Microwave-Assisted Alkali Pre-Treatment, Densification and Enzymatic Saccharification of Canola Straw and Oat Hull
Abstract
:1. Introduction
2. Materials and Methods
2.1. Sample Preparation
2.2. Experimental Setup
2.3. Cleaning, Grinding and Moisture Analysis
2.4. Bulk and Particle Density Analysis
2.5. Particle Size Analysis
2.6. Microwave Pre-Treatment
2.7. Chemical Analysis
2.8. Ash Content
2.9. Densification
2.10. Pellet Density and Dimensional Stability
2.11. Tensile Strength Test
2.12. Enzymatic Saccharification
2.13. Micro-Plate DNS Glucose Analysis
2.14. Scanning Electron Microscopy
2.15. Statistical Analysis
3. Results and Discussion
3.1. Physical Properties
3.2. Chemical Composition of Microwave-Assisted Alkali Pre-Treated Canola Straw and Oat Hull
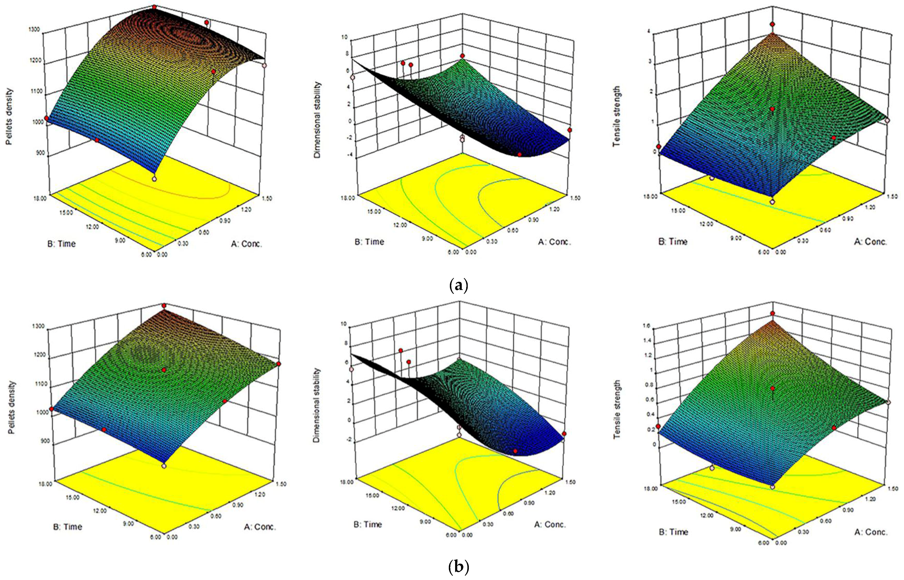
3.3. Pellet Density
3.4. Dimensional Stability
3.5. Tensile Strength of Pellets
3.6. Glucose Yield
3.7. Structural Changes in the Biomass
3.8. Variable Optimization
4. Conclusions
- Microwave-assisted alkali pre-treatment of canola straw and oat hull resulted in better physical quality and improved the enzymatic digestibility of these substrates.
- Canola straw and oat hull samples hammer milled with 1.6 mm screen size resulted in pellets with better physical quality compared to samples hammer milled with 3.2 mm screen size.
- Alkali concentration of 1.5% with a microwave heating time of approximately 6 min resulted in high tensile strength of canola straw, whereas a microwave heating time of 9–18 min and alkali concentration of approximately 1.5% resulted in high tensile strength of oat hull pellets.
- Microwave-assisted alkali pre-treatment was able to disrupt and breakdown the lignocellulosic structure of the samples and created accessible areas of cellulose for cellulase reactivity.
- The best enzymatic saccharification result that gave a high glucose yield of 110.05 mg/g dry sample for canola straw was ground in a 1.6 mm screen hammer mill and microwave pre-treated with 1.5% NaOH for 18 min. A high glucose yield of 99.10 mg/g dry sample for oat hull resulted from those ground in a 1.6 mm screen hammer mill and microwave pre-treated with 0.75% NaOH for 18 min.
- Structural changes of sample particles of microwave-assisted alkali pre-treated canola straw and oat hull were observed through SEM images revealing the effectiveness of microwave-assisted alkali pre-treatment.
- Overall, microwave-assisted alkali pre-treatment of canola straw and oat hull improved biomass pellet quality and glucose (sugar) yield for bioethanol production.
Author Contributions
Conflicts of Interest
References
- Nomanbhay, S.M.; Hussain, R.; Palanisamy, K. Microwave-assisted alkaline pretreatment and microwave assisted enzymatic saccharification of oil palm empty fruit bunch fiber for enhance fermentable sugar yield. J. Sustain. Bioenergy Syst. 2013, 3, 7–17. [Google Scholar] [CrossRef]
- Alvira, P.; Tomas-Pejo, E.; Ballesteros, M.; Negro, M.J. Pretreatment technologies for an efficient bioethanol production process based on enzymatic hydrolysis: A review. Bioresour. Technol. 2010, 101, 4851–4861. [Google Scholar] [CrossRef] [PubMed]
- Balat, M.; Balat, H.; Oz, C. Progress in bioethanol processing. Prog. Energy Combust. Sci. 2008, 34, 551–573. [Google Scholar] [CrossRef]
- Smith, D. Brief Overview of Biofuels and Introduction to Feedstock; Biofuelnet: Montreal, QC, Canada, 2013; pp. 1–57. [Google Scholar]
- Liu, T.; McConkey, B.; Huffman, T.; Smith, S.; MacGregor, B.; Yemshanov, D.; Kulshreshtha, S. Potential and impacts of renewable energy production from agricultural biomass in Canada. Appl. Energy 2014, 130, 222–229. [Google Scholar] [CrossRef]
- Demirbas, A.; Balat, M.F.M.; Balat, H. Potential contribution of biomass to the sustainable energy development. Energy Convers. Manag. 2009, 50, 1746–1760. [Google Scholar] [CrossRef]
- Ohgren, K.; Bura, R.; Lesnicki, G.; Saddler, J.; Zacchi, G. A comparison between simultaneous saccharification and fermentation using steam-pretreated corn stover. Process Biochem. 2007, 42, 834–839. [Google Scholar] [CrossRef]
- Sorda, G.; Banse, M.; Kemfert, C. An overview of biofuel policies across the world. Energy Policy 2012, 2, 6977–6988. [Google Scholar] [CrossRef]
- Mosier, N.S.; Wyman, C.; Dale, B.; Elander, R.; Lee, Y.Y.; Holtzapple, M.; Ladisch, M.R. Features of promising technologies for pretreatment of lignocellulosic biomass. Bioresour. Technol. 2005, 96, 673–686. [Google Scholar] [CrossRef] [PubMed]
- Sanchez, O.J.; Cardona, C.A. Trends in biotechnological production of fuel ethanol from different feedstocks. Bioresur. Technol. 2008, 99, 5270–5295. [Google Scholar] [CrossRef] [PubMed]
- Li, X.; Mupondwa, E.; Panigraphi, S.; Tabil, L.G.; Sokhansanj, S.; Stumborg, M. A review of agricultural crop residue supply in Canada for Cellulosic ethanol production. Renew. Sustain. Energy Rev. 2012, 16, 2954–2965. [Google Scholar] [CrossRef]
- Saskatchewan Ministry of Agriculture Field Crop Sheet 2014. Field Crop Statistics. Available online: www.publications.gov.sk.ca/redirect.cfm?p=74877&i=83776 (accessed on 20 July 2015).
