Abstract
The study examined the chemical structure of azo-based liquid crystalline compounds that were altered to form a branch of cyclotriphosphazene. Moreover, the research explored the interplay between their mesomorphic and dielectric properties. The structures of the compounds were defined by Fourier transform infrared spectroscopy, nuclear magnetic resonance spectroscopy, and CHN elemental analysis. Only intermediates 2a–e and cyclotriphosphazene compounds 4d–e were mesogenic with smectic A (SmA) and smectic C (SmC) phases, respectively. Intermediate 2d and compound 4d were used as representative samples to determine the type of liquid crystal, which was confirmed through X-ray diffraction (XRD). The calculated d/L ratios for both compounds were 1.69 and 0.76, respectively, indicating that d was approximately equal to L (d ≈ L ≈ 1). This finding suggests that the SmA and SmC phases observed under polarized optical microscope (POM) are arranged in a monolayer. For the dielectric study, only compounds 2d–e and 4d–e were proceeded and compared for dielectric characteristics testing. The dielectric constants and dielectric loss factors of these four compounds were measured over the frequency range of 100 Hz to 0.1 MHz at room temperature. The dielectric constant trend decreased with the increasing frequency. Meanwhile, the dielectric loss showed two types of trends. The first trend was identical to the dielectric constant trend, in which the dielectric loss decreased as the frequency increased. However, in the second trend, the dielectric loss began to rise with the increase in frequency and then began to fall gradually after reaching a certain peak. Meanwhile, compounds 4d and 4e had low dielectric constants and losses due to the effect of hexasubstituted cyclotriphosphazene that had been attached as a core.
1. Introduction
Early studies by Allcock and his coworkers on phosphazene molecules eventually led to the investigation of liquid crystalline phosphazene materials [1,2]. In 2022, Davarci and Doganci reported the chronological summary of liquid crystal phase transition of phosphazene liquid crystals and their mesomorphism [3]. Phosphazenes are cyclic or linear chains of inorganic compounds formed by bonding and repeating phosphorus and nitrogen atoms with (P=N)n bonds [4].
The liquid crystal phase is known as a mesophase. The distinct mesophases depend on the solvent content and temperature. They are highly beneficial for a variety of potential applications, which is why many researchers have studied the dielectric properties of liquid crystals in different phases such as nematic, smectic C (SmC), and smectic C* (SmC*) [5,6,7,8,9,10]. Liquid crystals are isotropic with an anisotropic dielectric nature. When dielectric anisotropy was shown to be affected by the director reorientation in an applied electric field, deepening an understanding of the dielectric response became a leading theme in the development of liquid crystal science [11].
Meanwhile, cyclotriphosphazene compounds that have been used in liquid crystals [12] also have significant potential in dielectric applications [13,14,15]. Recently, numerous studies have been reported concerning the dielectric properties of cyclotriphosphazene compounds. The evaluation of solid materials often involves an in-depth investigation of common properties such as the dielectric constant and dielectric loss [16,17,18,19]. The dielectric constant and dielectric loss’s behavior of the investigated samples have been studied as a function of frequency [20].
A dielectric material is a non-conductive substance that can store electrical charges. When exposed to an electric field, the charges within the material do not conduct; instead, they undergo slight shifts from their average equilibrium positions, resulting in dielectric polarization. Positive charges move in the direction of the field, and negative charges shift in the opposite direction, generating an internal electric field. This process reduces the overall electric field within the dielectric material [21]. This dielectric material is needed for the performance application of touch screen panels, field effect transistors, and capacitors that are often used in mobile devices or portable electrical equipment, hybrid vehicles, and microelectronics [22].
In 2016, Koran et al. synthesized cyclotriphosphazene compounds bearing oxime ether and ester as side groups. The dielectric constant and dielectric loss factors of cyclotriphosphazene compounds were measured over a frequency range of 100 Hz to 2 kHz at 25 °C and compared to each other. It was found that cyclotriphosphazene compounds with substituted ester linkage had a higher dielectric constant. This was attributed to the existence of polar carbonyl of ester groups, which increase the dielectric constant [23]. Furthermore, Koran and co-workers (2017) have reported the synthesis of 2,2,4,4-tetra(4′-oxy substituted-chalcone)-6,6-diphenylcyclotriphosphazene. Their dielectric constant and dielectric loss were examined through an impedance analyzer as a function of the frequency. The dielectric properties of compounds changed with the frequency. The dielectric constant decreased with the increasing frequency while it remained constant at high frequencies. The reason for this can be thought to be the polarization effect. Polarization occurs since the effect of the dipole increases as the frequency increases [24].
This work aimed to create new liquid crystal compounds from hexasubstituted cyclotriphosphazene as a core unit with different side arms bearing an azo linkage. These compounds were synthesized in various terminal chain lengths that can be used to expand the database in liquid crystal and cyclotriphosphazene research. Many liquid crystal syntheses and characterizations related to cyclotriphosphazene compounds have been published. However, not all liquid crystal compounds from hexasubstituted cyclotriphosphazene with azo linking units bearing different terminal chain lengths have been explored, especially regarding dielectric characteristics. In this study, the effect of the long terminal chain is not reported with the two-phenyl group attached to the azo linking unit. The synthesis and characterization of these cyclotriphosphazene liquid crystal molecules greatly advance the understanding of structure–property relationships, introducing new molecules with distinctive dielectric characteristics. Thus, these compounds with found dielectric characteristics can be used to study dielectric properties concerning the storage and dissipation of electric and magnetic energy in materials.
2. Materials and Methods
2.1. List of Chemicals
The chemicals and solvents employed in this study include 4-nitroaniline (Sigma Aldrich, Steinheim, Germany), methanol (HmbG Chemicals, Kuala Lumpur, Malaysia), hydrochloric acid (Merck, Darmstadt, Germany), sodium nitrite (HmbG Chemicals), phenol (Bendosen, Kuala Lumpur, Malaysia), sodium acetate hydrate (HmbG Chemicals), N,N-Dimethylformamide (DMF) (Merck), 1-bromopentane (Sigma Aldrich), 1-bromononane (Sigma Aldrich), 1-bromodecane (Sigma Aldrich), 1-bromododecane (Sigma Aldrich), 1-bromotetradecane (Sigma Aldrich), potassium carbonate (Systerm, Selangor, Malaysia), potassium iodide (Systerm), sodium sulfide hydrate (Chemiz, Selangor, Malaysia), ethanol (HmbG Chemicals), phosphonitrilic chloride trimer (Sigma Aldrich), triethylamine (HmbG Chemicals), and acetone (HmbG Chemicals). All the chemicals and solvents were utilized without undergoing purification.
2.2. Characterization Methods
The progression of synthesizing intermediates and final compounds was consistently monitored through thin-layer chromatography (TLC). Functional groups were characterized using Fourier transform infrared spectroscopy (FTIR) (PerkinElmer, Waltham, MA, USA) and subsequently confirmed through nuclear magnetic resonance spectroscopy (NMR) (Bruker, Coventry, UK) and CHN elemental analysis (PerkinElmer, Waltham, MA, USA). Polarized optical microscopy (POM) (Linkam, London, UK), a technique utilizing polarized light, was employed to detect liquid crystal mesophases. To validate the observed mesophase transition under POM, a differential scanning calorimetry (DSC) (PerkinElmer, Waltham, MA, USA) experiment was conducted. Additionally, the dielectric properties of mesogenic compounds were assessed using an impedance analyzer with a frequency response analyzer (FRA) method. The impedance analyzer used in this characterization was a Metrohm Autolab Potentiostat (Utrecht, Netherlands). The applied frequency ranged from 100 Hz to 0.1 MHz at room temperature. The samples were sandwiched using a two-electrode system. Figure 1 shows the research framework for these studies.
Figure 1.
Research framework.
