Next Article in Journal
When Intuition Meets the Algorithm: Medico-Legal Implications of Artificial Intelligence-Driven Decision-Making in Orthopedics
Next Article in Special Issue
Benchmarking Large Language Models on the Taiwan Neurology Board Examinations (2018–2024): A Comparative Evaluation of GPT-4o, GPT-o1, DeepSeek-V3, and DeepSeek-R1
Previous Article in Journal
Integrating Fine-Tuning and Retrieval-Augmented Generation for Healthcare AI Systems: A Scoping Review
 
 
Font Type:
Arial Georgia Verdana
Font Size:
Aa Aa Aa
Line Spacing:
Column Width:
Background:
Article

Interpretable Machine Learning Identifies Key Inflammatory and Morphological Drivers of Intracranial Aneurysm Rupture Risk

by
Epameinondas Ntzanis
1,
Nikolaos Papandrianos
2,
Petros Zampakis
3,
Vasilios Panagiotopoulos
4,
Constantinos Koutsojannis
5,
Christina Kalogeropoulou
1 and
Elpiniki I. Papageorgiou
2,*
1
Department of Radiology, University of Patras, 26504 Patras, Greece
2
Department of Energy Systems, School of Technology, University of Thessaly, Gaiopolis Campus, 41500 Larisa, Greece
3
Department of Interventional Neuroradiology/Endovascular Neurosurgery, University Hospital of Patras, 26500 Patras, Greece
4
Department of Neurosurgery, University Hospital of Patras, 26500 Patras, Greece
5
Laboratory of Health Physics & Computational Intelligence, Department of Physiotherapy, School of Rehabilitations Sciences, University of Patras, 26500 Patras, Greece
*
Author to whom correspondence should be addressed.
Bioengineering 2026, 13(2), 226; https://doi.org/10.3390/bioengineering13020226
Submission received: 31 December 2025 / Revised: 29 January 2026 / Accepted: 11 February 2026 / Published: 15 February 2026
(This article belongs to the Special Issue Artificial Intelligence (AI) in Bioengineering)

Abstract

Traditional statistical approaches identify group-level associations between biomarkers and rupture status in intracranial aneurysms (IAs) but often miss nonlinear interactions at the patient level. Methods: The authors retrospectively analyzed 35 saccular IAs in 35 patients (57.1% ruptured) from a single center (2021–2023). Demographics, detailed morphology (e.g., neck width, aspect ratio, VERTI, irregular shape), and multi-site inflammatory/immune markers (CRP; complement C3/C4; IgA/IgG/IgM) were included. After preprocessing (min–max scaling; one-hot encoding), five algorithms (DT, AdaBoost, GBM, XGBoost, RF) were evaluated with stratified five-fold CV and class balancing via random oversampling. The primary model (Random Forest) was tuned with Optuna and explained using global feature importance and LIME. The results showed that baseline RF achieved CV ROC-AUC 0.81 and test ROC-AUC 0.92 (test accuracy 0.857). The tuned RF (with oversampling and Optuna) yielded a mean CV accuracy of 0.85 ± 0.09 and CV ROC-AUC of 0.98 ± 0.07 while maintaining test ROC-AUC of 0.92. The average precision on the test PR curve was 0.97. The most influential predictors combined inflammatory markers (CRP, C3, C4) with morphology (neck width, irregular shape). LIME revealed consistent local patterns: low A.CRP/C.CRP and lower C3/C4 favored Not-Broken, whereas higher CRP/complement with smaller neck and irregular shape pushed toward Broken classifications. It can be concluded that an interpretable machine learning (ML) pipeline captured clinically plausible, nonlinear interactions between inflammation and aneurysm geometry. Integrating explainable ML with conventional statistics may enhance rupture risk stratification, enable patient-level rationale, and inform personalized management. These results could significantly contribute to the quality of treatment for patients with intracranial aneurysms.

1. Introduction

Many people with intracranial aneurysms (IAs), a common cerebrovascular disorder that affects 2–5% of the general population, do not exhibit any symptoms until they rupture [1]. SAH (subarachnoid hemorrhage), a catastrophic event with a mortality rate ranging from 25% to 50%, is caused when unruptured intracranial aneurysms (UIAs) rupture. According to studies, almost half of the survivors experience severe disability after SAH [2]. Due to its prevalence in middle-aged people, SAH contributes significantly to the socioeconomic burden and frequently results in a loss of years of productive life [3]. Many studies have dealt with the development of growth and rupture of UIAs. These studies aim to evaluate the rupture probability and direct decision-making, guaranteeing that high-risk patients receive prompt intervention while avoiding needless procedures for those with low risk [4]. The latest studies are focusing on inflammatory mediators and complement system components that have been found in aneurysm walls and luminal blood, suggesting persistent vascular inflammation [5]. Inflammatory processes weaken the arterial wall of UIAs and increase their vulnerability to rupture by causing endothelial dysfunction, extracellular matrix degradation, and vascular remodeling [6]. Their results demonstrate the importance of inflammation as a therapeutic target in the management of UIAs and research into anti-inflammatory techniques to slow their progression and reduce the risk of rupture [7].
On the other hand, machine learning (ML) has become a potent tool for determining the rupture risk of intracranial aneurysms [8]. While traditional rupture risk assessment techniques depend on predetermined criteria like aneurysm size and location, ML can spot subtle patterns that traditional analysis might miss [9]. Recent research has shown that by utilizing morphologic characteristics like size ratio, aspect ratio, and wall shear stress, ML models such as Random Forest, support vector machines, and neural networks achieve high accuracy in identifying ruptured and unruptured aneurysms [8,10]). Despite their promise, a key challenge remains in ensuring the interpretability of these models for clinical application. Methods such as SHapley Additive exPlanations (SHAP) and Local Interpretable Model-agnostic Explanations (LIME) have been employed to provide insight into feature importance, fostering greater clinician trust in ML-based predictions [11].
Several studies [5,6,7,12,13] examined how inflammatory markers relate to the rupture of intracranial aneurysms. With the use of ML algorithms, we will try to identify connections between inflammatory markers and aneurysms’ morphological characteristics, trying to bridge the gap between the central role of inflammatory mediators and complement system components that have been found in the aneurysm wall and luminal blood, and how these immune signals interact with aneurysm geometry to influence rupture in patient-level data. In order to support clinical decision-making and enhance risk stratification for unruptured aneurysms, we aim to provide interpretable insights into ML predictions. This could facilitate clinical decision-making and enhance risk stratification for patients with UIAs.
This study aims to determine whether an explainable ML model that jointly leverages multi-site inflammatory biomarkers measured in the aneurysm sac, parent artery, and peripheral vein, and detailed aneurysm morphology, can accurately classify rupture status while providing case-level rationales suitable for clinical interpretation. A secondary aim is to explore how inflammatory activity interacts with structural features to illuminate mechanisms that may underlie aneurysm instability. Our contributions are threefold: (i) we demonstrate an ML model that achieves high performance on a small, clinically realistic cohort; (ii) we provide transparent, case-level explanations linking elevated CRP/complement activity with specific geometric patterns (e.g., narrow neck, irregular shape); and (iii) we position an interpretable ML model as a complementary tool to statistical analysis to support clinical decision-making and enhance risk stratification for patients with UIAs.

Related Work

Machine-learning (ML) approaches have been increasingly applied to aneurysm rupture assessment, generally leveraging morphological and hemodynamic descriptors with model-agnostic explainability. Interpretable pipelines using feature attribution (e.g., SHAP/LIME) show that ML can align with established domain knowledge and highlight geometry-linked risk factors, while outperforming or complementing conventional scores in many cohorts [11,14,15,16]. Several studies on multidimensional data (clinical + morphology ± hemodynamics) report that models such as Random Forests and gradient methods provide competitive discrimination and case-level rationales suitable for clinical discussion [15,17,18]. A large body of work has therefore focused on imaging-derived predictors of rupture, particularly aneurysm morphology.
Inflammation is a recognized contributor to aneurysm pathobiology, and numerous works link circulating or tissue-level markers, particularly C-reactive protein (CRP) and complement components, to aneurysm presence, behavior, or outcomes [13,19,20,21]. Recent translational studies (including proteomic analyses) reinforce inflammatory signatures in intracranial aneurysms, while Mendelian Randomization (MR) analysis connects cytokine/CRP signals to formation and rupture pathways [13,20,21]. Despite this, most ML-based rupture models have not jointly incorporated multi-site inflammatory biomarkers (e.g., systemic, parent-artery, and intraluminal sampling) alongside morphology with explicit per-patient explanations, an integration our study advances.
Against this background, our work contributes to the literature in two ways. First, we integrate multi-site inflammatory biomarker measurements (CRP/C3/C4 and immunoglobulins)—obtained from systemic circulation, parent-artery samples, and intraluminal/aneurysm-sac samples—together with established morphological descriptors, aiming to capture nonlinear relationships and cross-domain interactions between compartment-specific inflammatory biomarkers and aneurysm morphology that are not readily represented by additive linear models or by analyses restricted to a single data modality (e.g., morphology alone or blood biomarkers alone). Second, we emphasize patient-level explainability by combining cohort-level summaries (global feature importance) with case-level explanations (LIME) to support clinically interpretable reasoning about why a specific aneurysm is predicted as ruptured or unruptured, including analysis of misclassified cases in the held-out test set. By positioning explainability as a bridge between model outputs and observable patient feature patterns, our approach is intended as a clinically oriented, interpretable ML framework for rupture risk assessment in a setting where multi-site biomarker acquisition is feasible, but cohort sizes are necessarily limited.

2. Materials and Methods

2.1. Patient Population

This retrospective study is based on a prospective study conducted between February 2021 and April 2023, in the neurosurgery department, University of Patras, Greece, on patients diagnosed with intracranial aneurysm (IA). With endovascular therapy, the researchers were possible to safely take a blood sample from both the carotid artery and the inside of the aneurysm sac at the same time without interfering with the regular surgical procedure or subjecting the patients to needless surgical procedures. Every patient who signed up for our study is an adult (over the age of 18) with a comparable BMI, co-morbidities, and smoking history. Malnourished patients and those with a history of cancer, autoimmune or inflammatory disorders, liver or kidney disorders, or malnutrition were excluded. Patients receiving immunosuppressive or corticosteroid therapy for a particular illness are similarly affected. The results may be impacted by these drugs and medical conditions due to the immune system disorders they cause. The aneurysms inside the brain were all saccular because this morphology is much more common, and it also made it possible to distinguish between samples taken from the parent artery and those taken from inside the aneurysmal sac [5].
All our patients underwent intracranial CTA’s, which were performed on a CANON Aquilion Prime 160 CT scanner (former TOSHIBA) and were processed in the Vitrea Server station before the endovascular therapy and surgical procedure. The protocol began with a non-contrast brain CT, followed by a contrast-enhanced CTA scan triggered by a bolus-tracking technique. A dose of 60–80 mL of iodinated contrast agent was administered at 4 mL/s, tailored to the patient’s cardiac status, using standard acquisition parameters. Out of 36 patients, one was excluded due to insufficient data from brain CTA’s, leaving 35 participants in our retrospective study. Thus, in addition to the original prospective study, our dataset includes morphological characteristics and measurements of the aneurysms obtained from brain CTA’s and had processed in the Vitrea Server station (Figure 1 and Figure 2).
Scientific Review Board and Ethics Committees approved the study, which was carried out in compliance with ethical standards (Re: 37–14/01/2021). The hospital conducted medical research involving human subjects in accordance with the Declaration of Helsinki’s ethical guidelines [5].

