A Modified Xinanjiang Model for Quantifying Streamflow Components in a Typical Watershed in Eastern China
Abstract
1. Introduction
2. Materials and Methods
2.1. Study Area
2.2. Data Sources
2.3. The Modification of the Xinanjiang Model
2.4. The Model Calibration and Validation
3. Results and Discussion
3.1. Performance of the Modified XAJ Model
3.2. Importance of the Modified Modules
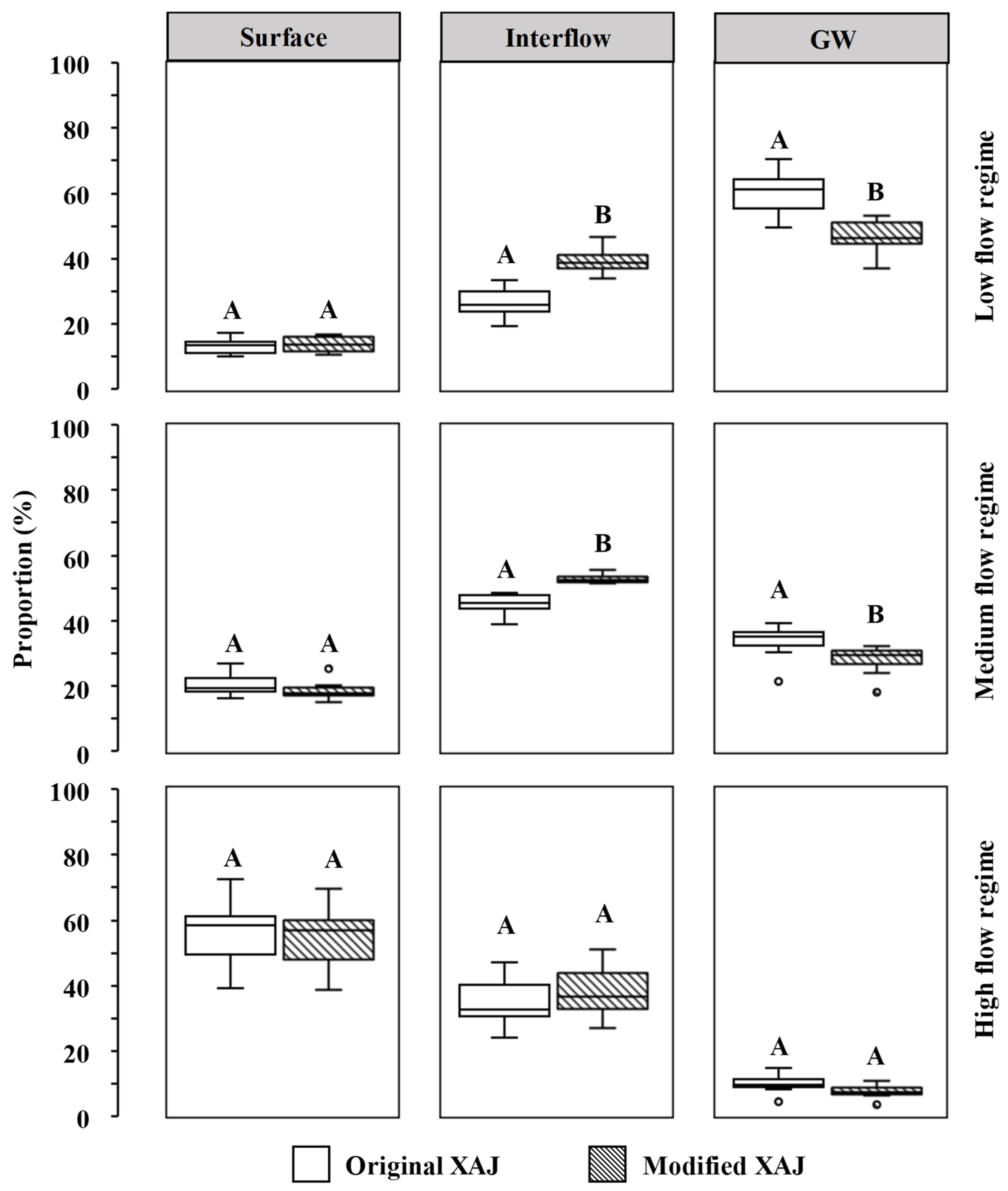
3.3. Temporal and Spatial Variations of Streamflow Components
3.4. Future Developments
4. Conclusions
Author Contributions
Funding
Data Availability Statement
Acknowledgments
Conflicts of Interest
References
- Ding, B.; Zhang, Y.; Yu, X.; Jia, G.; Wang, Y.; Wang, Y.; Zheng, P.; Li, Z. Effects of Forest Cover Type and Ratio Changes on Runoff and Its Components. Int. Soil Water Conserv. Res. 2022, 10, 445–456. [Google Scholar] [CrossRef]
- Klaus, J.; McDonnell, J.J. Hydrograph Separation Using Stable Isotopes: Review and Evaluation. J. Hydrol. 2013, 505, 47–64. [Google Scholar] [CrossRef]
- Hu, M.; Liu, Y.; Wang, J.; Dahlgren, R.A.; Chen, D. A Modification of the Regional Nutrient Management Model (ReNuMa) to Identify Long-Term Changes in Riverine Nitrogen Sources. J. Hydrol. 2018, 561, 31–42. [Google Scholar] [CrossRef]
- Van Meerveld, H.J.I.; Kirchner, J.W.; Vis, M.J.P.; Assendelft, R.S.; Seibert, J. Expansion and Contraction of the Flowing Stream Network Alter Hillslope Flowpath Lengths and the Shape of the Travel Time Distribution. Hydrol. Earth Syst. Sci. 2019, 23, 4825–4834. [Google Scholar] [CrossRef]
- Choi, B.; Kang, H.; Lee, W. Baseflow Contribution to Streamflow and Aquatic Habitats Using Physical Habitat Simulations. Water 2018, 10, 1304. [Google Scholar] [CrossRef]
- Liu, Z.; Liu, S.; Ye, J.; Sheng, F.; You, K.; Xiong, X.; Lai, G. Application of a Digital Filter Method to Separate Baseflow in the Small Watershed of Pengchongjian in Southern China. Forests 2019, 10, 1065. [Google Scholar] [CrossRef]
- Blume, T.; Zehe, E.; Bronstert, A. Rainfall—Runoff Response, Event-Based Runoff Coefficients and Hydrograph Separation. Hydrol. Sci. J. 2007, 52, 843–862. [Google Scholar] [CrossRef]
- Mei, Y.; Anagnostou, E.N. A Hydrograph Separation Method Based on Information from Rainfall and Runoff Records. J. Hydrol. 2015, 523, 636–649. [Google Scholar] [CrossRef]
- Zhang, J.; Zhang, Y.; Song, J.; Cheng, L. Evaluating Relative Merits of Four Baseflow Separation Methods in Eastern Australia. J. Hydrol. 2017, 549, 252–263. [Google Scholar] [CrossRef]
