Bidirectional Endothelial Feedback Drives Turing-Vascular Patterning and Drug-Resistance Niches: A Hybrid PDE-Agent-Based Study
Abstract
1. Introduction
2. Methods
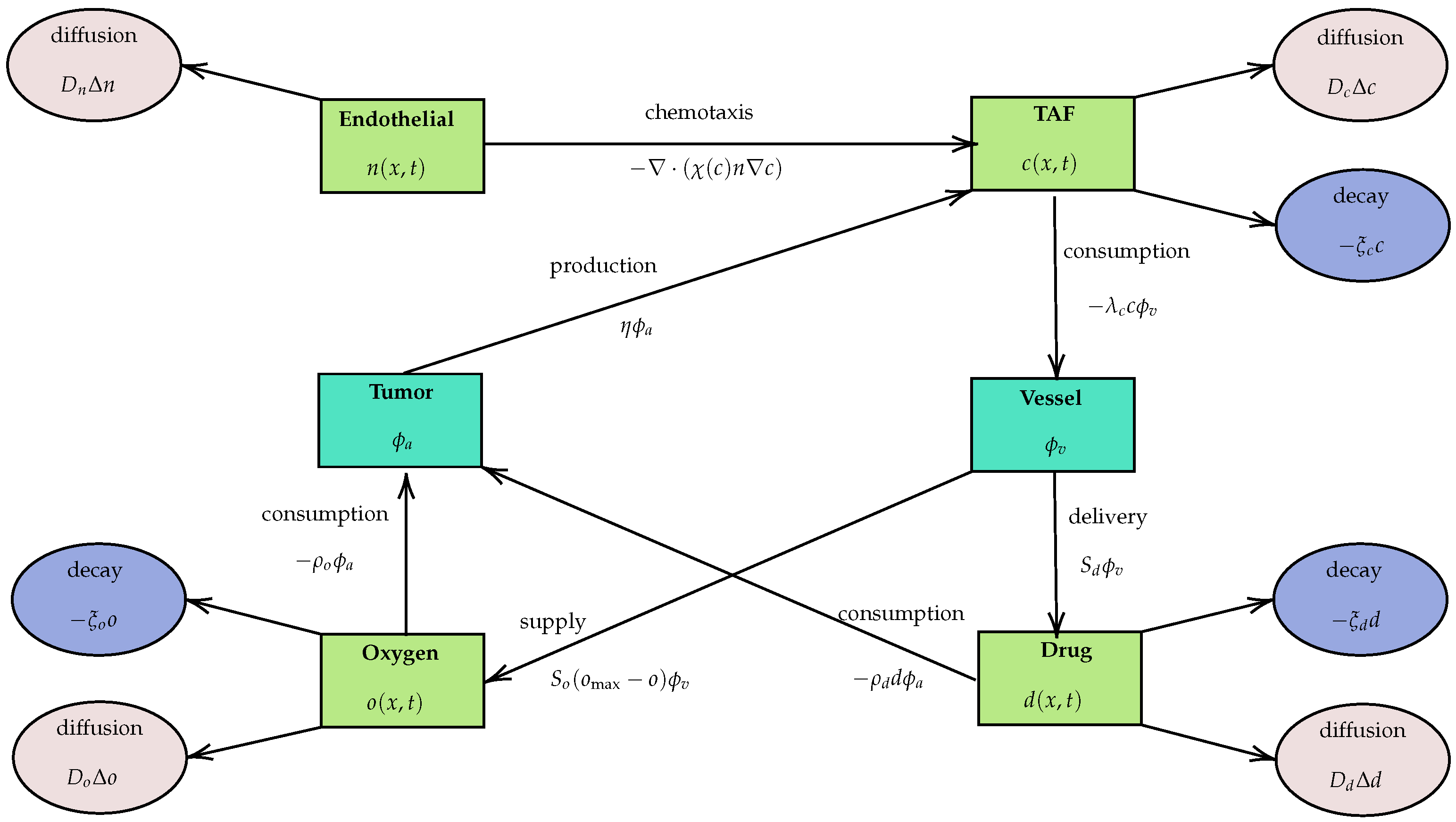
2.1. PDE Equations
- (i)
- Endothelial dynamics n
- (ii)
- TAF dynamics c
- (iii)
- Drug dynamics (d)
- (iv)
- Oxygen dynamics (o)
2.2. Agent-Based Rules
2.2.1. ABM Tumor Cell Rules
- (i)
- Cell trait
- (ii)
- Cell motility
- (iii)
- Cell sensing
- (iv)
- Damage accumulation and death criteria
- (v)
- Division rules
- (vi)
- Inheritance
- (i)
- Preexisting resistance. At initialization, of cells are specified as resistant, with , while the remaining are sensitive, with .
- (ii)
- Spontaneous mutation. All cells are initialized as sensitive, with .
- (vii)
- Mutation
2.2.2. ABM Angiogenesis Rules
- (i)
- Agent trait
- (ii)
- Anastomosis
- (iii)
- Branching
- (iv)
- Proliferation
- (v)
- Angiogenic network
3. Numerical Implementation
3.1. Parameterization and Nondimensionalization
3.2. Numerical Implementation
- (i)
- Consistency. The local truncation errors of the endothelial chemotaxis and ADI schemes satisfy
- (ii)
- Stability. The ADI scheme is unconditionally stable for pure linear diffusion. The finite difference scheme for endothelial chemotaxis is conditionally stable under the CFL condition (Equation (13)). Moreover, subject to the additional constraintsall motility probabilities remain nonnegative.