2.2. Features

The whole dataset comprises clinical and biochemical data from patients with IAs. Key demographic features include sex (SEX) and age (AGE). Anatomical attributes focus on aneurysm location (LOCI), maximum dimension (MD), aspect ratio (AR), neck size (NECK), and vertical distance neck to aneurysm dome (VERTI). Additional morphological characteristics include the presence of blebs (BLEB) and irregular shape (IR.SH). The average age of the patients was 57.1 ± 12.5 years, with women comprising 60% (21 patients) of the group. The mean aneurysm size measured 7.8 ± 4.5 mm. Based on rupture status, the patients were categorized into two groups: 15 had an unruptured intracranial aneurysm (uIA), while 20 had a ruptured intracranial aneurysm (rIA). The additional features are presented in Table 1.
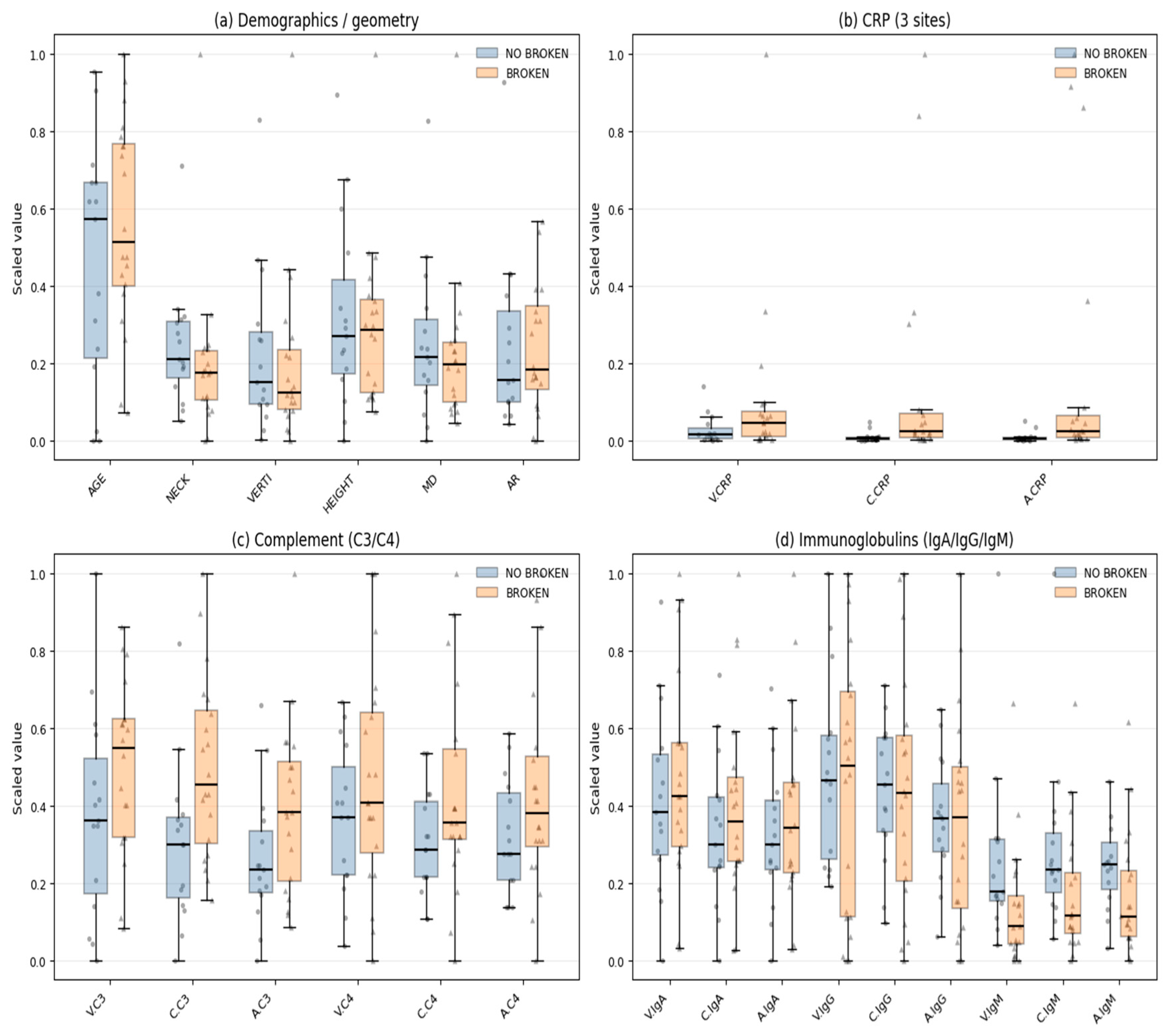
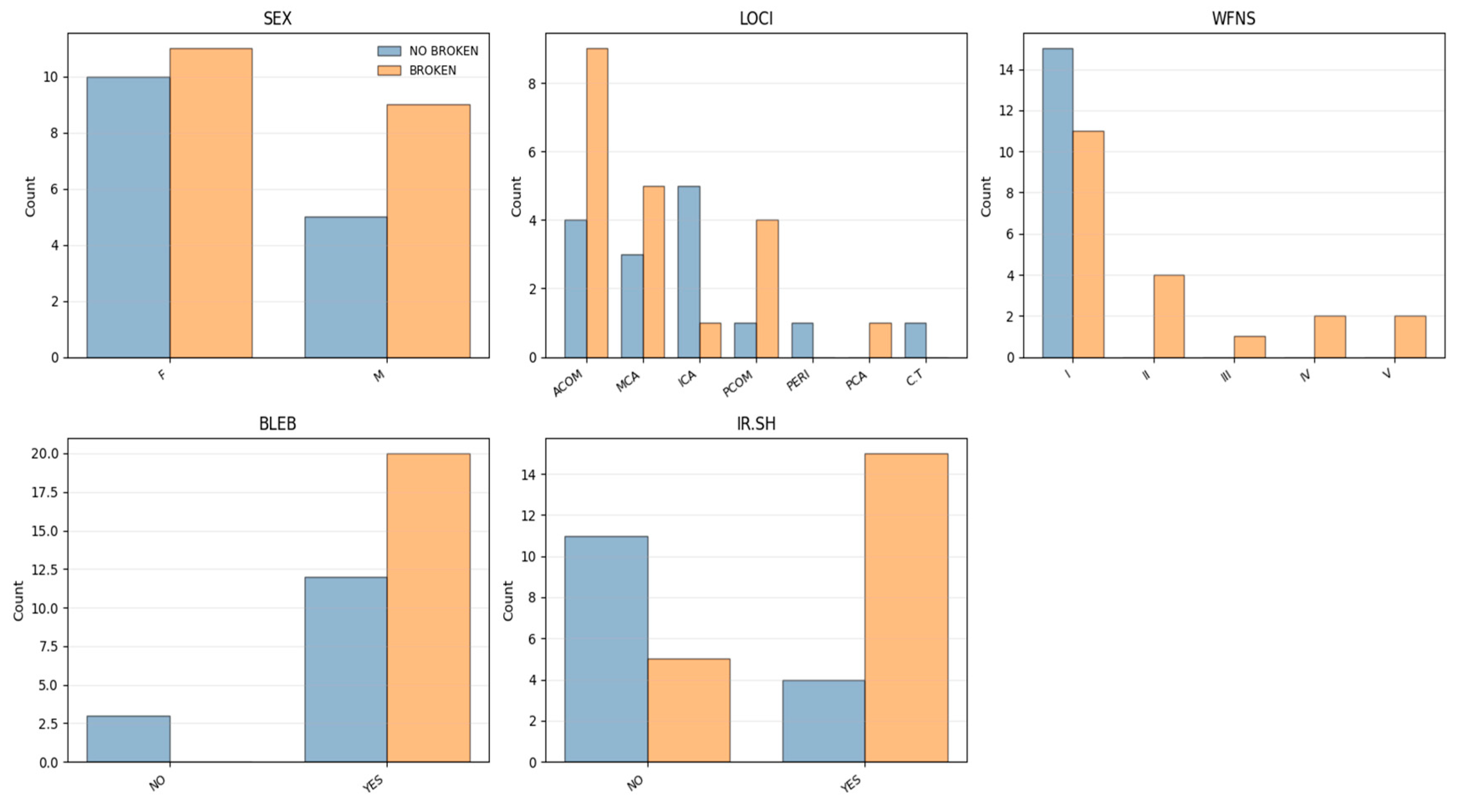
The WFNS (World Federation of Neurosurgical Societies) scale is also present, potentially indicating clinical severity. Biochemical data, such as inflammatory and immune-related markers, were measured at different vascular locations, such as the vein, aneurysm sac, and the carotid artery. These markers include CRP (C-reactive protein), complement proteins C3 and C4, and immunoglobulins IgG, IgA, and IgM. Hereafter, they will be referred to in the text as: V.CRP = Vein CRP, C.CRP = Carotid CRP, A.CRP = Aneurysm sac CRP. Likewise, complement proteins C3 and C4, and immunoglobulins IgG, IgA, and IgM. The event of rupture (Broken) serves as a key outcome variable, distinguishing between ruptured and unruptured aneurysms. The dataset features’ distribution is shown in Figure 3 and Figure 4.

2.3. Features Engineering

Each feature used in a machine learning algorithm must contribute equally to the final prediction. However, the features differ in range and unit, hence affecting their importance into a ML algorithm. Feature engineering or feature scaling is a preprocessing step that involves transforming numerical values of the features to a common scale. That preprocessing is aiming to normalize the range, distribution, and magnitude of features, reducing potential biases and inconsistencies, ensuring accurate and efficient model training and performance. Common techniques include standardization and normalization [22]. Min–max normalization for numerical features was chosen for this study to scale the values of a feature to a range between 0 and 1.
Additional preprocessing techniques are needed to convert categorical variables because most machine learning models only accept numerical variables [23]. One-hot encoding, a method for converting categorical variables into a binary format, was chosen for this study. It creates new binary columns (0 and 1) for each category in the original variable. Each category in the original column is represented as a separate column, where a value of 1 indicates the presence of that category, and 0 indicates its absence. Using the command drop_first = True, every column of categorical variables is represented as follows: BROKEN_YES (TRUE, FALSE), IR.SH_YES (TRUE, FALSE) etc.
Removing redundant and unnecessary features from a dataset is crucial for ML algorithm performance. With the help of feature selection techniques, we can choose pertinent features, lower dimensionality, use less data for learning, increase predictive accuracy, and improve the built model’s overall performance. Feature selection plays a significant role in identifying irrelevant and redundant features from a dataset [24]. There are several types of feature selection techniques, such as filter methods, wrapper methods, embedded methods, etc. For this study and from Embedded methods, Tree-based feature selection with Random Forest was executed to whole dataset before testing and choosing the best model. This method helped us to find which features are more important (Figure 5).
After examining feature importances (Figure 5) and distribution features by class (Figure 1), we removed the features with little or no importance, such as ‘AGE’, ‘WFNS’, ‘LOCI’, and ‘BLEB’. Although it is middle-ranked, the AGE feature distribution by rupture status (Figure 1) shows significant overlap between classes and adds redundancy rather than new information. The WFNS (World Federation of Neurological Surgeons Scale) is used clinically to assess patients after rupture has occurred, meaning it does not help predict rupture but rather describes its impact. If WFNS is included, we could introduce data leakage. The feature importance plot shows different locations (LOCI) individually ranked low, meaning the location does not contribute much to the prediction. The BLEB feature has a very low importance score, suggesting that its presence does not strongly differentiate ruptured from unruptured aneurysms. Feature retention/removal was guided by (i) embedded RF feature importance, (ii) inspection of class-wise distributions, and (iii) clinical plausibility and leakage risk. Variables with negligible contribution and/or post-rupture clinical meaning (e.g., WFNS) were removed to reduce redundancy and prevent leakage. By contrast, we retained V.C4 and V.IgA because they are biologically meaningful components of the systemic complement and humoral immune response panels and were not considered redundant in the multi-site inflammatory profiling framework used in this study.

