. Biosci. 2004, 4, 835–864. [Google Scholar] [CrossRef]
- Jaworska, J.; Sobota, M.; Pastusiak, M.; Kawalec, M.; Janeczek, H.; Rychter, P.; Lewicka, K.; Dobrzyński, P. Synthesis of Polyacids by Copolymerization of L-Lactide with MTC-COOH Using Zn[(Acac)(L)H2O] Complex as an Initiator. Polymers 2022, 14, 503. [Google Scholar] [CrossRef] [PubMed]
- Liu, X.; Hua, X.; Cui, D. Copolymerization of Lactide and Cyclic Carbonate via Highly Stereoselective Catalysts to Modulate Copolymer Sequences. Macromolecules 2018, 51, 930–937. [Google Scholar] [CrossRef]
- Abubekerov, M.; Wei, J.; Swartz, K.R.; Xie, Z.; Pei, Q.; Diaconescu, P.L. Preparation of Multiblock Copolymers via Step-Wise Addition of L-Lactide and Trimethylene Carbonate. Chem. Sci. 2018, 9, 2168–2178. [Google Scholar] [CrossRef] [Green Version]
- Hernández, J.F.; Espartero, A.L.; Oiz, J.R.S. Novel Random Terpolymers Based on D-Lactide and E-Caprolactone. WO2014135727A1, 3 April 2014. [Google Scholar]
- Emami, F.; Mostafavi Yazdi, S.J.; Na, D.H. Poly(Lactic Acid)/Poly(Lactic-Co-Glycolic Acid) Particulate Carriers for Pulmonary Drug Delivery. J. Pharm. Investig. 2019, 49, 427–442. [Google Scholar] [CrossRef] [Green Version]
- Li, Q. Biodegradation Study of Polymeric Material with Various Levels of Molecular Orientation Induced via Vibration- Assisted Injection Molding; Lehigy University: Bethlehem, PA, USA, 2011. [Google Scholar]
- Faisant, N.; Siepmann, J.; Richard, J.; Benoit, J.P. Mathematical Modeling of Drug Release from Bioerodible Microparticles: Effect of Gamma-Irradiation. Eur. J. Pharm. Biopharm. 2003, 56, 271–279. [Google Scholar] [CrossRef]
- Coltro, M.C.R.C. Síntese e Caracaterização de Polímeros Biodegradáveis Para Liberação Controlada de Dexametosana; Federal University of Goiás: Goiânia, Brazil, 2014. [Google Scholar]
- Wichert, B.; Rohdewald, P. Low Molecular Weight PLA: A Suitable Polymer for Pulmonary Administered Microparticles? J. Microencapsul. 1993, 10, 195–207. [Google Scholar] [CrossRef] [PubMed]
- Andreopoulos, A.G.; Hatzi, E.; Doxastakis, M. Synthesis and Properties of Poly(Lactic Acid). J. Mater. Sci. Mater. Med. 1999, 10, 29–33. [Google Scholar] [CrossRef] [PubMed]
- Tolinski, M.; Carlin, C.P. Plastics and Sustainability Grey Is the New Green: Exploring the Nuances and Complexities of Modern Plastics, 2nd ed.; John Wiley & Sons, Inc.: Hoboken, NJ, USA, 2021; ISBN 9781119592013. [Google Scholar]
- Brito, G.F.; Agrawal, P.; Araújo, E.M.; Mélo, T.J.A. Biopolímeros, Polímeros Biodegradáveis e Polímeros Verdes. Rev. Eletrônica Mater. e Process. 2011, 6, 127–139. [Google Scholar]
- Jamshidian, M.; Tehrany, E.A.; Imran, M.; Jacquot, M.; Desobry, S. Poly-Lactic Acid: Production, Applications, Nanocomposites, and Release Studies. Compr. Rev. Food Sci. Food Saf. 2010, 9, 552–571. [Google Scholar] [CrossRef]
- Cosate de Andrade, M.F.; Souza, P.M.S.; Cavalett, O.; Morales, A.R. Life Cycle Assessment of Poly(Lactic Acid) (PLA): Comparison Between Chemical Recycling, Mechanical Recycling and Composting. J. Polym. Environ. 2016, 24, 372–384. [Google Scholar] [CrossRef]
- Vink, E.T.H.; Davies, S. Life Cycle Inventory and Impact Assessment Data for 2014 Ingeo® Polylactide Production. Ind. Biotechnol. 2015, 11, 167–180. [Google Scholar] [CrossRef] [Green Version]