2.3. Synthesis Method
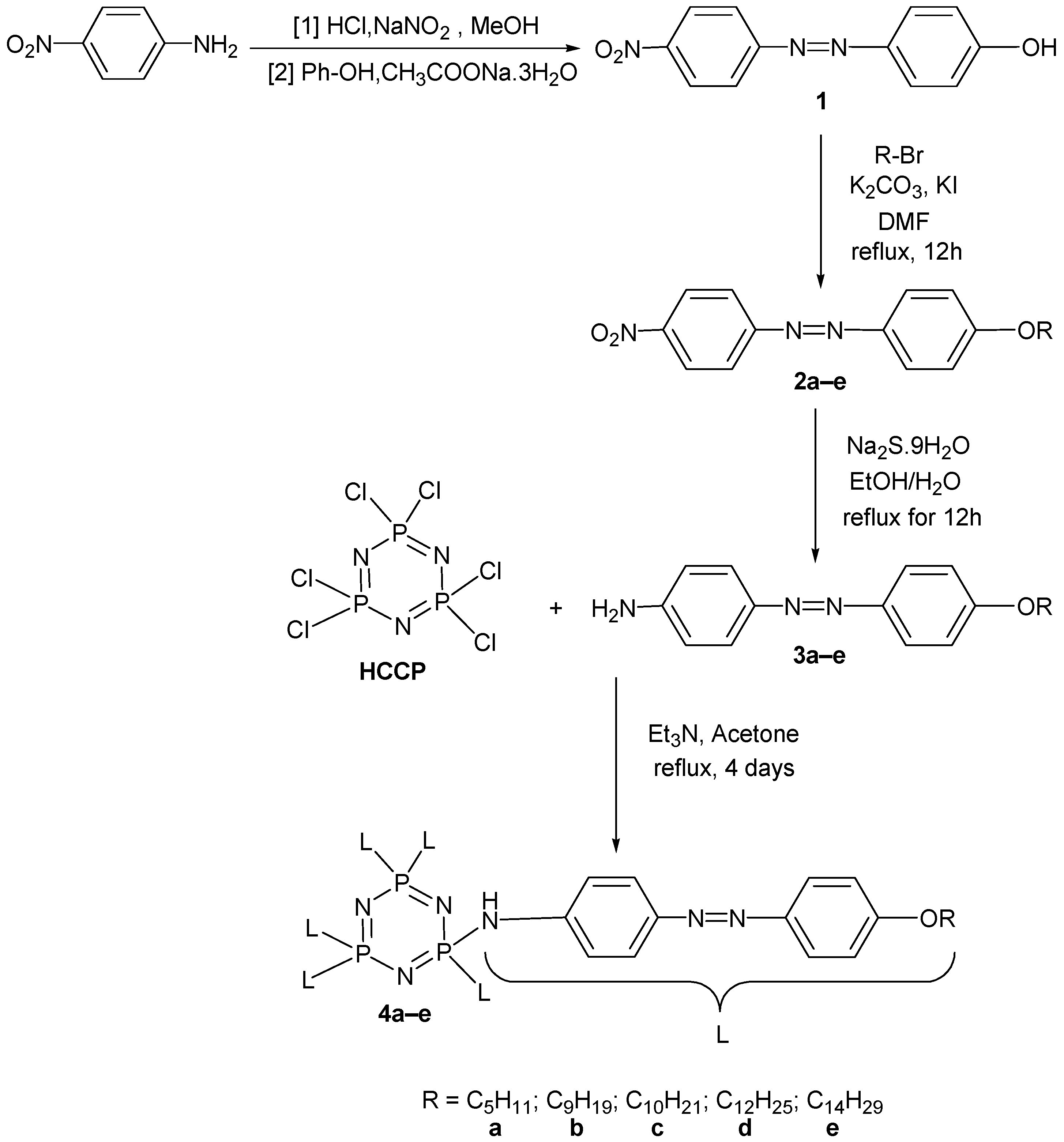
The synthesis methodology underwent several modifications. The investigation initiated with a diazotization reaction, producing 4-((4-nitrophenyl)diazenyl)phenol, 1. Subsequently, intermediate 1 underwent an alkylation reaction with alkylated bromides of pentyl, nonyl, decyl, dodecyl, and tetradecyl, resulting in a series of nitro intermediates, 2a–e. Intermediates 2a–e were further reduced to yield corresponding amines, 3a–e. The detailed procedures for synthesizing intermediates 1, 2a–e, and 3a–e can be found in [25].
Finally, intermediates 3a–e were reacted with hexachlorocyclotriphosphazene (HCCP) in the presence of triethylamine as a catalyst, leading to the formation of new compounds, 4a–e, attached to azo linking units with different terminal alkyl chains. The comprehensive synthesis pathway for hexasubstituted cyclotriphosphazene with azo linkage, featuring different alkyl chains at the side arms, is illustrated in Scheme 1.
Scheme 1.
Formation of intermediates 1, 2a–e, 3a–e, and final compounds 4a–e.
Synthesis of Hexakis(4-((4(substituted)phenyl)diazenyl)phenamino)triazaphosphazene
Intermediate 3a (0.08 mol) and triethylamine (0.1 mol) were dissolved in 150 mL of acetone. The resulting solution was cooled to 0 °C in an ice bath and stirred for 30 min. Subsequently, a solution of hexachlorocyclotriphosphazene (0.01 mol) in 50 mL of acetone was added dropwise to the mixture. The reaction mixture was continuously stirred at 0 °C in an ice bath for 2 h, after which the temperature was allowed to rise to room temperature, and the reaction was refluxed for 94 h while monitoring the progress using TLC. Upon completion, the reaction mixture was poured into 250 mL of cold water and left overnight in the refrigerator. The precipitate that formed was then filtered, washed with water, and dried.
Hexakis(4-((4(pentyloxy)phenyl)diazenyl)phenamino)triazaphosphazene, 4a
Yield: 0.61 g (75%), mp: 123–127 °C, red-orange powder. FTIR (cm−1): 1191 (P=N stretching), 3338 (N-H stretching), 2936 and 2868 (Csp3-H stretching), 1622 (aromatic C=C stretching), 1433 (N=N stretching), 1239 (C-O stretching), 1191 (P=N stretching), 1144 (C-N stretching). 1H-NMR (500 MHz, DMSO-d6), ppm: 7.89 (d, J = 5.0 Hz, 2H), 7.34 (d, J = 5.0 Hz, 2H), 7.00 (d, J = 5.0 Hz, 2H), 6.54 (d, J = 10.0 Hz, 2H), 4.87 (s, 1H), 4.03 (t, J = 5.0 Hz, 2H), 1.75–3.50 (m, 2H), 1.39–1.73 (m, 2H), 1.31–1.39 (m, 2H), 0.88 (t, J = 10.0 Hz, 3H). 13C-NMR (125 MHz, DMSO-d6), ppm: 164.6, 161.5, 145.5, 129.7, 128.8, 122.7, 114.7, 114.4, 68.3, 31.7, 25.9, 22.5, 14.4. CHN elemental analysis calculated for C102H120N21O6P3: C: 66.98%, H:6.61%, N: 16.08%. Found: C: 66.80%, H: 6.50%, N: 15.85%.
Hexakis(4-((4(nonyloxy)phenyl)diazenyl)phenamino)triazaphosphazene, 4b
Yield: 0.47 g (71%), mp: 121–125 °C, light orange powder. FTIR (cm−1): 1191 (P=N stretching), 3332 (N-H stretching), 2847 and 2918 (Csp3-H stretching), 1621 (aromatic C=C stretching), 1468 (N=N stretching), 1241 (C-O stretching), 1180 (P=N stretching), 1143 (C-N stretching). 1H-NMR (125 MHz, DMSO-d6), ppm: 7.89 (d, J = 5.0 Hz, 2H), 7.34 (d, J = 10.0 Hz, 2H), 7.00 (d, J = 10.0 Hz, 2H), 6.54 (d, J = 10.0 Hz, 2H), 4.87 (s, 1H), 4.03 (t, J = 5.0 Hz, 2H), 1.74–2.50 (m, 2H), 1.43–1.73 (m, 2H), 1.26–1.42 (m, 10H), 0.86 (t, J = 5.0 Hz, 3H). 13C-NMR (125 MHz, DMSO-d6), ppm: 164.6, 161.5, 145.5, 129.7, 128.8, 122.8, 114.4, 114.2, 68.2, 31.7, 29.4, 29.2, 29.1, 29.0, 25.9, 22.5, 14.4. CHN elemental analysis calculated for C126H168N21O6P3: C: 69.88%, H: 7.82%, N: 13.58%. Found: C: 69.77%, H: 7.78%, N: 13.51%.
