Establishing Compliance between Spectral, Colourimetric and Photometric Indicators in Resazurin Reduction Test
Abstract
1. Introduction
2. Materials and Methods
2.1. Compounds and Equipment
2.2. Processing Absorption Spectra
2.3. Processing Colour Images and Photometric Data
3. Results and Their Discussion
3.1. Compliance between UV-Vis and Colourimetric Data
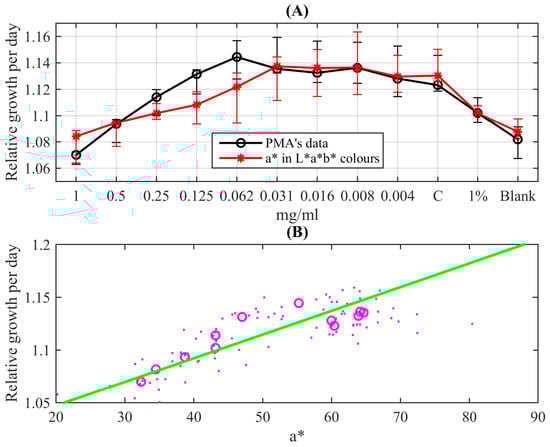
3.2. Compliance between Colourimetric and Optical Density Data
4. Conclusions and Outlooks
Supplementary Materials
Author Contributions
Funding
Institutional Review Board Statement
Informed Consent Statement
Data Availability Statement
Conflicts of Interest
References
- Pesch, K.L.; Simmert, H. Eine neue Resazurin-reduktionsprobe für Milchuntersuchung. Süddeutsche Molk. Ztg. 1928, 38, 1286. [Google Scholar]
- Pital, A.; Disque, D.T.; Leise, J.M. A New Rapid Plate Method for determining Antibiotic Sensitivity. Antibiot. Chemother. 1956, 6, 351–359. [Google Scholar]
- Pital, A. A Rapid Method for Determining the Drug Susceptibility of Mycobacterium Tuberculosis. Am. Rev. Tuberc. Pulm. Dis. 1958, 78, 111–116. [Google Scholar]
- Sorensen, R.H. Rapid antibiotic sensitivity test using a redox indicator. Med. Tech. Bull. 1959, 10, 144–150. [Google Scholar]
- Rampersad, S.N. Multiple applications of Alamar Blue as an indicator of metabolic function and cellular health in cell viability bioassays. Sensors 2012, 12, 12347–12360. [Google Scholar] [CrossRef]
- Braissant, O.; Astasov-Frauenhoffer, M.; Waltimo, T.; Bonkat, G. A Review of Methods to Determine Viability, Vitality, and Metabolic Rates in Microbiology. Front. Microbiol. 2020, 11, 547458. [Google Scholar] [CrossRef] [PubMed]
- Präbst, K.; Engelhardt, H.; Ringgeler, S.; Hübner, H. Basic colorimetric proliferation assays: MTT, WST, and Resazurin. In Cell Viability Assays: Methods and Protocols; Gilbert, D.F., Friedrich, O., Eds.; Humana Press: New York, NY, USA, 2017; pp. 1–17. [Google Scholar] [CrossRef]
- Burke, N.; Zacharski, K.A.; Southern, M.; Hogan, P.; Ryan, M.P.; Adley, C.C. The Dairy Industry: Process, Monitoring, Standards, and Quality. In Descriptive Food Science; Diaz, A.V., García-Gimeno, R.M., Eds.; IntechOpen: Rijeka, Croatia, 2018. [Google Scholar] [CrossRef]
- Yajko, D.M.; Madej, J.J.; Lancaster, M.V.; Sanders, C.A.; Cawthon, V.L.; Gee, B.; Babst, A.; Hadley, W.K. Colorimetric method for determining MICs of antimicrobial agents for Mycobacterium tuberculosis. J. Clin. Microbiol. 1995, 33, 2324–2327. [Google Scholar] [CrossRef]
- Palomino, J.C.; Martin, A.; Camacho, M.; Guerra, H.; Swings, J.; Portaels, F. Resazurin microtiter assay plate: Simple and inexpensive method for detection of drug resistance in Mycobacterium tuberculosis. Antimicrob. Agents Chemother. 2002, 46, 2720–2722. [Google Scholar] [CrossRef]
- Elavarasan, T.; Chhina, S.K.; Ash, M.P.; Sankaran, K. Resazurin reduction based colorimetric antibiogram in microfluidic plastic chip. Sensors Actuators Chem. 2013, 176, 174–180. [Google Scholar] [CrossRef]
- Chakansin, C.; Yostaworakul, J.; Warin, C.; Kulthong, K.; Boonrungsiman, S. Resazurin rapid screening for antibacterial activities of organic and inorganic nanoparticles: Potential, limitations and precautions. Anal. Biochem. 2022, 637, 114449. [Google Scholar] [CrossRef]