- Bergström, J.S.; Hayman, D. An Overview of Mechanical Properties and Material Modeling of Polylactide (PLA) for Medical Applications. Ann. Biomed. Eng. 2016, 44, 330–340. [Google Scholar] [CrossRef]
- Lee, S.; Joshi, M.K.; Tiwari, A.P.; Maharjan, B.; Kim, K.S.; Yun, Y.H.; Park, C.H.; Kim, C.S. Lactic Acid Assisted Fabrication of Bioactive Three-Dimensional PLLA/Β-TCP Fibrous Scaffold for Biomedical Application. Chem. Eng. J. 2018, 347, 771–781. [Google Scholar] [CrossRef]
- Ikada, Y.; Tsuji, H. Biodegradable Polyesters for Medical and Ecological Applications. Macromol. Rapid Commun. 2000, 21, 117–132. [Google Scholar] [CrossRef]
- Avgoustakis, K. Pegylated Poly(Lactide) and Poly(Lactide-Co-Glycolide) Nanoparticles: Preparation, Properties and Possible Applications in Drug Delivery. Curr. Drug Deliv. 2004, 1, 13. [Google Scholar] [CrossRef] [PubMed]
- Cerral, P.; Tricoli, M.; Lelli, L.; Guerra, G.D.; Sbarbati Del Guerra, R.; Cascone, M.G.; Giusti, P. Block Copolymers of L-Lactide and Poly(Ethylene Glycol) for Biomedical Applications. J. Mater. Sci. Mater. Med. 1994, 5, 308–313. [Google Scholar] [CrossRef]
- Dargaville, B.L.; Vaquette, C.; Peng, H.; Rasoul, F.; Chau, Y.Q.; Cooper-White, J.J.; Campbell, J.H.; Whittaker, A.K. Cross-Linked Poly(Trimethylene Carbonate-Co-L-Lactide) as a Biodegradable, Elastomeric Scaffold for Vascular Engineering Applications. Biomacromolecules 2011, 12, 3856–3869. [Google Scholar] [CrossRef]
- Grijpma, D.W.; Pennings, A.J. Polymerization Temperature Effects on the Properties of L-Lactide and ε-Caprolactone Copolymers. Polym. Bull. 1991, 25, 335–341. [Google Scholar] [CrossRef]
- Sangroniz, A.; Sangroniz, L.; Hamzehlou, S.; del Río, J.; Santamaria, A.; Sarasua, J.R.; Iriarte, M.; Leiza, J.R.; Etxeberria, A. Lactide-Caprolactone Copolymers with Tuneable Barrier Properties for Packaging Applications. Polymer 2020, 202, 122681. [Google Scholar] [CrossRef]
- Sriyai, M.; Tasati, J.; Molloy, R.; Meepowpan, P.; Somsunan, R.; Worajittiphon, P.; Daranarong, D.; Meerak, J.; Punyodom, W. Development of an Antimicrobial-Coated Absorbable Monofilament Suture from a Medical-Grade Poly(l-Lactide-Co-ϵ-Caprolactone) Copolymer. ACS Omega 2021, 6, 28788–28803. [Google Scholar] [CrossRef] [PubMed]
- Chung, Y.L.; Olsson, J.V.; Li, R.J.; Frank, C.W.; Waymouth, R.M.; Billington, S.L.; Sattely, E.S. A Renewable Lignin-Lactide Copolymer and Application in Biobased Composites. ACS Sustain. Chem. Eng. 2013, 1, 1231–1238. [Google Scholar] [CrossRef]
- Wiegand, T.; Hiebner, K.; Gauza, L.; Schwartz, C.; Song, Z.; Miller, S.; Zacharias, N.; Wooley, P.H.; Redepenning, J. Biomimetic Composites by Surface-Initiated Polymerization of Cyclic Lactones at Anorganic Bone: Preparation and in Vitro Evaluation of Osteoblast and Osteoclast Competence. J. Biomed. Mater. Res. Part A 2014, 102, 1755–1766. [Google Scholar] [CrossRef] [PubMed]
- Cruz, F. Fabrication of HA/PLLA Composite Scaffolds for Bone Tissue Engineering Using Additive Manufacturing Technologies. In Biopolymers; Elnashar, M., Ed.; IntechOpen: London, UK, 2010; pp. 227–242. ISBN 978-953-307-109-1. [Google Scholar]
- Śmigiel-Gac, N.; Pamuła, E.; Krok-Borkowicz, M.; Smola-Dmochowska, A.; Dobrzyński, P. Synthesis and Properties of Bioresorbable Block Copolymers of L-Lactide, Glycolide, Butyl Succinate and Butyl Citrate. Polymers 2020, 12, 214. [Google Scholar] [CrossRef] [PubMed] [Green Version]











