Photocatalytic Degradation of a Systemic Herbicide: Picloram from Aqueous Solution Using Titanium Oxide (TiO2) under Sunlight
Abstract
:1. Introduction
2. Experimental Section
2.1. Chemicals and Materials
2.2. Photocatalytic Degradation of Picloram
3. Results
3.1. The Changes of UV-Vis Spectra
3.2. Influence of TiO2 Dosage
3.3. Influence of pH
3.4. Influence of Intensity of Light
3.5. Influence of Temperature
3.6. Influence of Irradiation Time
3.7. Kinetics
3.8. Mineralization
3.9. Identification of Photoproducts and Photocatalytic Degradation Mechanism
4. Conclusions
Supplementary Materials
Author Contributions
Funding
Acknowledgments
Conflicts of Interest
References
- Ghauch, A. Degradation of Benomyl, Picloram, and Dicamba in a Conical Apparatus by Zero-Valent Iron Powder. Chemosphere 2001, 43, 1109–1117. [Google Scholar] [CrossRef]
- Rahman, M.A.; Muneer, M. Heterogeneous Photocatalytic Degradation of Picloram, Dicamba, and Floumeturon in Aqueous Suspensions of Titanium Dioxide. J. Environ. Sci. Health 2005, 40, 247–267. [Google Scholar] [CrossRef] [PubMed]
- Ozcan, A.; Sahin, Y.; Koparal, A.S.; Oturan, M.A. Degradation of Picloram by the Electro-Fenton Process. J. Hazard. Mater. 2008, 153, 718–727. [Google Scholar] [CrossRef] [PubMed]
- Sadowsky, M.J.; Koskinen, W.C.; Bischoff, M.; Barber, B.L.; Becker, J.M.; Turco, R.F. Rapid and Complete Degradation of the Herbicide Picloram by Lipomyces Kononenkoae. Agric. Food Chem. 2009, 57, 11. [Google Scholar] [CrossRef] [PubMed]
- Wells, M.J.M.; Yu, L.Z. Solid-Phase Extraction of Acidic Herbicides. J. Chromatogr. A 2000, 885, 237–250. [Google Scholar] [CrossRef]
- Pereira, G.F.; Rocha-Filho, R.C.; Bocchi, N.; Biaggio, S.R. Electrochemical Degradation of the Herbicide Picloram Using a Filter-Press Flow Reactor with a Boron-doped Diamond or β-PbO2 Anode. Electrochimica Acta 2015, 179, 588–598. [Google Scholar] [CrossRef]
- Burns, C.J.; Swaen, G.M.H. Review of 2,4-dichlorophenoxyacetic acid (2,4-D) biomonitoring and epidemiology. Crit. Rev. Toxicol. 2012, 42, 768–786. [Google Scholar] [CrossRef] [Green Version]
- Tu, M.; Hurd, C.; Randall, J.M. Weed Control Methods Handbook: Tools & Techniques for Use in Natural Areas; The Nature Conservancy: Arlington, VA, USA, 2001; Chapter 7. [Google Scholar]
- Passos, A.B.R.J.; Souza, M.F.; Silva, D.V.; Saraiva, D.T.; Silva, A.A.; Zanuncio, J.C.; Gonçalves, B.F.S. Persistence of Picloram in Soil with Different Vegetation Managements. Environ. Sci. Pollut. Res. 2018, 25, 23986–23991. [Google Scholar] [CrossRef]
- Teixeira, S.C.G.; Canela, M.C. Degradation of Padron® by Photochemical Processes Using Artificial and Sunlight Radiation. Quim. Nova. 2007, 30, 1830–1834. [Google Scholar] [CrossRef] [Green Version]
- Pratap, K.; Lemley, A.T. Electrochemical Peroxide Treatment of Aqueous Herbicide Solutions. J. Agric. Food Chem. 1994, 42, 209–215. [Google Scholar] [CrossRef]
