Keypoints-Based Multi-Cue Feature Fusion Network (MF-Net) for Action Recognition of ADHD Children in TOVA Assessment
Abstract
1. Introduction
- We present a novel multi-cue framework that effectively integrates both global body movements and local facial-head movements through a novel fusion strategy, achieving superior performance in ADHD behavior recognition during TOVA assessment.
- We propose two innovative modules for ADHD-specific feature extraction: a Multi-scale Spatial-Temporal Information Extraction Module that captures movement patterns at different temporal scales, and a Motion Attribute Encoder that identifies critical behavioral frames. These modules work synergistically to model both sustained attention and sudden impulsive movements characteristic of ADHD.
- We present a MobileViTv2 classification network that constructs images based on facial keypoints.
2. Methods
2.1. Overview of MF-Net
2.2. Human Body Keypoints Feature Extractor
2.2.1. Adaptive Graph Convolutional Network
2.2.2. Multi-Scale Spatial-Temporal Information Extraction Module
2.2.3. Motion Attribute Encoder Module
2.3. Facial Keypoints Feature Extractor
2.3.1. Transformation of Facial Keypoints into Images
2.3.2. Feature Extraction on Transformed Images
2.4. Holistic Integration of Multi-Cue Feature Representations
3. Experiments
3.1. Datasets
- (1)
- Turning the head and look around. This action manifests when the child is unable to concentrate. Their attention is diverted by the surrounding environment, leading to sudden and unpredictable behavior. It is indicative of symptoms of inattention.
- (2)
- Shaking body. This behavior arises from symptoms of hyperactivity and impulsivity. It leads to an inability to sustain attention on a single task for an extended period. It is manifested as body movements while seated, characterized by irregularity.
- (3)
- Resting head on hand. This action occurs when the child feels fatigued or has difficulty maintaining attention. It is related to symptoms of inattention.
- (4)
- Displaying facial expressions of inattention. This type of action reflects the manifestation of ADHD symptoms on the child’s facial expressions when unable to focus on completing the task, such as pouting, frowning, etc., and is characterized by unpredictability. It is more pronounced compared to typical children.
- (5)
- Lying on the desk. This action is associated with symptoms of inattention. The child is unable to continue the test for an extended period, ultimately resulting in and lying on the desk.
- (6)
- Exhibiting no significant ADHD symptoms. This state is defined as the child exhibiting normal behavior during the test, apart from the aforementioned five action states. There are no significant body or head movements.
3.2. Implementation Details
3.3. Performance Comparison on SCU-ADHD-Action-Dataset
3.3.1. Comparison with State-of-the-Art Models on SCU-ADHD-Action-Dataset
3.3.2. Comparison of Feature Extraction with t-SNE Visualization
3.3.3. Validation of MSF-AGCN Module Effectiveness
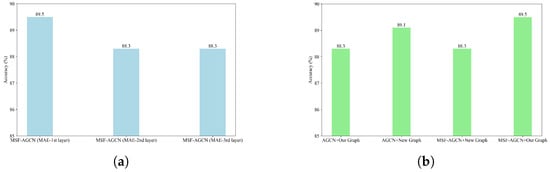
3.3.4. Analysis of the Impacts of Motion Attribute Encoder Module Position and Structural Graph Design
3.4. Ablation Studies
3.4.1. Performance of MSF-AGCN
3.4.2. Performance Evaluation of Multi-Cue Feature Fusion in MF-Net
3.5. Extensive Evaluations on Public Datasets
3.5.1. Public Datasets
