Abstract
The conventional wastewater treatments are inadequate for emerging contaminants detoxification. Photocatalytic ozonation with suitable catalyst can be considered as a suitable solution on the removal of these compounds. The aim of this study was to verify the effect of Ag, Pd and Pt with different loadings (0.1, 0.5 and 1% wt %) onto TiO2 surface for the degradation of a mixture of parabens (methyl, ethyl, propyl, butyl and benzyl) through photocatalytic ozonation. Chemical oxygen demand (COD) and total organic carbon (TOC) was also analyzed after treatments, as well as the effect of the treatment on the samples toxicity over different species, including bacteria, clams and plants. The effect of metal loading on the parabens degradation; COD and TOC removal is very dependent upon the type of noble metal used. This can be related with the different pathways influenced by the metal load. On the one hand, it can be related with the reduction of electron–hole recombination phenomenon, and, on the other hand, the trapping of electrons by the metals reduces the amount of ozonide and hydroxyl radicals produced. In terms of toxicity, apparently the best results were achieved with the intermediate noble metal load. However, the effect of noble metal load must be analyzed case to case.
1. Introduction
The conventional municipal wastewater treatments seem to be inefficient regarding the degradation of some specific compounds [1]. The so called emerging contaminants encompass compounds usually used on pharmaceuticals and personal care products and are progressively appearing on natural aquatic resources and on the wastewater treatment plants [1]. Among these pollutants are the parabens. The parabens are widely used as preservatives and are antimicrobial, mainly in pharmaceutical and personal care products [2]. However, some studies point out that these compounds present carcinogenic potential [3]. Thus, their presence in rivers and wastewater treatment plants may constitute a problem of human health [2]. Bearing in mind the low efficiency of the traditional municipal wastewater treatment processes on the degradation of these compounds, scientific efforts have been made to find a suitable solution to their degradation [4,5]. In this way, advanced oxidation processes (AOPs) appear as promising technologies.
Ozone is a powerful oxidant, with a high potential oxidation (Eo = 2.07 V), greater than oxygen and hydrogen peroxide, that can oxidize a large amount of organic compounds with high electronic density, such as aromatic compounds [6]. Heterogeneous catalysis tends to be helpful with improving wastewater treatment by ozonation [6]. The presence of heterogeneous catalysts on ozonation can enhance the production of hydroxyl radicals due to the decomposition of ozone onto the surface of catalysts [7]. Besides the hydroxyl radical production, the organic contaminants can adsorb on the catalyst surface, which can suffer an attack by ozone dissolved in bulk, or ozone and organic contaminants can adsorb on the catalyst surface followed by surface chemical reactions [7]. The higher potential of oxidation of hydroxyl radicals (Eo = 2.80 V) and their low specificity allows reactions with a wider range of organic and inorganic substances. Thus, hydroxyl radicals may improve the mineralization degree achieved by ozonation. In fact, molecular ozone reactions can be a source of refractory by-products no longer reactive with ozone, leading to low mineralization levels [7]. The choice of a suitable catalyst can be an important factor for the catalytic ozonation performance. This choice can also be influenced by the use of UV-radiation for aiding ozone action.
Titanium dioxide is the most commonly used photocatalyst, due to low cost, easy handling and good optical and electronic properties [8]. The photocatalytic ozonation using TiO2 under LED irradiation was used for removal micropollutants from urban wastewater with high efficiency [9]. The band gap is 3.2 eV for anatase TiO2 (λ < 387 nm), therefore, for exciting an electron from the valence band to the conduction band, UV-light is required [10]. This electron transfer generates a positive hole on the valence band of TiO2, usually a denominated photogenerated hole. This mechanism can be seen in Equation (1):
TiO2 + hυ → h+VB + e−CB
The band gap of TiO2 can be reduced using metal (such as, Ag, Au, Pd and Pt) or non-metal (such as N and B) dopants, which allows the production of TiO2 photogenerated electrons and holes using lower energy, such as solar irradiation [10,11,12].
The presence of ozone on photocatalytic experiments with these kinds of catalysts (semicondutors) can enhance the photogeneration of electron–hole pairs because ozone adsorbed on TiO2 surface works as an electron acceptor producing ozonide radicals (O3•−) Equation (2) [13,14]:
O3(ads) + e−CB → O3•−
Moreover, as can be seen in Equation (3), noble metals on the surface of titanium dioxide may work as scavengers of photogenerated electrons (e−SC) [15]. These two situations can reduce the recombination phenomenon of electron–hole pairs [16,17]:
e−CB → e−SC
On the other hand, the water adsorbed on the catalyst surface can react with the photogenerated holes (h+VB) to produce hydroxyl radicals (•OH) Equation (4) [8,10]. The ozonide radical at acidic conditions can also enhance the production of hydroxyl radicals [18]. In addition, these organic contaminants (such as parabens) adsorbed on catalysts can be oxidized on the photogenerated holes Equation (5) [17]:
H2O(ads) + h+VB → •OH
Contaminants(ads) + h+VB → Contaminants+
Photocatalytic ozonation has been used for the degradation of emerging contaminants. The degradation of ibuprofen using photocatalytic ozonation under visible light irradiation with the catalyst WO3 was studied and verified total removal in less than 20 min [19]. The effect of Pt loading onto TiO2 surface was studied for the oxidation of formaldehyde and the 0.6 wt % loading showed the highest dispersion of the dopant over the surface of the catalyst [20]. An increase of Ag loading onto TiO2 surface can block the UV-light thus affecting the photocatalytic activity and for Ag loading of 1.6 wt % the photogenerated hole trapping effect was negligible. Moreover, an increase of Ag loading can increase the photogenerated electron scavenging [21]. The effect of doped TiO2 at 0.5 wt % loading (Ag, Au, Pd and Pt) and pure TiO2 was compared on the mixture of parabens degradation using UVA radiation coupled with ozone [22]. Thus, the effect of metal loading onto TiO2 must be carefully analyzed. The photodegradation using Ag3PO4 under simulated solar radiation to promote the degradation of ethyl paraben was studied taking into account pH, initial parabens concentration, catalyst concentration and water matrix [23]. The photocatalytic degradation of paracetamol promoted by TiO2 can be influenced by different features of catalysts such as surface acidity [24].