- He, S.; Li, S.; Xie, R.; Lu, J. Baseflow Separation Based on a Meteorology-Corrected Nonlinear Reservoir Algorithm in a Typical Rainy Agricultural Watershed. J. Hydrol. 2016, 535, 418–428. [Google Scholar] [CrossRef]
- Hu, M.; Zhang, Y.; Wu, K.; Shen, H.; Yao, M.; Dahlgren, R.A.; Chen, D. Assessment of Streamflow Components and Hydrologic Transit Times Using Stable Isotopes of Oxygen and Hydrogen in Waters of a Subtropical Watershed in Eastern China. J. Hydrol. 2020, 589, 125363. [Google Scholar] [CrossRef]
- Lott, D.A.; Stewart, M.T. Base Flow Separation: A Comparison of Analytical and Mass Balance Methods. J. Hydrol. 2016, 535, 525–533. [Google Scholar] [CrossRef]
- Miller, M.P.; Susong, D.D.; Shope, C.L.; Heilweil, V.M.; Stolp, B.J. Continuous Estimation of Baseflow in Snowmelt-dominated Streams and Rivers in the U Pper C Olorado R Iver B Asin: A Chemical Hydrograph Separation Approach. Water Resour. Res. 2014, 50, 6986–6999. [Google Scholar] [CrossRef]
- Long, A.J. Hydrograph Separation for Karst Watersheds Using a Two-Domain Rainfall–Discharge Model. J. Hydrol. 2009, 364, 249–256. [Google Scholar] [CrossRef]
- Luo, Y.; Arnold, J.; Allen, P.; Chen, X. Baseflow Simulation Using SWAT Model in an Inland River Basin in Tianshan Mountains, Northwest China. Hydrol. Earth Syst. Sci. 2012, 16, 1259–1267. [Google Scholar] [CrossRef]
- Yang, W.; Chen, L.; Deng, F.; Lv, S. Application of an Improved Distributed Xinanjiang Hydrological Model for Flood Prediction in a Karst Catchment in South-Western China. J. Flood Risk Manag. 2020, 13, e12649. [Google Scholar] [CrossRef]
- Zhao, R. The Xinanjiang Model Applied in China. J. Hydrol. 1992, 135, 371–381. [Google Scholar] [CrossRef]
- Yang, X.; Magnusson, J.; Huang, S.; Beldring, S.; Xu, C.-Y. Dependence of Regionalization Methods on the Complexity of Hydrological Models in Multiple Climatic Regions. J. Hydrol. 2020, 582, 124357. [Google Scholar] [CrossRef]
- Ahirwar, A.; Jain, M.K.; Perumal, M. Performance of the Xinanjiang Model. In Hydrologic Modeling; Singh, V.P., Yadav, S., Yadava, R.N., Eds.; Water Science and Technology Library; Springer: Singapore, 2018; Volume 81, pp. 715–731. ISBN 978-981-10-5800-4. [Google Scholar]
- Nghi, V.V.; Lam, D.T.; Dung, D.D. Comparison of Two Hydrological Model Simulations Using NAM and XINANJIANG for Nong Son Catchment. Vietnam J. Mech. 2008, 30, 43–54. [Google Scholar] [CrossRef]
- Yew Gan, T.; Dlamini, E.M.; Biftu, G.F. Effects of Model Complexity and Structure, Data Quality, and Objective Functions on Hydrologic Modeling. J. Hydrol. 1997, 192, 81–103. [Google Scholar] [CrossRef]