Hexakis(4-((4(decyloxy)phenyl)diazenyl)phenamino)triazaphosphazene, 4c
Yield: 0.48 g (75%), mp: 120–123 °C, red orange powder. FTIR (cm−1): 1182 (P=N stretching), 3351 (N-H stretching), 2917 and 2848 (Csp3-H stretching), 1621 (aromatic C=C stretching), 1468 (N=N stretching), 1246 (C-O stretching), 1182 (P=N stretching), 1143 (C-N stretching). 1H-NMR (500 MHz, DMSO-d6), ppm: 7.90 (d, J = 10.0 Hz, 2H), 7.35 (d, J = 10.0 Hz, 2H), 7.01 (d, J = 10.0 Hz, 2H), 6.54 (d, J = 10.0 Hz, 2H), 4.87 (s, 1H), 4.04 (t, J = 5.0 Hz, 3H), 1.75–2.50 (m, 2H), 1.43–1.72 (m, 2H), 1.25–1.41 (m, 12H), 0.87 (t, J = 5.0 Hz, 3H). 13C-NMR (125 MHz, DMSO-d6), ppm: 164.6, 161.5, 145.5, 129.7, 128.8, 122.7, 114.1, 68.2, 31.8, 29.5, 29.4, 29.2, 29.2, 29.1, 25.9, 22.6, 14.4. CHN elemental analysis calculated for C132H180N21O6P3: C: 70.47%, H: 8.06%, N: 13.07%. Found: C: 70.35%, H: 8.02%, N: 12.98%.
Hexakis(4-((4(dodecyloxy)phenyl)diazenyl)phenamino)triazaphosphazene, 4d
Yield: 0.98 g (83%), mp: 118–122 °C, orange powder. FTIR (cm−1): 3321 (N-H stretching), 2920 and 2851 (Csp3-H stretching), 1599 (aromatic C=C stretching), 1473 (N=N stretching), 1247 (C-O stretching), 1181 (P=N stretching), 1148 (C-N stretching). 1H-NMR (500 MHz, DMSO-d6), ppm: 7.90 (d, J = 10.0 Hz, 2H), 7.35 (d, J = 10.0 Hz, 2H), 7.00 (d, J = 5.0 Hz, 2H), 6.54 (d, J = 10.0 Hz, 2H), 4.87 (s, 1H), 4.04 (t, J = 10.0 Hz, 2H), 1.75–2.50 (m, 2H), 1.44–1.72 (m, 2H), 1.24–1.42 (m, 16H), 0.86 (t, J = 5.0 Hz, 3H). 13C-NMR (125 MHz, DMSO-d6), ppm: 164.6, 161.5, 145.5, 129.7, 128.8, 122.7, 114.4, 114.2, 68.1, 31.8, 29.5, 29.5, 29.4, 29.4, 29.2, 29.1, 29.0, 25.9, 22.6, 14.4. CHN elemental analysis calculated for C144H204N21O6P3: C: 71.52%, H: 8.50%, N: 12.16%. Found: C: 71.48%, H: 8.44%, N: 12.15%.
Hexakis(4-((4(tetradecyloxy)phenyl)diazenyl)phenamino)triazaphosphazene, 4e
Yield: 0.49 g (89%), mp: 117–120 °C, brown-orange powder. FTIR (cm−1): 3321 (N-H stretching), 2918 and 2850 (Csp3-H stretching), 1601 (aromatic C=C stretching), 1467 (N=N stretching), 1249 (C-O stretching), 1183 (P=N stretching), 1148 (C-N stretching). 1H-NMR (500 MHz, DMSO-d6), ppm: 7.89 (d, J = 10.0 Hz, 2H), 7.35 (d, J = 10.0 Hz, 2H), 6.98 (d, J = 5.0 Hz, 2H), 6.59 (d, J = 5.0 Hz, 2H), 4.87 (s, 1H), 4.08 (t, J = 10.0 Hz, 2H), 1.77–2.50 (m, 2H), 1.46–1.76 (m, 2H), 1.28–1.45 (m, 20H), 0.89 (t, J = 10.0 Hz, 3H). 13C-NMR (125 MHz, DMSO-d6), ppm: 164.9, 161.7, 145.3, 131.7, 122.9, 114.6, 129.6, 114.7, 68.6, 31.6, 29.3, 29.3, 29.3, 29.3, 29.2, 29.2, 29.1, 29.1, 29.0, 25.9, 22.3, 14.0. CHN elemental analysis calculated for C156H228N21O6P3: C: 72.44%, H: 8.88%, N: 11.37%. Found: C: 72.38%, H: 8.50%, N: 11.31%.
3. Results and Discussion
3.1. FTIR Spectral Discussion
The FTIR spectrum of intermediate 1 showed a band at 3281 cm−1 for the O-H stretching. The aromatic C=C stretching was observed at absorption band 1502 cm−1 for the aromatic ring. The successful formation of intermediate 1 was indicated by the appearance of N=N stretching at 1455 cm−1.
The alkylation of intermediate 1 led to the formation of 2a–e, resulting in the disappearance of the band at 3281 cm−1 and the emergence of two bands indicative of Csp3-H stretching at 2849 and 2919 cm−1. The band at 1604 cm−1 was assigned to aromatic C=C stretching, while the bands at 1465, 1140, and 1252 cm−1 were attributed to N=N, C-N, and C-O stretching, respectively.
The reduction of 2a–e to form 3a–e was accomplished, marked by the presence of two peaks corresponding to N-H stretching at 3319 and 3429 cm−1. The absorption bands of intermediates 1, 2a–e, and 3a–e remained consistent with the provided spectral data. The bands at 2851 and 2920 cm−1 were attributed Csp3-H stretching. The absorption bands for aromatic C=C, N=N, C-O, and C-N stretching appeared at 1599, 1473, 1249, and 1148 cm−1, respectively.
Intermediates 3a–e were then reacted with HCCP to form compounds 4a–e. The substitution reaction of HCCP with intermediates 3a–e in a basic solution yielded hexasubstituted cyclotriphosphazene bearing azo group compounds in the side arms. According to the overlay FTIR spectra of compounds 4a–e (Figure 2), the N=N stretching was assigned to 1473 cm−1. The appearance of P=N stretching between 1150–1191 cm−1 in 4a–e confirmed the existence of HCCP compounds combining with the intermediates 3a–e. The alkoxy chains in these compounds gave the absorptions at 2851 and 2920 cm−1 for the symmetrical and asymmetrical Csp3-H stretching. All the compounds also showed absorption at 3321 cm−1 (N-H stretching), 1599 cm−1 (C=C stretching), 1247 cm−1 (C-O stretching), and 1143 cm−1 (C-N stretching). The summarized FTIR vibrational stretching (cm−1) for 1, 2a–e, 3a–e, and 4a–e is tabulated in Table 1.
Figure 2.
Overlay FTIR spectra of compounds 4a–e.
Table 1.
FTIR vibrational stretching (cm−1) for 1, 2a–e, 3a–e, and 4a–e.
3.2. NMR Spectral Discussion
The 1H-NMR spectrum of intermediate 1 revealed a small broad singlet at δ 10.70 ppm, assigned to the hydroxyl proton. Additionally, four doublets in the aromatic region (δ 6.89–8.37 ppm) were identified, corresponding to four distinct aromatic protons.