- (iii)
- (iv)
- (v)
- Mass Conservation. With one-sided Neumann boundary approximation, the scheme conserves the total mass:
4. Mathematical Analysis
4.1. Unidirectional Coupling
4.2. Bidirectional Coupling
- (i)
- All results in Section 4.1 and Section 4.2 are derived from linearization around homogeneous steady states. They determine conditions for the onset of instability but do not address nonlinear dynamics (e.g., pattern selection), which remain open questions for future work.
- (ii)
- Our analysis is in a two-dimensional cross-section, which necessarily omits true three-dimensional features such as vascular tortuosity and branching geometry. By Weyl’s law [61], the eigenvalue count satisfiesthe number of Laplacian eigenmodes below a threshold grows faster in 3D () than in 2D (). Thus, three-dimensional geometries generally admit more unstable modes within a given band, and one may expect similar instabilities, potentially with even broader unstable ranges.
- (iii)
- An important corollary of Theorem 3 is that the instability band arises only through a Turing instability: since , complex-conjugate eigenvalues are strictly damped and no Hopf bifurcation occurs. Thus, the model predicts the formation of stable spatial patterns rather than sustained oscillations. This outcome is consistent with classical results on chemotaxis-driven patterning, as reviewed in the Keller–Segel framework [62].
5. Results
5.1. Finite-Domain Constraints
5.2. Bifurcation Diagram
5.3. Turing Instability
6. Discussion
- (i)
- Dimensionality. The model is restricted to a two-dimensional tissue slice with homogeneous Neumann boundaries, whereas real tumors and engineered tissues are three-dimensional with irregular geometries and mixed boundary conditions. Spectral theory indicates that the number of Laplacian eigenvalues below a given threshold scales as , so more unstable modes arise in 3D () than in 2D (). Consequently, our 2D simulations provide a conservative estimate: real 3D tissues with tortuous vasculature are expected to exhibit broader unstable bands, richer spatial patterning, and potentially lower thresholds for instability. Extending the framework to three dimensions will therefore be essential for quantitative calibration against in vivo data.
- (ii)
- Biochemical kinetics and transport. Linear kinetic laws for oxygen and drugs capture low-concentration dynamics but neglect Michaelis–Menten saturation and active efflux. Blood flow is treated as idealized and constant, though in vivo perfusion is dynamic, rerouted, and occasionally reversed within single vessels [68]. Incorporating spatiotemporally variable flow fields and nonlinear kinetics would refine predictions of hypoxia, perfusion heterogeneity, and resistance niches.
- (iii)
- Microenvironmental and therapeutic detail. Immune and stromal cells, which profoundly affect tumor progression and therapy response, are not explicitly represented. Drug dynamics are simplified as diffusion, uptake, and decay, without accounting for pharmacokinetics/pharmacodynamics or combination therapies. These omissions limit realism in resistance evolution and therapeutic predictions; coupling with immune ABMs and pharmacological models will be needed.
- We discuss additional caveats, including mechanics, motility variants, alternative resistance schemes, and applications beyond oncology, in Appendix J.
Author Contributions
Funding
Institutional Review Board Statement
Informed Consent Statement
Data Availability Statement
Acknowledgments
Conflicts of Interest
Abbreviations
| ABC | ATP-binding cassette |
| ABM | Agent-based model |
| ADI | Alternating direction implicit |
| CFL | Courant–Friedrichs–Lewy |
| DTP | Drug-tolerant persister |
| HIF-1 | Hypoxia-inducible factor-1 |
| i.i.d. | Independent and identically distributed |
| PDE | Partial differential equation |
| TAF | Tumor angiogenic factor |
| VEGF | Vascular endothelial growth factor |
Appendix A. Comparison of Modeling Works
| Model/Reference | Type | Angio. | Resist. | Spatial | Limitations |
|---|---|---|---|---|---|
| Balding et al. (1985) [70] | Continuum (RD) | Dynamic (waves) | None | Low | Early RD for vessel tips; lacks resistance/tumor cells; our model adds hybrid resistance evolution. |
| Byrne et al. (1995) [14] | Continuum (RD) | Dynamic (chemotaxis) | None | Low | Chemotactic vessel growth; no mutations; our model integrates ABM for stochastic resistance. |
| Anderson et al. (1998) [25] | Hybrid (PDE-ABM) | Dynamic (branching) | None | Medium | 2D hybrid angiogenesis; static tumor; our model extends to dynamic tumor cells, mutations. |
| Murray (2002) [71] | Continuum (Keller–Segel) | Dynamic (chemotaxis) | None | Low | Biased cell movement; no resistance; our model couples with ABM clonal dynamics. |
| Anderson (2005, 2007) [38,40] | Hybrid (PDE-ABM) | None | Spontaneous | High | Foundational hybrid invasion/resistance; our model adds preexisting mutations, spatial pattern formation. |
| Billy et al. (2009) [34] | Continuum (RD) | Dynamic | Preexisting/acquired | Medium | Continuum angiogenesis; limited spatial resistance; our model includes neutral mutations, hybrids. |
| Gevertz (2014) [18] | ABM | Static | Preexisting/acquired | High | Resistance niches; no dynamic vessels; our model adds dynamic angiogenesis. |
| Spill et al. (2015) [49] | Hybrid (mesoscopic) | Dynamic | None | High | Mesoscopic angiogenesis; no resistance; our model adds mutations, spatial pattern formation. |
| Sun (2018) [72] | Review | None | Various | Various | Lacks angio–resistance coupling. |
| Altrock et al. (2015) [12] | Review | Varies | Varies | Varies | General oncology review; our model specifies hybrid angiogenesis and resistance evolution. |
| Yin (2019) [13] | Review | Varies | Preexisting/acquired | Varies | Resistance review; our model contributes novel hybrid integration. |
| Flandoli (2023) [19] | Hybrid (PDE-ABM) | Dynamic (mechanics) | None | High | Lennard-Jones forces; no resistance; our model adds mutations, spatial pattern formation. |
| Jamali (2024) [73] | Review | None | General | High | Immune-tumor ABM; no angiogenesis; our model focuses on vascular dynamics and resistance. |
| Our Model (2025) | Hybrid (PDE-ABM) | Dynamic (chemotaxis, branching) | Preexisting/spontaneous | High | 2D simplification |
Appendix B. Drug Efflux Extension
Appendix C. Agent Trait Vector
Appendix C.1. Tumor Cell Traits
Appendix C.2. Tip Cell Traits

Appendix D. ABM Update Algorithm
| Algorithm A1 Hybrid PDE–ABM solver (PDE update and coupling). The ABM update is summarized here for completeness, while Algorithm A2 provides detailed rules. |
|
Appendix E. Unit Conversion in 2D and 3D and Parameter Estimation
- (i)
- Volumetric (3D) concentrations. If denotes a volumetric concentration (mol/), the areal cell density can be converted to a volumetric cell density by dividing by an effective tissue thickness h (m). The source and uptake terms take the formHere, has units mol/(cell·s) and has units /(cell·s). These terms yield mol/(·s), as required for .