2.4. ML Algorithms

The methodology for this research involved the implementation of five different machine learning algorithms to create five corresponding models. The selected algorithms were Decision Tree, Adaptive Boosting (AdaBoost), Gradient Boosting Machine (GBM), Extreme Gradient Boosting (XGBoost), and Random Forest. This selection is justified by their extensive use within the research community and their documented success in various medical domains, such as automated medical diagnosis, brain cancer analysis, and the diagnosis of conditions like acute bronchiolitis, breast cancer, diabetes, hypertension, Primary Hyperparathyroidism, and Alzheimer’s disease [25,26,27,28,29,30].
One non-parametric supervised learning algorithm that is used for both regression and classification problems is the decision tree (DT). Branches, internal nodes, leaf nodes, and a root node make up its hierarchical tree structure. It is a popular tool for medical researchers who want to find and take advantage of patterns and relationships among a lot of variables, and predict the cause of a disease [26,31].
In 1997, Freund and Schapire presented the AdaBoost (Adaptive Boosting) machine learning algorithm, which is based on the idea of boosting, a well-known ensemble learning technique that attempts to increase classification accuracy by combining several weak classifiers into a strong classifier. Using the same training set, the algorithm iteratively trains various weak learning algorithms before combining these weak learners to create a more potent final classifier. An ensemble classifier that is stronger and more efficient than any single classifier is produced by successively training weak classifiers. The diagnosis of diabetes, hypertension, Alzheimer’s disease, and several types of cancer are examples of its clinical applications [27,32].
GBM (Gradient Boosting Machine) is a method that builds a predictive model as a stage-wise additive ensemble of weak learners, most often small decision trees, by minimizing a chosen loss function via gradient descent in function space. Jerome H. Friedman introduced Gradient Boosting Machines in his 2001 paper, “Greedy Function Approximation: A Gradient Boosting Machine [33].”
Praised for its speed and scalability with large datasets, XGBoost (Extreme Gradient Boosting) is a powerful supervised learning algorithm. Its core mechanism follows the gradient boosting principle: it builds a strong predictive model by sequentially adding weak decision trees, each one trained to correct the mistakes of the current ensemble. This optimized implementation, originally created by Tianqi Chen from the University of Washington, delivers this advanced functionality with remarkable computational efficiency [34].
Random Forest (RF) is an ensemble algorithm that aggregates the predictions of multiple decision trees to produce an outcome and to enhance predictive accuracy. Both regression and classification issues can be handled by it. The output of regression tasks is the average of all the trees’ predictions, while in classification tasks, the final prediction is decided by a majority vote among the trees that it generates. Even though individual trees can make mistakes, their collective choices reduce errors and produce predictions that are more solid and trustworthy [35].

2.5. Oversampling and Optuna Study

Dataset imbalance is a common problem in classification tasks. Artificially increasing the instances of a minority class helps to offset its underrepresentation. This technique is called oversampling and is essential for the creation of models where the minority class is crucial, like in medical diagnostics. Random oversampling [36], SMOTE [37] and ADASYN [38] are three well-known techniques that were used and assessed using the dataset. Random oversampling was tested and was found to be the most effective technique for optimizing model performance in this specific dataset.
One of the easiest and most popular oversampling techniques is random oversampling. To balance the classes, it entails randomly reproducing instances of the minority class until it hits a predetermined threshold. Despite its drawbacks and propensity for overfitting, random oversampling is an easy and efficient method for dealing with unbalanced datasets [36]. Random oversampling, for instance, has been used to boost the precision of credit card fraud detection models, forecast early Alzheimer’s disease symptoms, and forecast subject depression [25].
Optuna study is a novel and open-source tool for automatic hyperparameter search and optimization that can be used with any machine learning algorithm. Its core strength is a collection of potent features: it uses cutting-edge sampling and pruning algorithms to effectively search the space, and its architecture is scalable, allowing for parallelization and integration with cloud backends such as Kubernetes. Moreover, Optuna improves usability with a small code footprint and add-on tools like the Optuna Hub, which provides access to a library of community-contributed features, and the Optuna Dashboard, which analyzes experiments [39]. In Figure 6, the study’s comprehensive methodology and all of its phases are displayed.

2.6. Evaluation Metrics

Accuracy has been regarded as the most significant metric in many studies, and is the proportion of correct predictions ( T P + T N ) / ( T P + T N + F P + F N ) . Here, TP denotes true positives, TN true negatives, FP false positives, and FN false negatives. While intuitive, it can be misleading with class imbalance: a classifier that always predicts the majority class may score high accuracy yet fail to detect the minority class. Accuracy is also threshold-bound and does not reflect how well scores rank positives above negatives [40]. In our dataset, one class is more common than the other; the prediction model could be trained to accurately predict the prevalent class while making poor predictions for the unusual. So, the model’s overall accuracy does not fairly represent this flaw.
On the other hand, the receiver operating characteristic (ROC) curve, sensitivity, specificity, and confusion matrix are typically the most crucial metrics when working with imbalanced datasets. These metrics could lead to a lower overall accuracy when using oversampling techniques. However, they do produce a more broadly trained estimator that is ultimately better suited to classify all instances rather than just the most common class [25].
ROC–AUC. The ROC curve plots true-positive rate (TPR) versus false-positive rate (FPR) across all thresholds. AUC equals the probability that a randomly chosen positive receives a higher score than a randomly chosen negative, thus evaluating ranking performance independently of any threshold and of monotonic score transforms [41]. ROC–AUC is relatively insensitive to prevalence shifts, which aids fair comparison across experiments. However, with extreme imbalance, it can look optimistic, so it is best paired with class-aware metrics or PR analysis [42,43,44,45]. For our model evaluation, ROC–AUC is attractive because (a) it is threshold-independent, summarizing separability over all cutoffs; (b) it is relatively robust to prevalence, enabling comparisons across folds; and (c) it has a clear probabilistic interpretation as pairwise ranking of positives above negatives [40,41,42,43,44,45]. Thus, we report ROC–AUC as the primary selection metric and accompany it with sensitivity/specificity at clinically/operationally relevant thresholds, plus PR curves for completeness [42,43,44].
Much like the ROC curve, another curve is used for the evaluation of classification algorithms. The precision–recall curve shows how precision and recall are balanced at different thresholds, rather than a single value (e.g., accuracy, f − 1 score, etc.). Higher recall and precision levels are indicated by a larger area beneath the curve. While high recall is attained by limiting the occurrence of false negatives within the pertinent outcomes, high precision is found by minimizing the number of false positives among the results. High scores in both metrics show that the classifier is successfully producing accurate results [42,44,45].
Sensitivity and Specificity. Sensitivity (recall, TPR) is T P / ( T P + F N ) , capturing how many true positives are found. Specificity (precision, TNR) is T N / ( T N + F P ) , capturing how many true negatives are correctly rejected. A model’s performance can be assessed using two crucial metrics: specificity and sensitivity. This is particularly true for classification scenarios that involve two classes altogether and can reveal how well the model distinguishes between the first and the second class [25,40,45].
Confusion matrix. The confusion matrix tabulates TP, TN, FP, FN, and underlies most discrete metrics: accuracy, precision/recall, and specificity. It both summarizes and visualizes how well a model distinguishes classes. When dealing with binary classification problems like the one in this work, a special case of a 2 by 2 confusion matrix is frequently used and it is formed by the TP, TN, FP, and FN fields [25]. A confusion matrix of this kind looks like this in Table 2:
Another technique called OOF (out-of-fold) validation is used to ensure the evaluation and performance of our model. This method entails splitting a dataset into folds or subsets. After that, one validation set is created for each fold, and the remaining folds are used for training. By repeating this procedure, metrics such as accuracy or error rates are used to evaluate the model’s performance. The sum of the outcomes from every validation run offers a thorough assessment of the model’s data generalization capabilities. This validation technique plays a role in the detection of overfitting, for optimization model hyperparameters, for the identification of base models for ensemble learning, and finally ensures the reliability and accuracy of machine learning models in real-world scenarios [46].

2.7. Results Explanation

The explanation of the machine learning algorithm is the next step of our study. An interpretable machine learning algorithm is one where the relationship between the input features and the model’s predictions is clear and understandable to humans [47]. Explainable AI seeks to unravel the “black box” nature of many predictive models. It is crucial, especially in medicine, where trust and compliance require explainability. Without it, ML systems may be seen as unreliable and fail to meet regulatory standards [25].
Interpretability can be divided into ‘Global’ and ‘Local’. Global interpretation is about understanding the model’s decisions, as it gives us a holistic view of its features. That helps to understand the distribution of the target outcome based on the input features [48]. A second key requirement is Local fidelity. Explanations must faithfully reflect how the model behaves near the instance being explained, even if they are not globally faithful; global importance can diverge from local importance, and producing globally faithful yet interpretable summaries for complex models remains difficult. Because many state-of-the-art classifiers are opaque, explainers should be model-agnostic, treating the predictor as a black box to ensure broad applicability now and in the future [49].
In order to explain the selected black-box machine learning prediction model, this study takes matter two primary analytical techniques: Random Forest feature importance and LIME. The feature importance in Random Forest (Global interpretation) can be determined using a metric called Gini importance. It measures the total reduction in the Gini impurity of the dataset when a particular feature is used for splitting. The higher the Gini importance, the more important the feature is for the model [50].
LIME (Local Interpretable Model-agnostic Explanations) is a novel technique that explains the prediction of any classifier, and instead of providing a global understanding of the model on the entire dataset, LIME focuses on explaining the model’s prediction for individual instances [49].
A diagnostic and exploratory tool that helps to summarize data and for advanced analyses is the correlation matrix. A correlation matrix is a table that displays the correlation coefficients for a set of variables. The correlation matrix is a table where each entry represents a correlation coefficient, with values of 1 indicating a strong positive association between variables, 0 indicating no association, and −1 indicating a strong negative association. There are different methods for correlation analysis: Pearson correlation, Kendall rank correlation, and Spearman correlation analysis. Spearman is the suitable method for our dataset because Spearman correlation handles nonlinear relationships, works with different data types, is outlier-resistant, and requires no distributional assumptions [51,52].

3. Results

This project was carried out in a Windows 11 environment, specifically a 11th Gen Intel Core i5 CPU and 8GB RAM. For data processing with machine learning algorithms, we used ANACONDA’s DISTRIBUTION PLATFORM Jupyter Notebook (version 7.2.2), and all tools and libraries obtained from scikit-learn Machine Learning in Python (version 3.11.9). All open sources. In an automated and powerful environment, the capabilities of these libraries were able to produce robust and reliable results.

3.1. Comparison of the Five Models

Due to the small number of cases, the stratified cross-validation (Skf-CV) technique was chosen to evaluate the performance of five algorithms on unseen data during testing. This technique is used in machine learning to make sure that the class distribution across the entire dataset is maintained across each fold of the cross-validation process. When working with small, unbalanced datasets where some classes might be underrepresented, this is especially crucial [53]. In this study, performance evaluation on the training set was utilized primarily as a diagnostic framework during the model development phase. Monitoring training metrics allowed us to assess the models’ learning capacity and identify potential issues such as underfitting, data leakage, or misaligned labels [54]. While real-world performance is estimated through the held-out test set and cross-validation, these internal diagnostics were crucial for ensuring the stability of the algorithms, given the technical complexity of the multi-site intravascular features. The above-mentioned five algorithms were tested with their default settings, with random oversampling (ROS) on the training set and five-fold Skf-CV, with the results seen in Table 3 and their aggregate confusion matrices in Figure 7.
The totals in the aggregate confusion matrices sum to 32 rather than 35 because these matrices were computed on the resampled training data used during cross-validation, not on the full cohort. After the train/test split, the training set contained 28 cases (16 Broken and 12 Not-Broken). Random oversampling was applied on the training test to mitigate class imbalance by duplicating minority-class observations, bringing the effective training size to 32 with a balanced distribution (16 Broken and 16 Not-Broken). Consequently, the aggregated confusion matrices reflect 32 training instances (including duplicated samples), whereas the remaining cases from the original 35-case dataset belonged to the held-out test set and were evaluated separately without resampling.
As shown in Table 3 and the aggregate confusion matrices (Figure 7), Random Forest (RF) emerged as the most promising algorithm. The receiver operating characteristic (ROC) curve summarizes a classifier’s performance across decision thresholds by plotting the true-positive rate against the false-positive rate, while the area under the ROC curve (ROC–AUC) quantifies the model’s ability to discriminate between the two classes (ruptured vs. unruptured) [43]. RF achieved a mean ROC–AUC of 0.903 (SD 0.095), indicating strong discrimination and comparatively stable performance across cross-validation folds. Although RF and XGBoost show identical aggregate confusion matrices in Figure 7, Table 3 indicates that RF attains a higher ROC–AUC with lower variability than XGBoost, supporting its selection as the classifier. In addition, RF is an ensemble method that combines predictions from multiple decision trees via majority voting, which generally improves robustness compared with a single classifier.