- Agbor, V.B.; Cicek, N.; Sparling, R.; Berlin, A.; Levin, B.D. Biomass pretreatment: Fundamentals toward application. Biotechnol. Adv. 2011, 29, 675–685. [Google Scholar] [CrossRef] [PubMed]
- Quintero, J.A.; Rincon, L.E.; Cardona, C.A. Production of bioethanol from agro industrial residues as feedstocks. In Biofuels: Alternative Feedstocks and Conversion Processes; Pandey, A., Larroche, C., Ricke, S.C., Dussap, C.G., Gnansounou, E., Eds.; Academic Press: Oxford, UK, 2011; pp. 251–285. [Google Scholar]
- Zhu, S.; Wu, Y.; Yu, Z.; Zhang, X.; Wang, C.; Yu, F.; Jin, S. Production of ethanol from microwave-assisted alkali pretreated wheat straw. Process Biochem. 2006, 41, 869–873. [Google Scholar] [CrossRef]
- Zhao, Y.; Wang, Y.; Zhu, J.Y.; Ragauskas, A.; Deng, Y. Enhanced enzymatic hydrolysis of spruce by alkaline pretreatment at low temperature. Biotechnol. Bioeng. 2008, 99, 1320–1328. [Google Scholar] [CrossRef] [PubMed]
- Ooshima, H.; Aso, K.; Harano, Y.; Yamamoto, T. Microwave treatment of cellulosic materials for their enzymatic hydrolysis. Biotechnol. Lett. 1984, 6, 289–294. [Google Scholar] [CrossRef]
- Azuma, J.I.; Tanaka, F.; Koshijima, T. Enhancement of enzymatic susceptibility of lignocellulosic wastes by microwave irradiation. J. Ferment. Technol. 1984, 62, 377–384. [Google Scholar]
- Gong, G.; Liu, D.; Huang, Y. Microwave-assited organic acid pretreatment for enzymatic hydrolysis of rice straw. Biosyst. Eng. 2010, 107, 67–73. [Google Scholar] [CrossRef]
- Quitain, A.T.; Sasaki, M.; Goto, M. Microwave-based pretreatment for efficient biomass-to-biofuel conversion. In Pretreatment Techniques for Biofuels and Biorefineries; Fang, Z., Ed.; Springer: Heidelberg, Germany, 2013; pp. 117–130. [Google Scholar]
- Keshwani, D.R.; Cheng, J.J. Microwave-based alkali pretreatment of switchgrass and coastal bermudagrass for bioethanol production. Biotechnol. Prog. 2010, 26, 644–652. [Google Scholar] [CrossRef] [PubMed]
- Sun, Y.; Cheng, J. Hydrolysis of lignocellulosic materials for ethanol production: A review. Bioresour. Technol. 2002, 83, 1–11. [Google Scholar] [CrossRef]
- Kashaninejad, M.; Tabil, L.G. Effect of microwave: chemical pretreatment on compression characteristics of biomass grinds. Biosyst. Eng. 2011, 108, 36–45. [Google Scholar] [CrossRef]
- Xu, J. Microwave pretreatment. In Pretreatment of Biomass: Processes and Technologies; Pandey, A., Negi, S., Binod, P., Eds.; Elsevier: Waltham, MA, USA, 2015; pp. 157–172. [Google Scholar]
- Rodrigues, T.H.S.; Rocha, M.V.P.; Macedo, G.R.D.; Goncalves, L.R.B. Ethanol production from cashew apple bagasse: Improvement of enzymatic hydrolysis by microwave-assisted alkali pretreatment. Appl. Biochem. Biotechnol. 2011, 164, 929–943. [Google Scholar] [CrossRef] [PubMed]
- Saha, B.C.; Biswas, A.; Cotta, M.A. Microwave pretreatment, enzymatic saccharification and fermentation of wheat straw to ethanol. J. Biobased Mater. Bioenergy 2008, 2, 210–217. [Google Scholar] [CrossRef]
- Binod, P.; Satyanagalakshmi, K.; Sindhu, R.; Janu, K.U.; Sukumaran, R.K.; Pandey, A. Short duration microwave assisted pretreatment enhances the enzymatic saccharification and fermentable sugar yield from sugarcane bagasse. Renew. Energy 2012, 37, 109–116. [Google Scholar] [CrossRef]
- Choudhary, R.; Umagiliyage, A.L.; Liang, Y.; Siddaramu, T.; Haddock, J.; Markevicus, G. Microwave pretreatment for enzymatic saccharification of sweet sorghum bagasse. Biomass Bioenergy 2012, 39, 218–226. [Google Scholar] [CrossRef]
- Ethaib, S.; Omar, R.; Kamal, S.M.M.; Biak, D.R.A. Microwave-assisted pretreatment of lignocellulosic biomass: A review. J. Eng. Sci. Technol. 2015, 97–109. [Google Scholar]
- Taherzadeh, M.J.; Karimi, K. Pretreatment of lignocellulosic waste to improve ethanol and biogas production: a review. Int. J. Mol. Sci. 2008, 9, 1621–1651. [Google Scholar] [CrossRef] [PubMed]
- Sindhu, R.; Pandey, A.; Binod, P. Alkaline treatment. In Pretreatment of Biomass: Process and Technologies; Pandey, A., Negi, S., Binod, P., Larroche, C., Eds.; Elsevier: Oxford, UK, 2015; pp. 51–60. [Google Scholar]
- Sharma, R.; Palled, V.; Sharma-Shivappa, R.R.; Osborne, J. Potential of potassium hydroxide pretreatment of switch grass for fermentable sugar production. Appl. Biochem. Biotechnol. 2013, 169, 761–772. [Google Scholar] [CrossRef] [PubMed]
- Adapa, P.K.; Tabil, L.G.; Schoenau, G. Factors affecting the quality of biomass pellet for biofuel and energy analysis of pelleting process. Int. J. Agric. Biol. Eng. 2013, 6, 1–12. [Google Scholar]
- Veal, M.W. Biomass logistics. In Biomass to Renewable Energy Processes; Cheng, J., Ed.; CRC Press: Boca Raton, FL, USA, 2010; pp. 71–130. [Google Scholar]
- Mani, S.; Tabil, L.G.; Sokhansanj, S. Effects of compressive force, particle size and moisture content on mechanical properties of biomass pellets from grasses. Biomass Bioenergy 2006, 30, 648–654. [Google Scholar] [CrossRef]
- Jenkins, B.M.; Baxter, L.L.; Koppejan, J. Biomass combustion. In Thermochemical Processing of Biomass, Conversions into Fuels, Chemical and Power, 1st ed.; Brown, R.C., Ed.; John Wiley and Sons: New York, NY, USA, 2011; pp. 14–29. [Google Scholar]
- Adapa, P.; Tabil, L.G.; Schoenau, G. Grinding performance and physical properties of non-treated and steam exploded barley, canola, oat and wheat straw. Biomass Bioenergy 2011, 35, 549–561. [Google Scholar] [CrossRef]
- ASABE. ASABE Standard S358.2. Moisture measurement–forages. In ASABE Standards; American Society of Agricultural and Biological Engineers: St. Joseph, MI, USA, 2006; pp. 1–2. [Google Scholar]
- Adapa, P.; Tabil, L.G.; Schoenau, G. Compaction characteristics of barley, canola, oat and wheat straw. Biosyst. Eng. 2009, 104, 335–344. [Google Scholar] [CrossRef]
- ASABE. ASABE Standard S319.4. Method of determining and expressing fineness of feed materials by sieve. In ASABE Standards; American Society of Agricultural and Biological Engineers: St. Joseph, MI, USA, 2008; pp. 1–7. [Google Scholar]
- Iroba, K.L.; Tabil, L.G. Lignocellulosic biomass feedstock characteristics, pretreatment methods and pre-processing of biofuel and bioproduct applications. In Biomass Processing, Conversion and Biorefinery; Zhang, B., Wan, Y., Eds.; Nova Science Inc.: New York, NY, USA, 2013; pp. 61–98. [Google Scholar]
- Sluiter, A.; Hames, B.; Ruiz, R.; Scarlata, C.; Sluiter, J.; Templeton, D.; Crocker, D. Determination of Structural Carbohydrates and Lignin in Biomass; National Renewable Energy Laboratory: Golden, CO, USA, 2007; pp. 1–15.
