Comparison of Mechanical Behavior of Clear Aligner and Rapid Palatal Expander on Transverse Plane: An In Vitro Study
Abstract
1. Introduction
2. Materials and Methods
- Invisalign® First Phase I treatment (Align Technology, Inc., Santa Clara, CA, USA)
- 2.
- Tooth-borne Hyrax-type maxillary expander
- (1)
- Perforated Cylinder: The perforated cylinder, encircling the leadscrew, is rotated to induce expansion. Featuring four holes, each turn of the key corresponds to a quarter turn of the cylinder. Each activation corresponds to 0.2 mm of expansion; thus, completing a full cycle of four turns results in a total expansion of 0.8 mm.
- (2)
- Leadscrew: The length of the leadscrew dictates the maximum achievable expansion. Jackscrews vary between 3 and 18 mm of maximum expansion (removable expanders incorporate smaller jackscrews, achieving less expansion, typically ranging from 3 to 7 mm). The selection of leadscrew length is based on the patient’s transverse discrepancy.
- (3)
- Guide Pins: Strategically positioned above and below the leadscrew, guide pins offer structural support. Early iterations of modern jackscrews lacked a guidance mechanism by which to stabilize the appliance against torsion. A standard four-leg RPE utilizes two guide pins, while a two-leg RPE requires only one guide pin. These mono-guided jackscrews are commonly referred to as mini-jackscrews due to their smaller platform.
- (4)
- Platform: Housing the leadscrew and guide pins, the platform serves as a linkage to the framework. Its surface is marked with two identifiers: a small arrow denoting the direction of turning (opening) with the key; and a number, known as the nominal size, indicating the approximate maximum expansion amount in millimeters.
- −
- Semi-rapid: one activation (one quarter turn; 0.2 mm) every 24 h.
3. Results
4. Discussion
5. Conclusions
- −
- The cumulative magnitude of the transversal load in response to RPE activations ranges between 30 and 50 N for each activation. An immediate decrease in the mechanical load is noticeable after each activation, followed by a progressive and gradual reduction over time.
- −
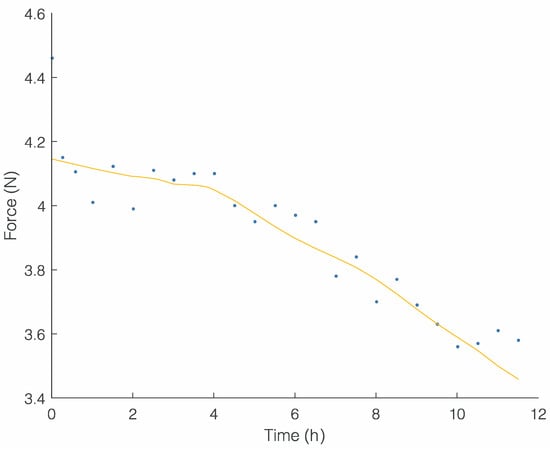
- The magnitude of the transversal load at the clear aligner placement ranges between 3 and 4 N and declines to zero any time the appliance is removed.
- −
- The mechanical behavior of both appliances could vary significatively in the oral environment.