Next, compound d was used as a representative for the NMR spectral discussion. Intermediate 2d underwent an alkylation reaction by the presence of upfield signals in the region of 0.84–4.05 ppm in the 1H-NMR spectrum. This was also supported by the 13C-NMR spectra, in which the signals were also present in the upfield region at 14.11–68.56 ppm. Aside from that, four doublets in the aromatic region of 6.99–8.34 ppm were attributed to four distinct aromatic protons in 2d. The reduction of 2d to 3d was successful, as evidenced by the appearance of a singlet at δ 5.86 ppm in the 1H-NMR spectrum, corresponding to the N-H of the amine group. In the meantime, the chemical structure of 3d was still consistent with the NMR spectral data aside from the conversion of NH2 from NO2.
For the confirmation of the structure in this series, compound 4d was employed as the representative. Figure 3 displays the structure of compound 4d with comprehensive numbering.
Figure 3.
Chemical structure of compound 4d with complete atomic numbering.
The 1H-NMR spectrum of compound 4d (Figure 4) showed ten different signals. Four different sets of doublets were observed at 7.90, 7.35, 7.00, and 6.54 ppm and assigned to the aromatic protons H4, H7, H8, and H3, respectively.
Figure 4.
1H-NMR spectrum (500 MHz, DMSO-d6) of compound 4d.
As the azo linking unit functions as a potent electron-withdrawing group, resulting in a pronounced deshielding effect, H4 exhibited greater deshielding compared to other protons. Similar considerations applied to H7, which experienced a more pronounced deshielding effect than H3. The deshielding effect on H8 was more significant than that on H3 due to the stronger electronegativity of the oxygen atom compared to the nitrogen atom. The singlet at δ 4.87 was assigned to the N-H signal (H1). Meanwhile, a triplet at δ 4.04 ppm was attributed to the protons H10, while all remaining protons H11-H21 were observed in the region of δ 0.84–1.75 ppm.
Examining the 13C-NMR spectrum of compound 4d (Figure 5a), revealed a total of 20 carbon signals, including quaternary, methine, aromatic, oxymethylene, methylene, and methyl carbons. DEPT experiments were employed to validate the assignment of these carbons. DEPT 90 provided information on methine carbon (CH), while DEPT 135 supplied information on both methine (CH) and methyl (CH3) carbons, manifesting as positive signals. In contrast, methylene carbon exhibited a negative signal.
Figure 5.
(a) 13C NMR, (b) DEPT 90, and (c) DEPT 135 spectra (125 MHz, DMSO-d6) of compound 4d.
Four quaternary carbons at 128.77, 161.45, 145.47, and 164.62 ppm were identified, which were assigned to C2, C5, C6, and C9, respectively. These carbon signals disappeared in DEPT spectra, confirming their assignment as quaternary carbons. C9 experienced more deshielding effect compared to other carbons because this carbon is attached to oxymethylene. C5 was deshielded compared to other carbons due to the azo linkages. The peaks at 114.15, 129.72, 122.74, and 114.37 ppm corresponded to aromatic carbons C3, C4, C7, and C8, respectively. Based on the DEPT 90 spectrum (Figure 5b), these four carbons were assigned to methine carbon (CH). On the other hand, oxymethylene carbon (C10) was located at 68.14 and methylene carbons (C11–C20) in the region of 22.55–29.48 ppm. Eleven carbons of the dodecyl chains (C10–C20) showed negative signals in the DEPT 135 spectrum (Figure 5c). Lastly, the methyl carbon C21 was located at 14.41 ppm in the most upfield region, as this signal disappeared in the DEPT 90 spectrum but showed a positive signal in the DEPT 135 spectrum.
The determination of proton (1H-1H) correlations, specifically the connections between a proton and its adjacent proton, was solidified through the implementation of a COSY NMR experiment. The COSY (1H-1H) spectrum of H1 did not show any connection with other protons, confirming the presence of amine (N-H) protons (Figure 6). There was a link between the aromatic protons H3 and H4, and H7 and H8. H10 was found to correlate with H11, while the other dodecyl chains could be observed between H11 and H12, H12 and H13, and H13–H21.
Figure 6.
COSY (1H-1H) NMR spectrum of compound 4d.
The connection between these carbons and the corresponding protons was confirmed using the HSQC (1H-13C) NMR experiment (Figure 7). The hydrogen atoms H3, H4, H7, and H8 showed correlations with the carbon atoms 114.15 (C3), 129.72 (C4), 122.74 (C7), and 114.37 (C8) ppm, respectively. The HSQC spectrum revealed the connectivity between dodecyl protons (H16–H20) and their respective carbons (C15–C20). Additionally, a triplet at δ 0.84 ppm, assigned to H21 for the methyl protons, exhibited connectivity with its corresponding methyl carbon (C21) at δ 14.41 ppm in the most upfield region. A comprehensive summary of all the data obtained from the COSY (1H-1H) and HSQC (1H-13C) spectra is provided in Table 2.
Figure 7.
HSQC (1H-13C) NMR spectrum of compound 4d.
Table 2.
1H, COSY, and HSQC NMR data of compound 4d.
The 31P-NMR spectrum of HCCP was evident at δ 20.00 ppm (Figure 8a). This phenomenon was attributed to the hexa-functionality of the chlorine atom in HCCP. The phosphorus atom experienced a greater deshielding effect compared to compound 4d, as the chlorine atom reduced the electron density of the molecule. Upon introducing the azo linking units into the HCCP system, a distinct singlet was observed at δ 8.19 ppm (Figure 8b), signifying the successful reaction between intermediate 3d and HCCP to yield compound 4d.
Figure 8.
31P NMR spectra (500 MHz, DMSO-d6) of (a) HCCP and (b) compound 4d.
3.3. Determination of Mesophase Behavior Using POM
An Olympus system model bx53 linksys was used in the polarized optical microscope (POM) approach in order to identify liquid crystal mesophases. Under the microscope, the sample was set up on the hot stage between two glasses. The changes in the sample’s phase during heating and cooling cycles could be observed, controlled, and recorded. Compounds exhibiting liquid crystal behavior are termed mesogenic, while non-mesogenic molecules lack any mesophase texture.
In this study, intermediates 2a–e, featuring a nitro substituent and an alkoxy terminal chain, exhibited the smectic A (SmA) phase consistently throughout both heating and cooling cycles. The optical photomicrographs of these intermediates have been reported in [25]. On the other hand, the final compounds 4d and 4e, each incorporating cyclotriphosphazene as the central unit linked to distinct terminal alkoxy chains, were identified as mesogenic, displaying smectic C (SmC) phases. Intermediates 3a–e and compounds 4a–c did not show any liquid crystal texture; therefore, these compounds were classified as non-mesogenic. The phase transitions of compounds 4d–e are illustrated in Figure 9. The tendency towards smectic C (SmC) phase formation increased as the number of aliphatic chains grew. The SmC phase, marked by tilted layers similar to the smectic A (SmA) phase but with varying tilt angles across different compounds, demonstrated liquidlike characteristics [26].
Figure 9.
The optical photomicrographs of compounds 4d–e in the cooling cycle showing the broken fans of the SmC phase, (a) 4d at 137.71 °C and (b) 4e at 134.45 °C (magnification of 20 × 0.50, cooling rate: 5 °C/min).
3.4. Determination of Thermal Transitions Using DSC
The DSC experiment was performed to validate the phase transitions observed through POM. The existence of the SmC phase in 4d–e was verified using DSC with the heating and cooling rate of 10 °C/min. Table 3 shows a summary of all the information obtained from the DSC thermograms of compounds 4d–e.
Table 3.
Phase transitional properties of compounds 4d–e upon heating and cooling cycles.