- Sluiter, A.; Hames, B.; Ruiz, R.; Scarlata, C.; Sluiter, J.; Templeton, D.; Crocker, D. Determination of Ash in Biomass; National Renewable Energy Laboratory: Golden, CO, USA, 2008; pp. 1–5.
- Tabil, L.G.; Sokhansanj, S. Bulk properties of alfalfa grind in relation to its compaction characteristics. Appl. Eng. Agric. 1997, 13, 499–505. [Google Scholar]
- Kashaninejad, M.B.; Kashaninejad, B.; Tabil, L.G. Effect of Microwave Pretreatment on Densification of Wheat Straw; ASABE Annual International Meeting Paper No. 1009051; ASABE: St. Joseph, MI, USA, 2010. [Google Scholar]
- Fell, J.T.; Newton, J.M. The tensile strength of lactose tablets. J. Pharm. Pharmacol. 1968, 20, 657–658. [Google Scholar] [CrossRef] [PubMed]
- Fell, J.T.; Newton, J.M. Determination of tablet strength by the diametral-compression test. J. Pharm. Sci. 1970, 59, 688–691. [Google Scholar] [CrossRef] [PubMed]
- Ryu, D.D.; Mandels, M. Cellulases-biosynthesis and applications. Enyzme Microb. Technol. 1980, 2, 91–102. [Google Scholar] [CrossRef]
- Xiao, Z.; Stroms, R.; Tsang, A. Microplate-based filter paper to measure total cellulase activity. Biotechnol. Bioeng. 2004, 88, 832–837. [Google Scholar] [CrossRef] [PubMed]
- Wood, T.M.; Bhat, K.M.; Willis, A.W.; Scott, T.K. Methods for measuring cellulase activities. Methods Enzymol. 1988, 160, 87–112. [Google Scholar]
- Lan, T.Q.; Lou, H.; Zhu, J.Y. Enzymatic saccharification of lignocelluloses should be conducted at elevated pH 5.2–6.2. Bioenergy Res. 2013, 6, 476–485. [Google Scholar] [CrossRef]
- Diaz, A.B.; Moretti, M.M.; Bezerra-Bussoli, C.; Nunes, C.D.; Blandino, A.; da Silva, R.; Gomes, E. Evaluation of microwave-assisted pretreatment of lignocellulosic biomass immersed in alkaline glycerol for fermentable sugars. Bioresour. Technol. 2015, 185, 316–323. [Google Scholar] [CrossRef] [PubMed]
- Oguocha, I. Materials Characterization Techniques; Department of Mechanical and Material Science Engineering, University of Saskatchewan: Saskatoon, SK, Canada, 2015. [Google Scholar]
- Yue, Z.B.; Yu, H.Q.; Hu, Z.H.; Harada, H.; Li, Y.Y. Surfactant-enhanced anaerobic acidogenesis of Canna indica L. by rumen cultures. Bioresour. Technol. 2008, 99, 3418–3423. [Google Scholar] [CrossRef] [PubMed]
- Ma, H.; Liu, W.; Chen, X.; Wu, Y.; Yu, Z. Enhanced enzymatic saccharification of rice straw by microwave pretreatment. Bioresour. Technol. 2009, 100, 1279–1284. [Google Scholar] [CrossRef] [PubMed]
- Kumar, P.; Barrett, D.M.; Delwiche, M.J.; Stroeve, P. Methods for pretreatment of lignocellulosic biomass for efficient hydrolysis and biofuel production. Ind. Eng. Chem. Res. 2009, 48, 3713–3729. [Google Scholar] [CrossRef]
- Zhu, S.; Wu, Y.; Yu, Z.; Liao, Z.J.; Zhang, Y. Pretreatment by microwave/alkali of rice straw and its enzymatic hydrolysis. Process Biochem. 2005, 40, 3082–3086. [Google Scholar] [CrossRef]
- Zhu, S.; Wu, Y.; Yu, Z.; Chen, Q.; Wu, G.; Yu, F.; Wang, C.; Jin, S. Microwave-assisted alkali pre-treatment of wheat straw and its enzymatic hydrolysis. Biosyst. Eng. 2006, 94, 437–442. [Google Scholar] [CrossRef]
- Tomas-Pejo, E.; Alvria, P.; Ballesteros, M.; Negro, M.J. Pretreatment technologies for lignocellulose to bioethanol conversion. In Biofuels: Alternative Feedstocks and Conversion Processes; Pandey, A., Larroche, C., Ricke, S.C., Dussap, C.G., Gnansounou, E., Eds.; Academic Press: Oxford, UK, 2011; pp. 149–177. [Google Scholar]
- Iroba, K.L.; Tabil, L.G.; Sokhansanj, S.; Meda, V. Producing durable pellets from barley straw subjected to radio frequency-alkaline and steam explosion pretreatments. Int. J. Agric. Biol. Eng. 2014, 7, 68–82. [Google Scholar]
- Tabil, L.G. Binding and Pelleting Characteristics of Alfalfa. Ph.D. Thesis, Department of Agricultural and Bioresource Engineering, University of Saskatchewan, Saskatoon, SK, Canada, May 1996. [Google Scholar]
- Anna, C.S.; de Souza, W. Microscopy as a Tool to Follow Deconstruction of Lignocellulosic Biomass. 2012. Available online: www.formatex.info/microscopy 5/book/639-645.pdf (accessed on 1 June 2015).