Author Contributions
Funding
Institutional Review Board Statement
Informed Consent Statement
Data Availability Statement
Acknowledgments
Conflicts of Interest
Correction Statement
References
- McNamaraa, J.A. Maxillary transverse deficiency. Am. J. Orthod. Dentofac. Orthop. 2000, 117, 567–570. [Google Scholar] [CrossRef] [PubMed]
- Betts, N.; Vanarsdall, R.; Barber, H.; Higgins-Barber, K.; Fonseca, R. Diagnosis and treatment of transverse maxillary deficiency. Int. J. Adult Orthod. Orthognath. Surg. 1995, 10, 75. [Google Scholar]
- Reiser, E.; Skoog, V.; Gerdin, B.; Andlin-Sobocki, A. Association between cleft size and crossbite in children with cleft palate and unilateral cleft lip and palate. Cleft Palate-Craniofacial J. 2010, 47, 175–181. [Google Scholar] [CrossRef] [PubMed]
- Docimo, R.; Maturo, P.; D’Auria, F.; Grego, S.; Costacurta, M.; Perugia, C.; Chiariello, L. Association between oro-facial defects and systemic alterations in children affected by Marfan syndrome. J. Clin. Diagn. Res. JCDR 2013, 7, 700. [Google Scholar] [CrossRef] [PubMed]
- Paradowska, A.; Szelag, J.; Slawecki, K. Klippel− Feil Syndrome–Review of the Literature. Dent. Med. Probl. 2007, 44, 491–494. [Google Scholar]
- McKenzie, J.; Craig, J. Mandibulo-facial dysostosis (Treacher Collins syndrome). Arch. Dis. Child. 1955, 30, 391. [Google Scholar] [CrossRef][Green Version]
- Kreiborg, S.; Cohen, M., Jr. The oral manifestations of Apert syndrome. J. Craniofacial. Genet. Dev. Biol. 1992, 12, 41–48. [Google Scholar]
- Ahmed, I.; Afzal, A. Diagnosis and evaluation of Crouzon syndrome. J. Coll. Phys. Surg. Pak. 2009, 19, 318–320. [Google Scholar]
- Katzen, J.T.; McCarthy, J.G. Syndromes involving craniosynostosis and midface hypoplasia. Otolaryngol. Clin. North Am. 2000, 33, 1257–1284. [Google Scholar] [CrossRef]
- Kopra, D.E.; Davis, E. Prevalence of oral defects among neonatally intubated 3-to 5-and 7-to 10-year old children. Pediatr. Dent. 1991, 13, 349–355. [Google Scholar]
- Karjalainen, S.; Rönning, O.; Lapinleimu, H.; Simell, O. Association between early weaning, non-nutritive sucking habits and occlusal anomalies in 3-year-old Finnish children. Int. J. Paediatr. Dent. 1999, 9, 169–173. [Google Scholar] [CrossRef] [PubMed]
- Ovsenik, M. Incorrect orofacial functions until 5 years of age and their association with posterior crossbite. Am. J. Orthod. Dentofac. Orthop. 2009, 136, 375–381. [Google Scholar] [CrossRef] [PubMed]
- Volk, J.; Kadivec, M.; Mušič, M.M.; Ovsenik, M. Three-dimensional ultrasound diagnostics of tongue posture in children with unilateral posterior crossbite. Am. J. Orthod. Dentofac. Orthop. 2010, 138, 608–612. [Google Scholar] [CrossRef] [PubMed]
- Katsaros, S.K.C. The effects of myotonic dystrophy and Duchenne muscular dystrophy on the orofacial muscles and dentofacial morphology. Acta Odontol. Scand. 1998, 56, 369–374. [Google Scholar] [CrossRef] [PubMed]
- Nahlieli, O.; Kelly, J.; Baruchin, A.; Ben-Meir, P.; Shapira, Y. Oro-maxillofacial skeletal deformities resulting from burn scar contractures of the face and neck. Burns 1995, 21, 65–69. [Google Scholar] [CrossRef] [PubMed]
- Agarwal, A.; Mathur, R. Maxillary expansion. Int. J. Clin. Pediatr. Dent. 2010, 3, 139. [Google Scholar] [CrossRef]
- Ackerman, M. Evidence-based orthodontics for the 21st century. J. Am. Dent. Assoc. 2004, 135, 162–167. [Google Scholar] [CrossRef]
- Hicks, E.P.; Kluemper, G.T. Heuristic reasoning and cognitive biases: Are they hindrances to judgments and decision making in orthodontics? Am. J. Orthod. Dentofac. Orthop. 2011, 139, 297–304. [Google Scholar] [CrossRef]
- Angell, D. Treatment of irregularity of the permanent or adult teeth. Dent. Cosm. 1860, 1, 540–544. [Google Scholar]
