Rotational Gait Problems in the Presence of Femoral Deformity
Abstract
1. Introduction
2. Materials and Methods
Statistics
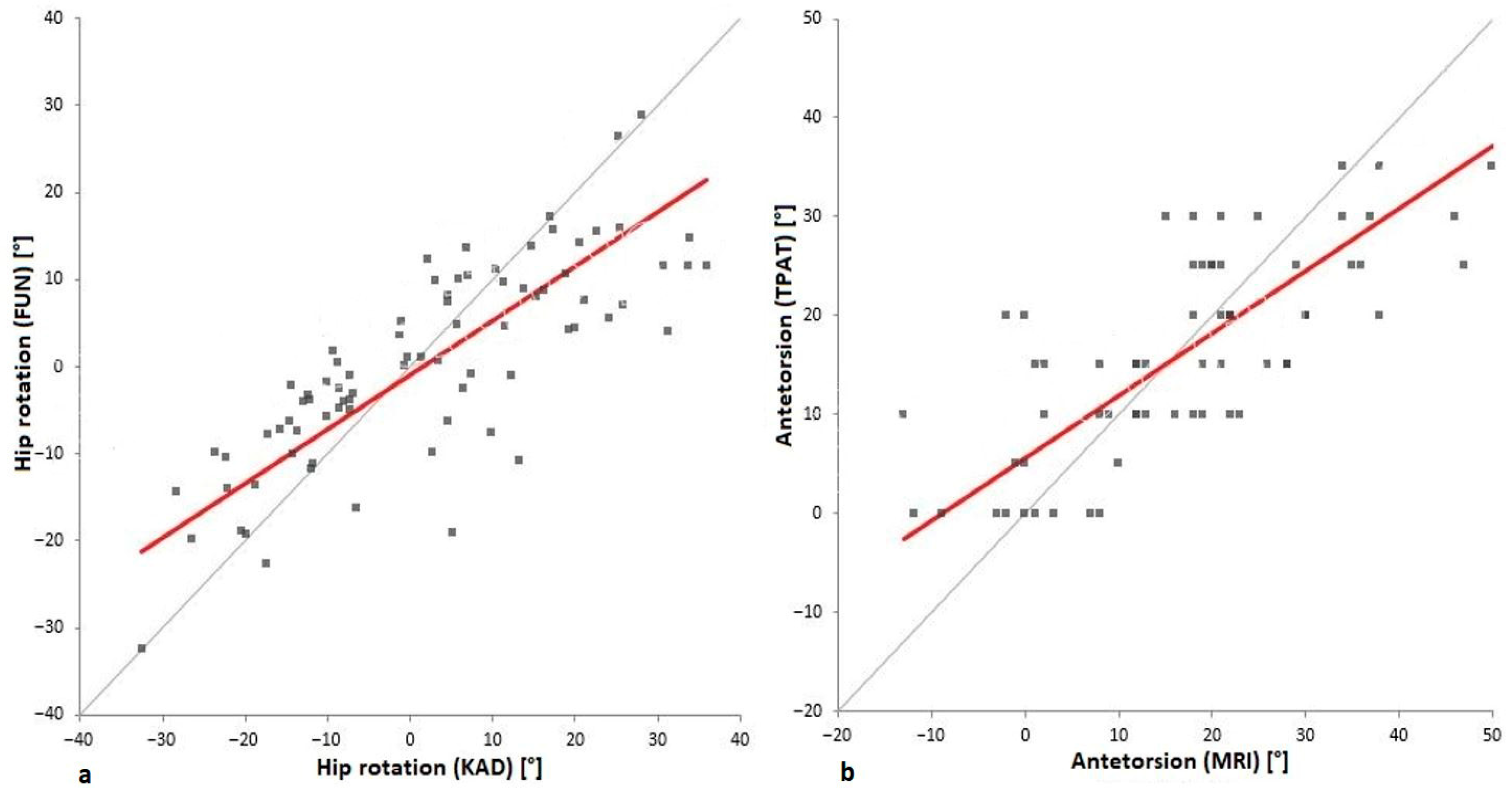
3. Results
4. Discussion
5. Limitations
6. Conclusions
Author Contributions
Funding
Institutional Review Board Statement
Informed Consent Statement
Data Availability Statement
Acknowledgments
Conflicts of Interest
Abbreviations
| MRI | Magnetic Resonance Imaging |
| TPAT | Trochanter Prominence Angle Test |
| KAD | Knee Alignment Device |
| FUN | Functional Calibration |
| CGA | conventional gait analysis |
| TD | typical developing subjects |
| FDO | femoral derotation osteotomy |
References
- Carty, C.P.; Walsh, H.P.; Gillett, J.G.; Phillips, T.; Edwards, J.M.; deLacy, M.; Boyd, R.N. The effect of femoral derotation osteotomy on transverse plane hip and pelvic kinematics in children with cerebral palsy: A systematic review and meta-analysis. Gait Posture 2014, 40, 333–340. [Google Scholar] [CrossRef]
- Dreher, T.; Wolf, S.I.; Heitzmann, D.; Swartman, B.; Schuster, W.; Gantz, S.; Hagmann, S.; Doderlein, L.; Braatz, F. Long-term outcome of femoral derotation osteotomy in children with spastic diplegia. Gait Posture 2012, 36, 467–470. [Google Scholar] [CrossRef]
- Hamid, J.; Do, P.; Bauer, J. 3D Gait Analysis and Patient-reported Outcomes of Femoral Osteotomies for Torsional Deformity. J. Pediatr. Orthop. 2022, 42, 496–502. [Google Scholar] [CrossRef] [PubMed]
- Naqvi, G.; Stohr, K.; Rehm, A. Proximal femoral derotation osteotomy for idiopathic excessive femoral anteversion and intoeing gait. SICOT J. 2017, 3, 49. [Google Scholar] [CrossRef]
- Niklasch, M.; Dreher, T.; Doderlein, L.; Wolf, S.I.; Ziegler, K.; Brunner, R.; Rutz, E. Superior functional outcome after femoral derotation osteotomy according to gait analysis in cerebral palsy. Gait Posture 2015, 41, 52–56. [Google Scholar] [CrossRef]
- Davids, J.R.; Benfanti, P.; Blackhurst, D.W.; Allen, B.L. Assessment of femoral anteversion in children with cerebral palsy: Accuracy of the trochanteric prominence angle test. J. Pediatr. Orthop. 2002, 22, 173–178. [Google Scholar] [CrossRef]
- Braatz, F.; Wolf, S.I.; Gerber, A.; Klotz, M.C.; Dreher, T. Do changes in torsional magnetic resonance imaging reflect improvement in gait after femoral derotation osteotomy in patients with cerebral palsy? Int. Orthop. 2013, 37, 2193–2198. [Google Scholar] [CrossRef] [PubMed]
- Geisbusch, A.; Auer, C.; Dickhaus, H.; Putz, C.; Dreher, T. Electromagnetic tracking for femoral derotation osteotomy-an in vivo study. J. Orthop. Res. 2017, 35, 2652–2657. [Google Scholar] [CrossRef]