The DSC thermograms of compounds 4d and 4e showed two curves for the transition of crystal to SmC and SmC to isotropic phases. These two compounds showed high melting and clearing temperatures in the heating cycle compared to 2d and 2e. The melting temperature of compounds 4d and 4e were 123.11 and 120.55 °C, respectively. Figure 10 shows the DSC thermogram of compound 4d. The DSC thermogram demonstrates a decrease in both the melting and clearing temperatures as the number of alkyl chains increases. This aligns with the findings from Moriya et al.’s previous research in 2006, indicating that the melting and clearing temperatures decrease with an increase in alkyl chains [27]. This trend is associated with the high molecular weight of hexasubstituted cyclotriphosphazene compounds, influenced by their energy, hydrogen bonding, and van der Waals forces [28].
Figure 10.
DSC thermogram of compound 4d.
3.5. Determination of Liquid Crystal Behavior Using XRD
The confirmations of the smectic phase observed under POM were carried out using XRD analysis. Intermediate 2d and compound 4d are used as a representative to other homologues for further discussion. The XRD data of these compounds are summarized in Table 4.
Table 4.
The XRD data of intermediate 2d and compound 4d.
The XRD diffractogram of intermediate 2d and compound 4d is shown in Figure 11. The XRD diffractogram of 2d and 4d showed a single sharp peak at 2θ = 1.97° and 2.03°, respectively. A broad peak with a wide angle was also observed in the XRD data for both compounds at 2θ = 14–20°, indicating that the molecules favored the smectic layered arrangement [29]. The compound predominantly displayed a lamellar structure in the smectic liquid crystalline phase, featuring a broad peak associated with lateral packing around 2θ ≈ 20° and a sharp intense peak at a low angle (1° < 2θ < 4°) in the XRD curve. The sharp peak was attributed to the organized arrangement in spaced layers, whereas the broad peak indicated the disordered packing of alkyl chains [30].
Figure 11.
XRD diffractogram of 2d and 4d.
According to the XRD data, the d-layer spacing obtained from the molecular calculation of 2d and 4d was found to be 44.78 and 43.52 Å, respectively. Meanwhile, the molecular length (L) of 2d and 4d was calculated as 26.44 and 57.07 Å, respectively. Both compounds showed that the calculated d/L was 1.69 and 0.76, respectively, which is (d ≈ L) approximately one. This observation indicates that the SmA and SmC phases identified through POM represent a monolayer arrangement [31]. The thermotropic arrangement was adopted in both compounds. Moreover, compound 4d with a cyclotriphosphazene ring exhibited homeotropic alignment, in which the side arms were arranged three up and three down. This characteristic led to the alignment of all side arms perpendicular to the cyclotriphosphazene ring, a configuration that is highly conducive to the smectic arrangement [32].
3.6. Structure–Properties Relationship in Liquid Crystal Study
The molecular framework significantly impacts the liquid crystal properties of a molecule. For a compound to display a liquid crystal mesophase, it must meet specific criteria. The physical characteristics of even the most basic liquid crystal compound are notably exceptional, attributed to the self-assembly of molecules in an organized yet fluid liquid crystal mesophase [33]. The POM observation of compounds 2a–e, 3a–e, and 4a–e were summarized in Table 5.
Table 5.
POM observation of compounds 2a–e, 3a–e, and 4a–e.
Based on Table 5, some of the compounds were mesogenic, while the others did not exhibit any liquid crystal properties. Therefore, the selection of suitable rigid cores, linking units, and terminal groups is a crucial consideration in molecular modification, influencing the ordering abilities of mesogenic molecules [34].
In this study, the aromatic ring cores were connected directly or through a linking unit, which was an azo linking unit, and it was very useful in providing rigidity to the molecule. The ring system plays a role in influencing the stability of liquid crystals and other physical properties, enabling a linear configuration [35]. This linking unit serves the purpose of imparting diverse functions to the structures of mesomorphic materials, in which azobenzene derivatives have been known as among the first recognized groups of liquid crystalline molecules which usually give rise to stable mesophases and are thermally very stable [36,37,38]. This was proven in this study where many compounds that were based on azo resulted in a mesogenic texture. In addition to producing mesophases, the azo linking units in this study also served as linkage bridges between aromatic rings or disrupted the conjugation between rings. When substituents are selected to encompass a broad spectrum of steric and electronic properties, they contribute to conjugated interactions with the central group through intervening benzene rings [39].
The type of terminal substituents or end groups in the mesogenic molecule significantly impacts the compound’s liquid crystal characteristics. Liquid crystal molecules employ an array of terminal groups, ranging from small polar substituents to longer chains [40]. The selection of a terminal group is crucial for inducing the anticipated liquid crystal mesophase in a molecule. Most molecules comprise a single terminal alkyl chain, showcasing liquid crystal behavior. This was evident when all intermediates 2a–e, featuring alkoxy chains at the terminal end, exhibited the smectic A phase in both cooling and heating cycles. These intermediates 2a–e with rodlike molecules had aliphatic chains and nitro terminal groups.
Once intermediates 2a–e underwent a reduction process to create intermediates 3a–e with an amino substituent at the periphery, the SmA phase disappeared. This behavior was attributed to the strong interaction between the NH2 substituent’s electron-donating group and the nearby aromatic ring, which hindered molecules’ ability to adopt any liquid crystal phase. The length of the alkoxy side chain strongly influences the mesophase formation [41]. Prolonged alkoxy chains induce liquid crystal behavior, leading to broader temperature ranges and lowered melting temperatures, Tm [42]. Furthermore, the elongated alkyl chain provides flexibility to the rigid core and amplifies the molecular interactions necessary for the formation of the liquid crystal mesophase [43]. This can be seen in the fact that only compounds 4d and 4e had a mesogenic texture while 4a–c exhibited a non-mesogenic texture.
Compounds 4d and 4e had the same general structure as discotic LC/disklike molecules if observed by structure. Nonetheless, the results showed that 4d and 4e exhibited a smectic C phase. This is because the alkyl chain favors lamellar packing [44]. The long axes of the molecules in the smectic phase tend to be orthogonal to the layer planes as they form layers. The molecules’ cores are tightly packed in layers and aligned, but they are free to move about inside each layer. The layers have the appearance of a liquid. The layers themselves are free to slide over one another and for molecules to move freely from one layer to another [45]. As a result, the arrangement of side arms, three up and three down, favored a thermotropic arrangement, which is a smectic C phase.
3.7. Determination of Dielectric Properties
In this study, only synthesized compounds with liquid crystals in all reaction phases were examined to see their dielectric characteristics. There were ten compounds examined, five compounds for each phase. However, only compounds 4d and 4e were found to be mesogenic. Because of that, only intermediates 2d and 2e and compounds 4d and 4e were submitted to dielectric characteristic testing for a better comparison and understanding.
The dielectric constant and dielectric loss factors of each compound were measured over the frequency range of 100 Hz to 0.1 MHz at room temperature. The graphs of the dielectric constant versus frequency of compounds 2d and 4d and compounds 2e and 4e were matched and compared. This comparison aimed to show how that phase developed differently in dielectric properties after being combined with the substituted cyclotriphosphazene, which had already been altered in terms of the linearity of this azo-based compound.
Figure 12 shows the frequency dependence of the dielectric constant of 2d and 4d. According to the obtained results, the graph of the dielectric constant of 2d and 4d shows the dielectric constant was reduced against the increasing frequency. In particular, decreases in the dielectric constant were obvious between 100 and 1000 Hz. However, the difference between 2d and 4d was the value of the highest dielectric constant. 2d showed a high value of the dielectric constant compared to 4d. In 2d, the dielectric constant reached 20,000, whereas in 4d, the dielectric constant only reached 20–25. This also applied to the comparison between 2e and 4e (Figure 13), where 2e showed a high dielectric constant value that reached 1600 compared to 4e, whose value was only 35.
Figure 12.
Frequency dependence of the dielectric constant of 2d and 4d.
Figure 13.
Frequency dependence of the dielectric constant of 2e and 4e.