3.5.2. Comparison with Some State-of-the-Art GCNs on the NW-UCLA Dataset
3.5.3. Comparison with Some State-of-the-Art GCNs on the NTU-2D Dataset
3.5.4. Comparison of Different SOTA CNN Networks on Facial Keypoints Dataset and AFEW-VA Datasets
4. Conclusions
Author Contributions
Funding
Institutional Review Board Statement
Informed Consent Statement
Data Availability Statement
Conflicts of Interest
References
- Feldman, H.M.; Reiff, M.I. Attention Deficit–Hyperactivity Disorder in Children and Adolescents — NEJM. Pediatr. Clin. N. Am. 2014, 50, 1049–1092. [Google Scholar]
- Wehmeier, P.M.; Schacht, A.; Barkley, R.A. Social and emotional impairment in children and adolescents with ADHD and the impact on quality of life. J. Adolesc. Health 2010, 46, 209–217. [Google Scholar] [CrossRef] [PubMed]
- Ayano, G.; Demelash, S.; Gizachew, Y.; Tsegay, L.; Alati, R. The global prevalence of attention deficit hyperactivity disorder in children and adolescents: An umbrella review of meta-analyses. J. Affect. Disord. 2023, 339, 860–866. [Google Scholar] [CrossRef] [PubMed]
- Xenitidis, K.; Campbell, C.; Routh, R.; Jackson, G. Attention Deficit/Hyperactivity Disorder Across the Lifespan. Annu. Rev. Med. 2013, 202, 155. [Google Scholar]
- Loe, I.M.; Feldman, H.M. Academic and educational outcomes of children with ADHD. Ambul. Pediatr. 2007, 7, 82–90. [Google Scholar] [CrossRef]
- Wolraich, M.L. Attention-Deficit/Hyperactivity Disorder Among Adolescents: A Review of the Diagnosis, Treatment, and Clinical Implications. Pediatrics 2005, 115, 1734. [Google Scholar] [CrossRef]
- Webster-Stratton, C.; Reid, J.; Hammond, M. Social skills and problem-solving training for children with early-onset conduct problems: Who benefits? J. Child Psychol. Psychiatry 2010, 42, 943–952. [Google Scholar] [CrossRef]
- Banaschewski, T.; Brandeis, D.; Heinrich, H.; Albrecht, B.; Brunner, E.; Rothenberger, A. Association of ADHD and conduct disorder—brain electrical evidence for the existence of a distinct subtype. J. Child Psychol. Psychiatry 2003, 44, 356–376. [Google Scholar] [CrossRef]
- Wilens, T.E.; Spencer, T.J. Understanding Attention-Deficit/Hyperactivity Disorder from Childhood to Adulthood. Postgrad. Med. 2010, 122, 97–109. [Google Scholar] [CrossRef]
- Doernberg, E.; Hollander, E. Neurodevelopmental disorders (asd and adhd): Dsm-5, icd-10, and icd-11. CNS Spectrums 2016, 21, 295–299. [Google Scholar] [CrossRef]
- Riaz, A.; Asad, M.; Alonso, E.; Slabaugh, G. Fusion of fMRI and non-imaging data for ADHD classification. Comput. Med. Imaging Graph. Off. J. Comput. Med. Imaging Soc. 2018, 65, 115–128. [Google Scholar] [CrossRef] [PubMed]
- Zuberer, A.; Schwarz, L.; Kreifelts, B.; Wildgruber, D.; Ethofer, T. Neural basis of impaired emotion recognition in adult attention deficit hyperactivity disorder. Biol. Psychiatry Cogn. Neurosci. Neuroimaging 2020, 7, 680–687. [Google Scholar] [CrossRef] [PubMed]
- Deshpande, G.; Wang, P.; Rangaprakash, D.; Wilamowski, B. Fully Connected Cascade Artificial Neural Network Architecture for Attention Deficit Hyperactivity Disorder Classification From Functional Magnetic Resonance Imaging Data. IEEE Trans. Cybern. 2015, 45, 2668–2679. [Google Scholar] [CrossRef] [PubMed]
- Cura, O.K.; Atli, S.; Akan, A. Attention deficit hyperactivity disorder recognition based on intrinsic time-scale decomposition of EEG signals. Biomed. Signal Process. Control. 2023, 81, 104512. [Google Scholar]