Bearing this in mind, the aim of the present study is to verify the effect of noble metal loading onto TiO2 surface over the efficiency of photocatalytic ozonation of a mixture of five parabens, methylparaben (MP), ethylparaben (EP), propylparaben (PP), butylparaben (BuP) and benzylparaben (BeP). For this purpose, the noble metals Ag, Pd and Pt, at loadings of 0.1, 0.5 and 1 wt %, doped onto TiO2 were tested using ozone and UV-A irradiation. In order to understand photocatalytic ozonation promoting the mineralization, chemical oxygen demand (COD) and total organic carbon (TOC) were analyzed. Furthermore, the parabens are toxic compounds, so another goal of this work is to verify the ecological impact of raw and treated solutions. For this, the toxicity assessment over three different species Vibrio fischeri, Corbicula fluminea and Lepidium sativum was performed. The results achieved with the loading of 0.5 wt % onto TiO2 were obtained from a previous work [22]. The present study allows for understanding that the increase of noble metals load does not necessarily mean an increase in the parabens degradation, TOC and COD removal efficiency. This analysis is important due to the compromise between efficiency and cost of doped catalysts. The increase in noble metal load over titanium dioxide surface can promote a significant impact in terms of investment cost, which is not probably followed by an increase in the efficiency of the process. Moreover, to the best of our knowledge, no studies have been made for analysis of the effect of different loads of noble metals on parabens degradation through the photocatalytic ozonation process. In addition, this work also takes into account the effect of the different loadings over toxicity reduction. This analysis was performed taking into account the possibility of leading to wastewater reuse. Thus, the impact over different species (plant, clam, bacteria) gives a broader overview about the potential of real application of this methodology to remove emerging contaminants aiming water reuse.
2. Material and Methods
2.1. Chemical and Catalyst Preparation
Methylparaben (MP), ethylparaben (EP), propylparaben (PP), and benzylparaben (BeP) were obtained from Sigma-Aldrich (Poland). Butylparaben (BuP) was purchased from Fluka (Poland). The initial amount of each paraben used was 10 mg/L. Titanium (IV) isopropoxide (TIP) was purchased from Aldrich Chem (Poland) and was used as TiO2 precursor. Anatase titanium dioxide nanoparticles were prepared by hydrolysis reaction of TIP with water. The photo-deposition method using UV-reduction of Pt4+, Pd2+ and Ag+ ions in the titanium dioxide suspension was applied to prepare Pt-TiO2, Pd-TiO2 and Ag-TiO2. A solution of isopropanol (70 mL) containing H2PtCl6 or PdCl2 (0.1, 0.5 and 1 wt %) and a solution of ethanol (70 mL) containing AgNO3 (0.1, 0.5 and 1 wt %) were sonicated with 2 g of titanium dioxide nanoparticles during 10 min. Then, these solutions were stirred in the dark for 2 h and were degassed with nitrogen and irradiated by UV-Vis light (1000 W Xe lamp) for 6 h and for 100 min, respectively. Afterwards, the solids were separated by centrifugation and dried at 65–120 °C for 12 h. The temperatures used to dry the catalysts do not modify their properties. This procedure was only to remove the humidity from the porous [25].
2.2. Experimental Procedure
The photocatalytic ozonation experiments were carried out in a 2 L glass photoreactor with 3 lamps (Philips TL 6 W BLB) with the main emissions at 365 nm (UV-A irradiation), at controlled temperature (25 ± 1 °C) by a thermostatic bath. The photon flux was obtained using ferrioxalate actinometer [22] and was calculated at 5.75 × 10−7 einstein/Ls. In order to reduce the effect of external sunlight exposure, the photoreactor was covered with aluminum foil, since these photocatalysts are very sunlight sensitive. To test the adsorption capacity of catalyst, this was placed in the reactor with the solution of parabens 5 min before ozone being fed and turning on the light irradiation. The stirring speed was previously optimized at 700 rpm to ensure chemical regime [6]. Along the reaction, samples were withdrawn and immediately centrifuged at 3500 rpm (Nahita 2655 Centrifuge) to remove the catalyst for analysis. It was guaranteed that the volume removed did not exceed 10% of total reaction volume. The ozone was produced (802 N, BMT) from pure oxygen stream (99.9%) and the inlet ([O3]in) and outlet ([O3]out) ozone concentration was measured by ozone analyzers (BMT 963 and 964 vent, BMT), for determination of transferred ozone dose (TOD) according to Equation (6):
where QGas represents the gas flow rate (0.2 L/min), VLiquid the volume of the effluent (2 L). The TOD was expressed in mg O3/L. The remaining ozone that left the reactor was trapped by potassium iodide solution.
2.3. Analytical Methods
The analysis of structure, elemental characterization and metal dispersion on catalyst surface were performed using Scanning Electron Microscopy (SEM) with a TESCAN VEGA 3 SBH Easy Probe (Brno, Czech Republic) equipped with Energy dispersive X-Ray analysis (EDS) with a Bruker QUANTAX system that includes the Bruker Nano XFlash® detector. The EDS analysis was performed for randomly points selected from SEM analysis, and was carried out using an accelerating potential of 20 kV. Energy-Channel calibration was used with a copper standard (Kα 8.0463 keV).The crystalline structure of the catalysts powders was evaluated by X-Ray diffraction (XRD) analysis, through a diffractometer (Bruker D8 Advance). The diffractometer works with Cu Kα radiation (2.2 kW ceramic tube). X-ray photoelectron spectroscopy (XPS) analysis of 0.1 wt % of Pt-TiO2 was carried out with a Kratos AXIS Ultra spectrometer using monochromatic Al Kα XRays (1486.6 eV). The 150 W was set for anode power and the hemispherical electron energy analyzer was operated at a pass energy of 20 eV. The measurements were performed with a charge neutralizer. The identification of XPS spectra was performed with Shirley algorithm and the adventitious carbon main peak (C 1s, 284.8 eV) for a final calibration of each spectrum was used. The determination of each paraben concentration was made through High-performance liquid chromatography HPLC (UFLC, Shimadzu, Tokyo, Japan). The detection occurred at 255 nm, with a C18 (SiliaChrom) column at 40 °C. The injection volume of samples was 20 µL and the mobile phase (0.5 mL/min) consisted in a mixture of 50:50 methanol: acidic water (0.1% orthophosphoric acid). The TOC for initial and after treatments solutions was determined using a TOC analyser (TOC-V CPN model, Shimadzu, Tokyo, Japan) coupled to an autosampler (model V-ASI, Shimadzu, Tokyo, Japan). COD was measured according to the standard method 5220D [26] using a calibration curve obtained for potassium hydrogen phthalate (Panreac). The samples absorbance was measured at 445 nm (WTW photolab S6 photometer, WTW, Weilheim, Germany) after 2 h of digestion at 150 °C (ECO25—Velp Scientifica, Usmate, Italy). The evaluation of thermal resistance of different catalyst was made by thermogravimetric analysis (TGA). The SDT Q600 (TA Instruments, New Castle, DE, USA) was used with a heating rate of 10 °C/min from a temperature of 25 to 600 °C. pH was determined using a Crison micropH 2002 apparatus.