- (ii)
- Areal (2D) concentrations. If we instead evolve the slab-integrated concentration (), then the PDE uses areal source and uptake terms:so that () and (). Under the thin-slab assumption (no z variation), the in-plane diffusion coefficient and decay rate remain numerically unchanged.
Appendix F. Linear Stability Calculation
Appendix F.1. Proof of Theorem 2 (Unidirectional Coupling: Pattern Suppression)
| Algorithm A2 Agent-based model (ABM) update rules, executed once per step in the hybrid solver (Algorithm A1). |
|
- (i)
- Strictly speaking, in the normoxic and hypoxic scenario, the Fourier mode should be interpreted separately. It corresponds to spatially uniform perturbations, for which is a neutral stable eigenvalue. This trivial zero mode corresponds to conservation of total mass or the unchanged average state, and does not affect the pattern-forming dynamics. Our focus is on , where perturbations represent genuine spatial inhomogeneities. For these modes, no positive growth rates σ emerge, confirming that aside from the trivial zero mode, all perturbations decay.
- (ii)
- Our linear stability analysis assumes that perturbations remain confined within a fixed oxygen regime, either normoxic or hypoxic. Specifically, in the hypoxic state where , a sufficiently small perturbation ensures that , so that the system does not transition into the normoxic regime. An analogous argument applies in the normoxic state. In contrast, if fluctuations were large enough to cross the hypoxia threshold, both regimes would need to be considered simultaneously. Such regime switching is not inherently problematic from a modeling standpoint. The difficulty arises from our use of a Heaviside function to represent VEGF secretion, since small fluctuations near the threshold would cause the function to oscillate rapidly between 0 and 1, introducing artificial discontinuities. Because VEGF secretion is known to vary smoothly with oxygen levels, a smooth functional form would be more appropriate in this case. A detailed analysis of this threshold-crossing scenario, however, lies beyond the scope of the present study.
- Having established that unidirectional coupling cannot produce spatial patterns, we now turn to the bidirectional case, which leads to the instability criterion summarized in Theorem 3.
Appendix F.2. Proof of Theorem 3 (Bidirectional Coupling: Pattern Formation)
Appendix G. Linear Stability for Michaelis–Menten System
Appendix H. Periodic Boundary Condition
Appendix I. Derivation of the Threshold
Appendix J. Limitations
- (i)
- Cell motility and invasion. Tumor cells are modeled with random motility via Brownian dynamics. Directed processes such as chemotaxis and haptotaxis, which are critical for invasion and metastasis, are omitted. Their integration would capture invasive behavior more accurately.
- (ii)
- Biophysical forces and mechanics. Mechanical influences, including interstitial fluid pressure, extracellular matrix resistance, and cell–cell adhesion, are absent. These processes strongly influence vascular remodeling, drug extravasation, and tumor cell motility. Elevated interstitial pressure, for example, can restrict drug penetration and promote resistance niches near vessels [74]. Incorporating mechanical interaction modules, such as Lennard–Jones potentials, would enhance the biophysical realism.
- (iii)
- Resistance evolution. Resistance mutations are modeled as neutral Poisson events, omitting directional biases, fitness costs, and environment-dependent mutation rates. More mechanistic models integrating genotype–phenotype coupling, stress-induced mutagenesis, and multi-omics-informed resistance will be needed.
- (iv)
- Generalizability. While motivated by oncology, the framework has potential relevance for regenerative medicine and tissue engineering. Translating to these non-tumor contexts will require adapting cellular phenotypes, angiogenic stimuli, and perfusion targets.