- McQuillen, J. Separation of the Superior Maxilla in the Correction of Irregularity of the Teeth. Dent. Cosm. 1860, 2, 170–173. [Google Scholar]
- Gautam, P.; Valiathan, A.; Adhikari, R. Craniofacial displacement in response to varying headgear forces evaluated biomechanically with finite element analysis. Am. J. Orthod. Dentofac. Orthop. 2009, 135, 507–515. [Google Scholar] [CrossRef] [PubMed]
- Abate, A.; Ugolini, A.; Maspero, C.; Silvestrini-Biavati, F.; Caprioglio, A.; Lanteri, V. Comparison of the skeletal, dentoalveolar, and periodontal changes after Ni–Ti leaf spring expander and rapid maxillary expansion: A three-dimensional CBCT based evaluation. Clin. Oral Investig. 2023, 27, 5249–5262. [Google Scholar] [CrossRef] [PubMed]
- Lanteri, V.; Abate, A.; Cavagnetto, D.; Ugolini, A.; Gaffuri, F.; Gianolio, A.; Maspero, C. Cephalometric changes following maxillary expansion with Ni-Ti leaf springs palatal expander and rapid maxillary expander: A retrospective study. Appl. Sci. 2021, 11, 5748. [Google Scholar] [CrossRef]
- Abate, A.; Cavagnetto, D.; Fama, A.; Matarese, M.; Lucarelli, D.; Assandri, F. Short term effects of rapid maxillary expansion on breathing function assessed with spirometry: A case-control study. Saudi Dent. J. 2021, 33, 538–545. [Google Scholar] [CrossRef] [PubMed]
- Cossellu, G.; Lanteri, V.; Lione, R.; Ugolini, A.; Gaffuri, F.; Cozza, P.; Farronato, M. Efficacy of ketoprofen lysine salt and paracetamol/acetaminophen to reduce pain during rapid maxillary expansion: A randomized controlled clinical trial. Int. J. Paediatr. Dent. 2019, 29, 58–65. [Google Scholar] [CrossRef]
- Ugolini, A.; Cossellu, G.; Farronato, M.; Silvestrini-Biavati, A.; Lanteri, V. A multicenter, prospective, randomized trial of pain and discomfort during maxillary expansion: Leaf expander versus hyrax expander. Int. J. Paediatr. Dent. 2020, 30, 421–428. [Google Scholar] [CrossRef] [PubMed]
- Rutili, V.; Nieri, M.; Franceschi, D.; Pierleoni, F.; Giuntini, V.; Franchi, L. Comparison of rapid versus slow maxillary expansion on patient-reported outcome measures in growing patients: A systematic review and meta-analysis. Prog. Orthod. 2022, 23, 1–16. [Google Scholar] [CrossRef]
- Chang, J.Y.; McNamara, J.A., Jr.; Herberger, T.A. A longitudinal study of skeletal side effects induced by rapid maxillary expansion. Am. J. Orthod. Dentofac. Orthop. 1997, 112, 330–337. [Google Scholar] [CrossRef]
- Garib, D.G.; Henriques, J.C.; Carvalho, P.E.G.; Gomes, S.C. Longitudinal effects of rapid maxillary expansion: A retrospective cephalometric study. Angle Orthod. 2007, 77, 442–448. [Google Scholar] [CrossRef]
- Garrett, B.J.; Caruso, J.M.; Rungcharassaeng, K.; Farrage, J.R.; Kim, J.S.; Taylor, G.D. Skeletal effects to the maxilla after rapid maxillary expansion assessed with cone-beam computed tomography. Am. J. Orthod. Dentofac. Orthop. 2008, 134, 8.e1–8.e11. [Google Scholar] [CrossRef]
- Corbridge, J.K.; Campbell, P.M.; Taylor, R.; Ceen, R.F.; Buschang, P.H. Transverse dentoalveolar changes after slow maxillary expansion. Am. J. Orthod. Dentofac. Orthop. 2011, 140, 317–325. [Google Scholar] [CrossRef] [PubMed]
- Lagravere, M.O.; Major, P.W.; Flores-Mir, C. Long-term skeletal changes with rapid maxillary expansion: A systematic review. Angle Orthod. 2005, 75, 1046–1052. [Google Scholar] [PubMed]
- Haas, A.J. Palatal expansion: Just the beginning of dentofacial orthopedics. Am. J. Orthod. 1970, 57, 219–255. [Google Scholar] [CrossRef] [PubMed]
- Lagravère, M.O.; Carey, J.; Heo, G.; Toogood, R.W.; Major, P.W. Transverse, vertical, and anteroposterior changes from bone-anchored maxillary expansion vs traditional rapid maxillary expansion: A randomized clinical trial. Am. J. Orthod. Dentofac. Orthop. 2010, 137, 304.e301–304.e312. [Google Scholar] [CrossRef]