- Zhang, M.; Wang, J.; Huang, Y.; Yu, L.; Liu, S.; Ma, G. A New Xin’anjiang and Sacramento Combined Rainfall-Runoff Model and Its Application. Hydrol. Res. 2021, 52, 1173–1183. [Google Scholar] [CrossRef]
- WMO Manual on Flood Forecasting and Warning. WMO-1072, 142p. Available online: https://library.wmo.int/doc_num.php?explnum_id=4090 (accessed on 4 February 2024).
- Xiang, X.; Pan, Z.; Wu, X.; Yang, H. Seamlessly Coupling Hydrological Modelling Systems and GIS through Object-Oriented Programming. JMSE 2023, 11, 2140. [Google Scholar] [CrossRef]
- Gui, Z.; Zhang, F.; Chang, D.; Xie, A.; Yue, K.; Wang, H. A General Method to Improve Runoff Prediction in Ungauged Basins Based on Remotely Sensed Actual Evapotranspiration Data. Water 2023, 15, 3307. [Google Scholar] [CrossRef]
- Wang, Y.; Zhong, P.; Zhu, F.; Xu, C.; Mo, R.; Xu, S.; Yang, L.; Wang, S. A Modified Xin’anjiang Model and Its Application for Considering the Regulatory and Storage Effects of Small-Scale Water Storage Structures. J. Hydrol. 2024, 630, 130675. [Google Scholar] [CrossRef]
- Zhou, Q.; Chen, L.; Singh, V.P.; Zhou, J.; Chen, X.; Xiong, L. Rainfall-Runoff Simulation in Karst Dominated Areas Based on a Coupled Conceptual Hydrological Model. J. Hydrol. 2019, 573, 524–533. [Google Scholar] [CrossRef]
- Zhang, K.; Li, Y.; Yu, Z.; Yang, T.; Xu, J.; Chao, L.; Ni, J.; Wang, L.; Gao, Y.; Hu, Y.; et al. Xin’anjiang Nested Experimental Watershed (XAJ-NEW) for Understanding Multiscale Water Cycle: Scientific Objectives and Experimental Design. Engineering 2022, 18, 207–217. [Google Scholar] [CrossRef]
- Ju, Q.; Liu, X.; Zhang, D.; Shen, T.; Wang, Y.; Jiang, P.; Gu, H.; Yu, Z.; Fu, X. Application of Distributed Xin’anjiang Model of Melting Ice and Snow in Bahe River Basin. J. Hydrol. Reg. Stud. 2024, 51, 101638. [Google Scholar] [CrossRef]
- Tan, Y.; Dong, N.; Hou, A.; Yan, W. An Improved Xin’anjiang Hydrological Model for Flood Simulation Coupling Snowmelt Runoff Module in Northwestern China. Water 2023, 15, 3401. [Google Scholar] [CrossRef]
- Fan, Y.; Li, H.; Miguez-Macho, G. Global Patterns of Groundwater Table Depth. Science 2013, 339, 940–943. [Google Scholar] [CrossRef]
- Wu, K.; Hu, M.; Zhang, Y.; Zhou, J.; Wu, H.; Wang, M.; Chen, D. Long-Term Riverine Nitrogen Dynamics Reveal the Efficacy of Water Pollution Control Strategies. J. Hydrol. 2022, 607, 127582. [Google Scholar] [CrossRef]
