Evaluating Biomechanical and Viscoelastic Properties of Masticatory Muscles in Temporomandibular Disorders: A Patient-Centric Approach Using MyotonPRO Measurements
Abstract
1. Introduction
2. Materials and Methods
2.1. Subject Recruitment
2.2. Questionnaire
2.3. Data Collection
2.4. Analysis
- Frequency (F): This parameter reflects the rate of muscle contractions, providing insights into muscle function and responsiveness.
- Stiffness (S): Stiffness indicates the resistance of the muscles to deformation, which can be crucial in understanding muscle tone and health.
- Decrement (D): This measures the decline in muscle response over time, which can help assess muscle fatigue and endurance.
- Mechanical Stress Relaxation Time (R): This parameter assesses how quickly a muscle relaxes after being contracted, providing information about muscle recovery dynamics.
- Creep (C): Creep evaluates the deformation of muscles under sustained load, which can indicate how muscles adapt to prolonged stress or tension.
3. Results
3.1. Biomechanical Properties by Functional Group
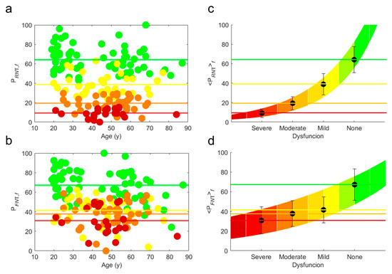
3.2. Functional Indices Derived from Residuals and Fluctuations
- Residuals: Residuals quantify the deviation of measured values from expected physiological norms. Larger residuals indicate reduced alignment and lower functionality. For instance, patients in the severe dysfunction group consistently showed the highest residual values, reflecting significant impairment.
- Fluctuations: Fluctuations represent the variability of measurements within a group. While some variability is indicative of natural adaptability, excessive fluctuations—as observed in the severe dysfunction group—suggest instability and diminished functional capacity.
4. Discussion
5. Conclusions
Author Contributions
Funding
Institutional Review Board Statement
Informed Consent Statement
Data Availability Statement
Conflicts of Interest
Appendix A
- No significant symptoms of TMD. The patient is considered free of temporomandibular disorders.
- Mild symptoms of TMD. Pain and impact on daily life are generally manageable with minimal interventions.
- Moderate symptoms of TMD that may interfere with some daily activities. More active treatment is indicated.
- Severe symptoms of TMD with a significant impact on quality of life. A multidisciplinary therapeutic approach is required.
- Extremely severe symptoms of TMD with severe functional and psychological impact. Intensive and multidisciplinary management is necessary.
References
- Lee, Y.-H. Functional Anatomy of the Temporomandibular Joint and Pathologic Changes in Temporomandibular Disease Progression: A Narrative Review. J. Korean Dent. Sci. 2024, 17, 14–35. [Google Scholar] [CrossRef]
- Kapos, F.P.; Exposto, F.G.; Oyarzo, J.F.; Durham, J. Temporomandibular Disorders: A Review of Current Concepts in Aetiology, Diagnosis and Management. Oral. Surg. 2020, 13, 321–334. [Google Scholar] [CrossRef]
- Chisnoiu, A.M.; Picos, A.M.; Popa, S.; Chisnoiu, P.D.; Lascu, L.; Picos, A.; Chisnoiu, R. Factors Involved in the Etiology of Temporomandibular Disorders—A Literature Review. Med. Pharm. Rep. 2015, 88, 473–478. [Google Scholar] [CrossRef]
- LeResche, L. Epidemiology of Temporomandibular Disorders: Implications for the Investigation of Etiologic Factors. Crit. Rev. Oral. Biol. Med. 1997, 8, 291–305. [Google Scholar] [CrossRef]
- Committee on Temporomandibular Disorders (TMDs). From Research Discoveries to Clinical Treatment; Board on Health Sciences Policy; Board on Health Care Services; Health and Medicine Division; National Academies of Sciences, Engineering, and Medicine. In Temporomandibular Disorders: Priorities for Research and Care; Bond, E.C., Mackey, S., English, R., Liverman, C.T., Yost, O., Eds.; National Academies Press: Washington, DC, USA, 2020; p. 25652. ISBN 978-0-309-67048-7. [Google Scholar]