| Independent Variable | Code | Actual Factor Level at Coded Factor Levels | ||
|---|---|---|---|---|
| −1 | 0 | 1 | ||
| A—Alkali conc. (%) | X1 | 0 | 0.75 | 1.5 |
| B—MW time (min) | X2 | 6 | 12 | 18 |
| Sample | Screen Size (mm) | Moisture Content as Received a (% w.b.) | Moisture Content Ground Sample a (% w.b.) | dgw a (mm) | Sgw a (mm) | Ash Content a (%) | Bulk Density b (kg/m3) | Particle Density b (kg/m3) |
|---|---|---|---|---|---|---|---|---|
| Canola straw | 1.6 | 9.08 ± 0.45 | 7.64 ± 0.59 | 0.348 ± 0.02 | 0.280 ± 0.01 | 6.47 ± 0.87 | 168.14 ± 2.67 | 1305.53 ± 46.08 |
| 3.2 | 8.28 ± 0.39 | 0.520 ± 0.04 | 0.498 ± 0.01 | 6.66 ± 1.56 | 141.16 ± 2.10 | 1220.41 ± 6.20 | ||
| Oat hull | 1.6 | 9.72 ± 0.15 | 6.96 ± 0.33 | 0.370 ± 0.00 | 0.217 ± 0.01 | 5.31 ± 0.26 | 331.32 ± 4.39 | 1440.51 ± 3.25 |
| 3.2 | 7.7 ± 0.12 | 0.547 ± 0.00 | 0.284 ± 0.00 | 5.65 ± 1.62 | 285.10 ± 9.16 | 1391.01 ± 8.40 |
| Sample | Screen Size (mm) | Alkali | Concentration (%) | Microwave Heating Time (min) | Microwave Pre-Treated Temperature b (°C) | Ash Content a (%) | Bulk Density b (kg/m3) | Particle Density b (kg/m3) |
|---|---|---|---|---|---|---|---|---|
| Canola straw | 1.6 | 0 | 6 | 92.20 ± 0.10 | 5.16 ± 0.29 | 122.43 ± 1.43 | 1262.91 ± 30.54 | |
| 0 | 12 | 92.33 ± 0.15 | 5.33 ± 0.57 | 134.57 ± 1.77 | 1206.60 ± 7.39 | |||
| 0 | 18 | 112.93 ±7.39 | 5.48 ± 0.48 | 137.72 ± 1.85 | 1124.45 ± 8.44 | |||
| NaOH | 0.75 | 6 | 72.82 ± 4.79 | 15.50 ± 0.50 | 149.41 ± 0.22 | 1514.18 ± 12.19 | ||
| 0.75 | 12 | 75.24 ± 0.69 | 14.83 ± 0.28 | 171.54 ± 1.53 | 1423.10 ± 10.48 | |||
| 0.75 | 18 | 82.88 ± 8.70 | 14.33 ± 0.28 | 183.15 ± 2.29 | 1303.16 ± 5.36 | |||
| 1.5 | 6 | 75.16 ± 1.33 | 20.13 ± 1.02 | 160.22 ± 2.48 | 1572.56 ± 81.84 | |||
| 1.5 | 12 | 77.20 ± 1.36 | 22.17 ± 0.57 | 194.72 ± 2.22 | 1472.80 ± 2.98 | |||
| 1.5 | 18 | 78.90 ± 1.10 | 22.96 ± 0.07 | 260.11 ± 0.90 | 1358.89 ± 5.27 | |||
| KOH | 0.75 | 6 | 76.62 ± 2.61 | 12.83 ± 0.58 | 137.79 ± 0.89 | 1389.39 ± 8.86 | ||
| 0.75 | 12 | 76.76 ± 1.55 | 12.67 ± 0.28 | 154.45 ± 1.55 | 1428.87 ± 13.54 | |||
| 0.75 | 18 | 78.72 ± 1.65 | 12.33 ± 0.28 | 157.00 ± 0.73 | 1134.54 ± 9.08 | |||
| 1.5 | 6 | 90.30 ± 1.33 | 19.33 ± 0.28 | 145.33 ± 0.75 | 1411.14 ± 3.02 | |||
| 1.5 | 12 | 91.76 ± 0.24 | 19.67 ± 0.57 | 173.98 ± 2.46 | 1496.22 ± 8.69 | |||
| 1.5 | 18 | 116.92 ± 3.38 | 19.83 ± 0.29 | 200.99 ± 2.06 | 1343.62 ± 7.44 | |||
| 3.2 | 0 | 6 | 92.07 ± 0.23 | 5.17 ± 0.28 | 108.10 ± 1.52 | 1033.48 ± 11.03 | ||
| 0 | 12 | 92.23 ± 0.06 | 5.33 ± 0.28 | 116.40 ± 1.09 | 1045.16 ± 16.35 | |||
| 0 | 18 | 116.67 ± 10.47 | 5.50 ± 0.50 | 126.96 ± 3.56 | 982.42 ± 20.54 | |||
| NaOH | 0.75 | 6 | 91.60 ± 0.10 | 15.17 ± 0.29 | 131.71 ± 3.05 | 1324.92 ± 5.20 | ||
| 0.75 | 12 | 92.04 ± 0.36 | 14.67 ± 0.29 | 148.11 ± 1.83 | 1423.39 ± 18.12 | |||
| 0.75 | 18 | 119.02 ± 8.19 | 14.33 ± 0.58 | 170.48 ± 2.18 | 1229.76 ± 20.79 | |||
| 1.5 | 6 | 90.36 ± 0.90 | 21.17 ± 0.58 | 153.09 ± 2.68 | 1462.90 ± 2.73 | |||
| 1.5 | 12 | 91.90 ± 0.21 | 22.33 ± 0.28 | 182.61 ± 3.74 | 1466.03 ± 4.01 | |||
| 1.5 | 18 | 123.26 ± 8.18 | 22.50 ± 1.00 | 247.76 ± 3.24 | 1297.84 ± 19.89 | |||
| KOH | 0.75 | 6 | 91.24 ± 0.09 | 13.17 ± 0.28 | 114.86 ± 3.16 | 1285.89 ± 11.96 | ||
| 0.75 | 12 | 91.38 ± 0.11 | 13.00 ±0.00 | 133.13 ± 2.98 | 1335.35 ± 9.93 | |||
| 0.75 | 18 | 124.32 ± 6.98 | 12.67 ± 0.58 | 137.40 ± 1.70 | 1043.47 ± 5.22 | |||
| 1.5 | 6 | 91.04 ± 0.08 | 20.17 ± 0.76 | 123.82 ± 1.12 | 1429.45 ± 6.89 | |||
| 1.5 | 12 | 91.42 ± 0.24 | 20.50 ± 0.50 | 164.70 ± 3.58 | 1511.66 ± 8.47 | |||
| 1.5 | 18 | 124.12 ± 5.01 | 20.67 ± 0.29 | 190.07 ± 1.94 | 1281.60 ± 1.84 |
| Sample | Screen Size (mm) | Alkali | Concentration (%) | Microwave Heating Time (min) | Microwave Pre-Treated Temperature b (°C) | Ash Content a (%) | Bulk Density b (kg/m3) | Particle Density b (kg/m3) |
|---|---|---|---|---|---|---|---|---|
| Oat hull | 1.6 | 0 | 6 | 92.56 ± 0.29 | 4.67 ± 0.28 | 256.60 ± 2.53 | 1427.75 ± 1.90 | |