2.4. Toxicity Assessment
The luminescence inhibition for V. fischeri marine bacteria was determined for initial mixture of parabens and for treated solutions using a LUMIStox 300 apparatus from Dr. Lange. The bacteria luminescence after 15 min and 30 min of incubation with blank (NaCl solution of 2%) was compared with the one obtained when V. fischeri were in contact with the samples.
C. fluminea individuals with shell length in the range 20–30 mm were collected from a canal in Mira, Portugal (N 40°25′06.90″/W 8°44′13.18″) where the population is well established. Mortality tests were performed in duplicate for treated samples after 120 min of contact with photocatalytic ozonation and compared with a blank control (dechlorinated water). The effluents were dosed after 24 h acclimation period in a ratio of effluent volume to clams number of 1:20. The test occurred at constant temperature (20 ± 2 °C), under a cycle of 16 h Light and 8 h Dark with continuous aeration. The mortality of clams was assessed every 24 h based on the resistance to valve opening when forced with a blunt dissection needle or by siphoning activity evidence [27]. These tests had the duration of 72 h. The number of L. sativum germinated seeds and the radicle growth were measured to calculate the Germination index (GI) [28]. As can be seen in Equation (7), the GI results from the product between relative seed germinated (RSG) and relative radicle growth (RRG). Seeds were placed on Petri dishes in contact with sample volume of 5 mL. The number of seeds germinated and radicle growth in contact with treated samples and blank were recorded, and the GI was calculated for each one. The Trautmann and Krasny criteria based on GI was used for sample phytotoxic classification [28]:
pH of the samples was corrected to 7.0 ± 0.5 before toxicity assessment tests.
3. Results and Discussion
3.1. Catalysts Characterization
XRD analysis reveals that the predominant phase is anatase (results not shown). However, rutile and brookite were also identified in a smaller amount. The diffractogram of pure TiO2 was presented in a previous study [29]. The presence of the doping metals on TiO2 does not change the XRD pattern, independently of the loading of noble metals considered. The explanation for the absence of diffractive peak of noble metals is due to the low doping dose. For 1.5 wt % of Pt-TiO2, the diffractive peak of Pt on XRD analysis was not found due to the low amount doping [30]. The presence of gold, platinum and silver at 1 wt % load does not change the diffractive peaks of anatase phase from TiO2 [11]. These studies reveal that the lack of detection in the XRD analysis of diffractive peaks of noble metals for different loads used in our study could also be explained by the low doped dose and/or small size of noble metals’ nanoparticles.
The SEM-EDS analysis was made for all catalysts used in these experiments. As an example, in Figure 1, the results for different loads of Pd onto TiO2 were presented.
Figure 1.
SEM-EDS analysis for catalysts (a) 0.1% Pd-TiO2; (b) 0.5% Pd-TiO2; and (c) 1% Pd-TiO2.
SEM analysis (Figure 1) shows that catalysts prepared by photodeposition method reveal a certain roughness on their surfaces, the morphology is not very clean, or the shape is not well designed (magnification of 5000×). For all catalysts with 0.1 and 0.5 wt % loading of noble metal, the SEM analysis was similar, the shape does not change with the increase of noble metal loading (Figure 1). On the other hand, for 1 wt % of Pd-TiO2, the shape of catalysts changed comparatively to 0.1 and 0.5 wt % (Figure 1), leading to agglomerates. Another aspect that seems to be relevant is related with the morphology when increasing the catalyst load. Regarding 0.1 wt % of Pd-TiO2, it is possible to see a lower amount of white particles that can be related with palladium. When Pd load increases from 0.1 wt % to 0.5 wt %, the number of white particles also increases significantly (Figure 1a,b). From 0.5 to 1 wt %, the same behavior occurs (Figure 1b,c) but at lower extension comparatively to 0.1–0.5 wt %. For the first range, the noble metal load increases five times, while, from 0.5 wt % to 1 wt %, it just increases two times. The increase of one noble metal loading promotes microsphere formation. The EDS analysis made to randomly selected points of SEM image presents, for the 0.1% of Pd-TiO2 titanium, oxygen and chlorine as the main elements, whereas the noble metal is not detected. This can be explained by the low amount of doping metal used and its good dispersion over the support. The presence of chlorine in the spectrum of 0.1% Pd-TiO2 comes from the precursor used to prepare this catalyst. For 0.5 wt %, the presence of aluminium and silicon was also identified, which means that the sample could be contaminated from the precursor of Pd (PdCl2) and/or TiO2 (Titanium (IV) isopropoxide). At this loading, it is possible that the selected points from SEM to perform the EDS analysis present a low amount of Pd. This can be related with poor dispersion of noble metal onto TiO2 surface for the 0.5 wt % loading. The weight percentage values determined with EDS analysis are very small due to the low loading tested. Only for 1 wt % Pd loading was it possible to quantify about 0.5 wt % in the randomly selected point of EDS analysis. This reinforces the possible poor dispersion of noble metal onto TiO2 for higher loadings. The XPS analysis was conducted for the lowest load of Pt doped TiO2 to prove the presence of noble metal at this load (Figure S1). In this analysis, 0.08 wt % of Pt onto TiO2 surface was identified (Table S1). This value is near the expected value.