- Dietvorst, J.; Vilaplana, L.; Uria, N.; Marco, M.P.; Muñoz-Berbel, X. Current and near-future technologies for antibiotic susceptibility testing and resistant bacteria detection. TrAC Trends Anal. Chem. 2020, 127, 115891. [Google Scholar] [CrossRef]
- Collins, L.A.; Franzblau, S.G. Microplate alamar blue assay versus BACTEC 460 system for high-throughput screening of compounds against Mycobacterium tuberculosis and Mycobacterium avium. Antimicrob. Agents Chemother. 1997, 41, 1004–1009. [Google Scholar] [CrossRef] [PubMed]
- Martin, A.; Portaels, F.; Palomino, J.C. Colorimetric redox-indicator methods for the rapid detection of multidrug resistance in Mycobacterium tuberculosis: A systematic review and meta-analysis. J. Antimicrob. Chemother. 2007, 59, 175–183. [Google Scholar] [CrossRef]
- Coban, A.Y.; Deveci, A.; Sunter, A.T.; Palomino, J.C.; Martin, A. Resazurin microtiter assay for isoniazid, rifampicin, ethambutol and streptomycin resistance detection in Mycobacterium tuberculosis: Updated meta-analysis. Int. J. Mycobacteriol. 2014, 3, 230–241. [Google Scholar] [CrossRef]
- Perveen, S.; Sharma, R. Screening approaches and therapeutic targets: The two driving wheels of tuberculosis drug discovery. Biochem. Pharmacol. 2022, 114906. [Google Scholar] [CrossRef]
- Haggerty, R.; Argerich, A.; Martí, E. Development of a “smart” tracer for the assessment of microbiological activity and sediment-water interaction in natural waters: The resazurin-resorufin system. Water Resour. Res. 2008, 44. [Google Scholar] [CrossRef]
- Knapp, J.L.A.; González-Pinzón, R.; Haggerty, R. The resazurin-resorufin system: Insights from a decade of “smart” tracer development for hydrologic applications. Water Resour. Res. 2018, 54, 6877–6889. [Google Scholar] [CrossRef]
- Howard, B.C.; Baker, I.; Kettridge, N.; Ullah, S.; Krause, S. Increasing the scope of the resazurin-resorufin smart tracer system in hydrologic and biogeochemical sciences: The effects of storage duration and temperature on preservation. Limnol. Oceanogr. Methods 2022, 20, 701–709. [Google Scholar] [CrossRef]
- Lavogina, D.; Lust, H.; Tahk, M.J.; Laasfeld, T.; Vellama, H.; Nasirova, N.; Vardja, M.; Eskla, K.L.; Salumets, A.; Rinken, A.; et al. Revisiting the Resazurin-Based Sensing of Cellular Viability: Widening the Application Horizon. Biosensors 2022, 12, 196. [Google Scholar] [CrossRef]
- Liu, S.; Yin, N.; Faiola, F. Prospects and Frontiers of Stem Cell Toxicology. Stem Cells Dev. 2017, 26, 1528–1539. [Google Scholar] [CrossRef]
- Multani, P.K.; Saini, N. Stem cells in developmental toxicity testing. In Reproductive and Developmental Toxicology; Gupta, R.C., Ed.; Academic Press: San Diego, CA, USA; Cambridge, MA, USA; Oxford, UK, 2022. [Google Scholar] [CrossRef]
- Yusufu, D.; Mills, A. Spectrophotometric and Digital Colour Colourimetric (DCC) analysis of colour-based indicators. Sensors Actuators Chem. 2018, 273, 1187–1194. [Google Scholar] [CrossRef]
- de Santana, P.C.; Lourenco, F.R. A smartphone-based bioassay for determining relative potency estimated from sigmoidal-response curves and respective measurement uncertainty. Microchem. J. 2020, 154, 104626. [Google Scholar] [CrossRef]
- Popova, A.A.; Reischl, M.; Kazenmaier, D.; Cui, H.; Amberger, T.; Levkin, P.A. Simple assessment of viability in 2D and 3D cell microarrays using single step digital imaging. SLAS Technol. 2022, 27, 44–53. [Google Scholar] [CrossRef]
