Adaptation of Graesiella emersonii Strains to Atmospheric and Enriched CO2: Exploring Growth and Photosynthetic Efficiency
Abstract
1. Introduction
2. Material and Methods
2.1. Strains
2.2. Culture Medium
2.3. Photobioreactor Design and Operating Conditions
2.4. pH Measurement
2.5. Analysis of Growth
2.5.1. Cell Counting
2.5.2. Determination of Biomass
2.5.3. Growth Rate
2.6. Photosynthetic Performance Assessment
2.6.1. Photochemical Activity
- Maximum Efficiency of Photosystem II (Fv/Fm):
- ○
- Fm = Maximum fluorescence intensity of the culture in the dark-adapted state applying a saturating light pulse
- ○
- Fo = Minimum fluorescence intensity (dark-adapted state)
- Non-Photochemical Quenching (NPQ):
- ○
- Fm = Maximum fluorescence in the dark-adapted state (typically measured after a strong light pulse).
- ○
- F’m = Maximum fluorescence at the light adapted light (not at saturation), i.e., the maximum fluorescence measured when the culture is exposed to growth light (not in saturation).
2.6.2. Chlorophyll a (Chla) Content
2.6.3. Gas Exchange
- P (Oxygen production in light phase): Oxygen production measured during the light phase.
- Rd (Oxygen consumption in dark phase): Oxygen consumption measured during the dark phase.
2.6.4. Medium Photosynthesis Rate Value
- Pmax is the maximum photosynthesis rate (μmol O2 (μg Chl a)−1 s−1) under saturating light conditions.
- α is the initial slope of the P vs. PFR curve (photosynthetic photon flux rate), which represents the photosynthetic efficiency at low light intensity
- PFR curve (photosynthetic photon flux rate), which represents the photosynthetic efficiency at low light intensity.
- Rd the oxygen consumption in dark phase
2.6.5. Medium Ek Values
- Pmax is the maximum photosynthesis rate (μmol O2 (μg Chl a)−1 s−1) under saturating light conditions.
- α is the initial slope of the P
2.6.6. NPE (Net Photosynthetic Efficiency)
2.6.7. Rubisco
2.7. Statistical Analysis
3. Results
3.1. Growth Response of Microalgae to Atmospheric vs. Elevated CO2 Concentrations
3.2. pH Values During the Experiment
3.3. Photosynthetic Performance
3.3.1. Characterization of Photochemical Activity
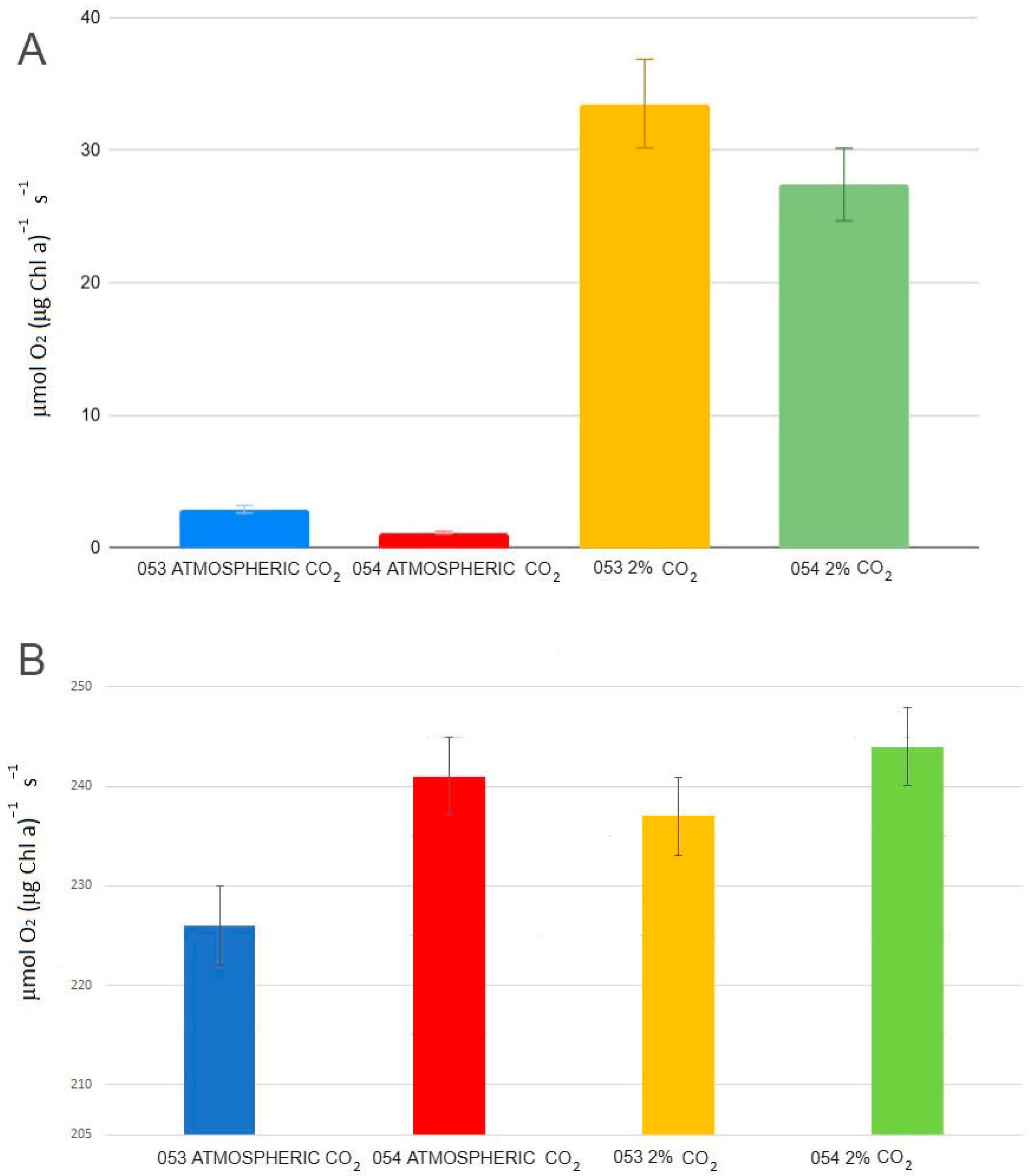
3.3.2. Medium Photosynthetic Rate and Ek Values
3.3.3. Net Photosynthetic Efficiency
3.3.4. Rubisco Quantification
4. Discussion
5. Conclusions
Supplementary Materials
Author Contributions
Funding
Institutional Review Board Statement
Informed Consent Statement
Data Availability Statement
Conflicts of Interest
References
- Zhang, L.; Li, Y.; Liu, J. Complete inactivation of photosynthetic activity during desiccation and rapid recovery by rehydration in the aerial microalga Trentepohlia jolithus. Plant Biol. 2016, 18, 1058–1061. [Google Scholar] [CrossRef]