References
- Vasan, N.; Baselga, J.; Hyman, D.M. A view on drug resistance in cancer. Nature 2019, 575, 299–309. [Google Scholar] [CrossRef]
- Jin, P.; Jiang, J.; Zhou, L.; Huang, Z.; Nice, E.C.; Huang, C.; Fu, L. Mitochondrial adaptation in cancer drug resistance: Prevalence, mechanisms, and management. J. Hematol. Oncol. 2022, 15, 97. [Google Scholar] [CrossRef]
- Gonçalves, A.C.; Richiardone, E.; Jorge, J.; Polónia, B.; Xavier, C.P.; Salaroglio, I.C.; Riganti, C.; Vasconcelos, M.H.; Corbet, C.; Sarmento-Ribeiro, A.B. Impact of cancer metabolism on therapy resistance—Clinical implications. Drug Resist. Updates 2021, 59, 100797. [Google Scholar] [CrossRef]
- Holohan, C.; Van Schaeybroeck, S.; Longley, D.B.; Johnston, P.G. Cancer drug resistance: An evolving paradigm. Nat. Rev. Cancer 2013, 13, 714–726. [Google Scholar] [CrossRef] [PubMed]
- Boulos, J.C.; Yousof Idres, M.R.; Efferth, T. Investigation of cancer drug resistance mechanisms by phosphoproteomics. Pharmacol. Res. 2020, 160, 105091. [Google Scholar] [CrossRef]
- Malla, R.; Bhamidipati, P.; Samudrala, A.S.; Nuthalapati, Y.; Padmaraju, V.; Malhotra, A.; Rolig, A.S.; Malhotra, S.V. Exosome-Mediated Cellular Communication in the Tumor Microenvironment Imparts Drug Resistance in Breast Cancer. Cancers 2025, 17, 1167. [Google Scholar] [CrossRef]
- Li, Q.; Yang, C.; Li, J.; Wang, R.; Min, J.; Song, Y.; Su, H. The type I collagen paradox in PDAC progression: Microenvironmental protector turned tumor accomplice. J. Transl. Med. 2025, 23, 744. [Google Scholar] [CrossRef]
- Saha, S.; Bhat, A.; Kukal, S.; Phalak, M.; Kumar, S. Spatial heterogeneity in glioblastoma: Decoding the role of perfusion. Biochim. Biophys. Acta (BBA)-Rev. Cancer 2025, 1880, 189383. [Google Scholar] [CrossRef] [PubMed]
- Belotti, D.; Pinessi, D.; Taraboletti, G. Alternative Vascularization Mechanisms in Tumor Resistance to Therapy. Cancers 2021, 13, 1912. [Google Scholar] [CrossRef]
- Basheeruddin, M.; Qausain, S. Hypoxia-Inducible Factor 1-Alpha (HIF-1α) and Cancer: Mechanisms of Tumor Hypoxia and Therapeutic Targeting. Cureus 2024, 16, e70700. [Google Scholar] [CrossRef] [PubMed]
- Liu, Z.; Chen, J.; Ren, Y.; Liu, S.; Ba, Y.; Zuo, A.; Luo, P.; Cheng, Q.; Xu, H.; Han, X. Multi-stage mechanisms of tumor metastasis and therapeutic strategies. Signal Transduct. Target. Ther. 2024, 9, 270. [Google Scholar] [CrossRef]
- Altrock, P.M.; Liu, L.L.; Michor, F. The mathematics of cancer: Integrating quantitative models. Nat. Rev. Cancer 2015, 15, 730–745. [Google Scholar] [CrossRef]
- Yin, A.; Moes, D.J.A.; Van Hasselt, J.G.; Swen, J.J.; Guchelaar, H.J. A Review of Mathematical Models for Tumor Dynamics and Treatment Resistance Evolution of Solid Tumors. CPT Pharmacomet. Syst. Pharmacol. 2019, 8, 720–737. [Google Scholar] [CrossRef] [PubMed]
- Byrne, H.M.; Chaplain, M.A.J. Mathematical models for tumour angiogenesis: Numerical simulations and nonlinear wave solutions. Bull. Math. Biol. 1995, 57, 461–486. [Google Scholar] [CrossRef]
- Keller, E.F.; Segel, L.A. Traveling bands of chemotactic bacteria: A theoretical analysis. J. Theor. Biol. 1971, 30, 235–248. [Google Scholar] [CrossRef]
- West, J.; Robertson-Tessi, M.; Anderson, A.R. Agent-based methods facilitate integrative science in cancer. Trends Cell Biol. 2023, 33, 300–311. [Google Scholar] [CrossRef]
- Rejniak, K.A.; Anderson, A.R.A. Hybrid models of tumor growth. WIREs Syst. Biol. Med. 2011, 3, 115–125. [Google Scholar] [CrossRef] [PubMed]
- Gevertz, J.L.; Aminzare, Z.; Norton, K.A.; Perez-Velazquez, J.; Volkening, A.; Rejniak, K.A. Emergence of Anti-Cancer Drug Resistance: Exploring the Importance of the Microenvironmental Niche via a Spatial Model. arXiv 2014. [Google Scholar] [CrossRef]
- Flandoli, F.; Leocata, M.; Ricci, C. The Mathematical modeling of Cancer growth and angiogenesis by an individual based interacting system. J. Theor. Biol. 2023, 562, 111432. [Google Scholar] [CrossRef]
- Goldman, A.; Kohandel, M.; Clairambault, J. Integrating Biological and Mathematical Models to Explain and Overcome Drug Resistance in Cancer, Part 2: From Theoretical Biology to Mathematical Models. Curr. Stem Cell Rep. 2017, 3, 260–268. [Google Scholar] [CrossRef]
- McDonald, T.O.; Cheng, Y.C.; Graser, C.; Nicol, P.B.; Temko, D.; Michor, F. Computational approaches to modelling and optimizing cancer treatment. Nat. Rev. Bioeng. 2023, 1, 695–711. [Google Scholar] [CrossRef]