- Fernandes, G.M.; Silva, W.R.; Barreto, D.N.; Lamarca, R.S.; Gomes, P.C.F.L.; da S Petruci, J.F.; Batista, A.D. Novel approaches for colorimetric measurements in analytical chemistry—A review. Anal. Chim. Acta 2020, 1135, 187–203. [Google Scholar] [CrossRef] [PubMed]
- Matsu-Ura, S.; Yamauchi, Y.; Ohmori, H.; Maeda, H. Blood glucose determination with the reduction of resazurin as a fluorometric indicator reaction. Bunseki Kagaku 2002, 51, 111–115. [Google Scholar] [CrossRef]
- Vieira-da Silva, B.; Castanho, M.A.R.B. Resazurin Reduction-Based Assays Revisited: Guidelines for Accurate Reporting of Relative Differences on Metabolic Status. Molecules 2023, 28, 2283. [Google Scholar] [CrossRef] [PubMed]
- DeBaun, R.M.; de Stevens, G. On the mechanism of enzyme action. XLIV. Codetermination of resazurin and resorufin in enzymatic dehydrogenation experiments. Arch. Biochem. Biophys. 1951, 31, 300–308. [Google Scholar] [CrossRef]
- Bueno, C.; Villegas, M.L.; Bertolotti, S.G.; Previtali, C.M.; Neumann, M.G.; Encinas, M.V. The excited-state interaction of resazurin and resorufin with aminesin aqueous solutions. Photophysics and photochemical reaction. Photochem. Photobiol. 2002, 76, 385–390. [Google Scholar] [CrossRef]
- Lee, E.; Chang, J.W. Measurement of Concentration of Highly Concentrated Samples and Reaction Kinetics through Color Analysis. Appl. Chem. Eng. 2023, 34, 131–136. [Google Scholar] [CrossRef]
- Schön, T.; Miotto, P.; Köser, C.U.; Viveiros, M.; Böttger, E.; Cambau, E. Mycobacterium tuberculosis drug-resistance testing: Challenges, recent developments and perspectives. Clin. Microbiol. Infect. 2017, 23, 154–160. [Google Scholar] [CrossRef]
- Gabrielson, J.; Hart, M.; Jarelöv, A.; Kühn, I.; McKenzie, D.; Möllby, R. Evaluation of redox indicators and the use of digital scanners and spectrophotometer for quantification of microbial growth in microplates. J. Microbiol. Methods 2002, 50, 63–73. [Google Scholar] [CrossRef] [PubMed]
- Borra, R.C.; Lotufo, M.A.; Gagioti, S.M.; Barros, F.d.M.; Andrade, P.M. A simple method to measure cell viability in proliferation and cytotoxicity assays. Braz. Oral Res. 2009, 23, 255–262. [Google Scholar] [CrossRef]
- Postnikov, E.B.; Lavrova, A.I.; Khalin, A.A.; Dogonadze, M.Z.; Manicheva, O.A. Spectrophotometric vs. colorimetric analysis of Mycobacterium tuberculosis population growth curves in resazurin assay. Proc. SPIE 2019, 11067, 110670L. [Google Scholar] [CrossRef]
- Malacara, D. Color Vision and Colorimetry: Theory and Applications; SPIE: Bellingham, WA, USA, 2011. [Google Scholar]
- Yallapragada, V.V.B.; Gowda, U.; Wong, D.; O’Faolain, L.; Tangney, M.; Devarapu, G.C.R. ODX: A fitness tracker-based device for continuous bacterial growth monitoring. Anal. Chem. 2019, 91, 12329–12335. [Google Scholar] [CrossRef] [PubMed]
- Worth, R.M.; Espina, L. ScanGrow: Deep Learning-Based Live Tracking of Bacterial Growth in Broth. Front. Microbiol. 2022, 13, 900596. [Google Scholar] [CrossRef] [PubMed]
- Deutzmann, J.S.; Callander, G.; Gu, W.; Müller, A.L.; McCully, A.L.; Ahn, J.K.; Kracke, F.; Spormann, A.M. Low-Cost Clamp-On Photometers (ClampOD) and Tube Photometers (TubeOD) for Online Cell Density Determination. Front. Microbiol. 2022, 12, 3972. [Google Scholar] [CrossRef]
- Sychev, A.V.; Belenkov, R.N.; Ukolov, D.N.; Budaev, A.V.; Lavrova, A.I.; Postnikov, E.B. Revealing kinetics of chemical transitions in colorimetric indicators of microorganisms growth based on photometric data from a portable microbiological analyser. Proc. SPIE 2022, 12194, 121940Z. [Google Scholar] [CrossRef]