| L-Lactide | D-Lactide | D,L-Lactide | |||||||
|---|---|---|---|---|---|---|---|---|---|
| Manufacturer | Product Number | Packaging (g) | Price (U$D) | Product Number | Packaging (g) | Price (U$D) | Product Number | Packaging (g) | Price (U$D) |
| AK Scientific | V2322 | 500 | 907.00 | 2682BB | 25 | 269 | V3862 | 1 | 14.00 |
| Alfa Aesar | L09031 | 25 | 66.40 | L09026 | 10 | 34.70 | |||
| Alichem | 13076170 | 25 | 156.00 | ||||||
| Ambeed | A178884 | 25 | 102.00 | ||||||
| American Custom Chemicals Corporation | CCH0039810 | 25 | 1212.75 | CCH0007427 | 0.005 | 502.59 | |||
| Apollo scientific | OR933335 | 25 | 115.00 | OR959522 | 25 | 370.00 | 25 | 60.00 | |
| Arctom | AS027325 | 25 | 42.00 | ||||||
| Chem-Impex | 35186 | 25 | 50.40 | ||||||
| Crysdot | CD45000285 | 25 | 91.00 | CD11297333 | 100 | 371.00 | CD45000014 | 500 | 510.00 |
| Matrix Scientific | 25 | 89.00 | 172406 | 25 | 89.00 | ||||
| Medical Isotopes, Inc. | 65805 | 250 | 2200.00 | ||||||
| Sigma-Aldrich | 367044 | 25 | 73.00 | 303143 | 25 | 71.70 | |||
| SynQuest Laboratories | 2H25-1-2T | 25 | 184.00 | 2H25-1-29 | 25 | 592.00 | 2H25-1-2U | 25 | 96.00 |
| TCI Chemical | L0115 | 25 | 55.00 | L0091 | 25 | 62.00 | |||
| TRC | L113600 | 25 | 150.00 | L113605 | 1 | 1135.00 | L113518 | 0.5 | 70.00 |
| Physical Properties | L-Lactide | D-Lactide | Meso-Lactide | Rac-Lactide |
|---|---|---|---|---|
| Molecular weight (g/mol) | 144.12 | 144.12 | 144.12 | |
| Optical rotation in degrees | −260 | +260 | ||
| Specific rotation (polarimetry toluene, 25 °C) | (−287)–(−300)° | (+287)–(+300) | (−1)–(+1)° | |
| Appearance (visual test) | White crystals | |||
| Melting point (°C) | 95–100 | 95–100 | 53–54 | 122–128 |
| Boiling point (°C) | 255 | 142 | ||
| Heat of fusion (J/g) | 146 | 118; 128 | 120–170 (DSC 10 °C/min) | |
| Heat of vaporization (kJ/mol) | 63 | |||
| Solid density (g/mL) | 1.32–1.38 | 1.32–1.38 | ||
| Liquid viscosity (mPas) (110 °C) | 2.71 | |||
| Liquid viscosity (mPas) (120 °C) | 2.23 | |||
| Liquid viscosity (mPas) (130 °C) | 1.88 | |||
| Experimental Conditions | Results | References |
|---|---|---|
| Optimization of the conditions for lactide synthesis—Temperature: 195–230 °C, Pressure: 25–760 mmHg, Catalysts: SnO, SnCl2, Sn(Oct)2, Sb2O3, H2SO4, Atmosphere: with or without N2 flux. | A higher conversion rate was found in the presence of SnCl2 and Sn(Oct)2, the synthesis rate increased with temperature, despite yielding impurities due to thermal degradation. | [2] |
| Dehydration step—Temperature: 130–190 °C, Atmosphere: N2 flux. Lactide polycondensation: Temperature: 190–210 °C, Pressure: 5–25 mmHg, Catalyst: Sn(Oct)2, 0.25 %wt (present or absent). | Lactide: 0.6–2.7 kDa. | [21] |
| Different metallic catalysts for the PLA depolymerization to obtain lactide—Temperature: 190–245 °C, Pressure: 4 mmHg, Catalysts: Al, Ti, Zn, Zr. | None of these catalysts achieved the lactide yield obtained by using only 0.2 mol% of Sn(Oct)2. | [40] |
| The dehydration step occurs in a short-path distillator—Temperature: 120 °C, Pressure: 37.5 mmHg. Oligomerization step—Temperature: 170 °C, Pressure: 75 mmHg, Catalyst: Sn(Oct)2, 1 %wt. Reactive distillation in the short-path distillator—Temperature: 250 °C, Pressure: 3.7 mmHg, Catalyst: Sn(Oct)2, 2 %wt. Purification by crystallization. Lactide polymerization—Temperature: 170 °C, Pressure: 760 mmHg, Catalyst: Sn(Oct)2, 0.04 %wt. | Purity: 99.9%. | [41] |