- Bitiniene, D.; Zamaliauskiene, R.; Kubilius, R.; Leketas, M.; Gailius, T.; Smirnovaite, K. Quality of Life in Patients with Temporomandibular Disorders. A Systematic Review. Stomatologija 2018, 20, 3–9. [Google Scholar] [PubMed]
- Zieliński, G.; Pająk-Zielińska, B.; Ginszt, M. A Meta-Analysis of the Global Prevalence of Temporomandibular Disorders. JCM 2024, 13, 1365. [Google Scholar] [CrossRef]
- Araujo, R.Z.; Zancopé, K.; Moreira, R.S.; Neves, F.D.D. Masticatory Function Evaluation Methods: Critical Analysis of Selected Literature. Res. Soc. Dev. 2022, 11, e372111031390. [Google Scholar] [CrossRef]
- Elgestad Stjernfeldt, P.; Wårdh, I.; Trulsson, M.; Faxén Irving, G.; Boström, A.-M. Methods for Objectively Assessing Clinical Masticatory Performance: Protocol for a Systematic Review. Syst. Rev. 2017, 6, 20. [Google Scholar] [CrossRef]
- Schiffman, E.; Ohrbach, R.; Truelove, E.; Look, J.; Anderson, G.; Goulet, J.-P.; List, T.; Svensson, P.; Gonzalez, Y.; Lobbezoo, F.; et al. Diagnostic Criteria for Temporomandibular Disorders (DC/TMD) for Clinical and Research Applications: Recommendations of the International RDC/TMD Consortium Network* and Orofacial Pain Special Interest Group†. J. Oral. Facial Pain. Headache 2014, 28, 6–27. [Google Scholar] [CrossRef]
- Campi, G.; Ricci, A.; Costa, N.; Genovesi, F.; Branca, J.J.V.; Paternostro, F.; Della Posta, D. Dynamic Correlations and Disorder in the Masticatory Musculature Network. Life 2023, 13, 2107. [Google Scholar] [CrossRef]
- Abbass, M.M.S.; Rady, D.; El Moshy, S.; Ahmed Radwan, I.; Wadan, A.-H.S.; Dörfer, C.E.; El-Sayed, K.M.F. The Temporomandibular Joint and the Human Body: A New Perspective on Cross Talk. Dent. J. 2024, 12, 357. [Google Scholar] [CrossRef] [PubMed]
- Leonard, C.T.; Brown, J.S.; Price, T.R.; Queen, S.A.; Mikhailenok, E.L. Comparison of Surface Electromyography and Myotonometric Measurements during Voluntary Isometric Contractions. J. Electromyogr. Kinesiol. 2004, 14, 709–714. [Google Scholar] [CrossRef] [PubMed][Green Version]
- Peipsi, A.; Kosemets, M. MyotonPRO User Manual; MYOTON AS: Tallinn, Estonia, 2023. [Google Scholar]
- Chuang, L.; Wu, C.; Lin, K. Reliability, Validity, and Responsiveness of Myotonometric Measurement of Muscle Tone, Elasticity, and Stiffness in Patients With Stroke. Arch. Phys. Med. Rehabil. 2012, 93, 532–540. [Google Scholar] [CrossRef] [PubMed]
- Korhonen, R.K.; Vain, A.; Vanninen, E.; Viir, R.; Jurvelin, J.S. Can Mechanical Myotonometry or Electromyography Be Used for the Prediction of Intramuscular Pressure? Physiol. Meas. 2005, 26, 951–963. [Google Scholar] [CrossRef] [PubMed]
- Ramazanoglu, E.; Turhan, B.; Usgu, S. Evaluation of the Tone and Viscoelastic Properties of the Masseter Muscle in the Supine Position, and Its Relation to Age and Gender. Dent. Med. Probl. 2021, 58, 155–161. [Google Scholar] [CrossRef] [PubMed]
- Della Posta, D.; Branca, J.J.V.; Guarnieri, G.; Veltro, C.; Pacini, A.; Paternostro, F. Modularity of the Human Musculoskeletal System: The Correlation between Functional Structures by Computer Tools Analysis. Life 2022, 12, 1186. [Google Scholar] [CrossRef]
- Campi, G.; Cristofaro, F.; Pani, G.; Fratini, M.; Pascucci, B.; Corsetto, P.A.; Weinhausen, B.; Cedola, A.; Rizzo, A.M.; Visai, L.; et al. Heterogeneous and Self-Organizing Mineralization of Bone Matrix Promoted by Hydroxyapatite Nanoparticles. Nanoscale 2017, 9, 17274–17283. [Google Scholar] [CrossRef]
- Campi, G.; Fratini, M.; Bukreeva, I.; Ciasca, G.; Burghammer, M.; Brun, F.; Tromba, G.; Mastrogiacomo, M.; Cedola, A. Imaging Collagen Packing Dynamics during Mineralization of Engineered Bone Tissue. Acta Biomater. 2015, 23, 309–316. [Google Scholar] [CrossRef] [PubMed]