- Weissheimer, A.; de Menezes, L.M.; Mezomo, M.; Dias, D.M.; de Lima, E.M.S.; Rizzatto, S.M.D. Immediate effects of rapid maxillary expansion with Haas-type and hyrax-type expanders: A randomized clinical trial. Am. J. Orthod. Dentofac. Orthop. 2011, 140, 366–376. [Google Scholar] [CrossRef] [PubMed]
- Christie, K.F.; Boucher, N.; Chung, C.-H. Effects of bonded rapid palatal expansion on the transverse dimensions of the maxilla: A cone-beam computed tomography study. Am. J. Orthod. Dentofac. Orthop. 2010, 137, S79–S85. [Google Scholar] [CrossRef] [PubMed]
- Ugolini, A.; Doldo, T.; Ghislanzoni, L.T.H.; Mapelli, A.; Giorgetti, R.; Sforza, C. Rapid palatal expansion effects on mandibular transverse dimensions in unilateral posterior crossbite patients: A three-dimensional digital imaging study. Prog. Orthod. 2016, 17, 1–7. [Google Scholar] [CrossRef]
- Cantarella, D.; Dominguez-Mompell, R.; Moschik, C.; Mallya, S.M.; Pan, H.C.; Alkahtani, M.R.; Elkenawy, I.; Moon, W. Midfacial changes in the coronal plane induced by microimplant-supported skeletal expander, studied with cone-beam computed tomography images. Am. J. Orthod. Dentofac. Orthop. 2018, 154, 337–345. [Google Scholar] [CrossRef]
- García, V.J.; López-Cancelos, R.; Riveiro, A.; Comesaña, R.; Ustrell i Torrent, J.; Kasem, K.; Badaoui, A.; Manzanares-Céspedes, M.C.; Carvalho-Lobato, P. Determination of forces on a split palatal screw after rapid maxillary expansion. J. Orofac. Orthop./Fortschritte Kieferorthopädie 2017, 78, 371–384. [Google Scholar] [CrossRef]
- Gautam, P.; Valiathan, A.; Adhikari, R. Stress and displacement patterns in the craniofacial skeleton with rapid maxillary expansion: A finite element method study. Am. J. Orthod. Dentofac. Orthop. 2007, 132, 5.e1–5.e11. [Google Scholar] [CrossRef]
- Işeri, H.; Tekkaya, A.E.; Öztan, Ö.; Bilgic, S. Biomechanical effects of rapid maxillary expansion on the craniofacial skeleton, studied by the finite element method. Eur. J. Orthod. 1998, 20, 347–356. [Google Scholar] [CrossRef] [PubMed]
- Jafari, A.; Shetty, K.S.; Kumar, M. Study of stress distribution and displacement of various craniofacial structures following application of transverse orthopedic forces—A three-dimensional FEM study. Angle Orthod. 2003, 73, 12–20. [Google Scholar] [PubMed]
- Camporesi, M.; Franchi, L.; Doldo, T.; Defraia, E. Evaluation of mechanical properties of three different screws for rapid maxillary expansion. Biomed. Eng. Online 2013, 12, 1–9. [Google Scholar] [CrossRef] [PubMed]
- Muchitsch, A.P.; Wendl, B.; Winsauer, H.; Pichelmayer, M.; Payer, M. Rapid maxillary expansion screws on the test bench—A pilot study. Eur. J. Orthod. 2011, 33, 256–262. [Google Scholar] [CrossRef] [PubMed][Green Version]
- Lombardo, L.; Sacchi, E.; Larosa, M.; Mollica, F.; Mazzanti, V.; Spedicato, G.A.; Siciliani, G. Evaluation of the stiffness characteristics of rapid palatal expander screws. Prog. Orthod. 2016, 17, 1–10. [Google Scholar] [CrossRef] [PubMed]
- Goeckner, K.; Pepakayala, V.; Nervina, J.; Gianchandani, Y.; Kapila, S. Three-dimensional force measurements during rapid palatal expansion in Sus scrofa. Micromachines 2016, 7, 64. [Google Scholar] [CrossRef] [PubMed]
- Fox, G.C.; Jones, T.A.; Wilson, J.M.; Claro, W.I.; Williams, R.A.; Trojan, T.M.; Al Dayeh, A. Sutural loading in bone-versus dental-borne rapid palatal expansion: An ex vivo study. Orthod. Craniofacial Res. 2020, 23, 419–426. [Google Scholar] [CrossRef] [PubMed]
- Sun, Z.; Hueni, S.; Tee, B.C.; Kim, H. Mechanical strain at alveolar bone and circummaxillary sutures during acute rapid palatal expansion. Am. J. Orthod. Dentofac. Orthop. 2011, 139, e219–e228. [Google Scholar] [CrossRef]