The result of the dielectric loss for compound 2d had a different behavior from compound 4d (Figure 14). The dielectric loss for compound 2d started to increase at the frequency of 100 Hz. However, after a certain climb value, the dielectric loss of 2d started to decrease gradually towards the 0.1 MHz frequency. While compound 4d’s dielectric loss followed the same pattern as the dielectric constant graph, the value of dielectric loss increasing with the decreasing frequency. For 2e and 4e, the dielectric loss showed the same pattern as the dielectric loss in 2d and 4d but was much lower in terms of value (Figure 15).
Figure 14.
Frequency dependence of the dielectric loss of 2d and 4d.
Figure 15.
Frequency dependence of the dielectric loss of 2e and 4e.
3.8. Structure–Properties Relationship in Dielectric Study
Liquid crystals’ distinct chemical structure, which differs from typical polymers, should be taken into consideration while analyzing the dielectric behavior of liquid crystals [46]. Each of the dielectric characteristics of the intermediates, 2d–e, and final compounds containing hexasubstituted cyclotriphosphazene, 4d–e, must be related to their structure properties. The trend graph for the dielectric constant in both comparisons 2d and 4d and 2e and 4e showed the dielectric constant was reduced against the increasing frequency. This result follows the studies reported in the literature, in which the dielectric constant decreases with the increasing frequency.
As is known, the alkyl group is non-polar. The existence of polar groups increases the dielectric constant, while non-polar groups does the reverse [23]. Because of that, compounds 2d and 2e showed the highest value in the dielectric constant compared to 4d and 4e. This was caused by 2d and 2e having only one alkyl group each, whereas 4d and 4e had six alkyl groups on the side arms. Moreover, 2d and 2e had NO2 in the compound, which is known as a polar group, while in 4d and 4e’s phases, NO2 had already been reduced to NH2 in intermediate 3a–e before being attached to hexasubstituted cyclotriphosphazene as NH. To sum up, compounds 2d and 2e had high dielectric constant values but low dielectric loss values, while compounds 4d and 4e had low values for both dielectric constant and loss.
After that, when all the values of the dielectric constant reading had been collected and the mean of the dielectric constant against samples were compared, it could be seen that the values of the mean dielectric constant for 2d were significantly higher and far from each other, compared to 4d (Figure S1). The mean dielectric constant values for 4d were very close to each other. This showed that the dielectric constant value of compound 4d was much more stable and had consistent readings when being measured. The phenomenon might be due to the polarization effect, which causes the dipole to increase as the frequency increases [24]. The mean dielectric constant against the sample for compounds 2e and 4e yielded the same results (Figure S2).
In the meantime, for the dielectric loss, when the mean dielectric loss against samples 2d and 4d was compared (Figure S3), and 2d also showed a high mean value compared to 4d’s mean dielectric loss. The mean dielectric loss readings for 4d were not far from each other, indicating that this 4d compound had a consistent reading in which the differences between the data points were not far from each other. However, the mean dielectric loss for 2d and 4d differed slightly from the result for 2e and 4e. The mean dielectric loss against samples for 2e and 4e (Figure S4) was almost the same if seen in terms of distance between readings. Nevertheless, the value of the mean dielectric loss for 2e was higher than that of 4e. We concluded that the low polarity and large molar volume of compounds 4d and 4e caused them to exhibit a low dielectric loss [47].
This implied that the dielectric properties of these mesogenic compounds were distinct from one another. Intermediates 2d and 2e had a high dielectric constant with a low dielectric loss, which is highly desired for advanced electrical applications such as film capacitors [48,49,50,51], artificial muscles [52,53,54,55], gate dielectric, and electrocaloric cooling [56,57]. Compounds 4d and 4e had low dielectric constants and losses and thus have greater potential for application in high-frequency signal transmission, mobile phone antennas, and other fields [58].
4. Conclusions
All the intermediates and final compounds with cyclotriphosphazene core system and side arms of azo-based compounds attached to different terminal lengths ere successfully synthesized and characterized. Only intermediates 2a–e having nitro and alkoxy substituents as terminal groups were mesogenic, showing a smectic A phase. On the other hand, for the final compounds, only two compounds, 4d and 4e, were mesogenic and showed a smectic C phase. For the dielectric study, only 2d–e and 4d–e were submitted to dielectric testing. Two comparisons of 2d and 4d and 2e and 4e were performed, and the results showed that 2d and 2e had high dielectric constant values but low dielectric losses. On the other hand, for compounds 4d and 4e, the hexasubstituted cyclotriphosphazene effect lowered both the dielectric constant and the dielectric loss. This implied that the dielectric properties of these mesogenic compounds were distinct from one another. Intermediates 2d and 2e had a high dielectric constant with a low dielectric loss, which is highly desired for advanced electrical applications such as film capacitors, artificial muscles, gate dielectric, and electrocaloric cooling. Compounds 4d and 4e had low dielectric constants and losses and thus have greater potential for application in high-frequency signal transmission, mobile phone antennas, and other fields.
Supplementary Materials
The following supporting information can be downloaded at: https://www.mdpi.com/article/10.3390/chemengineering8040071/s1, Figure S1. Mean dielectric constant against sample for 2d and 4d; Figure S2. Mean dielectric constant against sample for 2e and 4e; Figure S3. Mean dielectric loss against sample for 2d and 4d; Figure S4. Mean dielectric loss against sample for 2e and 4e.
Author Contributions
Conceptualization, Z.J. and M.Z.H.M.; methodology, Z.J. and S.H.; software, Z.J., M.Z.H.M. and S.H.; validation, Z.J., M.Z.H.M. and S.H.; formal analysis, S.H.; investigation, S.H.; resources, Z.J.; data curation, Z.J., M.Z.H.M. and S.H.; writing—original draft preparation, Z.J. and S.H.; writing—review and editing, Z.J. and S.H.; visualization, Z.J. and S.H.; supervision, Z.J. and M.Z.H.M.; project administration, Z.J.; funding acquisition, Z.J. All authors have read and agreed to the published version of the manuscript.
Funding
This research was funded by the Universiti Malaysia Sabah, grant number SGA0037-2019 and DKP0041.
Institutional Review Board Statement
Not applicable.
Data Availability Statement
The original contributions presented in the study are included in the article/supplementary material, further inquiries can be directed to the corresponding author.
Acknowledgments
The authors would like to thank the Universiti Malaysia Sabah (UMS) and Universiti Sains Malaysia (USM) for the lab facilities.
Conflicts of Interest
The authors declare no conflicts of interest.