- Miller, M.P.; Buto, S.G.; Susong, D.D.; Rumsey, C.A. The Importance of Base Flow in Sustaining Surface Water Flow in the Upper Colorado River Basin. Water Resour. Res. 2016, 52, 3547–3562. [Google Scholar] [CrossRef]
- Tian, Y.; Booij, M.J.; Xu, Y.-P. Uncertainty in High and Low Flows Due to Model Structure and Parameter Errors. Stoch Env. Res Risk Assess 2014, 28, 319–332. [Google Scholar] [CrossRef]
- Bai, P.; Liu, X.; Liang, K.; Liu, X.; Liu, C. A Comparison of Simple and Complex Versions of the Xinanjiang Hydrological Model in Predicting Runoff in Ungauged Basins. Hydrol. Res. 2017, 48, 1282–1295. [Google Scholar] [CrossRef]
- Li, Z.; Lei, X.; Liao, W.; Yang, Q.; Cai, S.; Wang, X.; Wang, C.; Wang, J. Lake Inflow Simulation Using the Coupled Water Balance Method and Xin’anjiang Model in an Ungauged Stream of Chaohu Lake Basin, China. Front. Earth Sci. 2021, 9, 615692. [Google Scholar] [CrossRef]
- Ge, X.; Zhang, L.; Shu, J.; Xu, N. Short-Term Hydropower Optimal Scheduling Considering the Optimization of Water Time Delay. Electr. Power Syst. Res. 2014, 110, 188–197. [Google Scholar] [CrossRef]
- Bao, H.; Wang, L.; Zhang, K.; Li, Z. Application of a Developed Distributed Hydrological Model Based on the Mixed Runoff Generation Model and 2D Kinematic Wave Flow Routing Model for Better Flood Forecasting. Atmos. Sci. Lett. 2017, 18, 284–293. [Google Scholar] [CrossRef]
- Mizukami, N.; Clark, M.P.; Sampson, K.; Nijssen, B.; Mao, Y.; McMillan, H.; Viger, R.J.; Markstrom, S.L.; Hay, L.E.; Woods, R.; et al. mizuRoute Version 1: A River Network Routing Tool for a Continental Domain Water Resources Applications. Geosci. Model Dev. 2016, 9, 2223–2238. [Google Scholar] [CrossRef]
- Neitsch, S.L.; Arnold, J.G.; Kiniry, J.R.; Williams, J.R. Soil and Water Assessment Tool Theoretical Documentation Version 2009; Texas Water Resources Institute: College Station, TX, USA, 2011. [Google Scholar]
- Taye, M.T.; Haile, A.T.; Fekadu, A.G.; Nakawuka, P. Effect of Irrigation Water Withdrawal on the Hydrology of the Lake Tana Sub-Basin. J. Hydrol. Reg. Stud. 2021, 38, 100961. [Google Scholar] [CrossRef]
- Zeng, R.; Cai, X. Analyzing Streamflow Changes: Irrigation-Enhanced Interaction between Aquifer and Streamflow in the Republican River Basin. Hydrol. Earth Syst. Sci. 2014, 18, 493–502. [Google Scholar] [CrossRef]
- Wang, Y.; Zhou, Y.; Franz, K.J.; Zhang, X.; Qi, J.; Jia, G.; Yang, Y. Irrigation Plays Significantly Different Roles in Influencing Hydrological Processes in Two Breadbasket Regions. Sci. Total Environ. 2022, 844, 157253. [Google Scholar] [CrossRef]