| One-step heterogeneous catalytic process with Bronsted acidic zeolite to produce lactide (zeolite can be regenerated to six reactions consecutive)—Temperature: 150–220 °C, Catalyst: H-beta zeolite, 5 %wt, Lactic acid: 50 %aq. | Yield: 83–97%. Purity: 98%. | [42] |
| Depolymerization of low molar mass PLA—Temperature: 150–220 °C, Pressure: 2 mmHg, Catalyst: SnCl2·2H2O/p-toluenesulfonic acid, 0.25 %mol. | Oligomer chain length: 4–5. | [43] |
| One-step continuous catalytic gas-phase transesterification of alkyl lactates without solvents –Temperature: 220 °C, Catalyst: 5 %wt TiO2/SiO2, L-methyl lactate: 5.7% in N2. | Selectivity ≈ 90%. | [44] |
| Fast one-step continuous catalytic process (<1 s)—Temperature: 240 °C, Pressure: 760 mmHg, Catalyst: SnO2/SiO2 nanocomposite (SSO-80), N2 as carrier, Lactic acid: 75 %aq. The purification step used ethanol as solvent for lactide crystallization. | Lactide yield: 94%. Enantioselectivity: 99%. | [45] |
| One-step continuous catalytic process to produce lactide—Temperature: 240 °C, Pressure: 760 mmHg, Catalyst: SnO2/SiO2 nanocomposite (ϕ ≈ 2 nm), Lactic acid. | Lactide yield: 94%. Enantioselectivity: 99%. | [46] |
| Lactate transesterification—Temperature: 30–250 °C, Pressure: 1–750 mmHg, Catalyst: Ti-based (0.01–10 %mol), Inert atmosphere: N2. | High yield. meso-lactide. | [47] |
| One-step catalytic process in the gas phase to produce lactide—Temperature: 160–240 °C, Pressure: 760 mmHg, Catalyst: SiO2/Al2O3, Lactic acid, Inert atmosphere: N2. | Yield: 75–90. Lactide purity: 95–97%. | [48] |
| Lactic acid dehydration—Temperature: 150–160 °C, Pressure: 110–0.01 mmHg, Inert atmosphere: N2, Stirring: 60–70 rpm. Oligomerization step—Cooling the oligomer until room temperature, Catalyst: Zn/Sn (ϕ < 150 μm), 0.1–0.5 %wt. Depolymerization step—Temperature: 160–200 °C, Pressure: 110–0.1 mmHg, Inert atmosphere: N2. Purification—Crystallization with toluene and washing with ethyl acetate. | Yield > 99%. Optically pure L/D lactide. Impurities < 0.01 %wt. | [49] |
| A biogenic guanidine creatine catalyst (human-body metabolite) is used to produce optically pure L/D-lactide in an environmentally-friendly synthesis approach (reactive reduced pressure distillation catalysis). Dehydration and polycondensation—L/D-lactide: 90 %wt, Temperature: 130–170 °C, Pressure: 30–60 mmHg. Oligomerization—Catalyst: Creatinine (1:100 to 1:10,000), Temperature: 150–260 °C, Pressure: 2–15 mmHg. Lactide neutralization—Washing with alkali (1–10 %wt) and deionized water; Drying: vacuum at 20–40 °C for 24–36 h. | Optically pure L/D lactide. Lactide: 0.6–1.5 kDa. Free of toxicity and metals. | [50] |
| This procedure follows a series of steps to produce optically pure lactide: Melt polymerization of the lactic acid—Temperature: 150–160 °C, Pressure: 100–0.1 mmHg, under stirring. Cooling until room temperature, Catalyst: Sn or Zn: 0.1–0.5 %wt, N2 atmosphere. Heating from 160–200 °C, under vacuum (110–0.01 mmHg). The purification step used ethyl acetate as solvent for lactide crystallization. | Yield: 99%. L(+) Lactide optical purity: 100%. Impurities: <0.01%. | [51] |