- Isaacson, R.J.; Wood, J.L.; Ingram, A.H. Forces produced by rapid maxillary expansion: I. Design of the force measuring system. Angle Orthod. 1964, 34, 256–260. [Google Scholar]
- Isaacson, R.J.; Ingram, A.H. Forces produced by rapid maxillary expansion: II. Forces present during treatment. Angle Orthod. 1964, 34, 261–270. [Google Scholar]
- Lione, R.; Paoloni, V.; Bartolommei, L.; Gazzani, F.; Meuli, S.; Pavoni, C.; Cozza, P. Maxillary arch development with Invisalign system: Analysis of expansion dental movements on digital dental casts. Angle Orthod. 2021, 91, 433–440. [Google Scholar] [CrossRef] [PubMed]
- Houle, J.-P.; Piedade, L.; Todescan, R., Jr.; Pinheiro, F.H.L. The predictability of transverse changes with Invisalign. Angle Orthod. 2017, 87, 19–24. [Google Scholar] [CrossRef]
- Zhou, N.; Guo, J. Efficiency of upper arch expansion with the Invisalign system. Angle Orthod. 2020, 90, 23–30. [Google Scholar] [CrossRef] [PubMed]
- Santucci, V.; Rossouw, P.E.; Michelogiannakis, D.; El-Baily, T.; Feng, C. Assessment of Posterior Dentoalveolar Expansion with Invisalign in Adult Patients. Int. J. Environ. Res. Public Health 2023, 20, 4318. [Google Scholar] [CrossRef] [PubMed]
- Galluccio, G.; De Stefano, A.A.; Horodynski, M.; Impellizzeri, A.; Guarnieri, R.; Barbato, E.; Di Carlo, S.; De Angelis, F. Efficacy and Accuracy of Maxillary Arch Expansion with Clear Aligner Treatment. Int. J. Environ. Res. Public Health 2023, 20, 4634. [Google Scholar] [CrossRef] [PubMed]
- Bouchant, M.; Saade, A.; El Helou, M. Is maxillary arch expansion with Invisalign® efficient and predictable? A systematic review. Int. Orthod. 2023, 21, 100750. [Google Scholar] [CrossRef]
- Levrini, L.; Carganico, A.; Abbate, L. Maxillary expansion with clear aligners in the mixed dentition: A preliminary study with Invisalign® First system. Eur. J. Paediatr. Dent. 2021, 22, 125–128. [Google Scholar]
- Lione, R.; Cretella Lombardo, E.; Paoloni, V.; Meuli, S.; Pavoni, C.; Cozza, P. Upper arch dimensional changes with clear aligners in the early mixed dentition: A prospective study. J. Orofac. Orthop. Fortschritte Kieferorthopadie 2023, 84. [Google Scholar] [CrossRef]
- Gonçalves, A.; Ayache, S.; Monteiro, F.; Silva, F.; Pinho, T. Efficiency of Invisalign First® to promote expansion movement in mixed dentition: A retrospective study and systematic review. Eur. J. Paediatr. Dent. 2023. [Google Scholar] [CrossRef]
- Cretella Lombardo, E.; Paoloni, V.; Fanelli, S.; Pavoni, C.; Gazzani, F.; Cozza, P. Evaluation of the Upper Arch Morphological Changes after Two Different Protocols of Expansion in Early Mixed Dentition: Rapid Maxillary Expansion and Invisalign® First System. Life 2022, 12, 1323. [Google Scholar] [CrossRef]
- Lombardo, E.C.; Fanelli, S.; Paoloni, V.; Cozza, P.; Lione, R. Comparison between two different expansion protocols in early mixed dentition: Clear Aligners vs Rapid Maxillary Expansion. In Seminars in Orthodontics; WB Saunders: Philadelphia, PA, USA, 2023. [Google Scholar] [CrossRef]
- Bruni, A.; Serra, F.G.; Gallo, V.; Deregibus, A.; Castroflorio, T. The 50 most-cited articles on clear aligner treatment: A bibliometric and visualized analysis. Am. J. Orthod. Dentofac. Orthop. 2021, 159, e343–e362. [Google Scholar] [CrossRef]
- Schiffman, P.H.; Tuncay, O.C. Maxillary expansion: A meta analysis. Clin. Orthod. Res. 2001, 4, 86–96. [Google Scholar] [CrossRef]
- Bazargani, F.; Feldmann, I.; Bondemark, L. Three-dimensional analysis of effects of rapid maxillary expansion on facial sutures and bones: A systematic review. Angle Orthod. 2013, 83, 1074–1082. [Google Scholar] [CrossRef]