- Sun, Y.; Chen, X.; Chen, X.; Yang, L. Modeling Groundwater-Fed Irrigation and Its Impact on Streamflow and Groundwater Depth in an Agricultural Area of Huaihe River Basin, China. Water 2021, 13, 2220. [Google Scholar] [CrossRef]
- Tatsumi, K.; Yamashiki, Y. Effect of Irrigation Water Withdrawals on Water and Energy Balance in the Mekong River Basin Using an Improved VIC Land Surface Model with Fewer Calibration Parameters. Agric. Water Manag. 2015, 159, 92–106. [Google Scholar] [CrossRef]
- Wu, M.; Liu, P.; Lei, X.; Liao, W.; Cai, S.; Xia, Q.; Zou, K.; Wang, H. Impact of Surface and Underground Water Uses on Streamflow in the Upper-Middle of the Weihe River Basin Using a Modified WetSpa Model. J. Hydrol. 2023, 616, 128840. [Google Scholar] [CrossRef]
- Chen, D.; Hu, M.; Dahlgren, R.A. A Dynamic Watershed Model for Determining the Effects of Transient Storage on Nitrogen Export to Rivers. Water Resour. Res. 2014, 50, 7714–7730. [Google Scholar] [CrossRef]
- Liu, L.; Gu, H.; Xu, Y.-P.; Zheng, C.; Zhou, P. Real-Time Flood Forecasting via Parameter Regionalization and Blending Nowcasts with NWP Forecasts over the Jiao River, China. J. Hydrometeorol. 2023, 24, 561–582. [Google Scholar] [CrossRef]
- Li, R.; Du, J.; Bian, G.; Wang, Y.; Chen, C.; Zhang, X.; Li, M.; Wang, S.; Wu, S.; Xie, S.; et al. An Integrated Modelling Approach for Flood Simulation in the Urbanized Qinhuai River Basin, China. Water Resour. Manag. 2020, 34, 3967–3984. [Google Scholar] [CrossRef]
- Choo, T.H.; Yoon, H.C.; Lee, S.J. An Estimation of Discharge Using Mean Velocity Derived through Chiu’s Velocity Equation. Env. Earth Sci. 2013, 69, 247–256. [Google Scholar] [CrossRef]
- Jobson, H.E. Prediction of Traveltime and Longitudinal Dispersion in Rivers and Streams; United States Geological Survey: Reston, VA, USA, 1996.
- Thiessen, A.H. Precipitation averages for large areas. Mon. Wea. Rev. 1911, 39, 1082–1089. [Google Scholar] [CrossRef]
- Kennedy, J.; Eberhart, R. Particle Swarm Optimization. In Proceedings of the ICNN’95—International Conference on Neural Networks, Perth, WA, Australia, 27 November–1 December 1995; Volume 4, pp. 1942–1948. [Google Scholar]
- Althoff, D.; Rodrigues, L.N. Goodness-of-Fit Criteria for Hydrological Models: Model Calibration and Performance Assessment. J. Hydrol. 2021, 600, 126674. [Google Scholar] [CrossRef]
- GB/T 22482-2008; Ministry of Water Resources of the People’s Republic of China (MWR) Standard for Hydrological Information and Hydrological Forecasting. Standards Press of China: Beijing, China, 2008.