| 0 | 12 | 93.03 ± 0.23 | 4.83 ± 0.58 | 264.84 ± 2.23 | 1430.20 ± 3.24 | |||
| 0 | 18 | 93.86 ± 0.10 | 5.00 ± 0.50 | 321.27 ± 3.47 | 1410.10 ± 3.43 | |||
| NaOH | 0.75 | 6 | 90.78 ±4.02 | 8.50 ± 0.50 | 235.95 ± 2.10 | 1465.14 ± 5.45 | ||
| 0.75 | 12 | 92.26 ± 0.27 | 9.67 ± 0.29 | 270.10 ± 3.45 | 1502.91 ± 3.28 | |||
| 0.75 | 18 | 106.62 ± 3.75 | 9.83 ± 1.26 | 334.46 ± 1.99 | 1502.89 ± 3.04 | |||
| 1.5 | 6 | 88.45 ± 5.73 | 15.17 ± 0.29 | 280.39 ± 1.22 | 1544.32 ± 2.47 | |||
| 1.5 | 12 | 92.75 ± 0.07 | 15.83 ± 0.28 | 329.28 ± 3.70 | 1557.82 ± 2.86 | |||
| 1.5 | 18 | 104.55 ± 8.83 | 16.17 ± 0.28 | 353.11 ± 4.58 | 1548.69 ± 1.87 | |||
| KOH | 0.75 | 6 | 92.87 ± 0.06 | 7.00 ± 0.00 | 243.14 ± 2.69 | 1447.42 ± 20.92 | ||
| 0.75 | 12 | 92.90 ± 0.10 | 7.17 ± 0.76 | 276.28 ± 2.57 | 1451.40 ± 5.83 | |||
| 0.75 | 18 | 111.97 ± 2.60 | 7.83 ± 1.04 | 298.96 ± 2.57 | 1464.83 ± 4.13 | |||
| 1.5 | 6 | 92.44 ± 0.18 | 13.00 ± 0.50 | 247.12 ± 4.35 | 1498.86 ± 4.61 | |||
| 1.5 | 12 | 92.58 ± 0.28 | 13.17 ± 0.28 | 290.26 ± 6.56 | 1546.26 ± 3.00 | |||
| 1.5 | 18 | 114.88 ± 8.18 | 13.50 ± 0.87 | 339.04 ± 5.50 | 1523.19 ± 3.33 | |||
| 3.2 | 0 | 6 | 92.53 ± 0.23 | 4.50 ± 0.00 | 207.07 ± 3.56 | 1373.74 ± 4.94 | ||
| 0 | 12 | 92.50 ± 0.26 | 4.67 ± 0.28 | 206.46 ± 2.41 | 1361.42 ± 3.36 | |||
| 0 | 18 | 95.00 ± 2.18 | 5.33 ± 0.76 | 240.53 ± 1.46 | 1394.83 ± 2.81 | |||
| NaOH | 0.75 | 6 | 92.00 ± 0.20 | 8.83 ± 0.28 | 207.31 ± 1.58 | 1435.75 ± 6.46 | ||
| 0.75 | 12 | 92.30 ± 0.36 | 9.00 ± 0.50 | 238.94 ± 5.06 | 1506.29 ± 2.20 | |||
| 0.75 | 18 | 126.30 ± 5.98 | 9.50 ± 0.50 | 253.98 ± 4.10 | 1505.66 ± 3.12 | |||
| 1.5 | 6 | 92.38 ± 0.22 | 15.00 ± 0.50 | 236.56 ± 3.52 | 1533.35 ± 3.15 | |||
| 1.5 | 12 | 92.68 ± 0.59 | 15.67 ± 0.76 | 336.55 ± 2.58 | 1559.22 ± 1.24 | |||
| 1.5 | 18 | 119.43 ± 8.42 | 16.00 ± 0.50 | 283.27 ± 4.70 | 1548.87 ± 1.62 | |||
| KOH | 0.75 | 6 | 92.73 ± 0.24 | 7.17 ± 0.76 | 209.05 ± 3.59 | 1456.67 ± 2.93 | ||
| 0.75 | 12 | 92.40 ± 0.18 | 7.50 ± 0.50 | 217.53 ± 2.53 | 1464.51 ± 2.08 | |||
| 0.75 | 18 | 120.70 ± 4.24 | 8.00 ± 0.50 | 244.91 ± 3.91 | 1457.28 ± 3.67 | |||
| 1.5 | 6 | 92.60 ± 0.36 | 13.33 ± 0.28 | 221.49 ± 4.73 | 1507.52 ± 4.02 | |||
| 1.5 | 12 | 93.27 ± 0.06 | 13.67 ± 0.58 | 257.88 ± 2.77 | 1541.46 ± 1.47 | |||
| 1.5 | 18 | 115.70 ± 3.40 | 13.83 ± 0.29 | 258.75 ± 5.25 | 1530.87 ± 2.55 |
| Sample | Screen Size (mm) | Alkali | Concentration (%) | Microwave Heating Time (min) | C a (%) | H a (%) | L a (%) |
|---|---|---|---|---|---|---|---|
| Canola straw | 1.6 | 0 | 18 | 63.1 ± 32.0 | 5.5 ± 6.3 | 5.0 ± 0.8 | |
| NaOH | 1.5 | 18 | 59.1 ± 0.5 | 9.4 ± 8.3 | 4.3 ± 1.2 | ||
| 1.5 | 6 | 37.8 ± 3.1 | 7.2 ± 6.5 | 4.7 ± 0.6 | |||
| KOH | 0.75 | 12 | 53.6 ± 9.2 | 10.6 ± 9.2 | 5.8 ± 0.3 | ||
| 1.5 | 6 | 56.9 ± 17.0 | 7.7 ± 9.0 | 4.6 ± 0.5 | |||
| 3.2 | 0 | 18 | 60.0 ± 21.8 | 6.2 ± 5.5 | 5.6 ± 1.0 | ||
| NaOH | 0.75 | 12 | 54.2 ± 2.3 | 6.7 ± 5.8 | 5.1 ± 0.6 | ||
| 0.75 | 6 | 38.2 ± 2.7 | 8.7 ± 7.5 | 5.3 ± 0.3 | |||
| KOH | 0.75 | 12 | 30.8 ± 2.9 | 13.8 ± 13.0 | 5.0 ± 1.6 | ||
| 1.5 | 6 | 63.4 ± 35.0 | 10.3 ± 9.2 | 4.4 ± 0.5 | |||
| Oat hull | 1.6 | 0 | 12 | 36.7 ± 17.0 | 10.5 ± 9.1 | 7.5 ± 1.2 | |
| NaOH | 0.75 | 18 | 42.8 ± 11.3 | 15.6 ± 13.8 | 6.3 ± 1.0 | ||
| 1.5 | 18 | 37.1 ± 8.5 | 14.3 ± 12 .6 | 4.2 ± 1.2 | |||
| KOH | 1.5 | 18 | 56.4 ± 17.9 | 16.0 ± 13.8 | 4.8 ± 0.9 | ||
| 1.5 | 6 | 41.8 ± 14.0 | 12.9 ± 11.5 | 5.7 ± 1.6 | |||
| 3.2 | 0 | 6 | 51.2 ± 19.5 | 11.0 ± 9.6 | 9.2 ± 0.4 | ||
| NaOH | 0.75 | 6 | 22.7 ± 11.0 | 12.9 ± 14.4 | 6.8 ± 2.2 | ||
| 1.5 | 18 | 48.7 ± 8.3 | 14.4 ± 13.3 | 5.1 ± 0.8 | |||
| KOH | 0.75 | 12 | 47.9 ± 18.2 | 16.0 ± 16.0 | 5.4 ± 0.6 | ||
| 1.5 | 18 | 62.6 ± 2.0 | 10.4 ± 18.0 | 6.4 ± 1.3 |
| Sample | Screen Size (mm) | Alkali | Concentration (%) | Microwave Heating Time (min) | Pellets Density a (kg/m3) | Dimensional Stability a (%) | Tensile Strength b (MPa) |
|---|---|---|---|---|---|---|---|
| Untreated canola straw | 1.6 | 1030.87 ± 9.89 | 3.95 ± 1.59 | 0.26 ± 0.09 | |||
| 3.2 | 1060.82 ± 12. 99 | 5.23 ± 0.87 | 0.62 ± 0.27 | ||||