- Schön, T.; Werngren, J.; Machado, D.; Borroni, E.; Wijkander, M.; Lina, G.; Mouton, J.; Matuschek, E.; Kahlmeter, G.; Giske, C.; et al. Antimicrobial susceptibility testing of Mycobacterium tuberculosis complex isolates–the EUCAST broth microdilution reference method for MIC determination. Clin. Microbiol. Infect. 2020, 26, 1488–1492. [Google Scholar] [CrossRef]
- AAT Bioquest. Absorption Spectrum Viewer. Available online: https://www.aatbio.com/absorbance-uv-visible-spectrum-graph-viewer/resazurin (accessed on 25 April 2023).
- AAT Bioquest. Absorption Spectrum Viewer. Available online: https://www.aatbio.com/absorbance-uv-visible-spectrum-graph-viewer/resorufin (accessed on 25 April 2023).
- Owen, T. Fundamentals of Modern UV-Visible Spectroscopy; Agilent Technologies: Santa Clara, CA, USA, 2000. [Google Scholar]
- Sternberg, S.R. Biomedical image processing. Computer 1983, 16, 22–34. [Google Scholar] [CrossRef]
- Angelani, C.R.; Carabias, P.; Cruz, K.M.; Delfino, J.M.; de Sautu, M.; Espelt, M.V.; Ferreira-Gomes, M.S.; Gómez, G.E.; Mangialavori, I.C.; Manzi, M.; et al. A metabolic control analysis approach to introduce the study of systems in biochemistry: The glycolytic pathway in the red blood cell. Biochem. Mol. Biol. Educ. 2018, 46, 502–515. [Google Scholar] [CrossRef]
- Ali-Vehmas, T.; Louhi, M.; Sandholm, M. Automation of the Resazurin Reduction Test using Fluorometry of Microtitration Trays. J. Vet. Med. Ser. 1991, 38, 358–372. [Google Scholar] [CrossRef] [PubMed]
- Hu, Y.Y.; He, S.S.; Wang, X.; Duan, Q.H.; Grundke-Iqbal, I.; Iqbal, K.; Wang, J. Levels of nonphosphorylated and phosphorylated tau in cerebrospinal fluid of Alzheimer’s disease patients: An ultrasensitive bienzyme-substrate-recycle enzyme-linked immunosorbent assay. Am. J. Pathol. 2002, 160, 1269–1278. [Google Scholar] [CrossRef] [PubMed]
- Chen, J.L.; Steele, T.W.J.; Stuckey, D.C. Modeling and application of a rapid fluorescence-based assay for biotoxicity in anaerobic digestion. Environ. Sci. Technol. 2015, 49, 13463–13471. [Google Scholar] [CrossRef] [PubMed]
- Arano-Martinez, J.A.; Martínez-González, C.L.; Salazar, M.I.; Torres-Torres, C. A framework for biosensors assisted by multiphoton effects and machine learning. Biosensors 2022, 12, 710. [Google Scholar] [CrossRef]
- Motulsky, H.; Christopoulos, A. Fitting Models to Biological Data Using Linear and Nonlinear Regression: A Practical Guide to Curve Fitting; Oxford University Press: Oxford, UK, 2004. [Google Scholar]
- Maeda, S.; Osaka, N.; Niguma, R.; Matsuyama, T.; Wada, K.; Okamoto, K. Plasmonic Metamaterial Ag Nanostructures on a Mirror for Colorimetric Sensing. Nanomaterials 2023, 13, 1650. [Google Scholar] [CrossRef]
- Safrani, A.; Aharon, O.; Mor, S.; Arnon, O.; Rosenberg, L.; Abdulhalim, I. Skin biomedical optical imaging system using dual-wavelength polarimetric control with liquid crystals. J. Biomed. Opt. 2010, 15, 026024. [Google Scholar] [CrossRef]
- Pasha, D.; Abuleil, M.J.; August, I.Y.; Abdulhalim, I. Faster Multispectral Imager Based on Thin Liquid Crystal Modulator and 3D Neural Network Lattice. Laser Photonics Rev. 2023, 2200913. [Google Scholar] [CrossRef]
- Noncommercial Culture and Drug-Susceptibility Testing Methods for Screening Patients at Risk for Multidrug-Resistant Tuberculosis: Policy Statement; Number WHO/HTM/TB/2011.9; World Health Organization: Geneva, Switzerland, 2011.