- Karsten, U.; Schumann, R.; Mostaert, A. Aeroterrestrial algae growing on man-made surfaces: What are the secrets of their ecological success? In Algae and Cyanobacteria in Extreme Environments; Seckbach, J., Ed.; Springer: Berlin/Heidelberg, Germany, 2007; pp. 585–597. [Google Scholar]
- Carbone, D.A.; Melkonian, M. Potential of porous substrate bioreactors for removal of pollutants from wastewater using microalgae. Bioengineering 2023, 10, 1173. [Google Scholar] [CrossRef] [PubMed]
- Gunderson, A.R.; Dillon, M.E.; Stillman, J.H. Hot rocks and not-so-hot rocks on the seashore: Patterns and body-size dependent consequences of microclimatic variation in intertidal zone boulder habitat. Integr. Organ. Biol. 2019, 1, obz024. [Google Scholar] [CrossRef]
- Haubner, N.; Schumann, R.; Karsten, U. Aeroterrestrial microalgae growing in biofilms on facades—Response to temperature and water stress. Microb. Ecol. 2006, 51, 285–293. [Google Scholar] [CrossRef]
- Wu, H.; Miao, X. Biodiesel quality and biochemical changes of microalgae Chlorella pyrenoidosa and Scenedesmus obliquus in response to nitrate levels. Bioresour. Technol. 2014, 170, 421–427. [Google Scholar] [CrossRef] [PubMed]
- Carbone, D.A.; Olivieri, G.; Pollio, A.; Pinto, G.; Melkonian, M. Growth and biomass productivity of Scenedesmus vacuolatus on a twin layer system and a comparison with other types of cultivations. Appl. Microbiol. Biotechnol. 2017, 101, 8321–8329. [Google Scholar] [CrossRef]
- Olivieri, G.; Salatino, P.; Marzocchella, A. Advances in photobioreactors for intensive microalgal production: Configurations, operating strategies and applications. J. Chem. Technol. Biotechnol. 2013, 89, 178–195. [Google Scholar] [CrossRef]
- Trabelsi, L.; M’sakni, N.H.; Ben Amor, F.; Ghribi, D. Partial characterization and antioxidant and antiproliferative activities of the aqueous extracellular polysaccharides from the thermophilic microalgae Graesiella sp. BMC Complement Med. Ther. 2016, 16, 1–10. [Google Scholar]
- Kij, H.; Lee, J.; Kim, S.; Park, J. Enhanced carotenoid production, biodiesel quality, and harvesting efficiency in microalga Graesiella emersonii via heterotrophic cultivation strategy. Algal Res. 2024, 78, 103437. [Google Scholar] [CrossRef]
- Wang, K.; Wang, Z.; Ding, Y.; Wen, X. Optimization of heterotrophic culture conditions for the algae Graesiella emersonii WBG-1 to produce proteins. Mar. Drugs. 2023, 21, 519. [Google Scholar] [CrossRef] [PubMed]
- Mezhoud, N.; Ziti, F.; Bouzidi, N.; Helaoui, F.; Ammar, J.; Ouada, H. The effects of temperature and light intensity on growth, reproduction and EPS synthesis of a thermophilic strain related to the genus Graesiella. Bioprocess. Biosyst. Eng. 2014, 37, 2271–2280. [Google Scholar]
- Carbone, D.A.; Gargano, I.; Chiaiese, P.; Pollio, A.; Marotta, R.; Olivieri, G.; Pinto, G. Scenedesmus vacuolatus cultures for possible combined laccase-like phenoloxidase activity and biodiesel production. Ann. Microbiol. 2018, 68, 9–15. [Google Scholar]