References
- Allcock, H.R.; Kugel, R.L. Synthesis of high polymeric alkoxy-and aryloxyphosphonitriles. J. Am. Chem. Soc. 1965, 87, 4216–4217. [Google Scholar] [CrossRef]
- Allcock, H.R. Recent advances in phosphazene (phosphonitrilic) chemistry. Chem. Rev. 1972, 72, 315–356. [Google Scholar] [CrossRef]
- Davarci, D.; Doganci, S. Liquid Crystal Phosphazenes. J. Mol. Struc. 2022, 1269, 1–18. [Google Scholar] [CrossRef]
- Palabıyık, D.; Balcı, C.M.; Tümay, S.O.; Sengul, I.F.; Beşli, S. New design of cyclotriphosphazene derivatives bearing carbazole units: The syntheses, characterization, and photophysical properties. Inorganica Chim. Acta 2022, 539, 121022. [Google Scholar] [CrossRef]
- Elkhalgi, H.H.M.; Khandka, S.; Singh, U.B.; Pandey, K.L.; Dabrowski, R.; Dhar, R. Dielectric and electro-optical properties of a nematic liquid crystalline material with gold nanoparticles. Liq. Cryst. 2018, 45, 1795–1801. [Google Scholar] [CrossRef]
- Mohan, M.M.L.N. Investigations on dielectric relaxations, memory and thermistor applications in a liquid crystal nematogen. Liq. Cryst. 2023, 50, 210–217. [Google Scholar]
- Das, M.K.; Pramanik, A.; Das, B.; Szezuenski, L.; Dabrowski, R. A comparative study of the mesomorphic properties of fluoro-isothiocyanated and fluorinated terphenyl liquid crystals from birefringence, dielectric permittivity, splay elastic constant and rotational viscocity measurements. J. Phys. D Appl. Phys. 2012, 45, 415304. [Google Scholar] [CrossRef]
- Pramanik, A.; Das, B.; Das, M.K.; Garbat, K.; Urban, S.; Dabrowski, R. Mesomorphic. optical, dielectric, elastic and viscous properties of multicomponent isothiocyanato mixtures. Liq. Cryst. 2013, 40, 149–158. [Google Scholar] [CrossRef]
- Lee, M.-J.; Lee, W. Liquid crystal-based capacitive, electro-optical and dielectric biosensors for protein quantitation. Liq. Cryst. 2020, 47, 1145–1153. [Google Scholar] [CrossRef]
- Das Gupta, S.; Roy, S.K. Splay and bend elastic constants and rotational viscocity coefficient in a mixture of 4-4’-n-pentyl-cyanobiphenyl and 4-4’-n-decyl-cyanobiphenyl. Phys. Lett. A 2003, 306, 235–242. [Google Scholar] [CrossRef]
- Sharma, A.; Mishra, R.; Tripathi, P.K. The overview of dielectric properties of liquid crystals with the function of frequency and temperature. Int. J. Adv. Res. 2022, 10, 250–254. [Google Scholar] [CrossRef] [PubMed]
- Jamain, Z.; Khairuddean, M.; Kamaruddin, K.; Rui, Y. Synthesis, structural elucidation and mesophase behaviour of hexasubstituted cyclotriphosphazene molecules with amide linking unit. Malays. J. Chem. 2021, 23, 213–225. [Google Scholar]
- Alidaği, H.A.; Girgiç, Ö.M.; Zorlu, Y.; Hacivelioğlu, F.; Çelik, S.Ü.; Bozkurt, A.; Kiliç, A.; Yeȿilot, S. Synthesis and proton conductivity of azole-substituted cyclic and polymeric phosphazenes. Polymer 2013, 54, 2250–2256. [Google Scholar] [CrossRef]
- Inoue, K.; Yamauchi, T.; Itoh, T.; Ihara, E. Ionic conductivity of cross-linked polymethacrylate derivatives/cyclophosphazenes/ Li+ Salt Complexes. J. Inorg. Organomet. Polym. Mater. 2007, 17, 367–375. [Google Scholar] [CrossRef]
- Koran, K.; Özen, F.; Biryan, F.; Görgülü, A.O. Synthesis, structural characterization and dielectric behaviour of new oxime-cyclotriphosphazene derivatives. J. Mol. Struc. 2016, 1105, 135–141. [Google Scholar] [CrossRef]
- Kumbar, S.G.; Bhattacharyya, S.; Nukavarapu, S.P.; Khan, Y.M.; Nair, L.S.; Laurencin, C.T. In vitro and in vivo characterization of biodegradable poly(organophosphazenes) for biomedical applications. J. Inorg. Organomet. Polym. Mater. 2006, 16, 365–385. [Google Scholar] [CrossRef]
- Perkowski, P. The parasitic effects in high-frequency dielectric spectroscopy of liquid crystals—The review. Liq. Cryst. 2021, 48, 767–793. [Google Scholar] [CrossRef]
- Dotelli, G.; Galazzi, M.C.; Mari, C.M.; Greppi, F.; Montoneri, E.; Manueli, A. Polyalkylphosphazenes as solid proton conducting electrolytes. J. Mater. Sci. 2004, 39, 6937–6943. [Google Scholar] [CrossRef]
- Akbaş, H.; Karadağ, A.; Destegül, A.; Çakırlar, Ç.; Yerli, Y.; Tekin, K.C.; Malayoglu, U.; Kılıç, Z. Synthesis, and spectroscopic, thermal and dielectric properties of phosphazene based ionic liquids: OFET application and tribological behavior. New J. Chem. 2019, 43, 2098–2110. [Google Scholar] [CrossRef]
- Koran, K.; Özen, F.; Torğut, G.; Pıhtılı, G.; Çil, E.; Görgülü, A.O.; Arslan, M. Synthesis, characterization and dielectric properties of phosphazenes containing chalcones. Polyhedron 2014, 79, 213–220. [Google Scholar] [CrossRef]
- Usri, S.N.K.; Jamain, Z.; Makmud, M.Z.H. A review on Synthesis, Structural, Flame Retardancy and Dielectric Properties of Hexasubstituted Cyclotriphosphazene. Polymers 2021, 13, 2916. [Google Scholar] [CrossRef] [PubMed]
- Tao, J.; Jiao, L.; Deng, Y. Cellulose-and nanocellulose-based dielectric materials. Nanocellulose Based Composites for Electronics. In Micro and Nano Technologies, Nanocellulose Based Composites for Electronics; Elsevier: Amsterdam, The Netherlands, 2021; pp. 73–100. [Google Scholar]
- Koran, K.; Özen, F.; Biryan, F.; Demirelli, K.; Görgülü, A.O. Eu+3-doped chalcone substituted cyclotriphosphazenes: Synthesis, characterizations, thermal and dielectrical properties. Inorg. Chim. Acta 2016, 450, 162–169. [Google Scholar] [CrossRef]
- Koran, K.; Tekin, Ç.; Biryan, F.; Tekin, S.; Sandal, S.; Görgülü, A.O. Synthesis, structural and thermal characterizations, dielectric properties and in vitro cytotoxic activities of new 2,2,4,4-tetra(4′-oxy-substituted-chalcone)-6,6-diphenyl cyclotri-phosphazene derivatives. Med. Chem. Res. 2017, 26, 962–974. [Google Scholar] [CrossRef]
- Jamain, Z.; Khairuddean, M.; Guan-Seng, T. Synthesis of new star-shaped liquid crystalline cyclotriphosphazene derivatives with fire retardancy bearing amide-azo and azo-azo linking units. Int. J. Mol. Sci. 2020, 21, 4267. [Google Scholar] [CrossRef] [PubMed]
- Andrienko, D. Introduction to liquid crystals. J. Mol. Liq. 2018, 267, 520–541. [Google Scholar] [CrossRef]
- Moriya, K.; Masuda, T.; Suzuki, T.; Yano, S.; Kajiwara, M. Liquid crystalline phase transition in hexakis(4-(N-(4’-alkoxyphenyl)iminomethyl)phenoxy) cyclotriphosphazene. Mol. Cryst. Liq. Cryst. 2006, 318, 267–277. [Google Scholar] [CrossRef]
- Rong, Y.; Bo, W.; Xiaofeng, H.; Binbin, M.; Jinchun, L. Synthesis and characterisation of flame retardant rigid polyurethane foam based on a reactive flame retardant containing phosphazene and cyclotriphosphazene. Polym. Degrad. Stab. 2017, 144, 62–69. [Google Scholar]
- Pociecha, D.; Kardas, D.; Gorecka, E.; Szydlowska, J.; Mieczkowski, J.; Guillon, D. Modulated and intercalated smectic phases formed by dimeric molecules. J. Mater. Chem. 2003, 13, 34–37. [Google Scholar] [CrossRef]