| Canola straw | 1.6 | 0 | 6 | 1066.17 ± 28.38 | 0.51 ± 2.94 | 0.72 ± 0.31 | |
| 0 | 12 | 1037.10 ± 8.95 | 1.43 ± 1.25 | 0.74 ± 0.19 | |||
| 0 | 18 | 1021.65 ± 7.92 | 3.27 ± 0.86 | 0.56 ± 0.15 | |||
| NaOH | 0.75 | 6 | 1286.59 ± 14.34 | 0.05 ± 0.94 | 4.71 ± 0.74 | ||
| 0.75 | 12 | 1309.35 ± 7.15 | 2.21 ± 0.52 | 2.66 ± 0.52 | |||
| 0.75 | 18 | 1248.24 ± 9.12 | 1.13 ± 0.70 | 1.79 ± 0.28 | |||
| 1.5 | 6 | 1319.21 ± 11.09 | 0.76 ± 0.91 | 5.22 ± 1.21 | |||
| 1.5 | 12 | 1327.98 ± 6.72 | 0.78 ± 0.32 | 3.44 ± 1.02 | |||
| 1.5 | 18 | 1370.27 ± 12.62 | 0.79 ± 0.62 | 2.31 ± 0.48 | |||
| KOH | 0.75 | 6 | 1243.01 ± 8.53 | 0.04 ± 0.52 | 2.67 ± 0.41 | ||
| 0.75 | 12 | 1195.28 ± 8.25 | 0.17 ± 0.68 | 1.90 ± 0.34 | |||
| 0.75 | 18 | 1160.16 ± 8.15 | 1.44 ± 0.51 | 0.85 ± 0.30 | |||
| 1.5 | 6 | 1392.21 ± 10.74 | 0.83 ± 0.58 | 3.78 ± 0.62 | |||
| 1.5 | 12 | 1339.64 ± 7.42 | 0.26 ± 0.39 | 2.58 ± 0.37 | |||
| 1.5 | 18 | 1321.01 ± 17.10 | 1.63 ± 2.51 | 2.11 ± 0.47 | |||
| 3.2 | 0 | 6 | 1089.17 ± 19.24 | 0.16 ± 0.64 | 1.19 ± 0.44 | ||
| 0 | 12 | 1086.86 ± 6.86 | 1.23 ± 0.69 | 1.04 ± 0.27 | |||
| 0 | 18 | 1029.82 ± 6.51 | 3.98 ± 0.95 | 0.81 ± 0.40 | |||
| NaOH | 0.75 | 6 | 1324.75 ± 9.68 | 2.60 ± 0.48 | 4.85 ± 0.99 | ||
| 0.75 | 12 | 1283.60 ± 10.08 | 0.33 ± 0.47 | 2.53 ± 0.88 | |||
| 0.75 | 18 | 1277.29 ± 12.02 | 1.85 ± 0.65 | 1.69 ± 0.42 | |||
| 1.5 | 6 | 1351.61 ± 14.86 | 1.66 ± 0.36 | 4.20 ± 1.03 | |||
| 1.5 | 12 | 1345.57 ± 8.66 | 0.17 ± 0.37 | 4.11 ± 1.53 | |||
| 1.5 | 18 | 1388.30 ± 9.61 | 1.18 ± 0.44 | 2.59 ± 0.70 | |||
| KOH | 0.75 | 6 | 1201.33 ± 5.62 | 0.70 ± 0.38 | 2.07 ± 0.55 | ||
| 0.75 | 12 | 1220.50 ± 7.49 | 0.27 ± 0.62 | 1.73 ± 0.35 | |||
| 0.75 | 18 | 1176.32 ± 8.63 | 2.10 ± 0.90 | 1.41 ± 0.39 | |||
| 1.5 | 6 | 1382.62 ± 5.73 | 0.83 ± 0.53 | 5.19 ± 0.60 | |||
| 1.5 | 12 | 1344.09 ± 8.06 | 0.29 ± 0.49 | 3.19 ± 0.90 | |||
| 1.5 | 18 | 1355.93 ± 11.53 | 1.38 ± 0.77 | 2.89 ± 0.70 |
| Sample | Screen Size (mm) | Alkali | Concentration (%) | Microwave Heating Time (min) | Pellets Density a (kg/m3) | Dimensional Stability a (%) | Tensile Strength b (MPa) |
|---|---|---|---|---|---|---|---|
| Untreated oat hull | 1.6 | 1031.23 ± 35.64 | 7.75 ± 3.26 | 0.04 ± 0.03 | |||
| 3.2 | 1087.74 ± 13.16 | 6.14 ± 1.93 | 0.39 ± 0.27 | ||||
| Oat hull | 1.6 | 0 | 6 | 989.14 ± 22.44 | 3.39 ± 1.48 | 0.14 ± 0.14 | |
| 0 | 12 | 1029.53 ± 12.57 | 9.34 ± 1.29 | 0.04 ± 0.02 | |||
| 0 | 18 | 1028.72 ± 15.64 | 5.76 ± 6.05 | 0.30 ± 0.27 | |||
| NaOH | 0.75 | 6 | 1238.12 ± 13.72 | 0.84 ± 0.42 | 1.34 ± 0.42 | ||
| 0.75 | 12 | 1209.12 ± 13.71 | 1.38 ± 0.82 | 1.58 ± 0.75 | |||
| 0.75 | 18 | 1221.99 ± 11.63 | 5.28 ± 1.08 | 1.33 ± 0.91 | |||
| 1.5 | 6 | 1198.89 ± 16.53 | 0.53 ± 1.15 | 1.19 ± 0.64 | |||
| 1.5 | 12 | 1286.52 ± 5.62 | 0.70 ± 0.49 | 1.96 ± 1.51 | |||
| 1.5 | 18 | 1292.59 ± 30.61 | 4.54 ± 1.08 | 3.36 ± 1.63 | |||
| KOH | 0.75 | 6 | 1123.85 ± 9.12 | 0.53 ± 0.67 | 0.57 ± 0.29 | ||
| 0.75 | 12 | 1164.37 ± 9.76 | 0.34 ± 0.73 | 0.82 ± 0.44 | |||
| 0.75 | 18 | 1166.59 ± 17.28 | 4.79 ± 1.22 | 0.73 ± 0.34 | |||
| 1.5 | 6 | 1185.69 ± 24.27 | 1.04 ± 0.84 | 0.63 ± 0.31 | |||
| 1.5 | 12 | 1220.42 ± 8.28 | 1.45 ± 0.65 | 0.83 ± 0.37 | |||
| 1.5 | 18 | 1290.75 ± 18.82 | 3.30 ± 1.60 | 1.43 ± 0.65 | |||
| 3.2 | 0 | 6 | 1045.82 ± 9.10 | 0.44 ± 0.58 | 0.25 ± 0.16 | ||
| 0 | 12 | 1018.03 ± 23.14 | 4.67 ± 1.44 | 0.30 ± 0.26 | |||
| 0 | 18 | 1066.38 ± 11.81 | 11.78 ± 1.88 | 0.45 ± 0.29 | |||
| NaOH | 0.75 | 6 | 1205.73 ± 11.65 | 1.68 ± 0.58 | 1.23 ± 0.68 | ||
| 0.75 | 12 | 1198.83 ± 7.30 | 1.82 ± 0.87 | 1.17 ± 0.71 | |||
| 0.75 | 18 | 1219.29 ± 8.54 | 6.56 ± 0.86 | 1.91 ± 1.37 | |||
| 1.5 | 6 | 1218.86 ± 32.75 | 1.16 ± 2.31 | 1.28 ± 0.54 | |||
| 1.5 | 12 | 1321.34 ± 8.33 | 1.07 ± 0.97 | 2.27 ± 1.67 | |||
| 1.5 | 18 | 1274.09 ± 13.01 | 6.15 ± 0.76 | 2.65 ± 1.18 | |||
| KOH | 0.75 | 6 | 1073.31 ± 7.69 | 1.15 ± 0.75 | 0.46 ± 0.28 | ||
| 0.75 | 12 | 1160.83 ± 8.34 | 6.22 ± 1.38 | 0.87 ± 0.95 | |||
| 0.75 | 18 | 1143.75 ± 8.74 | 7.66 ± 1.12 | 0.90 ± 0.53 | |||