- Henley, W.J.; Levavasseur, G.; Franklin, L.A.; Lindley, S.T.; Ramus, J.; Osmond, C.B. Diurnal responses of photosynthesis and antioxidant metabolism in two marine macroalgae with different carbon dioxide acquisition strategies. J. Phycol. 1993, 29, 555–566. [Google Scholar]
- He, Z.; Zhang, Y.; Li, G. Recent advances in microalgae-driven carbon capture, utilization, and storage (CCUS). Sci. Total. Environ. 2025, 866, 161261. [Google Scholar]
- Li, G.; Yao, J. A review of algae-based carbon capture, utilization, and storage (algae-based CCUS). Gases 2024, 4, 468–503. [Google Scholar]
- Heber, U.; Bukhov, N.G.; Shuvalov, V.A.; Kobayashi, Y.; Lange, O.L. Protection of the photosynthetic apparatus against damage by excessive illumination in homoiohydric leaves and poikilohydric mosses and lichens. J. Exp. Bot. 2001, 52, 1999–2006. [Google Scholar] [CrossRef]
- Shihira, I.; Krauss, R.W. Chlorella. Physiology and Taxonomy of Forty-One Isolates; University of Maryland: College Park, MD, USA, 1965; pp. 1–97. [Google Scholar]
- Nozaki, H.; Katagiri, M.; Nakagawa, M.; Aizawa, K.; Watanabe, M.M. Taxonomic re-examination of the two strains labeled “Chlorella” in the Microbial Culture Collection at the National Institute for Environmental Studies (NIES-Collection). Microb. Cult. Collect. 1995, 11, 11–18. [Google Scholar]
- Maxwell, K.; Johnson, G.N. Chlorophyll fluorescence—A practical guide. J. Exp. Bot. 2000, 51, 659–668. [Google Scholar] [CrossRef]
- Baker, N.R. Chlorophyll fluorescence: A probe of photosynthesis in vivo. Annu. Rev. Plant. Biol. 2008, 59, 89–113. [Google Scholar]
- Ciotta, E.; Prosposito, P.; Pizzoferrato, R. Positive curvature in Stern–Volmer plot described by a generalized model for static quenching. J. Lumin. 2019, 206, 518–522. [Google Scholar]
- Genty, B.; Briantais, J.M.; Baker, N.R. The relationship between the quantum yield of photosynthetic electron transport and quenching of chlorophyll fluorescence. Biochim. Biophys Acta. 1989, 990, 87–92. [Google Scholar]
- Henley, W.J. Measurement and interpretation of photosynthetic light-response curves in algae in the context of photoinhibition and diel changes. J. Phycol. 1993, 29, 6. [Google Scholar] [CrossRef]
- De Vree, J.H.; Bosma, R.; Janssen, M.; Barbosa, M.J.; Wijffels, R.H. Comparison of four outdoor pilot-scale photobioreactors. Biotechnol. Biofuels 2015, 8, 215. [Google Scholar] [CrossRef]
- Carbone, D.A.; Gargano, I.; Pinto, G.; De Natale, A.; Pollio, A. Evaluating microalgal attachment to surfaces: A first approach towards a laboratory integrated assessment. Chem. Eng. Trans. 2017, 57, 73–78. [Google Scholar]