- Shin, J.; Maniruzzaman, M.; Uchida, Y.; Hasan, M.A.M.; Megumi, A.; Yasumura, A. Handwriting-based ADHD detection for children having ASD using machine learning approaches. IEEE Access 2023, 11, 84974–84984. [Google Scholar] [CrossRef]
- Okada, S.; Shiozawa, N.; Makikawa, M. Body movement in children with ADHD calculated using video images. In Proceedings of the 2012 IEEE-EMBS International Conference on Biomedical and Health Informatics, Hong Kong, China, 5–7 January 2012; IEEE: Piscataway, NJ, USA, 2012; pp. 60–61. [Google Scholar]
- Nakatani, M.; Okada, S.; Shimizu, S.; Mohri, I.; Ohno, Y.; Taniike, M.; Makikawa, M. Body movement analysis during sleep for children with ADHD using video image processing. In Proceedings of the 2013 35th Annual International Conference of the IEEE Engineering in Medicine and Biology Society (EMBC), Osaka, Japan, 3–7 July 2013; IEEE: Piscataway, NJ, USA, 2013; pp. 6389–6392. [Google Scholar]
- Zhang, Y.; Kong, M.; Zhao, T.; Hong, W.; Xie, D.; Wang, C.; Yang, R.; Li, R.; Zhu, Q. Auxiliary diagnostic system for ADHD in children based on AI technology. Front. Inf. Technol. Electron. Eng. 2021, 22, 400–414. [Google Scholar] [CrossRef]
- Jiang, X.; Chen, Y.; Huang, W.; Zhang, T.; Zheng, Y. WeDA: Designing and Evaluating A Scale-driven Wearable Diagnostic Assessment System for Children with ADHD. In Proceedings of the CHI ’20: CHI Conference on Human Factors in Computing Systems, Honolulu, HI, USA, 25–30 April 2020. [Google Scholar]
- Bijlenga, D.; Ulberstad, F.; Thorell, L.B.; Christiansen, H.; Hirsch, O.; Kooij, J.S. Objective assessment of attention-deficit/hyperactivity disorder in older adults compared with controls using the QbTest. Int. J. Geriatr. Psychiatry 2019, 34, 1526–1533. [Google Scholar] [CrossRef]
- Bautista, M.A.; Hernandez-Vela, A.; Escalera, S.; Igual, L.; Pujol, O.; Moya, J.; Violant, V.; Anguera, M.T. A Gesture Recognition System for Detecting Behavioral Patterns of ADHD. IEEE Trans. Cybern 2016, 46, 136–147. [Google Scholar] [CrossRef]
- Jaiswal, S.; Valstar, M.F.; Gillott, A.; Daley, D. Automatic detection of ADHD and ASD from expressive behaviour in RGBD data. In Proceedings of the 2017 12th IEEE International Conference on Automatic Face & Gesture Recognition (FG 2017), Washington, DC, USA, 30 May–3 June 2017; IEEE: Piscataway, NJ, USA, 2017; pp. 762–769. [Google Scholar]
- Porumb, M. Using TOVA for the assessment of ADHD: A case study. Cogn. Brain Behav. 2007, 11, 571. [Google Scholar]
- Katz, M.; Adar Levine, A.; Kol-Degani, H.; Kav-Venaki, L. A compound herbal preparation (CHP) in the treatment of children with ADHD: A randomized controlled trial. J. Atten. Disord. 2010, 14, 281. [Google Scholar] [CrossRef]
- Peskin, M.; Sommerfeld, E.; Basford, Y.; Rozen, S.; Zalsman, G.; Weizman, A.; Manor, I. Continuous Performance Test Is Sensitive to a Single Methylphenidate Challenge in Preschool Children with ADHD. SAGE Publ. 2020, 24, 226–234. [Google Scholar] [CrossRef] [PubMed]
- Rotem, A.; Ben-Sheetrit, J.; Newcorn, J.; Danieli, Y.; Peskin, M.; Golubchik, P.; Ben-Hayun, R.; Weizman, A.; Manor, I. The Placebo Response in Adult ADHD as Objectively Assessed by the TOVA Continuous Performance Test. J. Atten. Disord. 2021, 25, 1311–1320. [Google Scholar] [CrossRef] [PubMed]