- Chamberlain, E.; Shi, H.; Wang, T.; Ma, Y.; Fulmer, A.; Adams, C. Comprehensive Screening Study of Pesticide Degradation via Oxidation and Hydrolysis. J. Agric. Food Chem. 2012, 60, 354–363. [Google Scholar] [CrossRef]
- Vranjes, M.; Saponjic, Z.V.; Zivkovic, L.S.; Despotovic, V.N.; Sojic, D.V.; Abramovic, B.F.; Comor, M.I. Elongated Titania Nanostructures as Efficient Photocatalysts for Degradation of Selected Herbicides. Appl. Catal. B 2014, 589, 160–161. [Google Scholar] [CrossRef]
- Reinhold, D.; Vishwanathan, S.; Park, J.J.; Oh, D.; Saunders, F.M. Assessment of Plant-Driven Removal of Emerging Organic Pollutants by Duckweed. Chemosphere 2010, 80, 687–692. [Google Scholar] [CrossRef] [PubMed]
- Ordaz-Guillén, Y.; Galíndez-Mayer, C.J.; Ruiz-Ordaz, N.; Juárez-Rameirez, C.; Santoyo-Tepole, F.; Ramos-Monroy, O. Evaluating the Degradation of the Herbicides Picloram and 2,4-D in a Compartmentalized Reactive Biobarrier with Internal Liquid Recirculation. Environ. Sci. Pollut. Res. 2014, 21, 8765–8773. [Google Scholar] [CrossRef]
- Yang, J.K.; Lee, S.M. Removal of Cr(VI) and Humic Acid by Using TiO2 Photocatalysis. Chemosphere 2006, 63, 1677–1684. [Google Scholar] [CrossRef]
- Islam, J.B.; Furukawa, M.; Tateishi, I.; Katsumata, H.; Kaneco, S. Photocatalytic Reduction of Hexavalent Chromium with Nanosized TiO2 in Presence of Formic Acid. ChemEngineering 2019, 3, 33. [Google Scholar] [CrossRef] [Green Version]
- Qi, H.; Wang, S.; Liu, H.; Gao, Y.; Wang, T.; Huang, Y. Synthesis of an Organic–Inorganic Polypyrrole/Titanium(IV) Biphosphate Hybrid for Cr(VI) Removal. J. Mol. Liq. 2016, 215, 402–409. [Google Scholar] [CrossRef]
- Joubani, M.N.; Siboni, M.S.; Yang, J.K.; Gholami, M.; Farzadkia, M. Photocatalytic Reduction of Hexavalent Chromium with Illuminated ZnO/TiO2 Composite. J. Ind. Eng. Chem. 2015, 22, 317–323. [Google Scholar] [CrossRef]
- Islam, J.B.; Furukawa, M.; Tateishi, I.; Katsumata, H.; Kaneco, S. Formic Acid Motivated Photocatalytic Reduction of Cr(VI) to Cr(III) with ZnFe2O4 Nanoparticles Under UV Irradiation. Environ. Technol. 2020. [Google Scholar] [CrossRef]
- Chu, D.W.; Masuda, Y.; Ohji, T.; Kato, K. Formation and Photocatalytic Application of ZnO Nanotubes Using Aqueous Solution. Langmuir 2010, 26, 2811–2815. [Google Scholar] [CrossRef]
- Samad, A.; Ahsan, S.; Tateshi, I.; Furukawa, M.; Katsumata, H.; Suzuki, T.; Kaneco, S. Indirect Photocatalytic Reduction of Arsenate to Arsenite in Aqueous Solution with TiO2 in the Presence of Hole Scavengers. Chin. J. Chem. Eng. 2018, 26, 529–533. [Google Scholar] [CrossRef]
- Islam, J.B.; Furukawa, M.; Tateishi, I.; Kawakami, S.; Katsumata, H.; Kaneco, S. Enhanced Photocatalytic Reduction of Toxic Cr(VI) with Cu Modified ZnO Nanoparticles in Presence of EDTA Under UV Illumination. SN Appl. Sci. 2019, 1, 1240–1250. [Google Scholar] [CrossRef] [Green Version]
- Lee, D.J.; Senseman, S.A.; Sciumbato, A.S.; Jung, S.C.; Krutz, L.J. The effect of Titanium Dioxide alumina Beads on the Photocatalytic Degradation of Picloram in Water. J. Agric. Food Chem. 2003, 51, 2659–2664. [Google Scholar] [CrossRef] [PubMed]