3.2. RF’s Results

In this section, we will describe the steps for our model’s improvement and the results. Starting from scratch, Random Forest (RF) was trained and tested with its default settings and without oversampling. The results are seen in Table 4.
The next step for the improvement of our model, some additional techniques, such as Optuna study and Oversampling. Random oversampling balanced our dataset as the minority class was 15 unruptured to 20 ruptured aneurysms. The results of RF after random oversampling and Optuna tuning are more balanced and are seen in Table 5.
For further validation of the performance of our RF model, a technique called OOF (out-of-fold) validation is used. The out-of-fold accuracy of our model is 0.8438. An OOF accuracy of 84.38% suggests that our model performs well during cross-validation and generalizes well to unseen data. If there is a significant drop in accuracy when tested on the test set, it could indicate overfitting or issues with the data. Such a problem does not exist because the final test accuracy is 86% (Table 5).
Other metrics that were used for the RF model’s evaluation, such as the confusion matrix, area under the ROC curve (AUC–ROC), and precision–recall (PR) curve, gave a clear image of our model’s performance. Precision and recall metrics can be calculated from the confusion matrix. The confusion matrix is seen in Figure 8.
The receiver operator characteristic (ROC) is a probability curve that plots and visualizes model performance at various threshold values. The area under the curve (AUC) is the measurement of the ability of a classifier to distinguish between classes. RF performs well, achieving an excellent ROC-AUC (97%). The results for ROC-AUC score were train ROC AUC 0.97, validation ROC AUC 0.98, and test ROC AUC 0.92. An outcome 97% of train ROC AUC suggests the model has a strong ability to distinguish between positive and negative classes. Validation performance (98%) that is almost identical to the training performance suggests that the model generalizes well and does not overfit to the training data. The test ROC-AUC is also high at 92%, indicating that the model maintains a strong ability to distinguish between classes on unseen data (Figure 9).
The precision–recall (PR) curve evaluates a classifier across all decision thresholds, showing the trade-off between recall (how many true positives are found) and precision (how many predicted positives are actually correct). A larger area under this curve means the model maintains both high recall and high precision over many thresholds. High recall comes from avoiding false negatives, and high precision comes from limiting false positives. In Figure 10, we present RF’s precision–recall curve.
In imbalanced problems, PR and especially average precision (AP) are more informative than accuracy. Here, the AP of 0.97 indicates that the model separates ruptured from unruptured aneurysms extremely well across thresholds.
The classification report is presented in Table 6.
On the test set, sensitivity (TPR) and weighted average sensitivity are 0.75 and 0.86, respectively. Specificity (TNR) and weighted average specificity are 1.00 and 0.89, respectively. This means the model correctly identified 75% of truly ruptured cases (3/4) but missed 25% (1 false negative), while it perfectly ruled out all non-ruptured cases (0 false positives; 3/3 correct).

3.3. Global Interpretation of RF’s Results

The feature importance of RF (optimized model) represents how much each feature contributes to the model’s predictions. Higher importance values indicate a stronger influence on decision-making (Figure 11).
The most important features in our model for the correct discrimination between classes are C.C3 (carotid C3), A.CRP (aneurysmal CRP), C.CRP (parent artery CRP), and IR.SH (shape of the aneurysm), C.C4 (parent artery C4), and NECK (aneurysm’s neck width). All these features are likely to have the strongest correlation or relationship with the target variable (Broken/Not-Broken).
The middle-ranking features include V.IgM, A.C4, C.IgG (various immunoglobulins and complement factors), height (height of the aneurysms), V.C3, V.CRP (vein blood C3 and CRP), C.IgM (carotid blood immunoglobulin M), A.IgA, and V.IgA (aneurysmal and vein blood immunoglobulin A, antibody response). These features are likely to have a moderate correlation or relationship with the target variable.
The lower-importance features, such as AR, A.C3, V.C4, A.IgM, VERTI, MD, SEX (male, female), and A.IgG, C.IgA (aneurysmal and vein immunoglobulin measurements), have minimal influence on prediction.
Summarizing, the results suggest that a combination of immune response markers (C3, CRP, C4) and aneurysm morphology (neck, irregular shape) is the primary driver of aneurysm risk of rupture in our dataset.

3.4. Local Interpretation of RF’s Results

A tool that explains the model’s decision boundary in a human-understandable way. The name of this magical library is LIME. LIME (Local Interpretable Model-agnostic Explanations) is a novel explanation technique that explains the prediction of any classifier in an interpretable and faithful manner by learning an interpretable model locally around the prediction. Instead of providing a global understanding of the model on the entire dataset, LIME focuses on explaining the model’s prediction for individual instances.
Table 7 presents the final classification (true/false for ‘broken’) from the Random Forest (RF) model, along with the probability score that informed that decision. A probability threshold of 0.5 was applied, meaning instances with a probability of 0.5 or higher are classified as “Broken” (True), while those below are classified as “No” (False).
Further analysis of feature instances that contributed most to their correct classification was needed to identify differences, similarities, and patterns between the Not-Broken and Broken cases. Here comes the LIME explainer. From these seven instances (Table 7), we present the one indexed 31 with the highest probability of being classified as Not-Broken, the one indexed three with the highest probability of being classified Broken based on their features as they were produced from LIME, and the wrong classification indexed 11 (Figure 12, Figure 13, and Figure 14, respectively).
For these seven test-set instances, LIME explainer identified the following: across the cases that share common measurements, arterial and carotid CRP (A.CRP, C.CRP) at or near zero consistently aligned with the Not-Broken class, whereas non-zero CRP values pushed toward Broken. C3 and C4 showed a similar pattern: lower levels supported Not-Broken, while higher levels and most prominently venous C3/C4 and carotid C3 were frequently associated with Broken. Immunoglobulins were less consistent overall; venous IgA/IgG tended to be higher in Broken, while arterial IgA/IgM could be lower in Broken or moderate, making their direction weaker to moderate compared with CRP and complement. AR occasionally appeared high in Not-Broken and was not decisive. HEIGHT tended to be higher in Not-Broken, but its effect was modest. Smaller NECK and smaller VERTI values were characteristic of Broken. Consistent with that, higher V.C3 and V.C4 also pushed toward Broken. SEX(M/F) appeared in both classes with no clear predictive pattern. IR.SH (irregular shape = True) was frequently accompanied by Broken, but it was supportive rather than sufficient on its own. A synopsis of these class differences appears in Table 8.
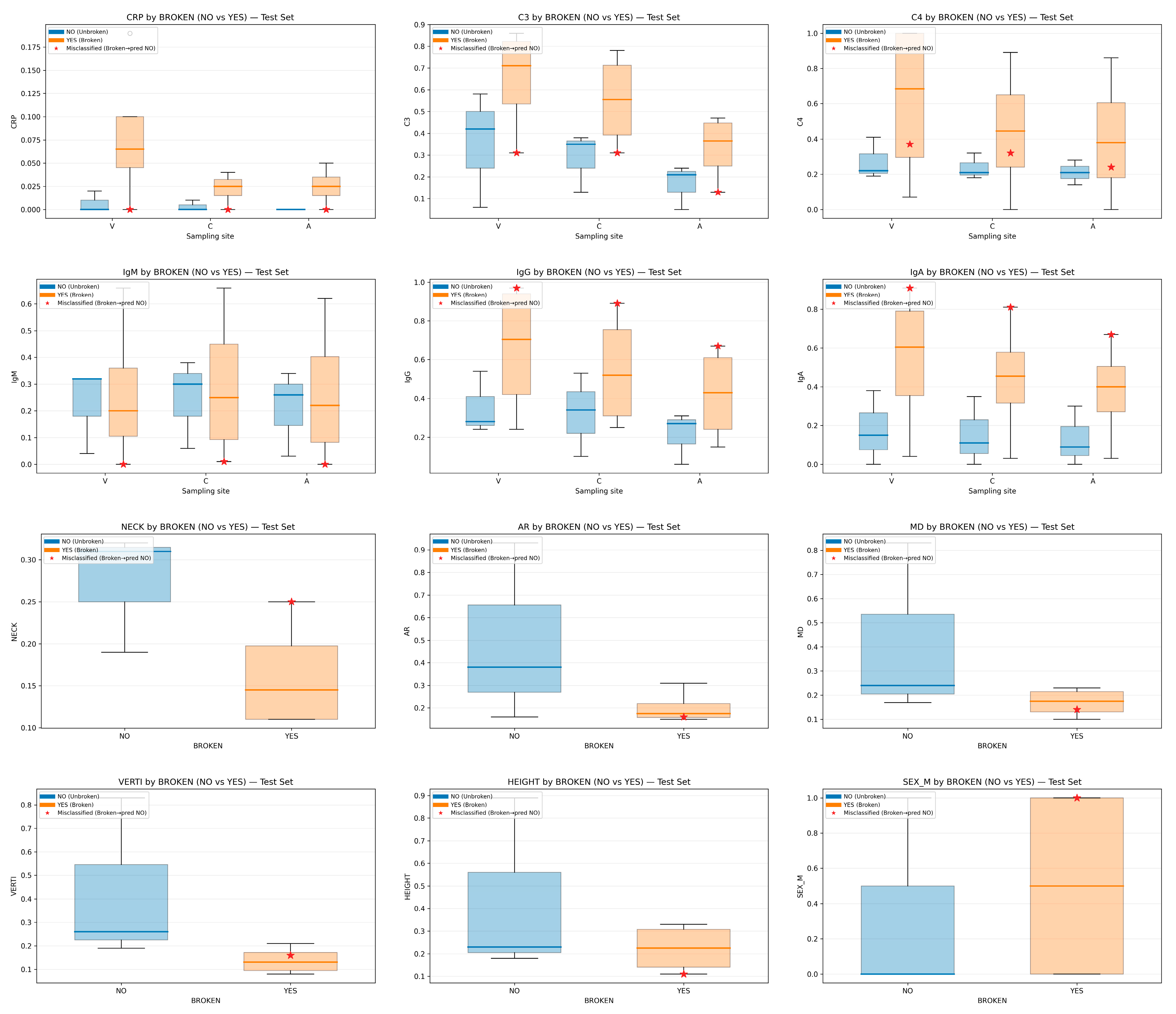
To contextualize the case-level LIME, we provide a descriptive visualization of the feature distributions for the held-out test instances (Figure 15), highlighting misclassified cases to facilitate interpretation; no statistical inference is drawn due to the small test-set size. After plotting their features in relation to their rupture status (box plots, Figure 15), CRP levels (A.CRP, C.CRP, V.CRP) clearly increased in Broken and remained low in Not-Broken, indicating a strong role in classification. Many theories have been postulated to explain why inflammatory markers such as CRP play a crucial role in aneurysm formation, growth, and rupture [6,7]. Likewise, there was a distinct separation in C3/C4 across sites: lower in Not-Broken and higher in Broken, consistent with immune activation. IgM showed a wider distribution and was not uniformly elevated, whereas IgA and IgG were often higher in Broken. The role of complement activation in aneurysm pathology has been the subject of numerous studies, which provide evidence that immune mechanisms play a major role in rupture risk [5,6]. Wider necks and larger aneurysm dimensions (VERTI, MD, HEIGHT) were more prevalent in Not-Broken, which is consistent with a lower rupture risk according to geometric features that matched the plots [52,53,54]. SEX did not exhibit a distinct classification pattern. Regarding the misclassified instance, it had low CRP, placing it closer to the Not-Broken profile and contributing to the error. C3/C4 were low-to-moderate, further blurring the boundary, and IgA/IgG were extremely high, suggesting the model underweighted these signals relative to CRP/complement.
Correlation matrix (Figure 16), a descriptive statistical tool that describes the strength and direction of the linear relationship between multiple pairs of variables, confirms both RF feature importance and LIME explainer for the inflammatory core made of parent-artery C3 (C.C3) and CRP in the aneurysm sac and parent artery (A.CRP, C.CRP). In the RF feature importance plot (Figure 8), these three markers appear among the strongest overall predictors of rupture. The correlation matrix shows that BROKEN cases are clearly positively related to V.C3, C.C3, and A.C3, as well as to CRP at all three sampling sites (correlation coefficients of about 0.58–0.72), indicating that higher complement and CRP levels are associated with ruptured aneurysms in this small test set. Consistently, the LIME explainer, which describes the model’s behavior for each of the seven test cases, frequently highlights rules such as C.C3 > 0.35–0.55 and C.CRP/A.CRP > 0.04 as conditions that push the prediction toward the “Broken” class, whereas values below these ranges support a “Not-Broken” prediction.
Also, the correlation matrix confirms RF feature importance and LIME explainer results for the morphological instability captured by irregular shape (IR.SH) and the neck size (NECK). In the RF feature importance plot (Figure 11), IR.SH is the most important non-biochemical feature, and NECK is the next most important geometric feature, just after C.C4. The correlation matrix shows that IR.SH has a moderate positive correlation with BROKEN_YES (~0.47), meaning that aneurysms labeled as irregular are more likely to be broken. NECK, on the other hand, has a strong negative correlation with BROKEN_YES (≈−0.72), indicating that aneurysms with a smaller neck are more often broken in these seven test cases. The LIME plots tell the same story: when IR.SH_YES = 1 it appears high among the influential features and supports the “Broken” prediction, while small neck values (for example, 0.09 < NECK ≤ 0.19 or NECK ≤ 0.28) push the model towards “Broken”, and larger necks push it towards “Not-Broken”.
Furthermore, the correlation matrix confirms RF feature importance and LIME explainer results for the role of IgM and the additional contribution of C4 and IgG. In the RF feature importance plot (Figure 11), venous IgM (V.IgM) and, to a lesser degree, carotid IgM (C.IgM), are among the most important features, along with C4 in the parent artery and aneurysm (C.C4, A.C4) and carotid IgG (C.IgG). The correlation matrix shows that BROKEN_YES is strongly negatively correlated with V.IgM and C.IgM (around −0.7), but positively correlated with C4 and C.IgG. This means that ruptured aneurysms in this test set tend to have lower IgM levels in the blood, but higher levels of complement C4 and IgG. LIME support the same pattern: in cases predicted as Broken, very low IgM values (for example V.IgM ≤ 0.07–0.10 or C.IgM ≤ 0.10–0.17) are among the factors pushing the prediction toward “Broken”, whereas higher IgM values pull several cases towards “Not-Broken”; at the same time, higher C4 and C.IgG values contribute in favor of the “Broken” class.