- Czirok, A.; Little, C.D. Pattern formation during vasculogenesis. Birth Defects Res. Part C Embryo Today Rev. 2012, 96, 153–162. [Google Scholar] [CrossRef]
- Turing, A.M. The chemical basis of morphogenesis. Philos. Trans. R. Soc. Lond. Ser. B Biol. Sci. 1952, 237, 37–72. [Google Scholar] [CrossRef]
- Morton, K.W.; Mayers, D.F. Numerical Solution of Partial Differential Equations: An Introduction; Cambridge University Press: Cambridge, UK; New York, NY, USA, 1994. [Google Scholar]
- Anderson, A.; Chaplain, M. Continuous and Discrete Mathematical Models of Tumor-induced Angiogenesis. Bull. Math. Biol. 1998, 60, 857–899. [Google Scholar] [CrossRef]
- Olsen, L.; Sherratt, J.A.; Maini, P.K.; Arnold, F. A mathematical model for the capillary endothelial cell-extracellular matrix interactions in wound-healing angiogenesis. IMA J. Math. Appl. Med. Biol. 1997, 14, 261–281. [Google Scholar] [CrossRef] [PubMed]
- McGoron, A.J.; Nair, P.; Schubert, R.W. Michaelis-Menten kinetics model of oxygen consumption by rat brain slices following hypoxia. Ann. Biomed. Eng. 1997, 25, 565–572. [Google Scholar] [CrossRef]
- Ojwang’, A.M.E.; Bazargan, S.; Johnson, J.O.; Pilon-Thomas, S.; Rejniak, K.A. Histology-guided mathematical model of tumor oxygenation: Sensitivity analysis of physical and computational parameters. bioRxiv 2024. [Google Scholar] [CrossRef]
- Van Ginneken, C.; Russel, F. Saturable Pharmacokinetics in the Renal Excretion of Drugs. Clin. Pharmacokinet. 1989, 16, 38–54. [Google Scholar] [CrossRef]
- Watson, S.A.; Terracciano, C.M.; Perbellini, F. Myocardial Slices: An Intermediate Complexity Platform for Translational Cardiovascular Research. Cardiovasc. Drugs Ther. 2019, 33, 239–244. [Google Scholar] [CrossRef]
- Melicow, M.M. The three steps to cancer: A new concept of cancerigenesis. J. Theor. Biol. 1982, 94, 471–511. [Google Scholar] [CrossRef] [PubMed]
- Mac Gabhann, F.; Popel, A.S. Differential binding of VEGF isoforms to VEGF receptor 2 in the presence of neuropilin-1: A computational model. Am. J. Physiol.-Heart Circ. Physiol. 2005, 288, H2851–H2860. [Google Scholar] [CrossRef]
- Addison-Smith, B.; McElwain, D.; Maini, P. A simple mechanistic model of sprout spacing in tumour-associated angiogenesis. J. Theor. Biol. 2008, 250, 1–15. [Google Scholar] [CrossRef]
- Billy, F.; Ribba, B.; Saut, O.; Morre-Trouilhet, H.; Colin, T.; Bresch, D.; Boissel, J.P.; Grenier, E.; Flandrois, J.P. A pharmacologically based multiscale mathematical model of angiogenesis and its use in investigating the efficacy of a new cancer treatment strategy. J. Theor. Biol. 2009, 260, 545–562. [Google Scholar] [CrossRef]
- Hinow, P. A spatial model of tumor-host interaction: Application of chemotherapy. Math. Biosci. Eng. 2009, 6, 521–546. [Google Scholar] [CrossRef]
- Souri, M.; Elahi, S.; Moradi Kashkooli, F.; Kohandel, M.; Soltani, M. Enhancing localized chemotherapy with anti-angiogenesis and nanomedicine synergy for improved tumor penetration in well-vascularized tumors. npj Syst. Biol. Appl. 2024, 10, 136. [Google Scholar] [CrossRef]
- Takahashi, G.H.; Fatt, I.; Goldstick, T.K. Oxygen Consumption Rate of Tissue Measured by a Micropolarographic Method. J. Gen. Physiol. 1966, 50, 317–335. [Google Scholar] [CrossRef] [PubMed]
- Anderson, A.R.A. A Hybrid Multiscale Model of Solid Tumour Growth and Invasion: Evolution and the Microenvironment. In Single-Cell-Based Models in Biology and Medicine; Anderson, A.R.A., Chaplain, M.A.J., Rejniak, K.A., Eds.; Birkhäuser: Basel, Switzerland, 2007; pp. 3–28. [Google Scholar] [CrossRef]
- Zhu, T.C.; Liu, B.; Penjweini, R. Study of tissue oxygen supply rate in a macroscopic photodynamic therapy singlet oxygen model. J. Biomed. Opt. 2015, 20, 038001. [Google Scholar] [CrossRef]
- Anderson, A.R.A. A hybrid mathematical model of solid tumour invasion: The importance of cell adhesion. Math. Med. Biol. A J. IMA 2005, 22, 163–186. [Google Scholar] [CrossRef] [PubMed]
- Demicheli, R.; Pratesi, G.; Foroni, R. The Exponential-Gompertzian Tumor Growth Model: Data from Six Tumor Cell Lines in Vitro and in Vivo. Estimate of the Transition point from Exponential to Gompertzian Growth and Potential Cinical Implications. Tumori J. 1991, 77, 189–195. [Google Scholar] [CrossRef]