- Tantray, A.Y.; Bashir, S.S.; Ahmad, A. Low nitrogen stress regulates chlorophyll fluorescence in coordination with photosynthesis and Rubisco efficiency of rice. Physiol. Mol. Biol. Plants 2020, 26, 83–94. [Google Scholar] [CrossRef] [PubMed]
- Carbone, D.A.; Olivieri, G.; Pollio, A.; Melkonian, M. Comparison of Galdieria growth and photosynthetic activity in different culture systems. AMB Express 2020, 10, 170. [Google Scholar] [CrossRef]
- Grima, E.; Fernández, F.G.A.; Medina, A.R.; Christi, Y. A study on simultaneous photolimitation and photoinhibition in dense microalgal cultures taking into account incident and averaged irradiances. J. Biotechnol. 1996, 45, 59–69. [Google Scholar] [CrossRef]
- Ma, M.; Hu, Q. Microalgae as feed sources and feed additives for sustainable aquaculture: Prospects and challenges. Rev. Aquaculture. 2024, 16, 818–835. [Google Scholar] [CrossRef]
- Maghzian, A.; Aslani, A.; Zahedi, R. A comprehensive review on effective parameters on microalgae productivity and carbon capture rate. J. Environ. Manag. 2024, 355, 120539. [Google Scholar] [CrossRef]
- Yu, H.; Lee, H.; Kim, S.; Kim, Y.; Choi, Y.; Park, J.; Kim, H. Effects of different pH control strategies on microalgae cultivation and nutrient removal from anaerobic digestion effluent. Microorganisms 2022, 10, 357. [Google Scholar] [CrossRef] [PubMed]
- Fekete, G.; Klátyik, S.; Sebők, A.; Dálnoki, A.B.; Takács, A.; Gulyás, M.; Czinkota, I.; Székács, A.; Gyuricza, C.; Aleksza, L. Optimization of a Chlorella vulgaris-Based Carbon Sequestration Technique Using an Alkaline Medium of Wood Biomass Ash Extract. Water 2024, 16, 3696. [Google Scholar] [CrossRef]
- Goldman, J.C.; Azov, Y.; Riley, C.B.; Dennett, M.R. The effect of pH in intensive microalgal cultures. I. Biomass regulation. J. Exp. Mar. Biol. Ecol. 1982, 57, 1–13. [Google Scholar] [CrossRef]
- Azov, Y. Effect of pH on inorganic carbon uptake in algal cultures. Appl. Environ. Microbiol. 1982, 43, 1300–1306. [Google Scholar] [CrossRef]
- Hou, Y.; Han, T.; Wu, R.; Liu, Z.; Ma, Y.; Guo, Z.; Zhao, L. A novel system integrating electrolysis and ionic membranes (EIMs) enables artificial carbon concentration and alleviation of metal cation stress in microalgae cultivation. Green Chem. 2023, 25, 7273–7282. [Google Scholar] [CrossRef]
- Keymer, P.C.; Lant, P.A.; Pratt, S. Modelling microalgal activity as a function of inorganic carbon concentration: Accounting for the impact of pH on the bicarbonate system. J. Appl. Phycol. 2014, 26, 1343–1350. [Google Scholar] [CrossRef]
- Gao, K. Approaches and involved principles to control pH/pCO2 stability in algal cultures. J. Appl. Phycol. 2021, 33, 3497–3505. [Google Scholar] [CrossRef]
- Kim, G.Y.; Heo, J.; Kim, K.; Chung, J.; Han, J.I. Electrochemical pH control and carbon supply for microalgae cultivation. Chem. Eng. J. 2021, 426, 131796. [Google Scholar] [CrossRef]