- Abramovic, B.; Sojic, D.; Despotovic, V.; Vione, D.; Pazzi, M.; Csanadi, J. A Comparative Study of the Activity of TiO2 Wackherr and Degussa P25 in the Photocatalytic Degradation of Picloram. Appl. Catal. B 2011, 105, 191–198. [Google Scholar] [CrossRef] [Green Version]
- Aramendía, M.A.; Colmenares, J.C.; López-Fernández, S.; Marinas, A.; Marinas, J.M.; Moreno, J.M.; Urbano, F.J. Photocatalytic Degradation of Chlorinated Pyridines in Titania Aqueous Suspensions. Catal. Today 2008, 138, 110–116. [Google Scholar] [CrossRef]
- Islam, J.B.; Furukawa, M.; Tateishi, I.; Katsumata, H.; Kaneco, S. Photocatalytic Degradation of a Typical Neonicotinoid Insecticide: Nitenpyrum by ZnO Nanoparticles under Solar Irradiation. Environ. Sci. Pollut. Res. 2020, 27, 20446–20456. [Google Scholar] [CrossRef]
- Coleman, H.M.; Vimonses, V.; Leslie, G.; Amal, R. Degradation of 1, 4-Dioxane in Water Using TiO2 Based Photocatalytic and H2O2/UV Processes. J. Hazard. Mater. 2007, 146, 496–501. [Google Scholar] [CrossRef] [PubMed]
- Molla, M.A.I.; Furukawa, M.; Tateishi, I.; Katsumata, H.; Kaneco, S. Mineralization of Diazinon with Nanosized-Photocatalyst TiO2 in Water under Sunlight Irradiation: Optimization of Degradation Conditions and Reaction Pathway. Environ. Technol. 2019. [Google Scholar] [CrossRef]
- Molla, M.A.I.; Furukawa, M.; Tateishi, I.; Katsumata, H.; Kaneco, S. Solar Photocatalytic Decomposition of Probenazole in Water with TiO2 in the Presence of H2O2. Energy Source Part. A 2018, 40, 2432–2441. [Google Scholar] [CrossRef]
- Gnanaprakasam, A.; Sivakumar, V.M.; Thirumarimurugan, M. Influencing Parameters in the Photocatalytic Degradation of Organic Effluent via Nanometal Oxide Catalyst: A Review. Indian J. Eng. Mater. Sci. 2015, 601827. [Google Scholar] [CrossRef]
- Islam, J.B.; Furukawa, M.; Tateishi, I.; Katsumata, H.; Kaneco, S. Photocatalytic Degradation of a Typical Agricultural Chemical: Metalaxyl in Water using TiO2 under Solar Irradiation. SN Appl. Sci. 2020, 2, 925. [Google Scholar] [CrossRef]
- Kumar, A.; Pandey, G. The photocatalytic Degradation of Methyl Green in Presence of Visible Light with Photoactive Ni 0.10: La 0.05: TiO2 Nanocomposites. IOSR-JAC 2017, 10, 31–44. [Google Scholar] [CrossRef]
- Turchi, C.S.; Ollis, D.E. Photocatalytic Degradation of Organic Water Contaminants: Mechanisms Involving Hydroxyl Radical Attack. J. Catal. 1990, 122, 178–192. [Google Scholar] [CrossRef]
- Fotiou, T.; Triantis, T.; Kaloudis, T.; Hiskia, A. Photocatalytic Degradation of Cylindrospermopsin under UV-A, Solar and Visible Light using TiO2. Mineralization and Intermediate Products. Chemosphere 2015, 119, 89–94. [Google Scholar] [CrossRef] [PubMed]
- Zhao, C.; Pelaez, M.; Dionysiou, D.D.; Pillai, S.C.; Byrne, J.A.; O’Shea, K.E. UV and Visible Light Activated TiO2 Photocatalysis of 6-Hydroxymethyl Uracil, A Model Compound for the Potent Cyanotoxin Cylindrospermopsin. Catal. Today 2014, 224, 70–76. [Google Scholar] [CrossRef] [Green Version]