| 1.5 | 6 | 1212.34 ± 6.39 | 0.83 ± 0.67 | 1.00 ± 0.64 | |||
| 1.5 | 12 | 1248.13 ± 9.13 | 3.46 ± 0.69 | 1.08 ± 0.69 | |||
| 1.5 | 18 | 1210.94 ± 21.26 | 5.95 ± 1.18 | 1.17 ± 0.76 |
| Sample | Screen Size (mm) | Alkali | Source of Variation | DF | p-Values | ||
| Pellets’ Density (kg/m3) | Dimensional Stability (%) | Tensile Strength (MPa) | |||||
| Canola straw | 1.6 | NaOH | Model | 5 | 0.005 | 0.138 | 0.020 |
| A—Alkali conc. | 1 | 0.001 | 0.077 | 0.006 | |||
| B—Microwave time | 1 | 0.641 | 0.096 | 0.018 | |||
| AB | 1 | 0.153 | 0.556 | 0.076 | |||
| A2 | 1 | 0.014 | 0.192 | 0.093 | |||
| B2 | 1 | 0.753 | 0.128 | 0.511 | |||
| Residual | 3 | ||||||
| Cor Total | 8 | ||||||
| R-Squared | 0.988 | 0.872 | 0.966 | ||||
| KOH | Model | 5 | 0.000 | 0.020 | 0.024 | ||
| A—Alkali conc. | 1 | <0.0001 | 0.040 | 0.005 | |||
| B—Microwave time | 1 | 0.004 | 0.006 | 0.026 | |||
| AB | 1 | 0.331 | 0.283 | 0.129 | |||
| A2 | 1 | 0.737 | 0.043 | 0.818 | |||
| B2 | 1 | 0.233 | 0.061 | 0.894 | |||
| Residual | 3 | ||||||
| Cor Total | 8 | ||||||
| R-Squared | 0.998 | 0.966 | 0.962 | ||||
| Sample | Screen Size (mm) | Alkali | Source of Variation | DF | p-Values | ||
| Pellets’ Density (kg/m3) | Dimensional Stability (%) | Tensile Strength (MPa) | |||||
| Canola straw | 3.2 | NaOH | Model | 5 | 0.003 | 0.070 | 0.132 |
| A—Alkali conc. | 1 | 0.001 | 0.106 | 0.035 | |||
| B—Microwave time | 1 | 0.289 | 0.013 | 0.094 | |||
| AB | 1 | 0.120 | 0.569 | 0.531 | |||
| A2 | 1 | 0.015 | 0.793 | 0.338 | |||
| B2 | 1 | 0.780 | 0.703 | 0.994 | |||
| Residual | 3 | ||||||
| Cor Total | 8 | ||||||
| R-Squared | 0.990 | 0.921 | 0.876 | ||||
| KOH | Model | 5 | 0.004 | 0.056 | 0.018 | ||
| A—Alkali conc. | 1 | 0.001 | 0.052 | 0.004 | |||
| B—Microwave time | 1 | 0.131 | 0.015 | 0.042 | |||
| AB | 1 | 0.511 | 0.220 | 0.097 | |||
| A2 | 1 | 0.395 | 0.775 | 0.105 | |||
| B2 | 1 | 0.520 | 0.171 | 0.408 | |||
| Residual | 3 | ||||||
| Cor Total | 8 | ||||||
| R-Squared | 0.989 | 0.932 | 0.970 | ||||
| Sample | Screen Size (mm) | Alkali | Source of Variation | DF | p-Values | ||
| Pellets’ Density (kg/m3) | Dimensional Stability (%) | Tensile Strength (MPa) | |||||
| Oat hull | 1.6 | NaOH | Model | 5 | 0.019 | 0.352 | 0.054 |
| A—Alkali conc. | 1 | 0.003 | 0.145 | 0.011 | |||
| B—Microwave time | 1 | 0.262 | 0.179 | 0.119 | |||
| AB | 1 | 0.492 | 0.699 | 0.105 | |||
| A2 | 1 | 0.040 | 0.327 | 0.475 | |||
| B2 | 1 | 0.621 | 0.833 | 0.805 | |||
| Residual | 3 | ||||||
| Cor Total | 8 | ||||||
| R-Squared | 0.967 | 0.739 | 0.934 | ||||
| KOH | Model | 5 | 0.004 | 0.257 | 0.053 | ||
| A—Alkali conc. | 1 | 0.001 | 0.096 | 0.011 | |||
| B—Microwave time | 1 | 0.022 | 0.146 | 0.080 | |||
| AB | 1 | 0.158 | 0.722 | 0.165 | |||
| A2 | 1 | 0.113 | 0.272 | 0.326 | |||
| B2 | 1 | 0.595 | 0.658 | 0.611 | |||
| Residual | 3 | ||||||
| Cor Total | 8 | ||||||
| R-Squared | 0.989 | 0.796 | 0.936 | ||||
| Sample | Screen Size (mm) | Alkali | Source of Variation | DF | p-Values | ||
| Pellets’ Density (kg/m3) | Dimensional Stability (%) | Tensile Strength (MPa) | |||||
| Oat hull | 3.2 | NaOH | Model | 5 | 0.041 | 0.002 | 0.017 |
| A—Alkali conc. | 1 | 0.006 | 0.006 | 0.003 | |||
| B—Microwave time | 1 | 0.434 | 0.000 | 0.034 | |||
| AB | 1 | 0.697 | 0.024 | 0.103 | |||
| A2 | 1 | 0.175 | 0.038 | 0.246 | |||
| B2 | 1 | 0.805 | 0.088 | 0.784 | |||
| Residual | 3 | ||||||
| Cor Total | 8 | ||||||
| R-Squared | 0.945 | 0.994 | 0.970 | ||||
| KOH | Model | 5 | 0.070 | 0.029 | 0.032 | ||
| A—Alkali conc. | 1 | 0.010 | 0.116 | 0.005 | |||
| B—Microwave time | 1 | 0.407 | 0.005 | 0.074 | |||
| AB | 1 | 0.792 | 0.144 | 0.941 | |||
| A2 | 1 | 0.795 | 0.420 | 0.668 | |||
| B2 | 1 | 0.574 | 0.600 | 0.705 | |||
| Residual | 3 | ||||||
| Cor Total | 8 | ||||||
| R-Squared | 0.922 | 0.957 | 0.955 | ||||
| Sample | Screen Size (mm) | Alkali | Concentration (%) | Microwave Heating Time (min) | Cellulose in Substrate a (%) | Average A540 Mean Value a (mg glc.) | Average Glucose a (mg/g) | Average Glucose Digestion Percentage a (%) |