Thermogravimetric analysis was conducted to infer the thermal resistance of catalysts when exposed to high temperatures. The weight loss of catalysts for different noble metal loads as functions of temperature was analyzed.
Thermal analysis reveals that catalysts are very stable thermally, since the highest weight loss was just 3%. The presence of different loads of noble metals does not affect significantly the weight loss. For example, in the case of Pd, the maximum weight loss was verified with 0.5 wt % (about 1.5%). This catalyst presents some water on its composition because the greatest weight loss occurs from 25 °C to 100 °C. At 350 °C, another negative variation was verified, which means that the organic contaminants partially identified by SEM-EDS analysis were eliminated at those conditions. The difference in the noble metal load does not change the preparation method. This means that the organic compounds and water present at the catalysts are the same for the different loads. Therefore, the weight loss profile during the TGA is similar
3.2. Effect of Noble Metal Loading on the Parabens Degradation
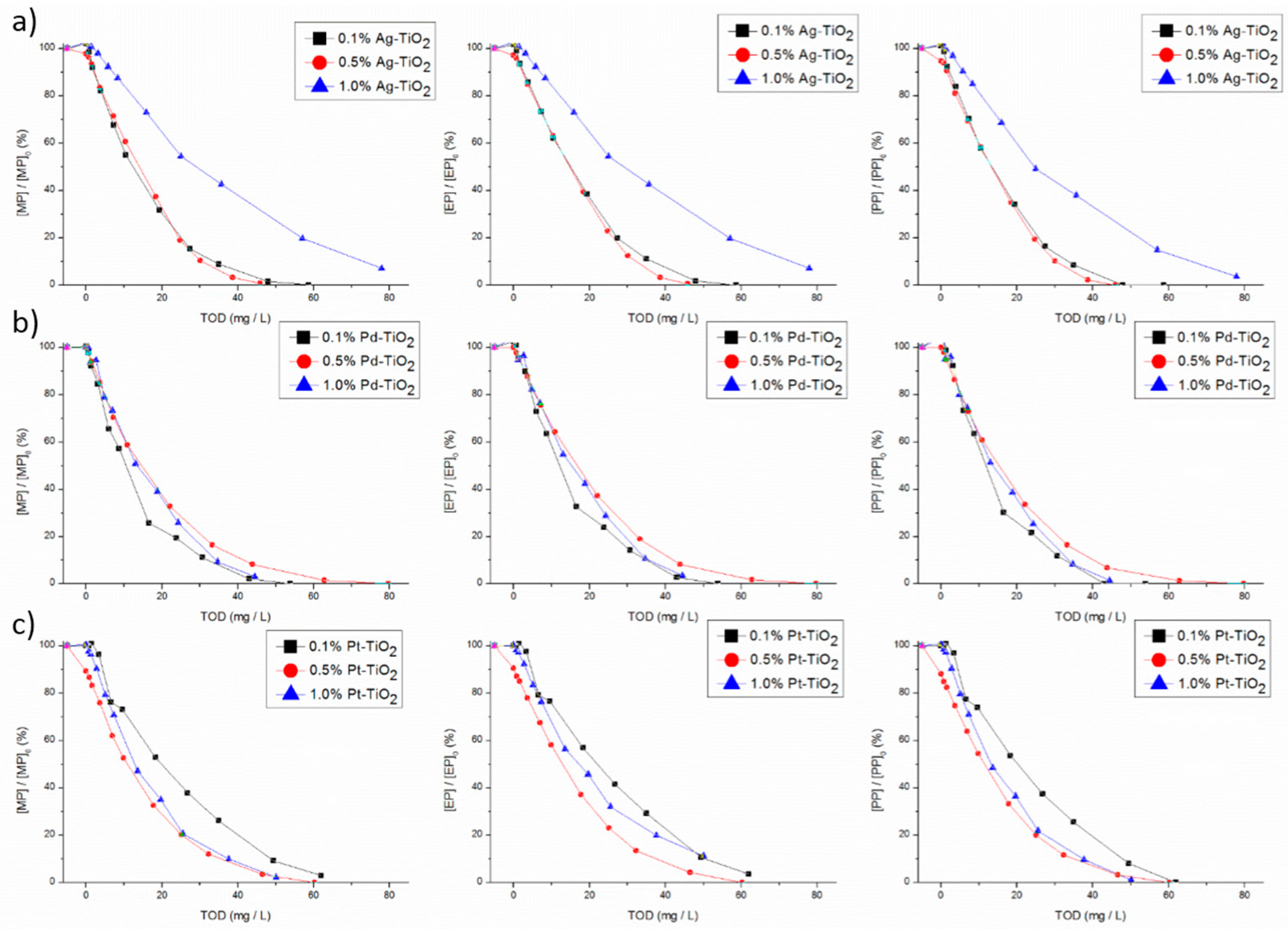
Photocatalytic ozonation with Ag, Pd and Pt doped onto TiO2 catalysts was used to promote the degradation of the mixture of parabens. The effect of different noble metals loads on parabens degradation was analysed as a function of TOD. The UVA radiation is not able to effectively degrade parabens, and just 3% of removal was achieved [29]. On the other hand, for ozone alone, total parabens degradation needed an increase on TOD of 3-fold compared with photocatalytic ozonation. Therefore, the coupling of these two technologies substantially increases the efficiency of parabens degradation comparatively to the contribution of each one alone. As it can be seen, the parabens were all almost totally removed independently of the conditions tested (Figure 2). Except for 1 wt % of Ag using a TOD of 78 mg/L, the total degradation for MP, EP and PP was not achieved, contrarily, to what happens for BuP and BeP. In the same way, for 0.1 wt % Pt, total degradation of MP and EP was also not observed. The results for BeP and BuP are not shown. The higher molecular weight compounds (BuP and BeP) were the first ones to be totally degraded using a low amount of TOD (below 30 mg/L for BeP), whichever the catalyst. This may be explained by ozone reactive preference for high electronic density groups such as benzenic rings. The high molecular weight of these compounds leads to a larger number of sites available for reaction. On the other hand, for the parabens with lower molecular weight, the degradation rate was slower, so a higher amount of ozone was necessary for total removal.
Figure 2.
Normalized concentration of individual parabens MP, EP, PP as a function of TOD during photocatalytic ozonation for different noble metal loads of (a) Ag-TiO2; (b) Pd-TiO2; (c) Pt-TiO2.