- Campi, G.; Di Gioacchino, M.; Poccia, N.; Ricci, A.; Burghammer, M.; Ciasca, G.; Bianconi, A. Nanoscale Correlated Disorder in Out-of-Equilibrium Myelin Ultrastructure. ACS Nano 2018, 12, 729–739. [Google Scholar] [CrossRef]
- Altamura, M.; Elvevåg, B.; Campi, G.; De Salvia, M.; Marasco, D.; Ricci, A.; Bellomo, A. Toward Scale-free like Behavior under Increasing Cognitive Load. Complexity 2012, 18, 38–43. [Google Scholar] [CrossRef]
- Di Gioacchino, M.; Bianconi, A.; Burghammer, M.; Ciasca, G.; Bruni, F.; Campi, G. Myelin Basic Protein Dynamics from Out-of-Equilibrium Functional State to Degraded State in Myelin. Biochim. Et Biophys. Acta (BBA)-Biomembr. 2020, 1862, 183256. [Google Scholar] [CrossRef]
- Gałczyńska-Rusin, M.; Pobudek-Radzikowska, M.; Gawriołek, K.; Czajka-Jakubowska, A. Gender-Related Biomechanical Properties of Masseter Muscle among Patients with Self-Assessment of Bruxism: A Comparative Study. J. Clin. Med. 2022, 11, 845. [Google Scholar] [CrossRef] [PubMed]
- Trybulski, R.; Kużdżał, A.; Wilk, M.; Więckowski, J.; Fostiak, K.; Muracki, J. Reliability of MyotonPro in Measuring the Biomechanical Properties of the Quadriceps Femoris Muscle in People with Different Levels and Types of Motor Preparation. Front. Sports Act. Living 2024, 6, 1453730. [Google Scholar] [CrossRef]
- Lettner, J.; Królikowska, A.; Ramadanov, N.; Oleksy, Ł.; Hakam, H.T.; Becker, R.; Prill, R. Evaluating the Reliability of MyotonPro in Assessing Muscle Properties: A Systematic Review of Diagnostic Test Accuracy. Medicina 2024, 60, 851. [Google Scholar] [CrossRef] [PubMed]
- Bizzini, M.; Mannion, A.F. Reliability of a New, Hand-Held Device for Assessing Skeletal Muscle Stiffness. Clin. Biomech. 2003, 18, 459–461. [Google Scholar] [CrossRef]
- Peipsi, A.; Kerpe, R.; Jäger, H.; Soeder, S.; Gordon, C.; Schleip, R. Myoton Pro: A Novel Tool for the Assessment of Mechanical Properties of Fascial Tissues. J. Bodyw. Mov. Ther. 2012, 16, 527. [Google Scholar] [CrossRef]
- Yu, J.; Chang, T.; Zhang, Z. The Reliability of MyotonPRO in Assessing Masseter Muscle Stiffness and the Effect of Muscle Contraction. Med. Sci. Monit. 2020, 26, e926578-1. [Google Scholar] [CrossRef] [PubMed]
- Li, Y.-P.; Liu, C.-L.; Zhang, Z.-J. Feasibility of Using a Portable MyotonPRO Device to Quantify the Elastic Properties of Skeletal Muscle. Med. Sci. Monit. 2021, 28, e934121-1. [Google Scholar] [CrossRef]
- Sun, S.; Xu, P.; Buchweitz, N.; Hill, C.N.; Ahmadi, F.; Wilson, M.B.; Mei, A.; She, X.; Sagl, B.; Slate, E.H.; et al. Explainable Deep Learning and Biomechanical Modeling for TMJ Disorder Morphological Risk Factors. JCI Insight 2024, 9, e178578. [Google Scholar] [CrossRef]
- Angst, L.; Koolstra, J.H.; Wiedemeier, D.; Van Sluijs, R.M.; Pulfer, A.M.; Gallo, L.M.; Colombo, V. Masticatory Muscles Activation and TMJ Space During Asymmetrically Loaded Jaw Closing. Ann. Biomed. Eng. 2024, 52, 877–887. [Google Scholar] [CrossRef] [PubMed]
- Dessem, D.; Lovering, R.M. Repeated Muscle Injury as a Presumptive Trigger for Chronic Masticatory Muscle Pain. Pain Res. Treat. 2011, 2011, 647967. [Google Scholar] [CrossRef][Green Version]
- Shields, R.K. Fatigability, Relaxation Properties, and Electromyographic Responses of the Human Paralyzed Soleus Muscle. J. Neurophysiol. 1995, 73, 2195–2206. [Google Scholar] [CrossRef]
- Herpich, C.M.; Gomes, C.A.F.D.P.; Dibai-Filho, A.V.; Politti, F.; Souza, C.D.S.; Biasotto-Gonzalez, D.A. Correlation Between Severity of Temporomandibular Disorder, Pain Intensity, and Pressure Pain Threshold. J. Manip. Physiol. Ther. 2018, 41, 47–51. [Google Scholar] [CrossRef]
- Nguyen, A.P.; Detrembleur, C.; Fisette, P.; Selves, C.; Mahaudens, P. MyotonPro Is a Valid Device for Assessing Wrist Biomechanical Stiffness in Healthy Young Adults. Front. Sports Act. Living 2022, 4, 797975. [Google Scholar] [CrossRef]
