Proinflammatory Responses of 1-Nitropyrene against RAW264.7 Macrophages through Akt Phosphorylation and NF-κB Pathways
Abstract
:1. Introduction
2. Materials and Methods
2.1. Materials
2.2. Cell Culture and Treatment
2.3. ELISA Assay
2.4. Griess Reaction Assay
2.5. Western Blotting Assay
2.6. Statistical Analysis
3. Results
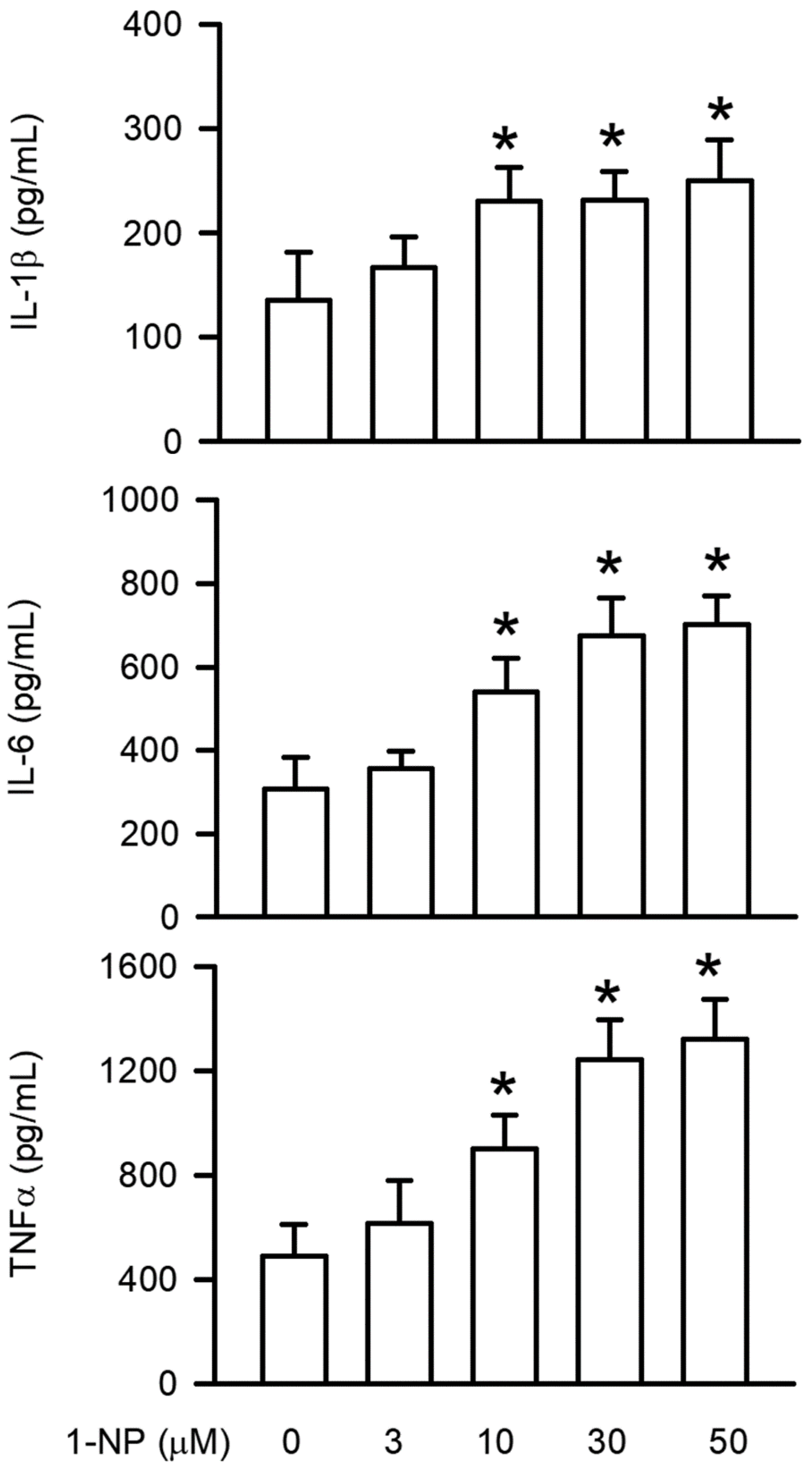
3.1. Effects of 1-NP on Proinflammatory Cytokine Generation in RAW264.7 Macrophages
3.2. Effects of 1-NP on NO Generation and iNOS Expression in RAW264.7 Macrophages
3.3. Effects of 1-NP on PGE2 Production, COX2 Expression, and cPLA2 Phosphorylation in RAW264.7 Macrophages
3.4. Effects of 1-NP on IκB Degradation and NFκB p65 Phosphorylation in RAW264.7 Macrophages
3.5. Effects of 1-NP on Akt Phosphorylation in RAW264.7 Macrophages
4. Discussion
Author Contributions
Funding
Institutional Review Board Statement
Informed Consent Statement
Data Availability Statement
Conflicts of Interest
References
- Abera, A.; Friberg, J.; Isaxon, C.; Jerrett, M.; Malmqvist, E.; Sjöström, C.; Taj, T.; Vargas, A.M. Air Quality in Africa: Public Health Implications. Annu. Rev. Public Health 2021, 42, 193–210. [Google Scholar] [CrossRef]
- Ain, N.U.; Qamar, S.U.R. Particulate Matter-Induced Cardiovascular Dysfunction: A Mechanistic Insight. Cardiovasc. Toxicol. 2021, 21, 505–516. [Google Scholar] [CrossRef] [PubMed]
- Sridharan, S.; Kumar, M.; Singh, L.; Bolan, N.S.; Saha, M. Microplastics as an emerging source of particulate air pollution: A critical review. J. Hazard. Mater. 2021, 418, 126245. [Google Scholar] [CrossRef] [PubMed]
- Li, R.L.; Ho, Y.C.; Luo, C.W.; Lee, S.S.; Kuan, Y.H. Influence of PM(2.5) Exposure Level on the Association between Alzheimer’s Disease and Allergic Rhinitis: A National Population-Based Cohort Study. Int. J. Environ. Res. Public Health 2019, 16, 3357. [Google Scholar] [CrossRef] [PubMed] [Green Version]
- Sun, H.Y.; Luo, C.W.; Chiang, Y.W.; Yeh, K.L.; Li, Y.C.; Ho, Y.C.; Lee, S.S.; Chen, W.Y.; Chen, C.J.; Kuan, Y.H. Association Between PM(2.5) Exposure Level and Primary Open-Angle Glaucoma in Taiwanese Adults: A Nested Case-Control Study. Int. J. Environ. Res. Public Health 2021, 18, 1714. [Google Scholar] [CrossRef] [PubMed]