- Negoro, M.; Shioji, N.; Miyamoto, K.; Micira, Y. Growth of microalgae in high CO2 gas and effects of SOx and NOx. Appl. Biochem. Biotechnol. 1991, 28, 877–886. [Google Scholar] [CrossRef] [PubMed]
- Kalaji, H.M.; Schansker, G.; Brestic, M.; Bussotti, F.; Calatayud, A.; Ferroni, L.; Goltsev, V.; Guidi, L.; Jajoo, A.; Li, P. Frequently Asked Questions About Chlorophyll Fluorescence, the Sequel; Springer: Dordrecht, The Netherlands, 2017; Volume 132, ISBN 1112001603. [Google Scholar]
- Falkowski, P.G.; Katz, M.E.; Knoll, A.H.; Quigg, A.; Raven, J.A.; Schofield, O.; Taylor, F.J.R. The evolution of modern eukaryotic phytoplankton. Science 2004, 305, 354–360. [Google Scholar] [CrossRef]
- Mkpuma, V.O.; Moheimani, N.R.; Ennaceri, H. Effect of light intensity on Chlorella sp. biofilm growth on anaerobically digested food effluents (ADFE). J. Environ. Manag. 2024, 371, 123015. [Google Scholar] [CrossRef]
- Skórska, E.; Murkowski, A. Photosynthetic responses of Chlorella vulgaris L. to short-term UV-B radiation exposure. Acta. Biol. Cracov. Bot. 2018, 60, 1. [Google Scholar]
- Huarancca Reyes, T.; Chiellini, C.; Barozzi, E.; Sandoval, C.; Echeverría, C.; Guglielminetti, L. Exploring the physiological multiplicity of native microalgae from the Ecuadorian Highland, Italian Lowland and indoor locations in response to UV-B. Int. J. Mol. Sci. 2023, 24, 1346. [Google Scholar] [CrossRef]
- Salleh, S.; McMinn, A. The effects of temperature on the photosynthetic parameters and recovery of two temperate benthic microalgae, Amphora cf. coffeaeformis and Cocconeis cf. sublittoralis (Bacillariophyceae). J. Phycol. 2011, 47, 66–73. [Google Scholar] [CrossRef]
- Kalaji, H.M.; Jajoo, A.; Oukarroum, A.; Brestic, M.; Zivcak, M.; Samborska, I.A.; Cetner, M.D.; Łukasik, I.; Goltsev, V.; Ladle, R.J. Chlorophyll a fluorescence as a tool to monitor physiological status of plants under abiotic stress conditions. Acta Physiol. Plant. 2016, 38, 102. [Google Scholar] [CrossRef]
- Li, D.; Jiang, R.; Li, J.; Liu, Z.; Ahmed, Y.Z.; Zhao, Q.; Li, M. Modification of the electrokinetic motion of microalgae through light illumination for viability assessment. Electrophoresis 2024, 45, 2114–2124. [Google Scholar] [CrossRef] [PubMed]
- Claquin, P.; Probert, I.; Lefebvre, S.; Veron, B. Effects of temperature on photosynthetic parameters and TEP production in eight species of marine microalgae. Aquat. Microb. Ecol. 2008, 51, 1–11. [Google Scholar] [CrossRef]
- Giordano, M.; Beardall, J.; Raven, J.A. CO2 concentrating mechanisms in algae: Mechanisms, environmental modulation, and evolution. Annu. Rev. Plant Biol. 2005, 56, 99–131. [Google Scholar] [CrossRef] [PubMed]
- Burnap, R.L.; Hagemann, M.; Kaplan, A. Regulation of CO2 concentrating mechanism in cyanobacteria. Life 2015, 5, 348–371. [Google Scholar] [CrossRef]