|---|---|---|---|---|---|---|---|---|
| Canola straw | 1.6 | 0 | 18 | 63.1 ± 32.0 | 0.574 ± 0.08 | 42.25 ± 5.99 | 6.70 ± 0.95 | |
| NaOH | 1.5 | 6 | 37.8 ± 3.1 | 0.128 ± 0.04 | 9.45 ± 2.93 | 2.50 ± 0.78 | ||
| 1.5 | 18 | 59.1 ± 0.5 | 1.494 ± 0.12 | 110.05 ± 9.10 | 18.62 ± 1.54 | |||
| KOH | 0.75 | 12 | 53.6 ± 9.2 | 0.338 ± 0.23 | 24.92 ± 16. 61 | 4.65 ± 3.10 | ||
| 1.5 | 6 | 56.9 ± 17.0 | 0.725 ± 0.08 | 53.42 ± 6.07 | 9.39 ± 1.07 | |||
| 3.2 | 0 | 18 | 60.0 ± 21.8 | 0.662 ± 0.16 | 48.75 ± 11.99 | 8.13 ± 2.00 | ||
| NaOH | 0.75 | 6 | 38.2 ± 8.7 | 0.757 ± 0.14 | 55.78 ± 10.25 | 14.60 ± 2.68 | ||
| 0.75 | 12 | 54.2 ± 2.3 | 0.482 ± 0.30 | 35.47 ± 22.37 | 6.54 ± 4.13 | |||
| KOH | 0.75 | 12 | 30.8 ± 2.9 | 0.434 ± 0.08 | 31.96 ± 6.10 | 10.38 ± 1.98 | ||
| 1.5 | 6 | 63.4 ± 35.0 | 1.314 ± 0.21 | 96.77 ± 15.31 | 15.26 ± 2.41 | |||
| Oat hull | 1.6 | 0 | 12 | 36.7 ± 17.0 | 0.086 ± 0.02 | 6.33 ± 1.36 | 1.73 ± 0.37 | |
| NaOH | 0.75 | 18 | 42.8 ± 11.8 | 1.346 ± 0.07 | 99.10 ± 4.79 | 23.16 ± 1.12 | ||
| 1.5 | 18 | 37.1 ± 8.5 | 0.031 ± 0.01 | 2.26 ± 0.70 | 0.61 ± 0.19 | |||
| KOH | 1.5 | 6 | 41.8 ± 14.0 | 1.324 ± 0.15 | 97.53 ± 11.32 | 23.33 ± 2.71 | ||
| 1.5 | 18 | 56.4 ± 17.9 | 1.149 ± 0.38 | 84.64 ± 27.27 | 15.01 ± 4.96 | |||
| 3.2 | 0 | 6 | 51.2 ± 19.5 | 0.073 ± 0.01 | 5.38 ± 0.51 | 1.05 ± 0.10 | ||
| NaOH | 0.75 | 6 | 22.7 ± 11.0 | 0.981 ± 0.11 | 72.22 ± 7.98 | 31.82 ± 3.52 | ||
| 1.5 | 18 | 48.7 ± 8.3 | 0.032 ± 0.01 | 2.38 ± 0.47 | 0.49 ± 0.10 | |||
| KOH | 0.75 | 12 | 47.9 ± 18.2 | 0.452 ± 0.03 | 33.26 ± 2.51 | 6.94 ± 0.52 | ||
| 1.5 | 18 | 62.6 ± 2.0 | 1.152 ± 0.29 | 84.87 ± 21.25 | 13.56 ± 3.39 |
| Variable | Goal | Level of Importance |
|---|---|---|
| Independent | ||
| Alkali concentration (%) | In range (0 to 1.5) | |
| MW heating time (min) | In range (6 to 18) | |
| Dependent | ||
| Pellet density (kg/m−3) | Maximize | 3 |
| Dimensional stability (%) | Minimize | 2 |
| Tensile strength (MPa) | Maximize | 1 |
| Sample | Screen Size (mm) | Alkali | Concentration (%) | Microwave Heating Time (min) | Pellets’ Density (kg/m3) | Dimensional Stability (%) | Tensile Strength (MPa) | Desirability |
|---|---|---|---|---|---|---|---|---|
| Canola straw | 1.6 | NaOH | 1.28 | 6.93 | 1330.99 | 1.02 | 4.93 | 0.867 |
| 3.2 | 1.48 | 6 | 1352.12 | 2.02 | 4.79 | 0.931 | ||
| 3.2 | KOH | 1.5 | 6 | 1367.46 | 0.46 | 4.86 | 0.937 | |
| 1.6 | 1.5 | 6.28 | 1391.20 | 0.19 | 3.75 | 0.963 | ||
| Oat hull | 1.6 | NaOH | 1.38 | 14.72 | 1285.22 | 1.79 | 2.41 | 0.789 |
| 3.2 | 1.5 | 13.66 | 1282.49 | 2.36 | 2.20 | 0.796 | ||
| 1.6 | KOH | 1.49 | 18 | 1276.29 | 3.40 | 1.33 | 0.797 | |
| 3.2 | 1.5 | 9.01 | 1226.16 | 1.66 | 1.03 | 0.851 |
© 2017 by the authors. Licensee MDPI, Basel, Switzerland. This article is an open access article distributed under the terms and conditions of the Creative Commons Attribution (CC BY) license (http://creativecommons.org/licenses/by/4.0/).
Share and Cite
Agu, O.S.; Tabil, L.G.; Dumonceaux, T. Microwave-Assisted Alkali Pre-Treatment, Densification and Enzymatic Saccharification of Canola Straw and Oat Hull. Bioengineering 2017, 4, 25. https://doi.org/10.3390/bioengineering4020025
Agu OS, Tabil LG, Dumonceaux T. Microwave-Assisted Alkali Pre-Treatment, Densification and Enzymatic Saccharification of Canola Straw and Oat Hull. Bioengineering. 2017; 4(2):25. https://doi.org/10.3390/bioengineering4020025
Chicago/Turabian StyleAgu, Obiora S., Lope G. Tabil, and Tim Dumonceaux. 2017. "Microwave-Assisted Alkali Pre-Treatment, Densification and Enzymatic Saccharification of Canola Straw and Oat Hull" Bioengineering 4, no. 2: 25. https://doi.org/10.3390/bioengineering4020025
APA StyleAgu, O. S., Tabil, L. G., & Dumonceaux, T. (2017). Microwave-Assisted Alkali Pre-Treatment, Densification and Enzymatic Saccharification of Canola Straw and Oat Hull. Bioengineering, 4(2), 25. https://doi.org/10.3390/bioengineering4020025