- Chignola, R.; Foroni, R. Estimating the Growth Kinetics of Experimental Tumors From as Few as Two Determinations of Tumor Size: Implications for Clinical Oncology. IEEE Trans. Biomed. Eng. 2005, 52, 808–815. [Google Scholar] [CrossRef] [PubMed]
- Burt, A.J.; Hantho, J.D.; Nielsen, A.E.; Mancini, R.J. An Enzyme-Directed Imidazoquinoline Activated by Drug Resistance. Biochemistry 2018, 57, 2184–2188. [Google Scholar] [CrossRef] [PubMed]
- Miles, B.; Tadi, P. Genetics, Somatic Mutation. In StatPearls; StatPearls Publishing: Treasure Island, FL, USA, 2025. [Google Scholar]
- Ewens, W.J. Mathematical Population Genetics; Interdisciplinary Applied Mathematics; Springer: New York, NY, USA, 2004; Volume 27. [Google Scholar] [CrossRef]
- Hernando-Amado, S.; Sanz-García, F.; Blanco, P.; Martínez, J.L. Fitness costs associated with the acquisition of antibiotic resistance. Essays Biochem. 2017, 61, 37–48. [Google Scholar] [CrossRef]
- Roszkowska, M. Multilevel Mechanisms of Cancer Drug Resistance. Int. J. Mol. Sci. 2024, 25, 12402. [Google Scholar] [CrossRef]
- Santos-Oliveira, P.; Correia, A.; Rodrigues, T.; Ribeiro-Rodrigues, T.M.; Matafome, P.; Rodríguez-Manzaneque, J.C.; Seiça, R.; Girão, H.; Travasso, R.D.M. The Force at the Tip-Modelling Tension and Proliferation in Sprouting Angiogenesis. PLoS Comput. Biol. 2015, 11, e1004436. [Google Scholar] [CrossRef]
- Spill, F.; Guerrero, P.; Alarcon, T.; Maini, P.K.; Byrne, H.M. Mesoscopic and continuum modelling of angiogenesis. J. Math. Biol. 2015, 70, 485–532. [Google Scholar] [CrossRef]
- Meineke, F.A.; Potten, C.S.; Loeffler, M. Cell migration and organization in the intestinal crypt using a lattice-free model. Cell Prolif. 2001, 34, 253–266. [Google Scholar] [CrossRef]
- Wang, L.S.; Yu, J.; Li, S.; Liu, Z. Analysis and Mean-Field Limit of a Hybrid PDE-ABM Modeling Angiogenesis-Regulated Resistance Evolution. Mathematics 2025, 13, 2898. [Google Scholar] [CrossRef]
- Anderson, A.; Sleeman, B.; Young, I.; Griffiths, B. Nematode movement along a chemical gradient in a structurally heterogeneous environment: 2. Theory. Fundam. Appl. Nematol. 1997, 20, 165–172. [Google Scholar]
- Wang, L.S.; Yu, J. Analysis framework for stochastic predator–prey model with demographic noise. Results Appl. Math. 2025, 27, 100621. [Google Scholar] [CrossRef]
- Xu, Y.; Kong, X.; Li, J.; Cui, T.; Wei, Y.; Xu, J.; Zhu, Y.; Zhu, X. Mild Hypoxia Enhances the Expression of HIF and VEGF and Triggers the Response to Injury in Rat Kidneys. Front. Physiol. 2021, 12, 690496. [Google Scholar] [CrossRef] [PubMed]
- Wang, L.S.; Yu, J. Nonlinear Coupling of Chemotactic Reaction-Diffusion and Social Opinion Clustering: A Cross-Disciplinary Framework. J. Nonlinear Sci. 2025; under review. [Google Scholar] [CrossRef]
- Ünlü, B.; Joshi, N.; O’Sullivan, J.M. Endothelial cell dysfunction in cancer: A not-so-innocent bystander. Bleeding Thromb. Vasc. Biol. 2024, 3, 116. [Google Scholar] [CrossRef]
- Davis, S.; Papadopoulos, N.; Aldrich, T.H.; Maisonpierre, P.C.; Huang, T.; Kovac, L.; Xu, A.; Leidich, R.; Radziejewska, E.; Rafique, A.; et al. Angiopoietins have distinct modular domains essential for receptor binding, dimerization and superclustering. Nat. Struct. Biol. 2003, 10, 38–44. [Google Scholar] [CrossRef]
- Xu, Y.; Yu, Q. Angiopoietin-1, Unlike Angiopoietin-2, Is Incorporated into the Extracellular Matrix via Its Linker Peptide Region. J. Biol. Chem. 2001, 276, 34990–34998. [Google Scholar] [CrossRef]
- Bocci, G. In-vitro evidence of autocrine secretion of vascular endothelial growth factor by endothelial cells from human placental blood vessels. Mol. Hum. Reprod. 2001, 7, 771–777. [Google Scholar] [CrossRef][Green Version]
- Al-Nedawi, K.; Meehan, B.; Kerbel, R.S.; Allison, A.C.; Rak, J. Endothelial expression of autocrine VEGF upon the uptake of tumor-derived microvesicles containing oncogenic EGFR. Proc. Natl. Acad. Sci. USA 2009, 106, 3794–3799. [Google Scholar] [CrossRef] [PubMed]
- Netrusov, Y.; Safarov, Y. Weyl Asymptotic Formula for the Laplacian on Domains with Rough Boundaries. Commun. Math. Phys. 2005, 253, 481–509. [Google Scholar] [CrossRef]
- Horstmann, D. From 1970 Until Present: The Keller-Segel Model in Chemotaxis and Its Consequences. 2003. Available online: https://webdoc.sub.gwdg.de/ebook/serien/e/MPI_Math_Nat/preprint2003_3.pdf (accessed on 9 September 2025).