- Perin, G.; Morosinotto, T. Understanding regulation in complex environments: A route to enhance photosynthetic light-reactions in microalgae photobioreactors. Front Photobiol. 2023, 3, 1080043. [Google Scholar]
- Malapascua, J.R.F.; Strasser, R.J.; Tichý, M.; Kaštovský, J. Fluorescence monitoring in microalgal mass cultures: Estimation of Ek as the irradiance saturating photosynthesis. Aquat. Biol. 2014, 22, 123–140. [Google Scholar]
- Shokravi, Z.; Shokravi, H.; Alavi-Borazjani, S.A.; McHenry, M.P.; Mundree, S. Improving lipid productivity in microalgae by bilateral enhancement of biomass and lipid production. Molecules 2020, 25, 4054. [Google Scholar]
- Wang, Q.; Lu, Y.; Xin, Y.; Wei, L.; Huang, S.; Xu, J. Effective cultivation of microalgae for biofuel production: A pilot-scale evaluation of a novel oleaginous microalga Graesiella sp. WBG-1. Biotechnol. Biofuels 2016, 9, 179. [Google Scholar]
- Razzak, S.A.; Ali, S.A.; Hossain, M.M.; Lucky, R.A.; Mofijur, M.; Rahman, S.M.; Ong, H.C. Microalgae cultivation in photobioreactors: Sustainable approaches and challenges. Sci. Total Environ. 2024, 906, 167580. [Google Scholar]






Disclaimer/Publisher’s Note: The statements, opinions and data contained in all publications are solely those of the individual author(s) and contributor(s) and not of MDPI and/or the editor(s). MDPI and/or the editor(s) disclaim responsibility for any injury to people or property resulting from any ideas, methods, instructions or products referred to in the content. |
© 2025 by the authors. Licensee MDPI, Basel, Switzerland. This article is an open access article distributed under the terms and conditions of the Creative Commons Attribution (CC BY) license (https://creativecommons.org/licenses/by/4.0/).
Share and Cite
Carbone, D.A.; D’ambrosio, N.; Pollio, A. Adaptation of Graesiella emersonii Strains to Atmospheric and Enriched CO2: Exploring Growth and Photosynthetic Efficiency. Bioengineering 2025, 12, 1061. https://doi.org/10.3390/bioengineering12101061
Carbone DA, D’ambrosio N, Pollio A. Adaptation of Graesiella emersonii Strains to Atmospheric and Enriched CO2: Exploring Growth and Photosynthetic Efficiency. Bioengineering. 2025; 12(10):1061. https://doi.org/10.3390/bioengineering12101061
Chicago/Turabian StyleCarbone, Dora Allegra, Nicola D’ambrosio, and Antonino Pollio. 2025. "Adaptation of Graesiella emersonii Strains to Atmospheric and Enriched CO2: Exploring Growth and Photosynthetic Efficiency" Bioengineering 12, no. 10: 1061. https://doi.org/10.3390/bioengineering12101061
APA StyleCarbone, D. A., D’ambrosio, N., & Pollio, A. (2025). Adaptation of Graesiella emersonii Strains to Atmospheric and Enriched CO2: Exploring Growth and Photosynthetic Efficiency. Bioengineering, 12(10), 1061. https://doi.org/10.3390/bioengineering12101061