Tay et al. (2010) proved that the ozonation degradation constant rates increased with the molecular chain length for the different parabens (MP, EP, PP, BuP). The degradation of our mixture follows this behaviour, namely degradation happens first for BeP/BuP and finally MP [4]. The kinetics of degradation reactions may be highly dependent upon the matrix [31,32]. A study with an emerging pollutant mixture of Tetracycline, Caffeine, Paracetamol and Atenolol verified that the effect of using a mixture was negligible on the decrease of mineralization efficiency [31]. Therefore, comparing with our results, the synergistic effect of mixture could be minimal on the parabens degradation. When real water is used, the inorganic salts present in the matrix, especially carbonates, could decrease the removal efficiency [32]. On the other hand, some inorganic compounds such as sulfate and chlorine can improve the reverse effect, increasing the efficiency of emerging contaminants removal [33].
The results clearly show that, for photocatalytic ozonation, the worst catalyst was 1% Ag-TiO2. For example, for achieving 95% of MP degradation with this catalyst, a TOD of 78 mg/L was necessary, while, for the best catalyst (0.1 and 0.5% Ag-TiO2), total MP degradation just needed a TOD of 44 and 39 mg/L, respectively. Thus, for Ag-TiO2, the increase in the metal load above 0.5 wt % leads to lower efficiency towards parabens removal. However, for Pt-TiO2 on MP and PP degradation, the decrease in metal loading to 0.1 wt % leads to a process needing a higher amount of ozone compared to 0.5 and 1 wt % of Pt that present similar behavior. Regarding to Pd-TiO2,, in a general way, its efficiency seems to be independent of Pd loading (Figure 2).
The effect of Pt loading (0.01 wt % to 1 wt %) onto TiO2 surface was studied for the oxidation of formaldehyde and concluded that 0.6 wt % was the most active material due to the highest dispersion of the dopant over the surface of the catalyst [20]. This is in accordance with the results obtained in this study, where 0.5 wt % is the most active load for Pt and Ag. The lowest presence of metal loading on TiO2 surface may reduce the scavenging effect of photogenerated electrons, so the recombination phenomenon of electron–hole pairs can be more recurrent, which can explain the low efficiency of 0.1 wt % in Pt-TiO2. Therefore, less electrons are available for ozone reduction and few holes may be available to react with adsorbed water to produce hydroxyl radicals, thus reducing the pollutants’ oxidation efficiency.
Regarding Ag based catalysts, the effect of metal loading until 0.5 wt % was not so sharp in what concerns parabens degradation. The increase of Ag loading from 0.1 wt % to 0.5 wt % allows for reducing about 10 mg/L of TOD needed for total parabens degradation. On the other hand, an increase in the metal load to 1 wt % promotes a decrease of the efficiency regarding parabens degradation, resulting in the increase of 30 mg/L of TOD required for parabens depletion. Ag presents a lower electronegativity compared with Pt and Pd (1.93 to 2.28 and 2.20 according to the Pauling scale, respectively). In this way, lower amounts of electrons can be scavenged by Ag. However, when the metal load increases to 1 wt %, the trap of electrons could be higher and the electrons trapped by Ag were not available for reaction. This can be an explanation for the reduction of efficiency on parabens degradation with this load of silver. For 0.1 and 0.5 wt % of Ag load, the photogenerated electrons are still available to reduce ozone to produce ozonide and hydroxyl radicals. This larger amount of hydroxyl radicals may be helpful for parabens degradation, reducing the amount of TOD needed. Moreover, another explanation for this efficiency reduction can be related to the photohole trapping promoted by a higher load of Ag onto TiO2 [34]. However, Mohamed and Khairou say that, up to 1.6 wt % of Ag, this trapping effect was negligible [21]. On the other hand, the excess of Ag may have led to lower noble metal dispersion over titanium dioxide or even to a shielding effect, not allowing TiO2 to efficiently absorb radiation so that less photo-electrons and holes were generated.
The recombination phenomenon can be an explanation for the reduction in the efficiency for a lower load of Pt. The noble metal doped onto TiO2 can reduce the energy band gap [11,35], which is the energy needed to move an electron from the valence band to the conduction band of the catalyst, producing photogenerated holes on the surface of the catalyst [8,10]. In addition, the presence of noble metals can reduce the recombination phenomenon between electron–hole pairs due to the scavenging of photogenerated electrons [35]. In this way, the lower amount of Pt minimizes the effect of scavenging electrons, which means an increase of the recombination phenomenon. Therefore, the ozone reduced and the water oxidation are lower and consequently less production of ozonide and hydroxyl radicals is possible.
The global analysis of the parabens decay results points out that the most efficient catalysts regarding parabens degradation were 0.1, 0.5% Ag-TiO2.
3.3. COD and TOC Removal
Table 1 summarizes COD and TOC removal after 120 min of photocatalytic ozonation for different catalysts. The catalysts lead to slightly different COD and TOC removals. The poorest catalyst on the COD removal, without considering that the TOD used was 0.1% Pd-TiO2 with only 32%. In the same way, TOC removal presents a similar result. Even if this catalyst presents a good performance regarding parabens degradation, the reaction follows the oxidation pathway leading to the formation of organic intermediates instead of carbon dioxide and water.
Table 1.
Summary results of TOC and COD removal in function of TOD.
Taking TOD into consideration, the worst catalyst on the COD removal was 1% Ag-TiO2. The higher COD removal was attained with 1% Pd-TiO2 using lower TOD (44 mg/L). In addition, for the 1% Pt-TiO2, a similar COD removal occurs, but a higher TOD was necessary. Therefore, generally high COD removal can be achieved for all catalysts if TOD increases. Thus, the effect of the amount of ozone is not negligible. Nevertheless, TOC removal does not necessarily follow the same trend since, for some cases where TOD is high (for example for 1% Ag-TiO2, TOD = 78 mg O3/L), the mineralization of treated solution is reduced (only 31% of TOC removal). According to this, it is important to analyze the TOC removal besides COD. In terms of TOC removal as a function of TOD, the best result was achieved with 0.5% Ag-TiO2 (46 mg O3/L and 37% of mineralization).