- Lee, E.; Chang, J.W. Evaluation of Concentration and Reaction Kinetics through Color Analyses. Appl. Chem. Eng. 2022, 33, 279–283. [Google Scholar] [CrossRef]
- Thanasirikul, C.; Patumvan, A.; Lipsky, D.; Bovonsombut, S.; Singjai, P.; Boonchieng, E.; Chitov, T. Rapid assessment and prediction of microbiological quality of raw milk using machine learning based on RGB-colourimetric resazurin assay. Int. Dairy J. 2023, 105750. [Google Scholar] [CrossRef]








| Characteristics/Method | Spectrophotometry | Colourimetry | Photometry |
|---|---|---|---|
| Equipment registering signals | Commercial spectrophotometer | Smartphone camera | Portable microbiological analyser [41] |
| Cost | High | Low | Low * |
| Mobility | Low | Very high | High |
| Sensitivity and accuracy | Suitable to determine indicator’s concentration on the level of physical chemistry standards | Suitable to determine relative indicator’s concentration growth on the level of requirements for microbiological screening | Suitable to determine relative indicator’s concentration growth on the level of requirements for microbiological screening |
| Automation | Low to medium ** | Low | High |
Disclaimer/Publisher’s Note: The statements, opinions and data contained in all publications are solely those of the individual author(s) and contributor(s) and not of MDPI and/or the editor(s). MDPI and/or the editor(s) disclaim responsibility for any injury to people or property resulting from any ideas, methods, instructions or products referred to in the content. |
© 2023 by the authors. Licensee MDPI, Basel, Switzerland. This article is an open access article distributed under the terms and conditions of the Creative Commons Attribution (CC BY) license (https://creativecommons.org/licenses/by/4.0/).
Share and Cite
Sychev, A.V.; Lavrova, A.I.; Dogonadze, M.Z.; Postnikov, E.B. Establishing Compliance between Spectral, Colourimetric and Photometric Indicators in Resazurin Reduction Test. Bioengineering 2023, 10, 962. https://doi.org/10.3390/bioengineering10080962
Sychev AV, Lavrova AI, Dogonadze MZ, Postnikov EB. Establishing Compliance between Spectral, Colourimetric and Photometric Indicators in Resazurin Reduction Test. Bioengineering. 2023; 10(8):962. https://doi.org/10.3390/bioengineering10080962
Chicago/Turabian StyleSychev, Alexander V., Anastasia I. Lavrova, Marine Z. Dogonadze, and Eugene B. Postnikov. 2023. "Establishing Compliance between Spectral, Colourimetric and Photometric Indicators in Resazurin Reduction Test" Bioengineering 10, no. 8: 962. https://doi.org/10.3390/bioengineering10080962
APA StyleSychev, A. V., Lavrova, A. I., Dogonadze, M. Z., & Postnikov, E. B. (2023). Establishing Compliance between Spectral, Colourimetric and Photometric Indicators in Resazurin Reduction Test. Bioengineering, 10(8), 962. https://doi.org/10.3390/bioengineering10080962