- de Morais Filho, M.C.; Kawamura, C.M.; dos Santos, C.A.; Mattar, R., Jr. Outcomes of correction of internal hip rotation in patients with spastic cerebral palsy using proximal femoral osteotomy. Gait Posture 2012, 36, 201–204. [Google Scholar] [CrossRef] [PubMed]
- Hara, R.; Rethlefsen, S.A.; Wren, T.A.L.; Kay, R.M. Predictors of Changes in Pelvic Rotation after Surgery with or without Femoral Derotational Osteotomy in Ambulatory Children with Cerebral Palsy. Bioengineering 2023, 10, 1214. [Google Scholar] [CrossRef]
- Schwartz, M.H.; Rozumalski, A.; Novacheck, T.F. Femoral derotational osteotomy: Surgical indications and outcomes in children with cerebral palsy. Gait Posture 2014, 39, 778–783. [Google Scholar] [CrossRef]
- Thielen, M.; Wolf, S.I.; Klotz, M.C.M.; Geisbusch, A.; Putz, C.; Krautwurst, B.; Dreher, T. Supracondylar femoral rotation osteotomy affects frontal hip kinetics in children with bilateral cerebral palsy. Dev. Med. Child Neurol. 2019, 61, 322–328. [Google Scholar] [CrossRef] [PubMed]
- Wren, T.A.; Lening, C.; Rethlefsen, S.A.; Kay, R.M. Impact of gait analysis on correction of excessive hip internal rotation in ambulatory children with cerebral palsy: A randomized controlled trial. Dev. Med. Child Neurol. 2013, 55, 919–925. [Google Scholar] [CrossRef]
- Niklasch, M.; Klotz, M.C.; Wolf, S.I.; Dreher, T. Long-term development of overcorrection after femoral derotation osteotomy in children with cerebral palsy. Gait Posture 2018, 61, 183–187. [Google Scholar] [CrossRef]
- Bohm, H.; Hosl, M.; Dussa, C.U.; Doderlein, L. Correction of gait after derotation osteotomies in cerebral palsy: Are the effects predictable? Gait Posture 2015, 42, 569–574. [Google Scholar] [CrossRef]
- Putz, C.; Wolf, S.I.; Geisbusch, A.; Niklasch, M.; Doderlein, L.; Dreher, T. Femoral derotation osteotomy in adults with cerebral palsy. Gait Posture 2016, 49, 290–296. [Google Scholar] [CrossRef]
- Dreher, T.; Wolf, S.; Braatz, F.; Patikas, D.; Doderlein, L. Internal rotation gait in spastic diplegia—Critical considerations for the femoral derotation osteotomy. Gait Posture 2007, 26, 25–31. [Google Scholar] [CrossRef]
- Kay, R.M.; Rethlefsen, S.A.; Hale, J.M.; Skaggs, D.L.; Tolo, V.T. Comparison of proximal and distal rotational femoral osteotomy in children with cerebral palsy. J. Pediatr. Orthop. 2003, 23, 150–154. [Google Scholar] [CrossRef] [PubMed]
- Davis, R.B.; Ounpuu, S.; Tyburski, D.; Gage, J.R. A gait analysis data collection and reduction technique. Hum. Mov. Sci. 1991, 10, 575–587. [Google Scholar] [CrossRef]