4. Discussion

In a single-center cohort of 35 saccular intracranial aneurysms (IAs) in 35 patients (≈57% ruptured), we developed an interpretable Random Forest (RF) classifier. RF classifier integrates multi-site inflammatory biomarkers (CRP, C3, C4, immunoglobulins) with additional detailed morphometrics (e.g., NECK width, irregular shape, aspect ratio). Our target was to assess the risk of rupture status, including these additional features, and analyze their importance using Global and per-instance (Local) explanations from an RF classifier. The addition of these extra features appears to extend beyond the findings of the statistical studies [5,54,55], providing novel insights into the relationship between aneurysm structure and biochemical markers. Model development addressed class imbalance with random oversampling and optimized hyperparameters with Optuna. Across stratified cross-validation (CV), the tuned RF achieved high discrimination (CV ROC–AUC ≈ 0.98 with accuracy ≈ 0.85). Generalization to the held-out test set remained strong (test ROC–AUC ≈ 0.92; accuracy ≈ 0.86; AP = 0.97). Out-of-fold (OOF) accuracy was ~0.84. The test confusion matrix showed one false negative (sensitivity 0.75; specificity 1.00).
Global feature importance, LIME explainer results on the seven test-set instances, and the correlation matrix converged on a consistent ranking of predictors. The dominant contributors were inflammatory and complement markers—particularly parent-artery C3 (C.C3) and CRP in the aneurysm sac and parent artery (A.CRP, C.CRP), followed by C4—alongside morphological instability (irregular shape, IR.SH_YES) and neck diameter (NECK). BROKEN status showed strong positive correlations with V/C/A-CRP and V/C/A-C3, and negative correlations with NECK, while LIME repeatedly identified high C.C3, elevated CRP, irregular shape, and small neck width as key conditions pushing predictions toward the “Broken” class. Many studies have highlighted the importance of these features and revealed higher rates of rupture in aneurysms associated with inflammatory markers. CRP, C3, and C4 levels may be indicative of systemic inflammation, which has been associated with vascular remodeling, thus aneurysm instability. Our results are in agreement with those of various studies [5,6,7].
Our study highlighted the role of circulating IgM relative to C3/C4 and IgG/IgA. In the RF feature importance plot, venous IgM (V.IgM) and, to a lesser extent, carotid IgM (C.IgM), ranked highly among biological predictors, together with C.C4/A.C4 and C.IgG. LIME corroborated this pattern: low IgM values (e.g., V.IgM ≤ 0.07–0.10, C.IgM ≤ 0.10–0.17) frequently contributed to “Broken” predictions, whereas higher IgM levels shifted several instances toward “Not-Broken”, while elevated C4 and IgG supported classification as “Broken”. By contrast, IgA appeared as a modest, context-dependent contributor rather than a primary discriminator. Boulieris et al. also observed that venous, parent-artery, and intra-aneurysmal IgM concentrations are lower in ruptured than in unruptured aneurysms, interpreting this primarily as increased wall deposition of IgM in the former [5]. Other structural features, such as HEIGHT and VERTI, had lower global importance and were generally larger in non-ruptured cases, and AR—despite its established clinical relevance—was overshadowed by inflammatory variables in this dataset. SEX had minimal impact on classification, with similar modeled risk in men and women. And as for the instance that was incorrectly classified, it had a low CRP level, which made it more consistent with the Not-Broken class. The misclassified instance’s moderate C3/C4 values made classification ambiguity worse. This contradiction in blood sample values and the wrong classification for this instance is strong evidence that CRP/C3/C4 are the most important features. The discrepancy that the misclassified instance had exceptionally high IgA and IgG levels, suggesting that the model undervalued their predictive power.
Another interesting finding is that neck size in the correlation matrix, RF feature importance plot, and LIME explainer are assigning a more prominent discriminative role to aneurysm neck size than to overall size or aspect ratio within an inflammatory context. Classical morphological studies, and subsequent reviews [1,56,57,58], emphasize dome size and aspect ratio as major predictors of rupture risk, with neck width receiving comparatively little independent attention. In our study, neck diameter exhibits one of the strongest correlations with aneurysm BROKEN status. Neck width is inversely related to inflammatory activity, implying that smaller neck aneurysms were correlated to higher A.CRP and V/C/A.C3 levels, which may suggest that tighter aneurysm necks are associated with greater inflammatory activity, thus instability. Also, neck width is the top-ranked geometric feature in the RF feature importance plot, immediately following the main inflammatory markers. Irregular shape also emerges as the most informative morphological predictor once inflammation is accounted for. It is moderately positively correlated with BROKEN and is the most important non-biochemical feature globally. LIME show that IR.SH regularly appears among the top local drivers of “Broken” predictions, and that specific small-neck ranges (e.g., 0.09 < NECK ≤ 0.19 or NECK ≤ 0.28) further increase rupture probability.
Beyond reproducing known associations between inflammation, complement activation, and rupture status, this study introduces an integrated, interpretable framework that jointly models multi-site inflammatory profiling and aneurysm morphology and explains each prediction at the patient level. Existing clinical and experimental literature typically addresses morphological risk factors (size, aspect ratio, irregular shape) separately from biochemical markers such as CRP, complement components, and immunoglobulins. Our findings instead delineate a composite high-risk phenotype—irregular shape, narrow neck, elevated C3 and CRP across vascular compartments, and reduced circulating IgM—that consistently characterizes aneurysms classified as ruptured in our cohort. This coupled geometry–inflammation profile is visible simultaneously in global RF feature importance, LIME, and empirical correlations, and is not explicitly described as a unified construct in prior work.
Relative to existing machine-learning studies that have focused mainly on morphological, radiomic, or hemodynamic descriptors, our model achieves strong discrimination while adding a rich biological layer. Most prior ML work on intracranial aneurysms has emphasized shape indices, wall shear stress, or imaging-derived radiomics, yielding powerful but predominantly geometry-driven models [8,9,10,11,14,15,16,17,18]. In contrast, our pipeline incorporates multi-site inflammatory biomarkers and complement activation alongside morphology, producing explanations that are explicitly bio-mechanistic (inflammation plus geometry) rather than purely geometric. Furthermore, by using a transparent ensemble (RF) and pairing global importance with LIME, we adhere to recommendations for interpretable medical ML, avoiding fully black-box architectures. Finally, the use of random oversampling, Optuna-based hyperparameter tuning, and performance metrics suited to class imbalance (ROC–AUC, AP), combined with out-of-fold estimates and a held-out test set, aligns with best practices for small, imbalanced clinical datasets and facilitates comparison with both statistical and ML literature.
Taken together, our results indicate that morphology is necessary but not sufficient for reliable rupture discrimination. Morphological features—particularly NECK and IR.SH—contribute consistently and meaningfully to the model, yet the largest shifts in rupture probability occur when adverse geometry co-occurs with elevated CRP/C3/C4. In many LIME profiles, irregular shape or narrow neck in the context of low inflammatory and complement activity produced only modest increases in predicted rupture risk, whereas the same geometry combined with high CRP and C3/C4 yielded substantial probability changes. This pattern provides a plausible explanation for why morphology-only models, even when sophisticated, can misclassify cases where the inflammatory state diverges from shape-based expectations. Biologically, the findings support a biomechano-inflammatory view of aneurysm instability: geometry shapes local hemodynamics, which modulate endothelial function and immune activation, and rupture propensity reflects the joint product of both processes rather than geometry alone. Consequently, integrated models that combine morphology with inflammatory and complement markers appear more appropriate for clinical decision support and for guiding future prospective validation efforts than morphology-only approaches.
Limitations: While our findings offer valuable insights, this study has limitations that should be noted. First, our sample size is limited to 35 patients. This is a direct reflection of the technical challenges and serious risks—such as arterial dissection or aneurysm rupture—involved in sampling blood directly from the carotid artery and the aneurysm sac. Given these constraints, our work is best characterized as a pilot or proof-of-concept study rather than a definitive large-scale analysis.
To make the most of the available data, we used robust validation methods like stratified five-fold cross-validation and oversampling. However, we recognize that these results might not fully represent broader or more diverse populations. Similarly, although we included sex as a variable in our models and found no clear patterns, the study is not large enough (underpowered) to rule out subtle sex-specific biological differences.
Finally, since this was a single-center observational study, we can only report associations rather than clear cause-and-effect. While we used tools like LIME to make our ML models more transparent, the models are still inherently tied to this specific dataset. Future research with larger, multi-center groups will be vital to confirm these early results.

5. Conclusions

Conclusions: This comparison highlights the advantages of machine learning approaches in incorporating nonlinear feature interactions, allowing for a more granular and individualized interpretation of rupture status. While statistical methods confirmed key biomarkers such as CRP and C3 as crucial indicators of aneurysm rupture, the LIME-based approach provided additional insights by integrating structural parameters, which were absent from the statistical analysis. The findings suggest that aneurysm morphology is not only relevant but may be mechanistically linked to inflammatory processes, offering new directions for further research.
Future studies could benefit from a hybrid approach that combines statistical validation with machine learning feature importance rankings, ensuring both interpretability and robustness in aneurysm rupture prediction models. The integration of morphological and inflammatory markers in predictive models may ultimately enhance early detection and clinical decision-making for patients at risk of aneurysm rupture.

Author Contributions

Conceptualization, E.N., N.P., P.Z., and E.I.P.; methodology, E.N.; software, E.N.; validation, P.Z., C.K. (Christina Kalogeropoulou) and C.K. (Constantinos Koutsojannis); formal analysis, E.N.; investigation, P.Z., N.P.; resources, V.P.; data curation, P.Z.; writing—original draft preparation, E.N.; writing—review and editing, N.P., P.Z., V.P., C.K. (Constantinos Koutsojannis), C.K. (Christina Kalogeropoulou) and E.I.P.; visualization, E.N.; supervision, P.Z.; project administration, P.Z. All authors have read and agreed to the published version of the manuscript.

Funding

This research received no external funding.

Institutional Review Board Statement

Data collection has been approved by the ethical committee of the University General Hospital of Patras (Ethical and Research Committee of University Hospital of Patras). Approval Code: 37/14-01-2021.

Informed Consent Statement

The retrospective nature of the study waives the requirement to obtain informed consent from the participants. All data-related processes were performed anonymously. All procedures in this study were in accordance with the Declaration of Helsinki. Participants’ informed consent is not required because the study is retrospective in nature. Every procedure involving data was carried out in an anonymous manner. All procedures in this study were in accordance with the Declaration of Helsinki.