In the case of silver, the analysis of the effect of metal load on TOC and COD removal reflects the fact that the increasing amount of Ag decreases TOC and COD removal even using higher TOD (Table 1). For palladium, the increase in metal load promotes a higher TOC and COD removal, which differs from what happens regarding parabens degradation. For platinum in terms of TOC removal, the differences could be explained by the different TODs. On the other hand, an increase of metal load promotes a slight improvement in the COD removal, even using lower TOD, which is in accordance with the results achieved for parabens degradation. For the global analysis, the best results in terms of COD and TOC removal were 0.5% Ag-TiO2 and 1% Pd-TiO2.
These two parameters (COD and TOC removal) are very dependent upon TOD. The analysis for COD and TOC removal was made for the final time of reaction that necessarily corresponds to different TOD values for the different catalysts. In order to understand if the mixture of parabens degradation follows mainly partial oxidation or mineralization pathway, the ratio between COD or TOC and TOD was analyzed. Table 2 presents the COD and TOC removal per TOD for all photocatalytic systems tested. From Table 2, it was possible to see that higher COD removal in the function of TOD was achieved for 1 wt % of Pd doped onto TiO2. This result indicates that the parabens degradation using this catalyst progressed towards a partial oxidation pathway. On the other hand, for TOC removal, the best result was achieved for 0.5 wt % Ag-TiO2. Thus, for that catalyst, mineralization occurs to a larger extent.
Table 2.
COD and TOC removal per TOD for all photocatalytic systems tested.
The best results in terms of COD removal were achieved for higher loads of Pd and Pt. In terms of price, these catalysts present higher costs compared with the silver based materials. According to the current market values, 25–27 € is the cost per gram of palladium and platinum, while silver is obtained at 0.5 €/g of silver. This represents a high cost reduction. Therefore, accounting for the application costs, the most suitable solution for parabens degradation and COD and TOC removal would be the 0.1 and 0.5% of Ag-TiO2 catalyst.
3.4. Toxicity Assessment
Since total mineralization was not achieved during photocatalytic ozonation, it is important to analyze the toxic character of the treated samples in order to infer their potential impact over the ecosystems. Thus, the toxicity of the treated samples after 120 min of photocatalytic ozonation with the different catalysts was compared with the initial parabens mixture. Three species were tested: the luminescent bacteria Vibrio fischeri, the mollusk Corbicula fluminea and the plant Lepidium sativum.
The luminescence inhibition of V. fischeri after 15 min in contact with treated samples decreased compared with the initial mixture of parabens (Table 3). Miralles-Cuevas et al. verified that, for V. fischeri light inhibition above 30%, the samples must be considered toxic [36]. Therefore, in the present study, all of the treated samples present toxicity towards this very sensitive bacteria. The sample for 1% Ag-TiO2, which led to the worst results in terms of parabens degradation, presents the highest light inhibition and lowest germination index, pointing out its highest toxicity. For silver and palladium, the intermediate metal load used (0.5%) leads to the lowest light inhibition. For both catalysts’ highest (1%) and lowest (0.1%) metal loads, toxicity increases compared to the intermediate metal load. In the case of platinum, the noble metal load does not affect significantly the luminescence inhibition (Table 3).
Table 3.
Summary results of toxicity tests with different species tested.
The mortality of C. fluminea strongly decreases when the individuals are in contact for 72 h with the treated solutions (120 min of photocatalytic ozonation) when compared with the initial mixture of parabens. In addition, 1% Pd-TiO2 reveals the effectiveness on the parabens degradation, COD and TOC removal, but the sample presents higher toxicity towards V. fischeri and C. fluminea. This could be related with the by-products resulting from the photocatalytic ozonation process. The different metal loads used for Pt do not affect significantly the toxicity towards Asian clams. Contrarily, it seems that the decrease of Ag loading in the catalyst leads to a slightly more toxic treated mixture towards C. fluminea (Table 3).
After 48 h of contact with treated samples, the GI of L. sativum increases, which means that the initial toxicity related with parabens was reduced. According to Trautmann and Krasny criteria, the initial parabens mixture is very phytotoxic, while the treated samples do not present phytotoxicity [28]. The increase of metal load for Pt decreases the GI. As occurs with V. fischeri, the intermediate load used for Ag and Pd leads to less toxic samples compared with the remaining tested loads. Moreover, the values of GI for the 0.5% of Ag and Pt are above 100%, which means that this treated solution can even improve L. sativum germination.
In a global way, the best result in terms of toxicity removal over the different organisms tested was the one obtained by photocatalytic ozonation using 0.5% Ag-TiO2 (Table 3).
4. Conclusions
All catalysts and different loads tested in this work were proven to be efficient on the total parabens degradation, COD and TOC removal, as well as toxicity reduction compared with the initial mixture. For lower load of Pd, TOC and COD removals are poor, which are not in accordance with the results achieved for parabens degradation. Therefore, it can be concluded that the parabens degradation follows a partial oxidation pathway instead of mineralization. Moreover, this provides an increase of toxicity over bacteria and plants when compared with the other treatments. For Pt, the decrease on metal loading doped onto TiO2 reveals a decrease on the parabens degradation efficiency. However, for the lowest load of Pt, an increase of TOC removal occurs, which means that degradation was directed towards the mineralization way. Herewith, the noble metal loads also affect the reaction pathway. The higher load for Ag reveals the poorest performance in terms of parabens degradation. On the other hand, the higher loads for Pd and Pt present interesting results in terms of degradation and COD removal. However, the usage of these two noble metals doped onto TiO2 at this load for parabens degradation represents a high cost, so the most suitable solution for parabens degradation would be 0.1 and 0.5% of Ag-TiO2. The 0.5% Ag-TiO2 presents the best performance for the photocatalytic ozonation of the parabens mixture, as well as toxicity reduction over different species.
Supplementary Materials
The following are available online at www.mdpi.com/2305-7084/2/1/4/s1, Figure S1: XPS analysis for 0.1 wt % Pt-TiO2, Table S1: Elemental concentrations obtained from the XPS composition analysis.
Acknowledgments
FCT is gratefully acknowledged by the financial support under the contract IF/00215/2014 with financing from the European Social Fund and Human Potential Operational Programme. This is an extension of the work presented at ICEER2017 and published in Energy Procedia (Environmental preservation of emerging parabens contamination: Effect of Ag and Pt loading over the catalytic efficiency of TiO2 during photocatalytic ozonation).