- Zhang, X.; Liu, P.; Cheng, L.; Xie, K.; Han, D.; Zhou, L. The Temporal Variations in Runoff-Generation Parameters of the Xinanjiang Model Due to Human Activities: A Case Study in the Upper Yangtze River Basin, China. J. Hydrol. Reg. Stud. 2021, 37, 100910. [Google Scholar] [CrossRef]
- Puma, M.J.; Cook, B.I. Effects of Irrigation on Global Climate during the 20th Century. J. Geophys. Res. 2010, 115, 2010JD014122. [Google Scholar] [CrossRef]
- Van Esse, W.R.; Perrin, C.; Booij, M.J.; Augustijn, D.C.M.; Fenicia, F.; Kavetski, D.; Lobligeois, F. The Influence of Conceptual Model Structure on Model Performance: A Comparative Study for 237 French Catchments. Hydrol. Earth Syst. Sci. 2013, 17, 4227–4239. [Google Scholar] [CrossRef]
- Tang, Y.; Sun, Y.; Han, Z.; Soomro, S.; Wu, Q.; Tan, B.; Hu, C. Flood Forecasting Based on Machine Learning Pattern Recognition and Dynamic Migration of Parameters. J. Hydrol. Reg. Stud. 2023, 47, 101406. [Google Scholar] [CrossRef]
- Pushpalatha, R.; Perrin, C.; Le Moine, N.; Mathevet, T.; Andréassian, V. A Downward Structural Sensitivity Analysis of Hydrological Models to Improve Low-Flow Simulation. J. Hydrol. 2011, 411, 66–76. [Google Scholar] [CrossRef]
- Pushpalatha, R.; Perrin, C.; Moine, N.L.; Andréassian, V. A Review of Efficiency Criteria Suitable for Evaluating Low-Flow Simulations. J. Hydrol. 2012, 420–421, 171–182. [Google Scholar] [CrossRef]
- Zhang, J.; Guan, K.; Peng, B.; Pan, M.; Zhou, W.; Jiang, C.; Kimm, H.; Franz, T.E.; Grant, R.F.; Yang, Y.; et al. Sustainable Irrigation Based on Co-Regulation of Soil Water Supply and Atmospheric Evaporative Demand. Nat Commun. 2021, 12, 5549. [Google Scholar] [CrossRef] [PubMed]
- Jiang, M.-H.; Lin, T.-C.; Shaner, P.-J.L.; Lyu, M.-K.; Xu, C.; Xie, J.-S.; Lin, C.-F.; Yang, Z.-J.; Yang, Y.-S. Understory Interception Contributed to the Convergence of Surface Runoff between a Chinese Fir Plantation and a Secondary Broadleaf Forest. J. Hydrol. 2019, 574, 862–871. [Google Scholar] [CrossRef]
- Li, X.; Xiao, Q.; Niu, J.; Dymond, S.; McPherson, E.G.; Van Doorn, N.; Yu, X.; Xie, B.; Zhang, K.; Li, J. Rainfall Interception by Tree Crown and Leaf Litter: An Interactive Process. Hydrol. Process. 2017, 31, 3533–3542. [Google Scholar] [CrossRef]
- Xia, C.; Liu, Y.; Meng, Y.; Liu, G.; Huang, X.; Chen, Y.; Chen, K. Stable Isotopes Reveal the Surface Water-Groundwater Interaction and Variation in Young Water Fraction in an Urbanized River Zone. Urban Clim. 2023, 51, 101641. [Google Scholar] [CrossRef]
- Ma, X.; Xu, J.; Luo, Y.; Prasad Aggarwal, S.; Li, J. Response of Hydrological Processes to Land-cover and Climate Changes in Kejie Watershed, South-west China. Hydrol. Process. 2009, 23, 1179–1191. [Google Scholar] [CrossRef]
- Harden, C.P.; Scruggs, P.D. Infiltration on Mountain Slopes: A Comparison of Three Environments. Geomorphology 2003, 55, 5–24. [Google Scholar] [CrossRef]
- Supriatin, L.S.; Basukriadi, A.; Thayeb, M.H.; Soesilo, T.E.B. The Flooding Effect from Rice Cultivation Technique on Infiltration and Water Balance. For. Geo. 2013, 27, 33–44. [Google Scholar] [CrossRef][Green Version]