- Leboucher, J.; Salami, F.; Özturk, O.; Heitzmann, D.W.W.; Götze, M.; Dreher, T.; Wolf, S.I. Focusing on functional knee parameter determination to develop a better clinical gait analysis protocol. Gait Posture 2021, 84, 127–136. [Google Scholar] [CrossRef]
- Kainz, H.; Carty, C.P.; Modenese, L.; Boyd, R.N.; Lloyd, D.G. Estimation of the hip joint centre in human motion analysis: A systematic review. Clin. Biomech. 2015, 30, 319–329. [Google Scholar] [CrossRef]
- Musagara, A.R.; Salami, F.; Oelmaier, H.; Götze, M.; Wolf, S.I. Are we overestimating internal rotation gait by conventional modelling? Gait Posture 2023, 103, 57–61. [Google Scholar] [CrossRef]
- Maier, C.; Zingg, P.; Seifert, B.; Sutter, R.; Dora, C. Femoral torsion: Reliability and validity of the trochanteric prominence angle test. Hip Int. 2012, 22, 534–538. [Google Scholar] [CrossRef] [PubMed]
- Heller, M.O.; Kratzenstein, S.; Ehrig, R.M.; Wassilew, G.; Duda, G.N.; Taylor, W.R. The weighted optimal common shape technique improves identification of the hip joint center of rotation in vivo. J. Orthop. Res. 2011, 29, 1470–1475. [Google Scholar] [CrossRef] [PubMed]
- Ehrig, R.M.; Taylor, W.R.; Duda, G.N.; Heller, M.O. A survey of formal methods for determining functional joint axes. J. Biomech. 2007, 40, 2150–2157. [Google Scholar] [CrossRef]
- Koenig, J.K.; Pring, M.E.; Dwek, J.R. MR evaluation of femoral neck version and tibial torsion. Pediatr. Radiol. 2012, 42, 113–115. [Google Scholar] [CrossRef]
- Vassalou, E.E.; Klontzas, M.E.; Kouvidis, G.K.; Matalliotaki, P.I.; Karantanas, A.H. Rotational Knee Laxity in Anterior Cruciate Ligament Deficiency: An Additional Secondary Sign on MRI. Am. J. Roentgenol. 2016, 206, 151–154. [Google Scholar] [CrossRef]
- Ruwe, P.A.; Gage, J.R.; Ozonoff, M.B.; Deluca, P.A. Clinical Determination of Femoral Anteversion—A Comparison with Established Techniques. J. Bone Jt. Surg. 1992, 74, 820–830. [Google Scholar] [CrossRef]
- Deming, W.E. Statistical Adjustment of Data; Dover Publication Inc.: New York, NY, USA, 1943. [Google Scholar]
- Dimitriou, D.; Tsai, T.Y.; Yue, B.; Rubash, H.E.; Kwon, Y.M.; Li, G. Side-to-side variation in normal femoral morphology: 3D CT analysis of 122 femurs. Orthop. Traumatol. Surg. Res. 2016, 102, 91–97. [Google Scholar] [CrossRef]
- Hesham, K.; Carry, P.M.; Freese, K.; Kestel, L.; Stewart, J.R.; Delavan, J.A.; Novais, E.N. Measurement of Femoral Version by MRI is as Reliable and Reproducible as CT in Children and Adolescents With Hip Disorders. J. Pediatr. Orthop. 2017, 37, 557–562. [Google Scholar] [CrossRef]
- Shultz, S.J.; Nguyen, A.D.; Windley, T.C.; Kulas, A.S.; Botic, T.L.; Beynnon, B.D. Intratester and intertester reliability of clinical measures of lower extremity anatomic characteristics: Implications for multicenter studies. Clin. J. Sport Med. 2006, 16, 155–161. [Google Scholar] [CrossRef]