Author Contributions
João Gomes and Rui Martins conceived, designed the experiments and wrote the paper. Ana Lopes and João Gomes performed the experiments. Katarzyna Bednarczyk, Marek Stelmachowski , Adriana Zaleska-Medynska prepared the catalysts and part of their characterization. M. Emília Quinta-Ferreira made the catalyst characterization. Marta Gmurek, Raquel Costa, Rosa M. Quinta-Ferreira and Rui Martins analyzed the results and advised the project.
Conflicts of Interest
The authors declare no conflicts of interest.
References
- Gomes, J.; Costa, R.; Quinta-Ferreira, R.M.; Martins, R.C. Application of ozonation for pharmaceuticals and personal care products removal from water. Sci. Total Environ. 2017, 586, 265–283. [Google Scholar] [CrossRef] [PubMed]
- Bledzka, D.; Gromadzinska, J.; Wasowicz, W. Parabens. From environmental studies to human health. Environ. Int. 2014, 67, 27–42. [Google Scholar] [CrossRef] [PubMed]
- Darbre, P.D.; Aljarrah, A.; Miller, W.R.; Coldham, N.G.; Sauer, M.J.; Pope, G.S. Concentrations of parabens in human breast tumours. J. Appl. Toxicol. 2004, 24, 5–13. [Google Scholar] [CrossRef] [PubMed]
- Tay, K.; Rahman, N.; Abas, M. Kinetic studies of the degradation of parabens in aqueous solution by ozone oxidation. Environ. Chem. Lett. 2010, 8, 331–337. [Google Scholar] [CrossRef]
- Gmurek, M.; Rossi, A.F.; Martins, R.C.; Quinta-Ferreira, R.M.; Ledakowicz, S. Photodegradation of single and mixture of parabens—Kinetic, by-products identification and cost-efficiency analysis. Chem. Eng. J. 2015, 276, 303–314. [Google Scholar] [CrossRef]
- Martins, R.; Quinta-Ferreira, R.M. Catalytic ozonation of phenolic acids over a Mn–Ce–O catalyst. Appl. Catal. B Environ. 2009, 90, 268–277. [Google Scholar] [CrossRef]
- Kasprzyk-Hordern, B.; Ziólek, M.; Nawrocki, J. Catalytic ozonation and methods of enhancing molecular ozone reactions in water treatment. Appl. Catal. B Environ. 2003, 46, 639–669. [Google Scholar] [CrossRef]
- Chong, M.; Jin, B.; Chow, C.W.; Saint, C. Recent developments in photocatalytic water treatment technology: A review. Water Res. 2010, 44, 2997–3027. [Google Scholar] [CrossRef] [PubMed]
- Moreira, N.F.F.; Sousa, J.M.; Macedo, G.; Ribeiro, A.R.; Barreiros, L.; Pedrosa, M.; Faria, J.L.; Pereira, M.F.R.; Castro-Silva, S.; Segundo, M.A.; et al. Photocatalytic ozonation of urban wastewater and surface water using immobilized TiO2 with LEDs: Micropollutants, antibiotic resistance genes and estrogenic activity. Water Res. 2016, 94, 10–22. [Google Scholar] [CrossRef] [PubMed]
- Pelaez, M.; Nolan, N.T.; Pillai, S.C.; Seery, M.K.; Falaras, P.; Kontos, A.G.; Dunlop, P.S.; Hamilton, J.W.; Byrne, J.A.; O’Shea, K.; et al. A review on the visible light active titanium dioxide photocatalysts for environmental applications. Appl. Catal. B Environ. 2012, 125, 331–349. [Google Scholar] [CrossRef]
- Zheng, Z.; Huang, B.B.; Qin, X.Y.; Zhang, X.Y.; Dai, Y.; Whangbo, M.H. Facile in situ synthesis of visible-light plasmonic photocatalysts M@TiO2 (M = Au, Pt, Ag) and evaluation of their photocatalytic oxidation of benzene to phenol. J. Mater. Chem. 2011, 21, 9079–9087. [Google Scholar] [CrossRef]
- Petala, A.; Frontistis, Z.; Antonopoulou, M.; Konstantinou, I.; Kondarides, D.I.; Mantzavinos, D. Kinetics of ethylparaben degradation by simulated solar radiation in the presence of N-doped TiO2 catalysts. Water Res. 2015, 81, 157–166. [Google Scholar] [CrossRef] [PubMed]
- Rivas, F.J.; Beltrán, F.J.; Gimeno, O.; Carbajo, M. Fluorene oxidation by coupling of ozone, radiation, and semiconductors: A mathematical approach to the kinetics. Ind. Eng. Chem. Res. 2006, 45, 166–174. [Google Scholar] [CrossRef]
- Rodríguez, E.M.; Márquez, G.; León, E.A.; Álvarez, P.M.; Amat, A.M.; Beltrán, F.J. Mechanism considerations for photocatalytic oxidation, ozonation and photocatalytic ozonation of some pharmaceutical compounds in water. J. Environ. Manag. 2013, 127, 114–124. [Google Scholar] [CrossRef] [PubMed]
- Gaya, U.I.; Abdullah, A.H. Heterogeneous photocatalytic degradation of organic contaminants over titanium dioxide: A review of fundamentals, progress and problems. J. Photochem. Photobiol. C Photochem. Rev. 2008, 9, 1–12. [Google Scholar] [CrossRef]
- Anpo, M.; Takeuchi, M. The design and development of highly reactive titanium oxide photocatalysts operating under visible light irradiation. J. Catal. 2003, 216, 505–516. [Google Scholar] [CrossRef]
- Mehrjouei, M.; Müller, S.; Möller, D. A review on photocatalytic ozonation used for the treatment of water and wastewater. Chem. Eng. J. 2015, 263, 209–219. [Google Scholar] [CrossRef]
- Hernández-Alonso, M.; Coronado, J.M.; Maira, A.J.; Soria, J.; Loddo, V.; Augugliaro, V. Ozone enhanced activity of aqueous titanium dioxide suspensions for photocatalytic oxidation of free cyanide ions. Appl. Catal. B Environ. 2002, 39, 257–267. [Google Scholar]