- Asbaqi, M.; Arjmandnia, A.; Rahmanian, M.; Asbaqi, E. Comparing the Effect of Neurofeedback Training with Neurofeedback Along with Cognitive Rehabilitation on ADHD Children’s Improvement. Neuropsychology 2016, 2, 75–88. [Google Scholar]
- Wada, N.; Yamashita, Y.; Matsuishi, T.; Ohtani, Y.; Kato, H. The test of variables of attention (TOVA) is useful in the diagnosis of Japanese male children with attention deficit hyperactivity disorder. Brain Dev. 2000, 22, 378–382. [Google Scholar] [CrossRef] [PubMed]
- Forbes, G.B. Clinical utility of the Test of Variables of Attention (TOVA) in the diagnosis of attention-deficit/hyperactivity disorder. J. Clin. Psychol. 1998, 54, 461–476. [Google Scholar] [CrossRef]
- Weyandt, L.L.; Mitzlaff, L.; Thomas, L. The Relationship Between Intelligence and Performance on the Test of Variables of Attention (TOVA). J. Learn Disabil. 2002, 35, 114–120. [Google Scholar] [CrossRef]
- Llorente, A.M.; Voigt, R.; Jensen, C.L.; Fraley, J.K.; Rennie, W.C.H.K.M. The Test of Variables of Attention (TOVA): Internal Consistency (Q1 vs. Q2 and Q3 vs. Q4) in Children with Attention Deficit/Hyperactivity Disorder (ADHD). Child Neuropsychol. 2008, 14, 314–322. [Google Scholar] [CrossRef]
- Huang, Y.S.; Chen, N.H.; Li, H.Y.; Wu, Y.Y.; Chao, C.C.; Guilleminault, C. Sleep disorders in Taiwanese children with attention deficit/hyperactivity disorder. J. Sleep Res. 2010, 13, 269–277. [Google Scholar] [CrossRef]
- Kollins, S.H.; Deloss, D.J.; Caadas, E.; Lutz, J.; Faraone, S.V. A novel digital intervention for actively reducing severity of paediatric ADHD (STARS-ADHD): A randomised controlled trial. Lancet Digit. Health 2020, 2, e168–e178. [Google Scholar] [CrossRef]
- Hunt, M.G.; Bienstock, S.W.; Qiang, J.K. Effects of diurnal variation on the Test of Variables of Attention performance in young adults with attention-deficit/hyperactivity disorder. Psychol Assess 2012, 24, 166–172. [Google Scholar] [CrossRef]
- Simonyan, K.; Zisserman, A. Two-Stream Convolutional Networks for Action Recognition in Videos. Adv. Neural Inf. Process. Syst. 2014, 1, 568–576. [Google Scholar]
- Hara, K.; Kataoka, H.; Satoh, Y. Learning Spatio-Temporal Features with 3D Residual Networks for Action Recognition. In Proceedings of the 2017 IEEE International Conference on Computer Vision Workshop (ICCVW), Venice, Italy, 22–29 October 2017. [Google Scholar]
- Wang, L.; Yuan, X.; Zong, M.; Ma, Y.; Wang, R. Multi-cue based four-stream 3D ResNets for video-based action recognition. Inf. Sci. 2021, 575, 654–665. [Google Scholar] [CrossRef]
- Zong, M.; Wang, R.; Chen, X.; Chen, Z.; Gong, Y. Motion saliency based multi-stream multiplier ResNets for action recognition-ScienceDirect. Image Vis. Comput. 2021, 107, 104108. [Google Scholar] [CrossRef]
- Yan, S.; Xiong, Y.; Lin, D. Spatial temporal graph convolutional networks for skeleton-based action recognition. In Proceedings of the AAAI Conference on Artificial Intelligence, New Orleans, LA, USA, 2–7 February 2018; Volume 32. [Google Scholar]
- Shi, L.; Zhang, Y.; Cheng, J.; Lu, H. Two-stream adaptive graph convolutional networks for skeleton-based action recognition. In Proceedings of the IEEE/CVF Conference on Computer Vision and Pattern Recognition, Long Beach, CA, USA, 15–20 June 2019; pp. 12026–12035. [Google Scholar]
- Woo, S.; Park, J.; Lee, J.Y.; Kweon, I.S. Cbam: Convolutional block attention module. In Proceedings of the European Conference on Computer Vision (ECCV), Munich, Germany, 8–14 September 2018; pp. 3–19. [Google Scholar]