Data Availability Statement

The data are available within the manuscript in Table 1.

Acknowledgments

Without the involvement of the clinical site and study participants, this work would not have been feasible, and the authors are thankful for this.

Conflicts of Interest

The authors declare no conflicts of interest.

Abbreviations

The following abbreviations are used in this manuscript:
ACOMAnterior communicating artery
ADASYNAdaptive synthetic sampling
APAverage precision
ARAspect ratio (verti/neck)
AUCArea under the ROC curve
A.C3/A.C4Aneurysm-sac complement C3/C4
A.CRPAneurysm-sac C-reactive protein
C3/C4Complement component 3/4
C.C3/C.C4Parent-artery (carotid) complement C3/C4
C.CRPParent-artery (carotid) C-reactive protein
CRPC-reactive protein
CTComputed tomography
CTAComputed tomography angiography
CVCross-validation
DTDecision tree
FNFalse negative
FPFalse positive
FPRFalse-positive rate
GBMGradient boosting machine
IAIntracranial aneurysm
ICAInternal carotid artery
IgA/IgG/IgMImmunoglobulin A/G/M
IR.SHIrregular shape
L/RLeft/Right
L.C.T/C.T(Left) carotid tip/Carotid tip
LOCIAneurysm location (feature)
MDMaximum dimension (largest IA diameter)
MCAMiddle cerebral artery
MLMachine learning
OOFOut-of-fold (validation)
PCOMPosterior communicating artery
PCAPosterior cerebral artery
PRPrecision–recall
RFRandom forest
ROCReceiver operating characteristic
ROC–AUCArea under the ROC curve
ROSRandom oversampling
SAHSubarachnoid hemorrhage
SHAPSHapley Additive exPlanations
Skf-CVStratified k-fold cross-validation
SMOTESynthetic minority oversampling technique
TNTrue negative
TPTrue positive
TNRTrue-negative rate (specificity)
TPRTrue-positive rate (sensitivity)
UIAUnruptured intracranial aneurysm
V.C3/V.C4Peripheral-vein complement C3/C4
V.CRPPeripheral-vein C-reactive protein
VERTIVertical distance neck→dome
WFNSWorld Federation of Neurological Surgeons (scale)
XGBExtreme gradient boosting (XGBoost)