- Rey, A.; Mena, E.; Chávez, A.M.; Beltrán, F.J.; Medina, F. Influence of structural properties on the activity of WO3 catalysts for visible light photocatalytic ozonation. Chem. Eng. Sci. 2015, 126, 80–90. [Google Scholar] [CrossRef]
- Peng, J.; Wang, S. Performance and characterization of supported metal catalysts for complete oxidation of formaldehyde at low temperatures. Appl. Catal. B Environ. 2007, 73, 282–291. [Google Scholar] [CrossRef]
- Mohamed, M.; Khairou, K.S. Preparation and characterization of nano-silver/mesoporous titania photocatalysts for herbicide degradation. Microporous Mesoporous Mater. 2011, 142, 130–138. [Google Scholar] [CrossRef]
- Gomes, J.; Leal, I.; Bednarczyk, K.; Gmurek, M.; Stelmachowski, M.; Diak, M.; Quinta-Ferreira, M.E.; Costa, R.; Quinta-Ferreira, R.M.; Martins, R.C. Photocatalytic ozonation using doped TiO2 catalysts for the removal of parabens in water. Sci. Total Environ. 2017, 609, 329–340. [Google Scholar] [CrossRef] [PubMed]
- Frontistis, Z.; Antonopoulou, M.; Petala, A.; Venieri, D.; Konstantinou, I.; Kondarides, D.I.; Mantzavinos, D. Photodegradation of ethyl paraben using simulated solar radiation and Ag3PO4 photocatalyst. J. Hazard. Mater. 2017, 323, 478–488. [Google Scholar] [CrossRef] [PubMed]
- Rimoldi, L.; Meroni, D.; Falletta, E.; Ferretti, A.M.; Gervasini, A.; Cappelletti, G.; Ardizzone, S. The role played by different TiO2 features on the photocatalytic degradation of paracetamol. Appl. Surf. Sci. 2007, 424, 198–205. [Google Scholar] [CrossRef]
- Stelmachowski, M.; Marchwicka, M.; Grabowska, E.; Diak, M.; Zaleska, A. The Photocatalytic Conversion of (Biodiesel Derived) Glycerol to Hydrogen—A Short Review and Preliminary Experimental Results Part 2: Photocatalytic Conversion of Glycerol to Hydrogen in Batch and Semi-batch Laboratory Reactors. J. Adv. Oxid. Technol. 2016, 17, 179–186. [Google Scholar] [CrossRef]
- Greenberg, A.; Clesceri, L.; Eaton, A. Standard Methods for the Examination of Water and Wastewater; American Public Health Association: Washington, DC, USA, 1985. [Google Scholar]
- Gomes, J.; Pereira, J.L.; Rosa, I.C.; Saraiva, P.M.; Gonçalves, F.; Costa, R. Evaluation of candidate biocides to control the biofouling Asian clam in the drinking water treatment industry: An environmentally friendly approach. J. Great Lakes Res. 2014, 40, 421–428. [Google Scholar] [CrossRef]
- Trautmann, N.M.; Krasny, M.E. Composting in the Classroom; Nature Science Foundation, Cornell Waste Management Institute and Cornell Center for the Environment: New York, NY, USA, 1997. [Google Scholar]
- Gomes, J.; Leal, I.; Bednarczyk, K.; Gmurek, M.; Stelmachowski, M.; Zaleska-Medynska, A.; Bastos, F.C.; Quinta-Ferreira, M.E.; Costa, R.; Quinta-Ferreira, R.M.; et al. Detoxification of Parabens Using UV-A enhanced by Noble Metals—TiO2 Supported Catalysts. J. Environ. Chem. Eng. 2017, 5, 3065–3074. [Google Scholar] [CrossRef]
- Huang, M.; Xu, C.; Wu, Z.; Huang, Y.; Lin, J.; Wu, J. Photocatalytic discolorization of methyl orange solution by Pt modified TiO2 loaded on natural zeolite. Dyes Pigments 2008, 77, 327–334. [Google Scholar] [CrossRef]
- Rimoldi, L.; Meroni, D.; Falletta, E.; Pifferi, V.; Falciola, L.; Cappelletti, G.; Ardizzone, S. Emerging pollutant mixture mineralizatuin by TiO2 photocatalysts. The role of the water medium. Photochem. Photobiol. Sci. 2017, 16, 60–66. [Google Scholar] [CrossRef] [PubMed]
- Rioja, N.; Zorita, S.; Peñas, F. Effect of water matrix on photocatalytic degradation and general kinetic modeling. Appl. Catal. B Environ. 2016, 180, 330–335. [Google Scholar] [CrossRef]
- Frontistis, Z.; Antonopoulou, M.; Yazirdagi, M.; Kilinc, Z.; Konstantinou, I.; Katsaounis, A.; Mantzavinos, D. Boron-doped diamond electrooxidation of ethyl paraben: The effect of electrolyte on by-products distribution and mechanisms. J. Environ. Manag. 2017, 195, 148–156. [Google Scholar] [CrossRef] [PubMed]
- Hirakawa, T.; Kamat, P.V. Charge Separation and Catalytic Activity of Ag@TiO2 Core−Shell Composite Clusters under UV−Irradiation. J. Am. Chem. Soc. 2005, 127, 3928–3934. [Google Scholar] [CrossRef] [PubMed]
- Wang, P.; Huang, B.; Dai, Y.; Whangbo, M. Plasmonic photocatalysts: Harvesting visible light with noble metal nanoparticles. Phys. Chem. Chem. Phys. 2012, 14, 9813–9825. [Google Scholar] [CrossRef] [PubMed]
- Miralles-Cuevas, S.; Oller, I.; Agüera, A.; Sánchez Pérez, J.A.; Malato, S. Strategies for reducing cost by using solar photo-Fenton treatment combined with nanofiltration to remove microcontaminants in real municipal effluents: Toxicity and economic assessment. Chem. Eng. J. 2017, 318, 161–170. [Google Scholar] [CrossRef]
© 2018 by the authors. Licensee MDPI, Basel, Switzerland. This article is an open access article distributed under the terms and conditions of the Creative Commons Attribution (CC BY) license (http://creativecommons.org/licenses/by/4.0/).