- Lee, K.-S.; Park, Y.; Shin, W.-J. Hydrograph Separation for a Small Agricultural Watershed: The Role of Irrigation Return Flow. J. Hydrol. 2021, 593, 125831. [Google Scholar] [CrossRef]
- Deng, L.; Fei, K.; Sun, T.; Zhang, L.; Fan, X.; Ni, L. Phosphorus Loss through Overland Flow and Interflow from Bare Weathered Granite Slopes in Southeast China. Sustainability 2019, 11, 4644. [Google Scholar] [CrossRef]
- Nicótina, L.; Alessi Celegon, E.; Rinaldo, A.; Marani, M. On the Impact of Rainfall Patterns on the Hydrologic Response. Water Resour. Res. 2008, 44, 2007WR006654. [Google Scholar] [CrossRef]
- Döll, P.; Berkhoff, K.; Bormann, H.; Fohrer, N.; Gerten, D.; Hagemann, S.; Krol, M. Advances and Visions in Large-Scale Hydrological Modelling: Findings from the 11th Workshop on Large-Scale Hydrological Modelling. Adv. Geosci. 2008, 18, 51–61. [Google Scholar] [CrossRef][Green Version]
- Greve, P.; Burek, P.; Guillaumot, L.; Van Meijgaard, E.; Aalbers, E.; Smilovic, M.M.; Sperna-Weiland, F.; Kahil, T.; Wada, Y. Low Flow Sensitivity to Water Withdrawals in Central and Southwestern Europe under 2 K Global Warming. Environ. Res. Lett. 2023, 18, 094020. [Google Scholar] [CrossRef]
- Liu, K.; Bo, Y.; Li, X.; Wang, S.; Zhou, G. Uncovering Current and Future Variations of Irrigation Water Use Across China Using Machine Learning. Earth’s Future 2024, 12, e2023EF003562. [Google Scholar] [CrossRef]
- Ionita, M.; Nagavciuc, V. Forecasting Low Flow Conditions Months in Advance through Teleconnection Patterns, with a Special Focus on Summer 2018. Sci. Rep. 2020, 10, 13258. [Google Scholar] [CrossRef]










| Parameter | Physical Meaning | Range | 
|---|---|---|
| K | Ratio of potential evapotranspiration to pan evaporation | 0.7–1.3 | 
| C | Evapotranspiration coefficient of the deeper soil layer | 0.01–0.5 | 
| UM | Averaged soil moisture storage capacity of the upper layer | 15–20 | 
| LM | Averaged soil moisture storage capacity of the lower layer | 60–90 | 
| WM | Soil tension water capacity | 100–150 | 
| B | Exponential of the distribution to tension water capacity | 0.1–0.5 | 
| IMP | Impervious areas proportion | Defined | 
| SM | Free water capacity of the surface soil layer | 10–50 | 
| EX | Exponent of the free water capacity curve influencing the development of the saturated area | 1–1.5 | 
| KI | Outflow coefficients of soil-free water storage to interflow | 0–0.7 | 
| KG | Outflow coefficients of soil-free water storage to groundwater | 0–0.7 | 
| CI | Recession constants of the lower-interflow storage | 0–1 | 
| CG | Recession constants of the lower-groundwater storage | 0.9–0.999 | 
| CR | Recession constant in the lag-and-route method for the recession constant for channel routing | 0–0.1 | 
| L | Empirical value of lag time | Defined | 
| Model | Calibration | Validation | |||||||
|---|---|---|---|---|---|---|---|---|---|
| All | High | Medium | Low | All | High | Medium | Low | ||
| Original XAJ | R2 | 0.95 | 0.94 | 0.36 | 0.21 | 0.91 | 0.86 | 0.33 | 0.28 | 
| NSE | 0.95 | 0.94 | −2.59 | −0.49 | 0.90 | 0.82 | −4.43 | −1.30 | |
| BIAS (%) | 5.03 | −4.50 | 7.60 | 59.21 | 3.00 | −11.56 | 16.47 | 89.08 | |