- Petrén, S.; Bondemark, L.; Söderfeldt, B. A systematic review concerning early orthodontic treatment of unilateral posterior crossbite. Angle Orthod. 2003, 73, 588–596. [Google Scholar]
- Sander, C.; Hüffmeier, S.; Sander, F.M.; Sander, F.G. Initial results regarding force exertion during rapid maxillary expansion in children. J. Orofac. Orthop./Fortschritte Kieferorthopädie 2006, 67, 19–26. [Google Scholar] [CrossRef]
- Proffit, W.R.; Fields, H.W., Jr.; Sarver, D.M. Contemporary Orthodontics; Elsevier Health Sciences: Amsterdam, The Netherlands, 2006. [Google Scholar]
- Ghoneima, A.; Abdel-Fattah, E.; Hartsfield, J.; El-Bedwehi, A.; Kamel, A.; Kula, K. Effects of rapid maxillary expansion on the cranial and circummaxillary sutures. Am. J. Orthod. Dentofac. Orthop. 2011, 140, 510–519. [Google Scholar] [CrossRef]
- Wertz, R.A. Skeletal and dental changes accompanying rapid midpalatal suture opening. Am. J. Orthod. 1970, 58, 41–66. [Google Scholar] [CrossRef]
- Hoffler, C.; Moore, K.; Kozloff, K.; Zysset, P.; Goldstein, S.A. Age, gender, and bone lamellae elastic moduli. J. Orthop. Res. 2000, 18, 432–437. [Google Scholar] [CrossRef]
- Halazonetis, D.J.; Katsavrias, E.; Spyropoulos, M.N. Changes in cheek pressure following rapid maxillary expansion. Eur. J. Orthod. 1994, 16, 295–300. [Google Scholar] [CrossRef]
- Kesling, H.D. The philosophy of the tooth positioning appliance. Am. J. Orthod. Oral Surg. 1945, 31, 297–304. [Google Scholar] [CrossRef]
- Rossini, G.; Parrini, S.; Deregibus, A.; Castroflorio, T. Controlling orthodontic tooth movement with clear aligners. J. Aligner Orthod 2017, 1, 7–20. [Google Scholar]
- Rossini, G.; Parrini, S.; Castroflorio, T.; Deregibus, A.; Debernardi, C.L. Periodontal health during clear aligners treatment: A systematic review. Eur. J. Orthod. 2014, 37, 539–543. [Google Scholar] [CrossRef]
- Jheon, A.; Oberoi, S.; Solem, R.; Kapila, S. Moving towards precision orthodontics: An evolving paradigm shift in the planning and delivery of customized orthodontic therapy. Orthod. Craniofac. Res. 2017, 20, 106–113. [Google Scholar] [CrossRef]
- Robertson, L.; Kaur, H.; Fagundes, N.C.F.; Romanyk, D.; Major, P.; Flores Mir, C. Effectiveness of clear aligner therapy for orthodontic treatment: A systematic review. Orthod. Craniofacial Res. 2019, 23, 133–142. [Google Scholar] [CrossRef]
- Papadimitriou, A.; Mousoulea, S.; Gkantidis, N.; Kloukos, D. Clinical effectiveness of Invisalign® orthodontic treatment: A systematic review. Prog. Orthod. 2018, 19, 37. [Google Scholar] [CrossRef]
- Papageorgiou, S.N.; Koletsi, D.; Iliadi, A.; Peltomaki, T.; Eliades, T. Treatment outcome with orthodontic aligners and fixed appliances: A systematic review with meta-analyses. Eur. J. Orthod. 2019, 1, 13. [Google Scholar] [CrossRef]
- Ojima, K.; Kau, C.H. A perspective in accelerated orthodontics with aligner treatment. In Seminars in Orthodontics; WB Saunders: Philadelphia, PA, USA, 2017; Volume 23, pp. 76–82. [Google Scholar]
- Reitan, K. The initial tissue reaction incident to orthodontic tooth movement as related to the influence of function; an experimental histologic study on animal and human material. Acta Odontol. Scandinavica. Suppl. 1951, 6, 1–240. [Google Scholar]
- Holberg, C.; Holberg, N.; Schwenzer, K.; Wichelhaus, A.; Rudzki-Janson, I. Biomechanical analysis of maxillary expansion in CLP patients. Angle Orthod. 2007, 77, 280–287. [Google Scholar] [CrossRef]
- Tindlund, R.S.; Rygh, P.; Bøe, O.E. Intercanine widening and sagittal effect of maxillary transverse expansion in patients with cleft lip and palate during the deciduous and mixed dentitions. Cleft Palate-Craniofacial J. 1993, 30, 195–207. [Google Scholar] [CrossRef]