| One-step heterogeneous catalytic process with zeolite to produce lactide—Temperature: 110–165 °C, Pressure: 760 mmHg, Catalyst: Sn-beta zeolite, SnO2-SiO2 xerogel, supported SnO2/Si-beta, Sn-MCM-41 zeolite, Lactic acid: 50 %aq. | Yield: 88.2–95.8%. Pure L(+) lactide. | [52] |
| A continuous process to produce lactide from lactic acid in ionic solvent, reducing the temperature and moisture generated during the reaction, preventing the lactide degradation. Temperature: 120–300 °C, Pressure: 1–500 mmHg, Time: 1–5 h. | Yield ≈ 85%. | [53] |
| Single-step lactide production from aqueous lactic acid in the presence of a solid catalyst (Sn, Pb or their mixture)—Temperature: 170–250 °C, Pressure: 760 mmHg or vacuum, Atmosphere: N2, Time: until 100 h. | Conversion rate ≈ 80%. Selectivity ≈ 90%. | [54] |
| Lactide production through liquid phase depolymerization reaction of lactic acid with tin-derivatives—Temperature: 190–210 °C, Pressure: 760 mmHg, Catalyst: tin (IV) compounds, Additives: di- and trialkylphenols, 0.001–0.1 %wt, Time: 4.5 h. | Yield ≈ 72%. | [55] |
| Lactide production via lactic acid ester dealcoholization—Temperature: 120–230 °C, Pressure: 0.3–700 mmHg, Catalyst: monobutyl tin, Time: 3.5 h. | Purity ≈ 99.4%. Impurities: acids and moisture. | [56] |
| Rapid production of lactide from lactic acid or ammonium lactate—Temperature: 180 °C, Pressure: 30 mmHg, Time: 4 h. | Yield ≈ 94%. | [57] |
| Temperature: 200–250 °C, Pressure: 0.5–10 mmHg, Time: 3 h. | Yield: 64%. Impurities: low content. | [58] |
| Lactide production through butyl lactate—Temperature: 180 °C, Pressure: 0.7 mmHg, Catalyst: dibutyltin dichloride. | Dehydrated lactide with low hygroscopicity. | [59] |
| Lactide production from aqueous lactic acid, vaporized and transported with N2 to feed the reactor—Temperature: 150–225 °C, Catalyst: Al2O3. | Lactide purity: 92%. The ratio between the yield of lactide obtained and the molar percentage of lactic acid is 9.1:1. | [60] |
| Temperature: 130–230 °C, Pressure: 13–25 mmHg, Catalyst: carboxylic acid tin-derivative (≤20 carbon atoms), Lactic acid. | Yield ≤ 80%. Optical purity: 99%. | [61] |
| Preliminary study for lactide production under different reactional system configurations –Temperature: 185 °C, Pressure: 125 mmHg, Catalyst: Sn(Oct)2, 1 %wt, Time: 4 h. | Yield ≈ 8%. | [33] |
| Lactide purification method to obtain highly optical pure DL-lactide via meso-lactide hydrolysis followed by its removal—Dehydration and polycondensation step: Temperature: 180–230 °C, Pressure: 20 mmHg, Catalyst: SnO. The lactide vapor is distilled and condensed at 60–90 °C. | Yield (D/L-lactide) ≈ 55%. | [62] |
| Lactide production via lactide oligomer depolymerization using microwave irradiation—Temperature: 180 °C, Pressure: 25 mmHg, Lactic acid: 90 %aq, Time: 12 h, Irradiation: 2.45 GHz. | 2.7 times more lactide was obtained with microwave irradiation process in comparison to the method under conventional heating. | [63] |
| Obtaining enantiomerically pure lactides through PLA-oligomer depolymerization using a green and non-toxic catalyst. Temperature: 220 °C, Pressure: 3 mmHg, Catalyst: biogenic creatinine, Time: 2 h. | Yield: 68.5–69.5%. | [64] |