- Fang, H.S.; Li, J.; Tang, H.; Xu, C.; Zhu, H.; Xiu, Y.; Li, Y.L.; Lu, C. AlphaPose: Whole-Body Regional Multi-Person Pose Estimation and Tracking in Real-Time. IEEE Trans. Pattern Anal. Mach. Intell. 2022, 45, 7157–7173. [Google Scholar] [CrossRef]
- Fang, H.S.; Xie, S.; Tai, Y.W.; Lu, C. RMPE: Regional Multi-person Pose Estimation. In Proceedings of the ICCV, Venice, Italy, 22–29 October 2017. [Google Scholar]
- Li, J.; Wang, C.; Zhu, H.; Mao, Y.; Fang, H.S.; Lu, C. Crowdpose: Efficient crowded scenes pose estimation and a new benchmark. In Proceedings of the IEEE/CVF Conference on Computer Vision and Pattern Recognition, Long Beach, CA, USA, 5–20 June 2019; pp. 10863–10872. [Google Scholar]
- Liu, Z.; Zhang, H.; Chen, Z.; Wang, Z.; Ouyang, W. Disentangling and unifying graph convolutions for skeleton-based action recognition. In Proceedings of the IEEE/CVF Conference on Computer Vision and Pattern Recognition, Seattle, WA, USA, 14–19 June 2020; pp. 143–152. [Google Scholar]
- Chen, Y.; Zhang, Z.; Yuan, C.; Li, B.; Deng, Y.; Hu, W. Channel-wise topology refinement graph convolution for skeleton-based action recognition. In Proceedings of the IEEE/CVF International Conference on Computer Vision, Montreal, BC, Canada, 11–17 October 2021; pp. 13359–13368. [Google Scholar]
- Cheng, K.; Zhang, Y.; He, X.; Cheng, J.; Lu, H. Extremely Lightweight Skeleton-Based Action Recognition With ShiftGCN++. IEEE Trans. Image Process. 2021, 30, 7333–7348. [Google Scholar] [CrossRef]
- Do, J.; Kim, M. Skateformer: Skeletal-temporal transformer for human action recognition. In Proceedings of the European Conference on Computer Vision; Springer: Berlin/Heidelberg, Germany, 2024; pp. 401–420. [Google Scholar]
- Feichtenhofer, C.; Fan, H.; Malik, J.; He, K. Slowfast networks for video recognition. In Proceedings of the IEEE/CVF International Conference on Computer Vision, Seoul, Republic of Korea, 27 October–2 November 2019; pp. 6202–6211. [Google Scholar]
- Li, Y.; Wu, C.Y.; Fan, H.; Mangalam, K.; Xiong, B.; Malik, J.; Feichtenhofer, C. Mvitv2: Improved multiscale vision transformers for classification and detection. In Proceedings of the IEEE/CVF Conference on Computer Vision and Pattern Recognition, New Orleans, LA, USA, 18–24 June 2022; pp. 4804–4814. [Google Scholar]
- Mehta, S.; Rastegari, M. Separable self-attention for mobile vision transformers. arXiv 2022, arXiv:2206.02680. [Google Scholar]
- Wang, J.; Nie, X.; Xia, Y.; Wu, Y.; Zhu, S.C. Cross-view action modeling, learning and recognition. In Proceedings of the IEEE Conference on Computer Vision and Pattern Recognition, Columbus, OH, USA, 23–28 June 2014; pp. 2649–2656. [Google Scholar]
- Shahroudy, A.; Liu, J.; Ng, T.T.; Wang, G. NTU RGB+D: A large scale dataset for 3D human activity analysis. In Proceedings of the IEEE Conference on Computer Vision and Pattern Recognition, Las Vegas, NV, USA, 27–30 June 2016; pp. 1010–1019. [Google Scholar]
- Kossaifi, J.; Tzimiropoulos, G.; Todorovic, S.; Pantic, M. AFEW-VA database for valence and arousal estimation in-the-wild. Image Vis. Comput. 2017, 65, 23–36. [Google Scholar] [CrossRef]
- Dhall, A.; Goecke, R.; Lucey, S.; Gedeon, T. Collecting large, richly annotated facial-expression databases from movies. IEEE Multimed. 2012, 19, 34. [Google Scholar] [CrossRef]