- Ladner, P.T.; Muhl, Z.F. Changes concurrent with orthodontic treatment when maxillary expansion is a primary goal. Am. J. Orthod. Dentofac. Orthop. 1995, 108, 184–193. [Google Scholar] [CrossRef]
- Thorne, N.; Hugo, A. Experiences on widening the median maxillary suture. Trans. Eur. Orthod. Soc. 1956, 32, 279–290. [Google Scholar]
- da Silva Filho, O.G.; do Prado Montes, L.A.; Torelly, L.F. Rapid maxillary expansion in the deciduous and mixed dentition evaluated through posteroanterior cephalometric analysis. Am. J. Orthod. Dentofac. Orthop. 1995, 107, 268–275. [Google Scholar] [CrossRef]
- Timms, D.J. A study of basal movement with rapid maxillary expansion. Am. J. Orthod. 1980, 77, 500–507. [Google Scholar] [CrossRef]
- Cotton, L.A. Slow maxillary expansion: Skeletal versus dental response to low magnitude force in Macaca mulatta. Am. J. Orthod. 1978, 73, 1–23. [Google Scholar] [CrossRef]
- Sandikçiolu, M.; Hazar, S. Skeletal and dental changes after maxillary expansion in the mixed dentition. Am. J. Orthod. Dentofac. Orthop. 1997, 111, 321–327. [Google Scholar] [CrossRef]
- Frank, S.W.; Engel, G.A. The effects of maxillary quad-helix appliance expansion on cephalometric measurements in growing orthodontic patients. Am. J. Orthod. 1982, 81, 378–389. [Google Scholar] [CrossRef]
- Lebret, L.M. Changes in the palatal vault resulting from expansion. Angle Orthod. 1965, 35, 97–105. [Google Scholar]
- Maschio, M.; Gaffuri, F.; Ugolini, A.; Lanteri, V.; Abate, A.; Caprioglio, A. Buccal Alveolar Bone Changes and Upper First Molar Displacement after Maxillary Expansion with RME, Ni-Ti Leaf Springs Expander and Tooth- Bone-Borne Expander. A CBCT Based Analysis. Eur. J. Paediatr. Dent. 2023, 24, 211–215. [Google Scholar] [CrossRef]
- Ohshima, O. Effect of lateral expansion force on maxillary structure in cynomolgus monkey. J. Osaka Dent. Univ. 1972, 6, 11–50. [Google Scholar]
- Ciambotti, C.; Ngan, P.; Durkee, M.; Kohli, K.; Kim, H. A comparison of dental and dentoalveolar changes between rapid palatal expansion and nickel-titanium palatal expansion appliances. Am. J. Orthod. Dentofac. Orthop. 2001, 119, 11–20. [Google Scholar] [CrossRef] [PubMed]
- Hicks, E.P. Slow maxillary expansion: A clinical study of the skeletal versus dental response to low-magnitude force. Am. J. Orthod. 1978, 73, 121–141. [Google Scholar] [CrossRef] [PubMed]
- Herold, J.S. Maxillary expansion: A retrospective study of three methods of expansion and their long-term sequelae. Br. J. Orthod. 1989, 16, 195–200. [Google Scholar] [CrossRef] [PubMed]
- Zheng, M.; Liu, R.; Ni, Z.; Yu, Z. Efficiency, effectiveness and treatment stability of clear aligners: A systematic review and meta-analysis. Orthod. Craniofac. Res. 2017, 20, 127–133. [Google Scholar] [CrossRef]
- Galan-Lopez, L.; Barcia-Gonzalez, J.; Plasencia, E. A systematic review of the accuracy and efficiency of dental movements with Invisalign®. Korean J. Orthod. 2019, 49, 140. [Google Scholar] [CrossRef] [PubMed]
- Solano-Mendoza, B.; Sonnemberg, B.; Solano-Reina, E.; Iglesias-Linares, A. How effective is the Invisalign® system in expansion movement with Ex30′ aligners? Clin. Oral Investig. 2017, 21, 1475–1484. [Google Scholar] [CrossRef] [PubMed]
- Nanda, R.; Castroflorio, T.; Garino, F.; Ojima, K. Principles and Biomechanics of Aligner Treatment; Elsevier Health Sciences: Amsterdam, The Netherlands, 2021. [Google Scholar]
- Aristizabal Mulett, J.S. Valoración del Efecto Biomecánico en el Ligamento Periodontal Durante la Expansión en el Arco Maxilar, del Canino al Molar, Usando Alineadores Termoformados Con Aditamentos Biomecánicos Complementarios Mediante Métodos Computacionales. 2018. Available online: https://bibliotecadigital.univalle.edu.co/entities/publication/83b73fd7-327d-4b22-a1a3-d14c87a4752a (accessed on 1 January 2020).