| Modified XAJ | R2 | 0.95 | 0.94 | 0.58 | 0.53 | 0.93 | 0.87 | 0.62 | 0.63 | 
| NSE | 0.95 | 0.94 | 0.42 | 0.40 | 0.92 | 0.83 | 0.46 | 0.43 | |
| BIAS (%) | −0.78 | −2.63 | 2.06 | 3.55 | −4.65 | −10.15 | 7.12 | 12.72 | |
| High-Flow Regime | Medium-Flow Regime | Low-Flow Regime | ||||||||||
|---|---|---|---|---|---|---|---|---|---|---|---|---|
| Parameter | P1 | P2 | P3 | P4 | P1 | P2 | P3 | P4 | P1 | P2 | P3 | P4 | 
| K | 1.08 | 1.13 | 1.07 | 0.7 | 1.1 | 1.25 | 1.11 | 0.90 | 1.1 | 1.3 | 1.3 | 1.00 | 
| C | 0.16 | 0.15 | 0.15 | 0.18 | 0.16 | 0.15 | 0.15 | 0.18 | 0.16 | 0.15 | 0.15 | 0.18 | 
| UM | 15 | 17 | 19 | 18 | 15 | 17 | 19 | 18 | 15 | 17 | 19 | 18 | 
| LM | 70 | 73 | 89 | 89 | 70 | 73 | 89 | 89 | 70 | 73 | 89 | 89 | 
| WM | 119 | 124 | 132 | 138 | 119 | 124 | 132 | 138 | 119 | 124 | 132 | 138 | 
| B | 0.22 | 0.26 | 0.32 | 0.31 | 0.22 | 0.26 | 0.32 | 0.31 | 0.22 | 0.26 | 0.32 | 0.31 | 
| SM | 32 | 35 | 31 | 20 | 32 | 35 | 31 | 20 | 32 | 35 | 31 | 20 | 
| EX | 1.2 | 1.4 | 1.3 | 1.2 | 1.2 | 1.4 | 1.3 | 1.2 | 1.2 | 1.4 | 1.3 | 1.2 | 
| KI | 0.4 | 0.41 | 0.46 | 0.52 | 0.4 | 0.41 | 0.46 | 0.52 | 0.4 | 0.41 | 0.46 | 0.52 | 
| KG | 0.3 | 0.29 | 0.24 | 0.18 | 0.3 | 0.29 | 0.24 | 0.18 | 0.3 | 0.29 | 0.24 | 0.18 | 
| CI | 0.78 | 0.86 | 0.77 | 0.78 | 0.73 | 0.68 | 0.64 | 0.79 | 0.66 | 0.78 | 0.87 | 0.66 | 
| CG | 0.998 | 0.989 | 0.992 | 0.98 | 0.998 | 0.989 | 0.992 | 0.98 | 0.998 | 0.989 | 0.992 | 0.98 | 
| CR | 0.01 | 0.01 | 0.02 | 0.05 | 0.01 | 0.01 | 0.02 | 0.06 | 0.02 | 0.02 | 0.03 | 0.05 | 
| Disclaimer/Publisher’s Note: The statements, opinions and data contained in all publications are solely those of the individual author(s) and contributor(s) and not of MDPI and/or the editor(s). MDPI and/or the editor(s) disclaim responsibility for any injury to people or property resulting from any ideas, methods, instructions or products referred to in the content. | 
© 2024 by the authors. Licensee MDPI, Basel, Switzerland. This article is an open access article distributed under the terms and conditions of the Creative Commons Attribution (CC BY) license (https://creativecommons.org/licenses/by/4.0/).
Share and Cite
Wu, K.; Hu, M.; Zhang, Y.; Zhou, J.; Chen, D. A Modified Xinanjiang Model for Quantifying Streamflow Components in a Typical Watershed in Eastern China. Hydrology 2024, 11, 90. https://doi.org/10.3390/hydrology11070090
Wu K, Hu M, Zhang Y, Zhou J, Chen D. A Modified Xinanjiang Model for Quantifying Streamflow Components in a Typical Watershed in Eastern China. Hydrology. 2024; 11(7):90. https://doi.org/10.3390/hydrology11070090
Chicago/Turabian StyleWu, Kaibin, Minpeng Hu, Yu Zhang, Jia Zhou, and Dingjiang Chen. 2024. "A Modified Xinanjiang Model for Quantifying Streamflow Components in a Typical Watershed in Eastern China" Hydrology 11, no. 7: 90. https://doi.org/10.3390/hydrology11070090
APA StyleWu, K., Hu, M., Zhang, Y., Zhou, J., & Chen, D. (2024). A Modified Xinanjiang Model for Quantifying Streamflow Components in a Typical Watershed in Eastern China. Hydrology, 11(7), 90. https://doi.org/10.3390/hydrology11070090
 
        



 
       