- He, K.; Zhang, X.; Ren, S.; Sun, J. Deep Residual Learning for Image Recognition. arXiv 2015, arXiv:1512.03385. [Google Scholar]
- Sandler, M.; Howard, A.; Zhu, M.; Zhmoginov, A.; Chen, L.C. Mobilenetv2: Inverted residuals and linear bottlenecks. In Proceedings of the IEEE Conference on Computer Vision and Pattern Recognition, Salt Lake City, UT, USA, 18–22 June 2018; pp. 4510–4520. [Google Scholar]
- Tan, M.; Le, Q. Efficientnetv2: Smaller models and faster training. In Proceedings of the International Conference on Machine Learning, PMLR, Virtual, 18–24 July 2021; pp. 10096–10106. [Google Scholar]
- Kwon, H. Adversarial image perturbations with distortions weighted by color on deep neural networks. Multimed. Tools Appl. 2023, 82, 13779–13795. [Google Scholar] [CrossRef]









| Methods | Accuracy (%) | FLOPs (G) | #Param (M) |
|---|---|---|---|
| ST-GCN [39] | 86.3 | 2.22 | 3. |
| AGCN [40] | 88.3 | 2.54 | 3.44 |
| MS-G3D [45] | 88.7 | 3.50 | 2.72 |
| CTR-GCN [46] | 88.7 | 1.12 | 1.41 |
| Shift-GCN++ [47] | 88.9 | 0.42 | 0.45 |
| SkateFormer [48] | 89.0 | 1.95 | 3.31 |
| SlowFast [49] | 68.7 | 13.91 | 33.57 |
| MViTv2-S [50] | 86.7 | 99.0 | 34.07 |
| MSF-AGCN | 89.5 | 3.16 | 3.91 |
| MF-Net (proposed) | 90.6 | 6.95 | 17.61 |
| Methods | Accuracy-Joints (%) |
|---|---|
| AGCN [40] | 88.3 |
| AGCN + MSST | 89.2 |
| AGCN + MAE | 88.7 |
| MSF-AGCN | 89.5 |
| Methods | Accuracy (%) |
|---|---|
| MSF-AGCN (joints) | 89.5 |
| MSF-AGCN (bones) | 88.7 |
| MobileViTv2 [51] (face) | 83.3 |
| MF-Net (joints + bones + face) | 90.6 |
| Method | Accuracy (%) |
|---|---|
| ST-GCN [39] | 93.1 |
| AGCN [40] | 93.3 |
| MS-G3D [45] | 94.2 |
| CTR-GCN [46] | 93.5 |
| Shift-GCN++ [47] | 89.9 |
| MSF-AGCN | 94.4 |
Disclaimer/Publisher’s Note: The statements, opinions and data contained in all publications are solely those of the individual author(s) and contributor(s) and not of MDPI and/or the editor(s). MDPI and/or the editor(s) disclaim responsibility for any injury to people or property resulting from any ideas, methods, instructions or products referred to in the content. |
© 2024 by the authors. Licensee MDPI, Basel, Switzerland. This article is an open access article distributed under the terms and conditions of the Creative Commons Attribution (CC BY) license (https://creativecommons.org/licenses/by/4.0/).
Share and Cite
Tang, W.; Shi, C.; Li, Y.; Tang, Z.; Yang, G.; Zhang, J.; He, L. Keypoints-Based Multi-Cue Feature Fusion Network (MF-Net) for Action Recognition of ADHD Children in TOVA Assessment. Bioengineering 2024, 11, 1210. https://doi.org/10.3390/bioengineering11121210
Tang W, Shi C, Li Y, Tang Z, Yang G, Zhang J, He L. Keypoints-Based Multi-Cue Feature Fusion Network (MF-Net) for Action Recognition of ADHD Children in TOVA Assessment. Bioengineering. 2024; 11(12):1210. https://doi.org/10.3390/bioengineering11121210
Chicago/Turabian StyleTang, Wanyu, Chao Shi, Yuanyuan Li, Zhonglan Tang, Gang Yang, Jing Zhang, and Ling He. 2024. "Keypoints-Based Multi-Cue Feature Fusion Network (MF-Net) for Action Recognition of ADHD Children in TOVA Assessment" Bioengineering 11, no. 12: 1210. https://doi.org/10.3390/bioengineering11121210
APA StyleTang, W., Shi, C., Li, Y., Tang, Z., Yang, G., Zhang, J., & He, L. (2024). Keypoints-Based Multi-Cue Feature Fusion Network (MF-Net) for Action Recognition of ADHD Children in TOVA Assessment. Bioengineering, 11(12), 1210. https://doi.org/10.3390/bioengineering11121210