- Ugolini, A.; Agostino, P.; Silvestrini-Biavati, A.; Harrison, J.E.; Batista, K.B. Orthodontic treatment for posterior crossbites. Cochrane Database Syst. Rev. 2021. [Google Scholar] [CrossRef]
- Fang, D.; Zhang, N.; Chen, H.; Bai, Y. Dynamic stress relaxation of orthodontic thermoplastic materials in a simulated oral environment. Dent. Mater. J. 2013, 32, 946–951. [Google Scholar] [CrossRef]
- Jaggy, F.; Zinelis, S.; Polychronis, G.; Patcas, R.; Schätzle, M.; Eliades, G.; Eliades, T. ATR-FTIR analysis and one-week stress relaxation of four orthodontic aligner materials. Materials 2020, 13, 1868. [Google Scholar] [CrossRef]
- Bruni, A.; Serra, F.G.; Deregibus, A.; Castroflorio, T. Shape-Memory Polymers in Dentistry: Systematic Review and Patent Landscape Report. Materials 2019, 12, 2216. [Google Scholar] [CrossRef]
- Didier, H.; Assandri, F.; Gaffuri, F.; Cavagnetto, D.; Abate, A.; Villanova, M.; Maiorana, C. The Role of Dental Occlusion and Neuromuscular Behavior in Professional Ballet Dancers’ Performance: A Pilot Study. Healthcare 2021, 9, 491–494. [Google Scholar] [CrossRef]






Disclaimer/Publisher’s Note: The statements, opinions and data contained in all publications are solely those of the individual author(s) and contributor(s) and not of MDPI and/or the editor(s). MDPI and/or the editor(s) disclaim responsibility for any injury to people or property resulting from any ideas, methods, instructions or products referred to in the content. |
© 2024 by the authors. Licensee MDPI, Basel, Switzerland. This article is an open access article distributed under the terms and conditions of the Creative Commons Attribution (CC BY) license (https://creativecommons.org/licenses/by/4.0/).
Share and Cite
Bruni, A.; Abate, A.; Maspero, C.; Castroflorio, T. Comparison of Mechanical Behavior of Clear Aligner and Rapid Palatal Expander on Transverse Plane: An In Vitro Study. Bioengineering 2024, 11, 103. https://doi.org/10.3390/bioengineering11020103
Bruni A, Abate A, Maspero C, Castroflorio T. Comparison of Mechanical Behavior of Clear Aligner and Rapid Palatal Expander on Transverse Plane: An In Vitro Study. Bioengineering. 2024; 11(2):103. https://doi.org/10.3390/bioengineering11020103
Chicago/Turabian StyleBruni, Alessandro, Andrea Abate, Cinzia Maspero, and Tommaso Castroflorio. 2024. "Comparison of Mechanical Behavior of Clear Aligner and Rapid Palatal Expander on Transverse Plane: An In Vitro Study" Bioengineering 11, no. 2: 103. https://doi.org/10.3390/bioengineering11020103
APA StyleBruni, A., Abate, A., Maspero, C., & Castroflorio, T. (2024). Comparison of Mechanical Behavior of Clear Aligner and Rapid Palatal Expander on Transverse Plane: An In Vitro Study. Bioengineering, 11(2), 103. https://doi.org/10.3390/bioengineering11020103