- Zhang, B.Y.; Jia, Y.G.; Yao, D.S.; Dong, X.W. Preparation and properties of siloxane liquid crystalline elastomers with a mesogenic crosslinking agent. Liq. Cryst. 2010, 31, 339–345. [Google Scholar] [CrossRef]
- Jamain, Z.; Azman, A.N.A.; Razali, N.A.; Makmud, M.Z.H. A review on mesophase and physical properties of cyclotriphosphazene derivatives with Schiff base linkage. Crystals 2022, 12, 1174. [Google Scholar] [CrossRef]
- Darvaci, D. Liquid crystalline cyclotriphosphazene: Full substitute trimer derivatives with 12-carbon-chain mesogen moiety. CBU J. Sci. 2016, 12, 535–542. [Google Scholar]
- Jeong, M.J.; Park, J.H.; Lee, C.; Chang, J.Y. Discotic Liquid Hydrazone Compounds: Synthesis and Mesomorphic Properties. Org. Lett. 2006, 8, 2221–2224. [Google Scholar] [CrossRef] [PubMed]
- Jamain, Z.; Khairuddean, M. Synthesis and Mesophase behaviour of benzylidene-based molecules containing two azomethine units. J. Phys. Conf. Ser. 2021, 1882, 012120. [Google Scholar] [CrossRef]
- Soni, R.; Nakum, K.J.; Katariya, K.D.; Soman, S.S.; Nada, N.; Hagar, M. Synthesis, mesomorphic properties and DFT calculations of new coumarin Schiff base-ester liquid crystals. Liq. Cryst. 2023, 50, 636–651. [Google Scholar] [CrossRef]
- Shanker, G.; Srinatha, M.K.; Ocak, H. Effect of polar group on the 2,3,4-trihydroxy benzonitrile based liquid crystals trimers. Liq. Cryst. 2023, 50, 195–202. [Google Scholar] [CrossRef]
- Tomma, J.H. Synthesis and study the mesomorphic behaviour of some new 1,3,4-thiadiazoline derivatives. Liq. Cryst. 2023, 50, 998–1006. [Google Scholar] [CrossRef]
- Jamain, Z.; Habil, S.; Makmud, M.Z.H.; Khairuddean, M. Synthesis, Structural and Dielectric Characteristics of Liquid Crystalline Azo-Based Compounds with Different Terminal Length. In Proceedings of the 2021 IEEE International Conference on the Properties and Applications of Dielectric Materials (ICPADM), Johor Bahru, Malaysia, 12–14 July 2021; pp. 49–52. [Google Scholar]
- Wang, Q.; Chen, H.; Xing, H.; Deng, Y.; Luo, Z.-W.; Xie, H.-L. Long rod-like liquid crystal containing azobenzene and the applications in phase-transition regulation and orientation of nematic liquid crystal. Crystals 2021, 11, 418. [Google Scholar] [CrossRef]
- Jamain, Z.; Khairuddean, M.; Loh, M.L.; Manaff, N.L.A.; Makmud, M.Z.H. Synthesis and characterization of hexasubstituted cyclotriphosphazene derivatives with azo linking units. Malaysian. J. Chem. 2020, 22, 125–140. [Google Scholar]
- Aldahri, T.H.; Alaasar, M.; Ahmed, H.A. The influence of core fluorination on the phase behaviour of rod-like mesogens. Liq. Cryst. 2023, 50, 1059–1068. [Google Scholar] [CrossRef]
- Heeley, E.L.; Hughes, D.J.; El Aziz, Y.; Williamson, I.; Taylor, P.G.; Bassindale, A.R. Properties and self-assembled packing morphology of long alkyl-chained substituted polyhedral oligomeric silsesquioxanes (POSS) cages. Phys. Chem. Chem. Phys. 2013, 15, 5518–5529. [Google Scholar] [CrossRef]
- Jamain, Z.; Khairuddean, M.; Zulbaharen, N.N.; Chung, T.K. Synthesis, characterization and determination of mesophase transition of azo-azomethine derivatives with different terminal chain lengths. Malays. J. Chem. 2019, 21, 73–85. [Google Scholar]
- Lim, Y.W.C.; Ha, S.T.; Yeap, G.W.; Sastry, S.S. Synthesis and mesomorphic properties of new heterocyclic liquid crystals with central ester-chalcone linkages. J. Taibah Univ. Sci. 2017, 11, 133–140. [Google Scholar] [CrossRef]
- Zieja, P.; Tykarska, M.; Morawiak, P.; Piecek, W. Influence of the molecular structure of calamitic compounds with trifluoromethoxy terminal group on the induction of the smectic a phase. Part I. Liq. Cryst. 2023, 50, 363–378. [Google Scholar] [CrossRef]
- Vaupotič, N.; Pociecha, D.; Rybak, P.; Matraszek, J.; Čepič, M.; Wolska, J.M.; Gorecka, E. Dielectric response of a ferroelectric nematic liquid crystalline phase in thin cells. Liq. Cryst. 2023, 50, 584–595. [Google Scholar] [CrossRef]
- Krishnadevi, K.; Grace, A.N.; Alagar, M.; Selvaraj, V. Development of hexa (aminophenyl)cyclotriphosphazene-modified cyanate ester composites for high-temperature applications. High. Perform. Polym. 2013, 26, 89–96. [Google Scholar] [CrossRef]
- Sarjeant, W.J.; Clelland, I.W.; Price, R.A. Capacitive components for power electronics. Proc. IEEE 2001, 89, 846–855. [Google Scholar] [CrossRef]
- Sarjeant, W.J.; Zirnheld, J.; MacDougall, F.W. Capacitors. IEEE Trans. Plasm. Sci. 1998, 26, 1368–1392. [Google Scholar] [CrossRef]
- Tan, Q.; Irwin, P.; Cao, Y. Advance dielectrics for capacitors. IEEJ Trans. Fundam. Mater. 2006, 126, 1153–1159. [Google Scholar] [CrossRef]
- Zhu, L.; Wang, Q. Novel ferroelectric polymers for high energy density and low loss dielectrics. Micromolecules 2012, 45, 2937–2954. [Google Scholar] [CrossRef]
- Zhang, Q.M.; Huang, C.; Xia, F.; Su, J. Electric EAP. In Electroactive Polymer (EAP) Actuators as Artificial Muscles: Reality, Potential and Challenges, 2nd ed.; Bar-Cohen, Y., Ed.; SPIE Press: Bellingham, WA, USA, 2014; Volume 136, pp. 89–139. [Google Scholar]
- Carpi, F.; De Rossi, D.R.; Kornbluh, R.; Pelrine, R.; Sommer-Larsen, P. Dielectric Elastomers as Electromechanical Transducers: Fundamentals Materials Device Models and Application of an Emerging Electroactive Polymer Technology; Elsevier: Boston, MA, USA, 2008. [Google Scholar]
- Brochu, P.; Pei, Q. Advances in dielectric elastomers for actuators and artificial muscles. Macromol. Rapid Commun. 2010, 31, 10–36. [Google Scholar] [CrossRef]
- Pelrine, R.; Kornbluh, R.; Joseph, J.; Heydt, R.; Pei, Q.B.; Chiba, S. High-field deformation of elastomeric dielectrics for actuators. Mater. Sci. Eng. 2000, 11, 89–100. [Google Scholar] [CrossRef]
- Neese, B.; Chu, B.; Lu, S.G.; Wang, Y.; Furman, E.; Zhang, Q.M. Large electrocaloric effect in ferroelectric temperature. Science 2008, 321, 821–823. [Google Scholar] [CrossRef] [PubMed]
- Lu, S.G.; Zhang, Q. Electrocaloric materials for solid-state refrigeration. Adv. Mater. 2009, 21, 1983–1987. [Google Scholar]
- Liu, Y.; Zhao, X.-Y.; Sun, Y.-G.; Li, W.-Z.; Zhang, X.-S.; Luan, J. Synthesis and applications of low dielectric polyimide. Resour. Chem. Mater. 2023, 2, 49–62. [Google Scholar] [CrossRef]
Disclaimer/Publisher’s Note: The statements, opinions and data contained in all publications are solely those of the individual author(s) and contributor(s) and not of MDPI and/or the editor(s). MDPI and/or the editor(s) disclaim responsibility for any injury to people or property resulting from any ideas, methods, instructions or products referred to in the content. |
© 2024 by the authors. Licensee MDPI, Basel, Switzerland. This article is an open access article distributed under the terms and conditions of the Creative Commons Attribution (CC BY) license (https://creativecommons.org/licenses/by/4.0/).