- Saran, S.; Saccomanno, S.; Petricca, M.T.; Carganico, A.; Bocchieri, S.; Mastrapasqua, R.F.; Caramaschi, E.; Levrini, L. Physiotherapists and Osteopaths’ Attitudes: Training in Management of Temporomandibular Disorders. Dent. J. 2022, 10, 210. [Google Scholar] [CrossRef] [PubMed]
- Sauvageon, L.; Savard, G.; Moussa, C.; Rochefort, G.Y.; Denis, F.; Fossat, C.; Renaud, M. Dentists and Physiotherapists Level of Collaboration in the Treatment of Temporomandibular Disorders in France. BMC Oral. Health 2024, 24, 979. [Google Scholar] [CrossRef] [PubMed]
- Pileicikiene, G.; Surna, A. The Human Masticatory System From A Biomechanical Perspective: A Review. Stomatologija 2004, 6, 81–84. [Google Scholar]
- Von Korff, M.; DeBar, L.L.; Krebs, E.E.; Kerns, R.D.; Deyo, R.A.; Keefe, F.J. Graded Chronic Pain Scale Revised: Mild, Bothersome, and High-Impact Chronic Pain. Pain 2020, 161, 651–661. [Google Scholar] [CrossRef]
- Von Korff, M.; Ormel, J.; Keefe, F.J.; Dworkin, S.F. Grading the Severity of Chronic Pain. Pain 1992, 50, 133–149. [Google Scholar] [CrossRef]
- Bastien, C. Validation of the Insomnia Severity Index as an Outcome Measure for Insomnia Research. Sleep Med. 2001, 2, 297–307. [Google Scholar] [CrossRef] [PubMed]
- Slade, G.D.; Spencer, A.J. Development and Evaluation of the Oral Health Impact Profile. Community Dent. Health 1994, 11, 3–11. [Google Scholar]
- Kroenke, K.; Spitzer, R.L.; Williams, J.B.W. The PHQ-9: Validity of a Brief Depression Severity Measure. J. Gen. Intern. Med. 2001, 16, 606–613. [Google Scholar] [CrossRef]
- Spitzer, R.L.; Kroenke, K.; Williams, J.B.W.; Löwe, B. A Brief Measure for Assessing Generalized Anxiety Disorder: The GAD-7. Arch. Intern. Med. 2006, 166, 1092. [Google Scholar] [CrossRef] [PubMed]





Disclaimer/Publisher’s Note: The statements, opinions and data contained in all publications are solely those of the individual author(s) and contributor(s) and not of MDPI and/or the editor(s). MDPI and/or the editor(s) disclaim responsibility for any injury to people or property resulting from any ideas, methods, instructions or products referred to in the content. |
© 2025 by the authors. Licensee MDPI, Basel, Switzerland. This article is an open access article distributed under the terms and conditions of the Creative Commons Attribution (CC BY) license (https://creativecommons.org/licenses/by/4.0/).
Share and Cite
Della Posta, D.; Paternostro, F.; Costa, N.; Branca, J.J.V.; Guarnieri, G.; Morelli, A.; Pacini, A.; Campi, G. Evaluating Biomechanical and Viscoelastic Properties of Masticatory Muscles in Temporomandibular Disorders: A Patient-Centric Approach Using MyotonPRO Measurements. Bioengineering 2025, 12, 97. https://doi.org/10.3390/bioengineering12020097
Della Posta D, Paternostro F, Costa N, Branca JJV, Guarnieri G, Morelli A, Pacini A, Campi G. Evaluating Biomechanical and Viscoelastic Properties of Masticatory Muscles in Temporomandibular Disorders: A Patient-Centric Approach Using MyotonPRO Measurements. Bioengineering. 2025; 12(2):97. https://doi.org/10.3390/bioengineering12020097
Chicago/Turabian StyleDella Posta, Daniele, Ferdinando Paternostro, Nicola Costa, Jacopo J. V. Branca, Giulia Guarnieri, Annamaria Morelli, Alessandra Pacini, and Gaetano Campi. 2025. "Evaluating Biomechanical and Viscoelastic Properties of Masticatory Muscles in Temporomandibular Disorders: A Patient-Centric Approach Using MyotonPRO Measurements" Bioengineering 12, no. 2: 97. https://doi.org/10.3390/bioengineering12020097
APA StyleDella Posta, D., Paternostro, F., Costa, N., Branca, J. J. V., Guarnieri, G., Morelli, A., Pacini, A., & Campi, G. (2025). Evaluating Biomechanical and Viscoelastic Properties of Masticatory Muscles in Temporomandibular Disorders: A Patient-Centric Approach Using MyotonPRO Measurements. Bioengineering, 12(2), 97. https://doi.org/10.3390/bioengineering12020097