| Heterogeneous catalysis using zeolite (ZSM-5) to obtain L-lactide—Temperature: 144 °C, L-Lactic acid: 98 %aq + solvent mixture: water and o-xylene, Catalyst: Zeolite ZSM-5, Time: 4 h. | Yield ≈ 89%. | [65] |
| Study of the lactide’ synthesis from lactic exploring different metallic catalysts—Temperature: 200–250 °C, Pressure: 1–2 mmHg, Catalyst: ZnO, (C2H5)2Mg, Sn(Oct)2, L-lactic acid: 85 %aq, Time: 2–30 min | Yield: 27–82%. | [66] |
| L-lactic acid polycondensation—Temperature: 120–200 °C, Time: 9 h. PLA-oligomer depolymerization—Temperature: 210 °C, Pressure: 76 mmHg, Time: 3 h. | Yield: 38.5%. | [36] |
| L-lactide production via PLLA thermal depolymerization in a closed system—Temperature: 250–290 °C, Pressure: 3 mmHg, Time: 10 h. | Yield: 8–14%. | [67] |
| Lactide synthesis from alkyl lactate—Polycondensation—Temperature: 150–180 °C, Pressure: 10–720 mmHg, Atmosphere: N2, Alkyl lactate, Time: ≈ 24 h. Depolymerization—Temperature: 180–210 °C, Pressure: 10 mmHg, Catalyst: SnO, 0.5 %wt, Time: 5 h. | Yield: 82%. | [68] |
| D-lactide synthesis from D-lactic acid—Depolymerization process—Temperature: 230–240 °C, Pressure: 10–200 mmHg, Catalyst: ZnO, 0.01–1.5 %wt, D-lactic acid. | Yield: 65–72%. | [69] |
| Production of D,L-lactide from D,L-lactic acid with ZnCl2 and Cat-A under microwave irradiation: Pressure: 7.5–37.5 mmHg, Time: 1 h, Irradiation: 2.45 GHz. | Yield (D,L-lactide): 36%. Pure D,L-lactide. | [70] |
| Polycondensation step—Temperature: 150 °C, Pressure: 30 mmHg, Lactic acid, 92 %aq, Atmosphere: N2, Time: 5 h. Depolymerization step—Temperature: 130–195 °C, Pressure: 3 mmHg, Catalyst: Zn(la)2, NaHCO3, Time: 3–5 h. | Yield: 95.6%. Purity: 97.9%. | [71] |
Publisher’s Note: MDPI stays neutral with regard to jurisdictional claims in published maps and institutional affiliations. |
© 2022 by the authors. Licensee MDPI, Basel, Switzerland. This article is an open access article distributed under the terms and conditions of the Creative Commons Attribution (CC BY) license (https://creativecommons.org/licenses/by/4.0/).
Share and Cite
Cunha, B.L.C.; Bahú, J.O.; Xavier, L.F.; Crivellin, S.; de Souza, S.D.A.; Lodi, L.; Jardini, A.L.; Filho, R.M.; Schiavon, M.I.R.B.; Concha, V.O.C.; et al. Lactide: Production Routes, Properties, and Applications. Bioengineering 2022, 9, 164. https://doi.org/10.3390/bioengineering9040164
Cunha BLC, Bahú JO, Xavier LF, Crivellin S, de Souza SDA, Lodi L, Jardini AL, Filho RM, Schiavon MIRB, Concha VOC, et al. Lactide: Production Routes, Properties, and Applications. Bioengineering. 2022; 9(4):164. https://doi.org/10.3390/bioengineering9040164
Chicago/Turabian StyleCunha, Bruna L. C., Juliana O. Bahú, Letícia F. Xavier, Sara Crivellin, Samuel D. A. de Souza, Leandro Lodi, André L. Jardini, Rubens Maciel Filho, Maria I. R. B. Schiavon, Viktor O. Cárdenas Concha, and et al. 2022. "Lactide: Production Routes, Properties, and Applications" Bioengineering 9, no. 4: 164. https://doi.org/10.3390/bioengineering9040164
APA StyleCunha, B. L. C., Bahú, J. O., Xavier, L. F., Crivellin, S., de Souza, S. D. A., Lodi, L., Jardini, A. L., Filho, R. M., Schiavon, M. I. R. B., Concha, V. O. C., Severino, P., & Souto, E. B. (2022). Lactide: Production Routes, Properties, and Applications. Bioengineering, 9(4), 164. https://doi.org/10.3390/bioengineering9040164