- Antoniou, M.G.; Zhao, C.; O’Shea, K.E.; Zhang, G.; Dionysiou, D.D.; Zhao, C.; Han, C.; Nadagouda, M.N.; Choi, H.; Fotiou, T.; et al. Chapter 1: Photocatalytic Degradation of Organic Contaminants in Water: Process Optimization and Degradation Pathways. In Photocatalysis: Applications; RSC Energy and Environment Series No. 15; Royal Society of Chemistry Publishing: Cambridge, UK, 2016; pp. 1–34. [Google Scholar] [CrossRef]










| Capillary column | CP-Sil 8 CB (φ = 0.25 mm × 30 m) |
| Column temperature program | 50 °C (1 min) ⇒ up 15 °C/min ⇒ 280 °C (10 min) |
| Injector temperature | 280 °C |
| Interface temperature | 280 °C |
| Carrier gas | He (99.9%), 81.6 mL/min |
| Ionization | Electron- impact (EI) mode |
| Injected volume | 1 μL |
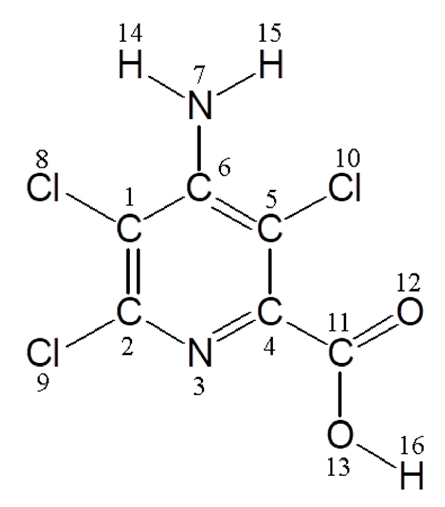
| Atom | Frontier Electron Density (FED) | Point Charge (PC) | Atom | Frontier Electron Density (FED) | Point Charge (PC) |
|---|---|---|---|---|---|
| N(1) | 0.149 | −0.128 | Cl(9) | 0.032 | 0.049 |
| C(2) | 0.261 | 0.023 | Cl(10) | 0.077 | 0.024 |
| C(3) | 0.351 | −0.126 | C(11) | 0.044 | 0.357 |
| C(4) | 0.117 | 0.155 | O(12) | 0.047 | −0.338 |
| C(5) | 0.349 | −0.153 | O(13) | 0.010 | −0.259 |
| C(6) | 0.169 | 0.047 | H(14) | 0 | 0.258 |
| N(7) | 0.335 | −0.418 | H(15) | 0 | 0.259 |
| Cl(8) | 0.059 | 0.005 | H(16) | 0 | 0.245 |
Publisher’s Note: MDPI stays neutral with regard to jurisdictional claims in published maps and institutional affiliations. |
© 2020 by the authors. Licensee MDPI, Basel, Switzerland. This article is an open access article distributed under the terms and conditions of the Creative Commons Attribution (CC BY) license (http://creativecommons.org/licenses/by/4.0/).
Share and Cite
Islam, M.R.; Islam, J.B.; Furukawa, M.; Tateishi, I.; Katsumata, H.; Kaneco, S. Photocatalytic Degradation of a Systemic Herbicide: Picloram from Aqueous Solution Using Titanium Oxide (TiO2) under Sunlight. ChemEngineering 2020, 4, 58. https://doi.org/10.3390/chemengineering4040058
Islam MR, Islam JB, Furukawa M, Tateishi I, Katsumata H, Kaneco S. Photocatalytic Degradation of a Systemic Herbicide: Picloram from Aqueous Solution Using Titanium Oxide (TiO2) under Sunlight. ChemEngineering. 2020; 4(4):58. https://doi.org/10.3390/chemengineering4040058
Chicago/Turabian StyleIslam, Md. Rakibul, Jahida Binte Islam, Mai Furukawa, Ikki Tateishi, Hideyuki Katsumata, and Satoshi Kaneco. 2020. "Photocatalytic Degradation of a Systemic Herbicide: Picloram from Aqueous Solution Using Titanium Oxide (TiO2) under Sunlight" ChemEngineering 4, no. 4: 58. https://doi.org/10.3390/chemengineering4040058
APA StyleIslam, M. R., Islam, J. B., Furukawa, M., Tateishi, I., Katsumata, H., & Kaneco, S. (2020). Photocatalytic Degradation of a Systemic Herbicide: Picloram from Aqueous Solution Using Titanium Oxide (TiO2) under Sunlight. ChemEngineering, 4(4), 58. https://doi.org/10.3390/chemengineering4040058