- Yuan, Y. Spatial Heterogeneity in the Tumor Microenvironment. Cold Spring Harb. Perspect. Med. 2016, 6, a026583. [Google Scholar] [CrossRef]
- Greulich, P.; Waclaw, B.O.; Allen, R.J. Mutational Pathway Determines Whether Drug Gradients Accelerate Evolution of Drug-Resistant Cells. Phys. Rev. Lett. 2012, 109, 088101. [Google Scholar] [CrossRef] [PubMed]
- Mumenthaler, S.M.; Foo, J.; Choi, N.C.; Heise, N.; Leder, K.; Agus, D.B.; Pao, W.; Michor, F.; Mallick, P. The Impact of Microenvironmental Heterogeneity on the Evolution of Drug Resistance in Cancer Cells. Cancer Inform. 2015, 14s4, CIN.S19338. [Google Scholar] [CrossRef] [PubMed]
- Cullen, J.P.; Sayeed, S.; Sawai, R.S.; Theodorakis, N.G.; Cahill, P.A.; Sitzmann, J.V.; Redmond, E.M. Pulsatile Flow–Induced Angiogenesis: Role of Gi Subunits. Arterioscler. Thromb. Vasc. Biol. 2002, 22, 1610–1616. [Google Scholar] [CrossRef] [PubMed][Green Version]
- Fraga Delfino Kunz, C.; Gerisch, A.; Glover, J.; Headon, D.; Painter, K.J.; Matthäus, F. Novel Aspects in Pattern Formation Arise from Coupling Turing Reaction–Diffusion and Chemotaxis. Bull. Math. Biol. 2024, 86, 4. [Google Scholar] [CrossRef] [PubMed]
- Nagy, J.A.; Chang, S.H.; Dvorak, A.M.; Dvorak, H.F. Why are tumour blood vessels abnormal and why is it important to know? Br. J. Cancer 2009, 100, 865–869. [Google Scholar] [CrossRef] [PubMed]
- Li, L.; Zhao, T.; Hu, Y.; Ren, S.; Tian, T. Mathematical Modelling and Bioinformatics Analyses of Drug Resistancefor Cancer Treatment. Curr. Bioinform. 2024, 19, 211–221. [Google Scholar] [CrossRef]
- Balding, D.; McElwain, D. A mathematical model of tumour-induced capillary growth. J. Theor. Biol. 1985, 114, 53–73. [Google Scholar] [CrossRef]
- Murray, J.D. (Ed.) Mathematical Biology: I. An Introduction; Interdisciplinary Applied Mathematics; Springer: New York, NY, USA, 2002; Volume 17. [Google Scholar] [CrossRef]
- Sun, X.; Hu, B. Mathematical modeling and computational prediction of cancer drug resistance. Brief. Bioinform. 2018, 19, 1382–1399. [Google Scholar] [CrossRef]
- Jamali, Y. Modeling the Immune System Through Agent-based Modeling: A Mini-review. Immunoregulation 2024, 6, 3–12. [Google Scholar] [CrossRef]
- Jiang, X.; Xu, S.; Miao, Y.; Huang, K.; Wang, B.; Ding, B.; Zhang, Z.; Zhao, Z.; Zhang, X.; Shi, X.; et al. Curvature-mediated rapid extravasation and penetration of nanoparticles against interstitial fluid pressure for improved drug delivery. Proc. Natl. Acad. Sci. USA 2024, 121, e2319880121. [Google Scholar] [CrossRef] [PubMed]













| Field | Diffusion | Decay | Uptake | Supply |
|---|---|---|---|---|
| n | None | None | None | |
| c | from hypoxic cells | |||
| d | at vessels | |||
| o |
| Symbol | Quantity | Rationale |
|---|---|---|
| L | Length | Spatial extent of parent vessel to tumor distance |
| Time | Typical diffusion time scale or cell cycle duration | |
| , , , | Field concentrations | Normalization of PDE variables: are endothelial, TAF, drug scales, respectively, and the maximum concentration is the oxygen scale |
| Parameter | Description | D-Value (SI Units) | ND-Value | Provenance |
|---|---|---|---|---|
| Spatial discretization | m | 0.005 | Calculated | |
| Temporal discretization | CFL condition (Equation (13)) | CFL condition (Equation (13)) | Stability constraint | |
| h | Slab thickness for dimension conversion | m | 0.02 | [30] |
| Tumor and vessel cell radius | 0.005 | [31] | ||
| TAF diffusion coefficient | 0.12 | [32,33] | ||
| TAF decay rate | 0.002 | [34] | ||
| TAF production rate | [35] | |||
| TAF uptake rate | 0.1 | [25] | ||
| Drug diffusion coefficient | /s | 0.5 | [36] | |
| Drug decay rate | 0.01 | [18] | ||
| Drug uptake rate | 0.5 | [18] | ||
| Drug supply rate | 2 | [18] | ||
| Damage clearance rate | (n/a, nondimensionalized) | 0.2 | [18] | |
| Oxygen diffusion coefficient | 0.64 | [37] | ||
| Oxygen decay rate | 0.025 | [38] | ||
| Oxygen uptake rate | 34.39 | [18] | ||
| Oxygen supply rate | 3.44 | [39] | ||
| Tumor motility intensity | (n/a) | 0.0215 | [40] | |
| Maximum oxygen concentration | 1 | [35] | ||
| Hypoxia threshold | 0.25 | [35] | ||
| Apoptosis threshold | 0.05 | [35] | ||
| Endothelial diffusion coefficient | [25] | |||
| Chemotaxis coefficient | 0.0599 | [25] | ||
| or () | Chemotaxis saturation parameter | 0.6 | [25] | |
| Minimum branching age | s | 1.125 | [25] | |
| Baseline branching rate | (n/a) | 1 | [19] | |
| Death threshold (sensitive cells) | (n/a) | 0.5 | [18] | |
| Death threshold ratio (resistant cells) | 5 | 5 | [18] | |
| Cell cycle duration | 0.56–0.69 | [41,42] | ||
| Proliferation rate | Derived from | 1.0082–1.2323 | Derived | |
| Maximum neighbor cell count | 10 | 10 | [19] |
| Parameter | Meaning |
|---|---|