References

  1. Duan, Z.; Li, Y.; Guan, S.; Ma, C.; Han, Y.; Ren, X.; Wei, L.; Li, W.; Lou, J.; Yang, Z. Morphological parameters and anatomical locations associated with rupture status of small intracranial aneurysms. Sci. Rep. 2018, 8, 6440. [Google Scholar] [CrossRef]
  2. Keedy, A. An overview of intracranial aneurysms. McGill J. Med. 2006, 9, 141–146. [Google Scholar] [CrossRef] [PubMed]
  3. Hackenberg, K.A.M.; Hänggi, D.; Etminan, N. Unruptured Intracranial Aneurysms: Contemporary Data and Management. Stroke 2018, 49, 2268–2275. [Google Scholar] [CrossRef] [PubMed]
  4. Tawk, R.G.; Hasan, T.F.; D’Souza, C.E.; Peel, J.B.; Freeman, W.D. Diagnosis and Treatment of Unruptured Intracranial Aneurysms and Aneurysmal Subarachnoid Hemorrhage. Mayo Clin. Proc. 2021, 96, 1970–2000. [Google Scholar] [CrossRef] [PubMed]
  5. Boulieris, S.; Zampakis, P.; Panagoulias, I.; Mouzaki, A.; Constantoyannis, C.; Theofanopoulos, A.; Panagiotopoulos, V. Intraluminal assessment of inflammatory factors in patients with intracranial aneurysms. Acta Neurochir. 2023, 165, 3685–3695. [Google Scholar] [CrossRef]
  6. Wang, J.; Wei, L.; Lu, H.; Zhu, Y. Roles of inflammation in the natural history of intracranial saccular aneurysms. J. Neurol. Sci. 2021, 424, 117294. [Google Scholar] [CrossRef]
  7. Chalouhi, N.; Ali, M.S.; Jabbour, P.M.; Tjoumakaris, S.I.; Gonzalez, L.F.; Rosenwasser, R.H.; Koch, W.J.; Dumont, A.S. Biology of Intracranial Aneurysms: Role of Inflammation. J. Cereb. Blood Flow. Metab. 2012, 32, 1659–1676. [Google Scholar] [CrossRef] [PubMed]
  8. Tanioka, S.; Ishida, F.; Yamamoto, A.; Shimizu, S.; Sakaida, H.; Toyoda, M.; Kashiwagi, N.; Suzuki, H. Machine Learning Classification of Cerebral Aneurysm Rupture Status with Morphologic Variables and Hemodynamic Parameters. Radiol. Artif. Intell. 2020, 2, e190077. [Google Scholar] [CrossRef]
  9. Marasini, A.; Shrestha, A.; Phuyal, S.; Zaidat, O.O.; Kalia, J.S. Role of Artificial Intelligence in Unruptured Intracranial Aneurysm: An Overview. Front. Neurol. 2022, 13, 784326. [Google Scholar] [CrossRef]
  10. Kim, H.C.; Rhim, J.K.; Ahn, J.H.; Park, J.J.; Moon, J.U.; Hong, E.P.; Kim, M.R.; Kim, S.G.; Lee, S.H.; Jeong, J.H.; et al. Machine Learning Application for Rupture Risk Assessment in Small-Sized Intracranial Aneurysm. J. Clin. Med. 2019, 8, 683. [Google Scholar] [CrossRef]
  11. Mu, N.; Rezaeitaleshmahalleh, M.; Lyu, Z.; Wang, M.; Tang, J.; Strother, C.M.; Gemmete, J.J.; Pandey, A.S.; Jiang, J. Can we explain machine learning-based prediction for rupture status assessments of intracranial aneurysms? Biomed. Phys. Eng. Express 2023, 9, 037001. [Google Scholar] [CrossRef]
  12. Wu, Y.; Zhao, Z.; Kang, S.; Zhang, L.; Lv, F. Potential application of peripheral blood biomarkers in intracranial aneurysms. Front. Neurol. 2023, 14, 1273341. [Google Scholar] [CrossRef] [PubMed]
  13. Fang, J.; Cao, Y.; Ni, J. Circulating inflammatory biomarkers and risk of intracranial aneurysm: A Mendelian randomization study. Eur. J. Med. Res. 2024, 29, 17. [Google Scholar] [CrossRef]
  14. Ou, C.; Liu, J.; Qian, Y.; Chong, W.; Zhang, X.; Liu, W.; Su, H.; Zhang, N.; Zhang, J.; Duan, C.-Z.; et al. Rupture Risk Assessment for Cerebral Aneurysm Using Interpretable Machine Learning on Multidimensional Data. Front. Neurol. 2020, 11, 570181. [Google Scholar] [CrossRef] [PubMed]
  15. Choi, J.H.; Sobisch, J.; Kim, M.; Park, J.C.; Ahn, J.S.; Kwun, B.D.; Špiclin, Ž.; Bizjak, Ž.; Park, W. Prediction of intracranial aneurysm rupture from computed tomography angiography using an automated artificial intelligence framework. Comput. Biol. Med. 2025, 197, 110965. [Google Scholar] [CrossRef] [PubMed]
  16. Növer, M.; Styczen, H.; Jabbarli, R.; Dammann, P.; Köhrmann, M.; Hagenacker, T.; Moenninghoff, C.; Forsting, M.; Li, Y.; Wanke, I.; et al. Prediction of Recurrence and Rupture Risk of Ruptured and Unruptured Intracranial Aneurysms of the Posterior Circulation: A Machine Learning-Based Analysis. Diagnostics 2025, 15, 2365. [Google Scholar] [CrossRef]
  17. Maroufi, S.F.; Pachón-Londoño, M.J.; Ghoche, M.; Nguyen, B.A.; Turcotte, E.L.; Wang, Z.; Patra, D.P.; Olson, V.; Halpin, B.S.; Bathini, A.R.; et al. Machine Learning-Based Rupture Risk Prediction for Intracranial Aneurysms: A Systematic Review and Meta-Analysis. Neurosurgery 2025, 97, 1072–1082. [Google Scholar] [CrossRef] [PubMed]
  18. Feng, J.; Wang, C.; Wang, Y.; Liu, H. Using machine learning to predict the rupture risk of multiple intracranial aneurysms. Front. Neurol. 2025, 16, 1539341. [Google Scholar] [CrossRef] [PubMed]
  19. Fountas, K.N.; Tasiou, A.; Kapsalaki, E.Z.; Paterakis, K.N.; Grigorian, A.A.; Lee, G.P.; Robinson, J.S. Serum and cerebrospinal fluid C-reactive protein levels as predictors of vasospasm in aneurysmal subarachnoid hemorrhage: Clinical article. Neurosurg. Focus 2009, 26, E22. [Google Scholar] [CrossRef] [PubMed]
  20. Mota Telles, J.P.; Rabelo, N.N.; Junior, J.R.; Teixeira, M.J.; Figueiredo, E.G. C-Reactive Protein Levels Are Higher in Patients With Fusiform Intracranial Aneurysms: A Case-Control Study. World Neurosurg. 2021, 146, e896–e901. [Google Scholar] [CrossRef] [PubMed]
  21. Chen, S.; Hu, Z.; Zhao, M.; Sun, J.; Nie, S.; Gao, X.; Huang, Y. A comprehensive proteomic analysis reveals novel inflammatory biomarkers in intracranial aneurysms. J. Proteom. 2025, 313, 105374. [Google Scholar] [CrossRef]
  22. De Amorim, L.B.V.; Cavalcanti, G.D.C.; Cruz, R.M.O. The choice of scaling technique matters for classification performance. Appl. Soft Comput. 2023, 133, 109924. [Google Scholar] [CrossRef]
  23. Bolikulov, F.; Nasimov, R.; Rashidov, A.; Akhmedov, F.; Cho, Y.-I. Effective Methods of Categorical Data Encoding for Artificial Intelligence Algorithms. Mathematics 2024, 12, 2553. [Google Scholar] [CrossRef]
  24. Visalakshi, S.; Radha, V. A literature review of feature selection techniques and applications: Review of feature selection in data mining. In Proceedings of the 2014 IEEE International Conference on Computational Intelligence and Computing Research; IEEE: Coimbatore, India, 2014; pp. 1–6. [Google Scholar] [CrossRef]
  25. Samaras, A.-D.; Tsimara, M.; Voidila, S.; Papandrianos, N.; Zampakis, P.; Moustakidis, S.; Papageorgiou, E.; Kalogeropoulou, C. Explainable Classification of Patients with Primary Hyperparathyroidism Using Highly Imbalanced Clinical Data Derived from Imaging and Biochemical Procedures. Appl. Sci. 2024, 14, 2171. [Google Scholar] [CrossRef]
  26. Azar, A.T.; El-Metwally, S.M. Decision tree classifiers for automated medical diagnosis. Neural Comput. Appl. 2013, 23, 2387–2403. [Google Scholar] [CrossRef]
  27. Hatwell, J.; Gaber, M.M.; Atif Azad, R.M. Ada-WHIPS: Explaining AdaBoost classification with applications in the health sciences. BMC Med. Inform. Decis. Mak. 2020, 20, 250. [Google Scholar] [CrossRef]
  28. Karami, G.; Giuseppe Orlando, M.; Delli Pizzi, A.; Caulo, M.; Del Gratta, C. Predicting Overall Survival Time in Glioblastoma Patients Using Gradient Boosting Machines Algorithm and Recursive Feature Elimination Technique. Cancers 2021, 13, 4976. [Google Scholar] [CrossRef]
  29. Mateo, J.; Rius-Peris, J.M.; Maraña-Pérez, A.I.; Valiente-Armero, A.; Torres, A.M. Extreme gradient boosting machine learning method for predicting medical treatment in patients with acute bronchiolitis. Biocybern. Biomed. Eng. 2021, 41, 792–801. [Google Scholar] [CrossRef]
  30. Dai, B.; Chen, R.-C.; Zhu, S.-Z.; Zhang, W.-W. Using Random Forest Algorithm for Breast Cancer Diagnosis. In Proceedings of the 2018 International Symposium on Computer, Consumer and Control (IS3C); IEEE: Taichung, Taiwan, 2018; pp. 449–452. [Google Scholar] [CrossRef]
  31. Quinlan, J.R. Induction of decision trees. Mach. Learn. 1986, 1, 81–106. [Google Scholar] [CrossRef]
  32. Freund, Y.; Schapire, R.E. A Decision-Theoretic Generalization of On-Line Learning and an Application to Boosting. J. Comput. Syst. Sci. 1997, 55, 119–139. [Google Scholar] [CrossRef]
  33. Friedman, J.H. Greedy function approximation: A gradient boosting machine. Ann. Stat. 2001, 29, 1189–1232. [Google Scholar] [CrossRef]
  34. Chen, T.; Guestrin, C. XGBoost: A Scalable Tree Boosting System. In Proceedings of the 22nd ACM SIGKDD International Conference on Knowledge Discovery and Data Mining; ACM: San Francisco, CA, USA, 2016; pp. 785–794. [Google Scholar] [CrossRef]
  35. Breiman, L. Random Forests. Mach. Learn. 2001, 45, 5–32. [Google Scholar] [CrossRef]
  36. Japkowicz, N.; Stephen, S. The class imbalance problem: A systematic study1. Intell. Data Anal. 2002, 6, 429–449. [Google Scholar] [CrossRef]
  37. Chawla, N.V.; Bowyer, K.W.; Hall, L.O.; Kegelmeyer, W.P. SMOTE: Synthetic Minority Over-sampling Technique. J. Artif. Intell. Res. 2002, 16, 321–357. [Google Scholar] [CrossRef]
  38. He, H.; Bai, Y.; Garcia, E.A.; Li, S. ADASYN: Adaptive synthetic sampling approach for imbalanced learning. In Proceedings of the 2008 IEEE International Joint Conference on Neural Networks (IEEE World Congress on Computational Intelligence); IEEE: Hong Kong, China, 2008; pp. 1322–1328. [Google Scholar] [CrossRef]
  39. Akiba, T.; Sano, S.; Yanase, T.; Ohta, T.; Koyama, M. Optuna: A Next-generation Hyperparameter Optimization Framework. In Proceedings of the 25th ACM SIGKDD International Conference on Knowledge Discovery & Data Mining; ACM: Anchorage, AK, USA, 2019; pp. 2623–2631. [Google Scholar] [CrossRef]
  40. Powers, D.M.W. Evaluation: From precision, recall and F-measure to ROC, informedness, markedness and correlation. arXiv 2020, arXiv:2010.16061. [Google Scholar] [CrossRef]
  41. Fawcett, T. An introduction to ROC analysis. Pattern Recognit. Lett. 2006, 27, 861–874. [Google Scholar] [CrossRef]
  42. Davis, J.; Goadrich, M. The relationship between Precision-Recall and ROC curves. In Proceedings of the 23rd International Conference on Machine Learning—ICML ’06; ACM Press: Pittsburgh, PA, USA, 2006; pp. 233–240. [Google Scholar] [CrossRef]
  43. Hand, D.J. Measuring classifier performance: A coherent alternative to the area under the ROC curve. Mach. Learn. 2009, 77, 103–123. [Google Scholar] [CrossRef]
  44. Saito, T.; Rehmsmeier, M. The Precision-Recall Plot Is More Informative than the ROC Plot When Evaluating Binary Classifiers on Imbalanced Datasets. PLoS ONE 2015, 10, e0118432. [Google Scholar] [CrossRef]
  45. Hastie, T.; Tibshirani, R.; Friedman, J. The Elements of Statistical Learning; Springer New York: New York, NY, USA, 2009. [Google Scholar] [CrossRef]
  46. Nemati, N.; Burton, T.; Fathieh, F.; Gillins, H.R.; Shadforth, I.; Ramchandani, S.; Bridges, C.R. Pulmonary Hypertension Detection Non-Invasively at Point-of-Care Using a Machine-Learned Algorithm. Diagnostics 2024, 14, 897. [Google Scholar] [CrossRef]
  47. Reyes, M.; Meier, R.; Pereira, S.; Silva, C.A.; Dahlweid, F.-M.; von Tengg-Kobligk, H.; Summers, R.M.; Wiest, R. On the Interpretability of Artificial Intelligence in Radiology: Challenges and Opportunities. Radiol. Artif. Intell. 2020, 2, e190043. [Google Scholar] [CrossRef] [PubMed]
  48. Hakkoum, H.; Idri, A.; Abnane, I. Global and local interpretability techniques of supervised machine learning black box models for numerical medical data. Eng. Appl. Artif. Intell. 2024, 131, 107829. [Google Scholar] [CrossRef]
  49. Ribeiro, M.T.; Singh, S.; Guestrin, C. “Why Should I Trust You?”: Explaining the Predictions of Any Classifier. In Proceedings of the 22nd ACM SIGKDD International Conference on Knowledge Discovery and Data Mining; ACM: San Francisco, CA, USA, 2016; pp. 1135–1144. [Google Scholar] [CrossRef]
  50. Saarela, M.; Jauhiainen, S. Comparison of feature importance measures as explanations for classification models. SN Appl. Sci. 2021, 3, 272. [Google Scholar] [CrossRef]
  51. Schober, P.; Boer, C.; Schwarte, L.A. Correlation Coefficients: Appropriate Use and Interpretation. Anesth. Analg. 2018, 126, 1763–1768. [Google Scholar] [CrossRef]
  52. Mukaka, M.M. Statistics corner: A guide to appropriate use of correlation coefficient in medical research. Malawi Med. J. 2012, 24, 69–71. [Google Scholar] [PubMed]
  53. Bin Rafiq, R.; Modave, F.; Guha, S.; Albert, M.V. Validation Methods to Promote Real-world Applicability of Machine Learning in Medicine. In Proceedings of the 2020 3rd International Conference on Digital Medicine and Image Processing; ACM: Kyoto Japan, 2020; pp. 13–19. [Google Scholar] [CrossRef]
  54. Cordina, S.M.; Afarian, S.; Gerthoffer, W.T.; Martino, A.; Wilson, R.; Naritoku, D.K. Novel in vivo Assessment of Unruptured Intracranial Aneurysm Inflammatory Factors. Front. Neurol. 2020, 11, 439. [Google Scholar] [CrossRef] [PubMed]
  55. Tulamo, R.; Frösen, J.; Junnikkala, S.; Paetau, A.; Pitkäniemi, J.; Kangasniemi, M.; Niemelä, M.; Jääskeläinen, J.; Jokitalo, E.; Karatas, A.; et al. Complement activation associates with saccular cerebral artery aneurysm wall degeneration and rupture. Neurosurgery 2006, 59, 1069–1077. [Google Scholar] [CrossRef]
  56. Bhogal, P.; AlMatter, M.; Hellstern, V.; Ganslandt, O.; Bäzner, H.; Henkes, H.; Pérez, M. Difference in aneurysm characteristics between ruptured and unruptured aneurysms in patients with multiple intracranial aneurysms. Surg. Neurol. Int. 2018, 9, 1. [Google Scholar] [CrossRef] [PubMed]
  57. Lindgren, A.E.; Koivisto, T.; Björkman, J.; Von Und Zu Fraunberg, M.; Helin, K.; Jääskeläinen, J.E.; Frösen, J. Irregular Shape of Intracranial Aneurysm Indicates Rupture Risk Irrespective of Size in a Population-Based Cohort. Stroke 2016, 47, 1219–1226. [Google Scholar] [CrossRef] [PubMed]
  58. Kang, H.; Ji, W.; Qian, Z.; Li, Y.; Jiang, C.; Wu, Z.; Wen, X.; Xu, W.; Liu, A. Aneurysm Characteristics Associated with the Rupture Risk of Intracranial Aneurysms: A Self-Controlled Study. PLoS ONE 2015, 10, e0142330. [Google Scholar] [CrossRef]
Figure 1. 3-D image of an intracranial aneurysm showing the presence of blebs (BLEB).
Figure 1. 3-D image of an intracranial aneurysm showing the presence of blebs (BLEB).
Bioengineering 13 00226 g001
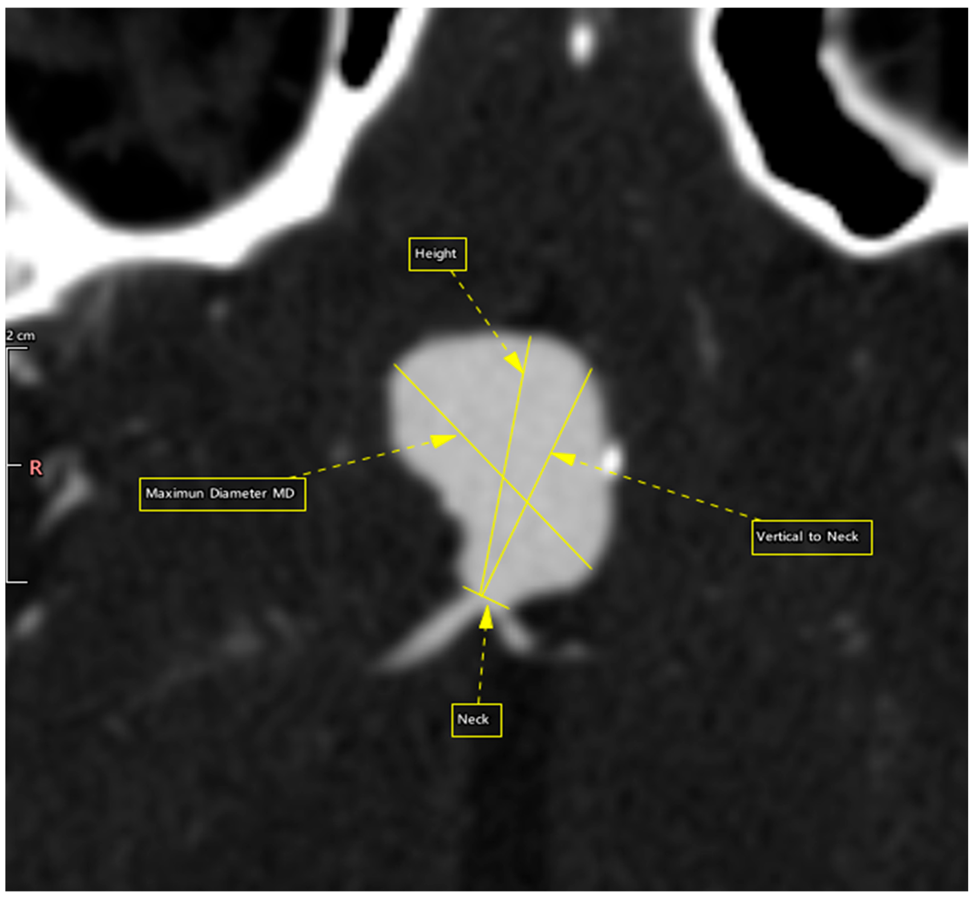
Figure 2. 2-D reconstruction of an intracranial aneurysm showing the measurements of numerical features.
Figure 2. 2-D reconstruction of an intracranial aneurysm showing the measurements of numerical features.
Bioengineering 13 00226 g002
Figure 3. Distribution of numeric features by class Broken: (a) Demographics/geometry, (b) Vein, Carotid, Aneurysmal CRP, (c) Vein, Carotid, Aneurysmal Complement C3/C4, (d) Vein, Carotid, Aneurysmal Immunoglobulins (IgA, IgG, IgM).
Figure 3. Distribution of numeric features by class Broken: (a) Demographics/geometry, (b) Vein, Carotid, Aneurysmal CRP, (c) Vein, Carotid, Aneurysmal Complement C3/C4, (d) Vein, Carotid, Aneurysmal Immunoglobulins (IgA, IgG, IgM).
Bioengineering 13 00226 g003
Figure 4. Distribution of categorical features by class Broken (Sex, Aneurysm’s Location/LOCI, WFNS, Aneurysms’ morphology Bleb/Irregular Shape).
Figure 4. Distribution of categorical features by class Broken (Sex, Aneurysm’s Location/LOCI, WFNS, Aneurysms’ morphology Bleb/Irregular Shape).
Bioengineering 13 00226 g004
Figure 5. Tree-based feature selection with RF feature importance tells us which features are more important in making an impact on the target feature.
Figure 5. Tree-based feature selection with RF feature importance tells us which features are more important in making an impact on the target feature.
Bioengineering 13 00226 g005
Figure 6. The steps of this study.
Figure 6. The steps of this study.
Bioengineering 13 00226 g006
Figure 7. Aggregated confusion matrices for the five evaluated ML models. The results reflect the cumulative performance across all stratified five-fold cross-validation iterations.
Figure 7. Aggregated confusion matrices for the five evaluated ML models. The results reflect the cumulative performance across all stratified five-fold cross-validation iterations.
Bioengineering 13 00226 g007
Figure 8. In the confusion matrix, one ruptured aneurysm of our test set was misclassified as unruptured (false-negative).
Figure 8. In the confusion matrix, one ruptured aneurysm of our test set was misclassified as unruptured (false-negative).
Bioengineering 13 00226 g008
Figure 9. The results for the ROC-AUC score for each fold used for cross-validation.
Figure 9. The results for the ROC-AUC score for each fold used for cross-validation.
Bioengineering 13 00226 g009
Figure 10. Precision–recall curve with AP = 0.97.
Figure 10. Precision–recall curve with AP = 0.97.
Bioengineering 13 00226 g010
Figure 11. Feature importance of RF (final model).
Figure 11. Feature importance of RF (final model).
Bioengineering 13 00226 g011
Figure 12. Instance index 31 (local explanation of correctly classified as Not-Broken class and its features).
Figure 12. Instance index 31 (local explanation of correctly classified as Not-Broken class and its features).
Bioengineering 13 00226 g012
Figure 13. Instance index 3 (local explanation of correctly classified as the Broken class and its features).
Figure 13. Instance index 3 (local explanation of correctly classified as the Broken class and its features).
Bioengineering 13 00226 g013
Figure 14. Instance index 11 (local explanation of the misclassified instance as the Not-Broken class and its features).
Figure 14. Instance index 11 (local explanation of the misclassified instance as the Not-Broken class and its features).
Bioengineering 13 00226 g014
Figure 15. Descriptive distributions of input features in the held-out test set used for case-level explanation (LIME) (V = vein, C = carotid, A = aneurysmal sac).
Figure 15. Descriptive distributions of input features in the held-out test set used for case-level explanation (LIME) (V = vein, C = carotid, A = aneurysmal sac).
Bioengineering 13 00226 g015aBioengineering 13 00226 g015b
Figure 16. Feature correlations across test-set instances.
Figure 16. Feature correlations across test-set instances.
Bioengineering 13 00226 g016
Table 1. Demographic data and aneurysm characteristics: M: male, F: female, ICA: internal carotid artery, C.T: carotid tip, P-comm: posterior communicating artery, A-comm: anterior communicating artery, MCA: middle cerebral artery, PCA: posterior cerebral artery, IA: intracranial aneurysm, (L, R left, right).
Table 1. Demographic data and aneurysm characteristics: M: male, F: female, ICA: internal carotid artery, C.T: carotid tip, P-comm: posterior communicating artery, A-comm: anterior communicating artery, MCA: middle cerebral artery, PCA: posterior cerebral artery, IA: intracranial aneurysm, (L, R left, right).
PatientAge/SexAneurysm LocationSize: Largest IA Diameter (mm)BlebIrregular ShapeAspect Ratio (mm)Neck (mm)Vertical to Neck (mm)Event of Rupture
162/FACOM8.0NONO2.04.08.0NO
249/FPERI6.15YESYES1.024.424.51NO
349/FL.MCA8.32YESYES1.942.585.0YES
468/MACOM4.91YESYES1.572.764.32YES
556/FACOM7.83YESYES1.382.83.85YES
647/FPCA4.24YESYES1.112.432.7YES
755/MACOM6.92YESYES1.143.784.32YES
868/MR.PCOM9.25YESYES3.183.8412.2YES
939/FL.PCOM5.33YESNO1.53.515.28YES
1046/FL.ICA7.48YESNO1.224.185.08NO
1164/FR.ICA21.1NOYES4.724.4721.1NO
1254/MACOM5.71YESYES1.453.945.71YES
1375/FL.MCA4.75YESNO1.453.274.75YES
1456/MR.MCA11.8YESYES3.063.8611.8YES
1565/FACOM8.5YESNO2.433.388.21YES
1667/FL.PCOM7.27YESYES2.083.366.98YES
1744/FL.ICA3.47YESNO1.392.493.47NO
1869/ML.MCA4.54YESYES1.432.493.56YES
1937/FACOM5.52YESNO1.833.015.52NO
2070/FACOM10.1YESYES5.031.839.2YES
2173/FACOM4.34YESYES2.081.883.91YES
2236/ML.C.T8.04YESYES2.363.418.04NO
2340/MACOM6.77YESYES0.752.762.06YES
2452/MR.MCA7.88YESYES1.024.64.7YES
2552/ML.MCA2.68YESNO1.022.632.68NO
2636/FL.MCA4.18YESNO0.932.272.11NO
2778/MACOM3.71YESNO0.783.342.6YES
2864/FR.MCA7.18YESNO1.173.614.23NO
2976/FL.ICA12.2NONO2.594.7112.2NO
3074/MACOM10.3YESNO1.193.554.22NO
3153/FR.PCOM7.31YESYES2.183.297.16YES
3262/FL.PCOM6.47YESNO1.424.566.47NO
3360/MACOM8.98YESYES2.63.458.98NO
3459/FL.ICA25.0YESNO2.4310.325.0YES
3566/ML.ICA13.3YESNO1.637.8412.8NO
Table 2. This matrix aids in analyzing model performance and identifying misclassifications.
Table 2. This matrix aids in analyzing model performance and identifying misclassifications.
Actual ClassPredicted Class →
NegativePositive
NegativeTNFP
PositiveFNTP
Table 3. Means ± standard deviations across five-fold stratified CV on the oversampled training set.
Table 3. Means ± standard deviations across five-fold stratified CV on the oversampled training set.
ModelAccuracyROC AUCF1SensitivitySpecificity
DT0.690 ± 0.1520.700 ± 0.1510.579 ± 0.3420.567 ± 0.3650.833 ± 0.236
RF0.690 ± 0.0950.903 ± 0.0950.658 ± 0.1240.633 ± 0.2470.767 ± 0.325
XGB0.686 ± 0.1570.833 ± 0.1090.664 ± 0.1750.633 ± 0.2470.733 ± 0.279
AdaBoost0.662 ± 0.1070.786 ± 0.1010.639 ± 0.1290.633 ± 0.2470.700 ± 0.298
GBM0.595 ± 0.1810.694 ± 0.2340.488 ± 0.3090.450 ± 0.3100.767 ± 0.224
Table 4. The accuracy and ROC-AUC results of RF on train/test with its default settings and with stratified cross-validation.
Table 4. The accuracy and ROC-AUC results of RF on train/test with its default settings and with stratified cross-validation.
Accuracy and ROC-AUC with Default Settings
MethodCV Mean AccuracyCV Std AccuracyTrain AccuracyTest Accuracy
Stratified K-Fold0.640.071.000.71
CV Mean ROC-AUCCV Std ROC-AUCTrain ROC-AUCTest ROC-AUC
Stratified K-Fold0.810.111.000.92
Table 5. The accuracy and ROC-AUC results of RF on train/test with optimized settings and with stratified cross-validation.
Table 5. The accuracy and ROC-AUC results of RF on train/test with optimized settings and with stratified cross-validation.
Accuracy and ROC-AUC with Optimized Settings
MethodCV Mean AccuracyCV Std AccuracyTrain AccuracyTest Accuracy
Stratified K-Fold0.850.090.910.86
CV Mean ROC-AUCCV Std ROC-AUCTrain ROC-AUCTest ROC-AUC
Stratified K-Fold0.980.070.970.92
Table 6. Test classification report.
Table 6. Test classification report.
ClassPrecisionRecallF1-ScoreSupport
false0.751.000.863
true1.000.750.864
accuracy0.867
macro avg0.880.880.867
weighted avg0.890.860.867
Table 7. The seven instances of the test set and their probability of being in the Broken class.
Table 7. The seven instances of the test set and their probability of being in the Broken class.
RowIndexTrue LabelPredicted LabelProbability
Broken
010FalseFalse0.380563
131FalseFalse0.247458
221FalseFalse0.445978
34TrueTrue0.673814
43TrueTrue0.696503
515TrueTrue0.645672
611TrueFalse0.419236
Table 8. Comparison of features among classes.
Table 8. Comparison of features among classes.
Feature (Sites)Not-BrokenBrokenStrength/Notes
CRP (A.CRP, C.CRP, V.CRP)~0 across sitesNon-zero at ≥1 site (often A/C≈0.02–0.06; V can be higher)Strong separator.
C3/C4 (A.C3, C.C3, V.C3, A.C4, C.C4, V.C4)Generally lowerGenerally higher, especially V.C3/C4 and C.C3Strong separator.
Immunoglobulins (V.IgA, V.IgG, V.IgM)Lower to moderateV.IgA/V.IgG tend higher; V.IgM variesModerate separator.
Immunoglobulins (A.IgA, A.IgM, A.IgG)Mixed; often moderateThey can be lower (A.IgA/A.IgM) or high (A.IgG), depending on caseWeak–Moderate, direction not uniform.
Immunoglobulins (C.IgA, C.IgM, C.IgG)MixedMixedWeak, no clean separation in this sample.
NECKLarger (≈0.25–0.32)Smaller (≈0.11–0.19)Strong separator.
VERTITends largerSmallerModerate separator.
MD (max diameter)Tends largerSmallerModerate separator.
HEIGHTTends higherLowerWeak–Moderate.
AR (VERTI/NECK)Variable; can be high (e.g., 0.93)Usually low–moderate (≈0.15–0.31)Weak alone; not decisive.
SEXAppears in bothAppears in bothNot predictive here.
Irregular shape (IR.SH)Appears in some Not-BrokenPresent in all Broken in this setSupportive but not specific;
Disclaimer/Publisher’s Note: The statements, opinions and data contained in all publications are solely those of the individual author(s) and contributor(s) and not of MDPI and/or the editor(s). MDPI and/or the editor(s) disclaim responsibility for any injury to people or property resulting from any ideas, methods, instructions or products referred to in the content.