- Souza, R.B.; Powers, C.M. Concurrent criterion-related validity and reliability of a clinical test to measure femoral anteversion. J. Orthop. Sports Phys. Ther. 2009, 39, 586–592. [Google Scholar] [CrossRef]
- Testa, R.; Chouteau, J.; Philippot, R.; Cheze, L.; Fessy, M.; Moyen, B. In vitro analysis of varus-valgus laxity of the knee joint: Comparison of clinical evaluation with measurements using a reference motion analysis system. IRBM 2010, 31, 302–308. [Google Scholar] [CrossRef]
- Yoon, T.L.; Park, K.M.; Choi, S.A.; Lee, J.H.; Jeong, H.J.; Cynn, H.S. A comparison of the reliability of the trochanteric prominence angle test and the alternative method in healthy subjects. Man. Ther. 2014, 19, 97–101. [Google Scholar] [CrossRef] [PubMed]
- Ries, A.; Schwartz, M. Trochanteric prominence angle test (TPAT)! What is it good for? Gait Posture 2023, 106, S173. [Google Scholar] [CrossRef]


Disclaimer/Publisher’s Note: The statements, opinions and data contained in all publications are solely those of the individual author(s) and contributor(s) and not of MDPI and/or the editor(s). MDPI and/or the editor(s) disclaim responsibility for any injury to people or property resulting from any ideas, methods, instructions or products referred to in the content. |
© 2025 by the authors. Licensee MDPI, Basel, Switzerland. This article is an open access article distributed under the terms and conditions of the Creative Commons Attribution (CC BY) license (https://creativecommons.org/licenses/by/4.0/).
Share and Cite
Rehani Musagara, A.; Salami, F.; Putz, C.; Beckmann, N.A.; Götze, M.; Wolf, S.I. Rotational Gait Problems in the Presence of Femoral Deformity. Bioengineering 2025, 12, 1207. https://doi.org/10.3390/bioengineering12111207
Rehani Musagara A, Salami F, Putz C, Beckmann NA, Götze M, Wolf SI. Rotational Gait Problems in the Presence of Femoral Deformity. Bioengineering. 2025; 12(11):1207. https://doi.org/10.3390/bioengineering12111207
Chicago/Turabian StyleRehani Musagara, Arik, Firooz Salami, Cornelia Putz, Nicholas A. Beckmann, Marco Götze, and Sebastian I. Wolf. 2025. "Rotational Gait Problems in the Presence of Femoral Deformity" Bioengineering 12, no. 11: 1207. https://doi.org/10.3390/bioengineering12111207
APA StyleRehani Musagara, A., Salami, F., Putz, C., Beckmann, N. A., Götze, M., & Wolf, S. I. (2025). Rotational Gait Problems in the Presence of Femoral Deformity. Bioengineering, 12(11), 1207. https://doi.org/10.3390/bioengineering12111207