| PDE-related parameters | |
| Diffusion coefficients of endothelial cells (n), TAF (c), drug (d), and oxygen (o) | |
| Chemotactic sensitivity coefficient | |
| Saturation parameter for chemotaxis | |
| Natural decay rates of TAF, drug, and oxygen, respectively | |
| Cellular uptake rates of drug and oxygen | |
| Vessel supply rates of drug and oxygen | |
| TAF production rate by hypoxic cells and uptake rate by endothelial cells | |
| Normalized indicator functions for tumor agents and vessel locations | |
| Tumor and vessel cell radius | |
| ABM-related parameters | |
| , , , , | Sets of all tumor cells, normoxic tumor cells, hypoxic tumor cells, vessel cells, and endothelial tip cells at time t |
| Angiogenic network at time t | |
| , | Lineage identifiers for tumor and endothelial tip cells |
| , , | Spatial coordinates of agents , , at time t |
| , , , , , | Local oxygen, drug level, accumulated DNA damage, death threshold, age, and maturation time for tumor cell |
| Age of endothelial tip cell | |
| Mutation intensity for the Poisson process | |
| DNA damage repair or clearance rate | |
| Tumor cell motility coefficient | |
| Maximum oxygen concentration | |
| Hypoxia threshold and apoptosis threshold for oxygen concentration | |
| Probabilities of endothelial cell remaining stationary or moving left, right, down, or up | |
| Minimum age required for tip branching | |
| Branching intensity coefficient | |
| Death thresholds for sensitive and resistant tumor cells | |
| Multiplicative factor defining resistance death threshold () | |
| Tumor cell cycle duration | |
| Proliferation rate of normoxic tumor cells | |
| Crowding threshold above which proliferation is suppressed | |
| Cell Type | Process | Spatial Rule/Neighborhood |
|---|---|---|
| Tumor cell | Migration | Continuous Brownian motion (not lattice-confined) |
| Tumor cell | Branching (daughter placement) | Continuous, off-lattice positioning |
| Tumor cell | Crowding effect | check within neighborhood |
| Tip cell | Migration | Von Neumann neighborhood (4 sites) |
| Tip cell | Branching (new tip placement) | Moore neighborhood (8 sites) |
| Tip cell | Occupancy/anastomosis check | Von Neumann neighborhood (4 sites) |
| (Production) | Computed | Upper Bound | Critical Domain Length (Dimensionless Units, 1 Unit = 5 mm) |
|---|---|---|---|
| 0.001 | 0.04608 | 0.81625 | 3.47727 |
| 0.01 | 0.01498 | 2.69031 | 1.91535 |
| 0.05 | 0.00374 | 3.36706 | 1.71208 |
| 0.1 | 0.00193 | 3.47621 | 1.68499 |
| 0.5 | 0.00040 | 3.56873 | 1.66300 |
| 1 | 0.00020 | 3.58065 | 1.66023 |
| Index | Mode | |||||||
|---|---|---|---|---|---|---|---|---|
| 1 | (0, 0) | 0 | – | – | – | – | – | – |
| 2 | (0, 1) | ✓ | ✓ | ✓ | ✓ | ✓ | ✓ | |
| 3 | (1, 0) | ✓ | ✓ | ✓ | ✓ | ✓ | ✓ | |
| 4 | (1, 1) | ✓ | ✓ | ✓ | ✓ | ✓ | ✓ | |
| 5 | (0, 2) | ✓ | ✓ | ✓ | ✓ | ✓ | ||
| 6 | (2, 0) | ✓ | ✓ | ✓ | ✓ | ✓ | ||
| 7 | (1, 2) | ✓ | ✓ | ✓ | ✓ | ✓ | ||
| 8 | (2, 1) | ✓ | ✓ | ✓ | ✓ | ✓ | ||
| 9 | (2, 2) | ✓ | ✓ | ✓ | ✓ |
Disclaimer/Publisher’s Note: The statements, opinions and data contained in all publications are solely those of the individual author(s) and contributor(s) and not of MDPI and/or the editor(s). MDPI and/or the editor(s) disclaim responsibility for any injury to people or property resulting from any ideas, methods, instructions or products referred to in the content. |
© 2025 by the authors. Licensee MDPI, Basel, Switzerland. This article is an open access article distributed under the terms and conditions of the Creative Commons Attribution (CC BY) license (https://creativecommons.org/licenses/by/4.0/).
Share and Cite
Liu, Z.; Wang, L.S.; Yu, J.; Zhang, J.; Martel, E.; Li, S. Bidirectional Endothelial Feedback Drives Turing-Vascular Patterning and Drug-Resistance Niches: A Hybrid PDE-Agent-Based Study. Bioengineering 2025, 12, 1097. https://doi.org/10.3390/bioengineering12101097
Liu Z, Wang LS, Yu J, Zhang J, Martel E, Li S. Bidirectional Endothelial Feedback Drives Turing-Vascular Patterning and Drug-Resistance Niches: A Hybrid PDE-Agent-Based Study. Bioengineering. 2025; 12(10):1097. https://doi.org/10.3390/bioengineering12101097
Chicago/Turabian StyleLiu, Zonghao, Louis Shuo Wang, Jiguang Yu, Jilin Zhang, Erica Martel, and Shijia Li. 2025. "Bidirectional Endothelial Feedback Drives Turing-Vascular Patterning and Drug-Resistance Niches: A Hybrid PDE-Agent-Based Study" Bioengineering 12, no. 10: 1097. https://doi.org/10.3390/bioengineering12101097
APA StyleLiu, Z., Wang, L. S., Yu, J., Zhang, J., Martel, E., & Li, S. (2025). Bidirectional Endothelial Feedback Drives Turing-Vascular Patterning and Drug-Resistance Niches: A Hybrid PDE-Agent-Based Study. Bioengineering, 12(10), 1097. https://doi.org/10.3390/bioengineering12101097