Share and Cite

MDPI and ACS Style

Ntzanis, E.; Papandrianos, N.; Zampakis, P.; Panagiotopoulos, V.; Koutsojannis, C.; Kalogeropoulou, C.; Papageorgiou, E.I. Interpretable Machine Learning Identifies Key Inflammatory and Morphological Drivers of Intracranial Aneurysm Rupture Risk. Bioengineering 2026, 13, 226. https://doi.org/10.3390/bioengineering13020226

AMA Style

Ntzanis E, Papandrianos N, Zampakis P, Panagiotopoulos V, Koutsojannis C, Kalogeropoulou C, Papageorgiou EI. Interpretable Machine Learning Identifies Key Inflammatory and Morphological Drivers of Intracranial Aneurysm Rupture Risk. Bioengineering. 2026; 13(2):226. https://doi.org/10.3390/bioengineering13020226

Chicago/Turabian Style

Ntzanis, Epameinondas, Nikolaos Papandrianos, Petros Zampakis, Vasilios Panagiotopoulos, Constantinos Koutsojannis, Christina Kalogeropoulou, and Elpiniki I. Papageorgiou. 2026. "Interpretable Machine Learning Identifies Key Inflammatory and Morphological Drivers of Intracranial Aneurysm Rupture Risk" Bioengineering 13, no. 2: 226. https://doi.org/10.3390/bioengineering13020226

APA Style

Ntzanis, E., Papandrianos, N., Zampakis, P., Panagiotopoulos, V., Koutsojannis, C., Kalogeropoulou, C., & Papageorgiou, E. I. (2026). Interpretable Machine Learning Identifies Key Inflammatory and Morphological Drivers of Intracranial Aneurysm Rupture Risk. Bioengineering, 13(2), 226. https://doi.org/10.3390/bioengineering13020226

Note that from the first issue of 2016, this journal uses article numbers instead of page numbers. See further details here.

Article Metrics

Back to TopTop