- Bamford, H.A.; Bezabeh, D.Z.; Schantz, S.; Wise, S.A.; Baker, J.E. Determination and comparison of nitrated-poly-cyclic aromatic hydrocarbons measured in air and diesel particulate reference materials. Chemosphere 2003, 50, 575–587. [Google Scholar] [CrossRef]
- Gao, Y.; Yang, L.; Chen, J.; Li, Y.; Jiang, P.; Zhang, J.; Yu, J.; Wang, W. Nitro and oxy-PAHs bounded in PM2.5 and PM1.0 under different weather conditions at Mount Tai in Eastern China: Sources, long-distance transport, and cancer risk assessment. Sci. Total Environ. 2018, 622–623, 1400–1407. [Google Scholar] [CrossRef]
- Asare, N.; Landvik, N.E.; Lagadic-Gossmann, D.; Rissel, M.; Tekpli, X.; Ask, K.; Låg, M.; Holme, J.A. 1-Nitropyrene (1-NP) induces apoptosis and apparently a non-apoptotic programmed cell death (paraptosis) in Hepa1c1c7 cells. Toxicol. Appl. Pharmacol. 2008, 230, 175–186. [Google Scholar] [CrossRef] [Green Version]
- Shang, Y.; Zhou, Q.; Wang, T.; Jiang, Y.; Zhong, Y.; Qian, G.; Zhu, T.; Qiu, X.; An, J. Airborne nitro-PAHs induce Nrf2/ARE defense system against oxidative stress and promote inflammatory process by activating PI3K/Akt pathway in A549 cells. Toxicol. In Vitro 2017, 44, 66–73. [Google Scholar] [CrossRef]
- Wu, S.W.; Su, C.H.; Ho, Y.C.; Huang-Liu, R.; Tseng, C.C.; Chiang, Y.W.; Yeh, K.L.; Lee, S.S.; Chen, W.Y.; Chen, C.J.; et al. Genotoxic effects of 1-nitropyrene in macrophages are mediated through a p53-dependent pathway involving cytochrome c release, caspase activation, and PARP-1 cleavage. Ecotoxicol. Environ. Saf. 2021, 213, 112062. [Google Scholar] [CrossRef]
- Su, C.H.; Ho, Y.C.; Lee, M.W.; Tseng, C.C.; Lee, S.S.; Hsieh, M.K.; Chen, H.H.; Lee, C.Y.; Wu, S.W.; Kuan, Y.H. 1-Nitropyrene Induced Reactive Oxygen Species-Mediated Apoptosis in Macrophages through AIF Nuclear Translocation and AMPK/Nrf-2/HO-1 Pathway Activation. Oxid. Med. Cell. Longev. 2021, 2021, 9314342. [Google Scholar] [CrossRef] [PubMed]
- Fu, L.; Zhao, H.; Xiang, Y.; Xiang, H.X.; Hu, B.; Tan, Z.X.; Lu, X.; Gao, L.; Wang, B.; Wang, H.; et al. Reactive oxygen species-evoked endoplasmic reticulum stress mediates 1-nitropyrene-induced epithelial-mesenchymal transition and pulmonary fibrosis. Environ. Pollut. 2021, 283, 117134. [Google Scholar] [CrossRef] [PubMed]
- Ovrevik, J.; Låg, M.; Holme, J.A.; Schwarze, P.E.; Refsnes, M. Cytokine and chemokine expression patterns in lung epithelial cells exposed to components characteristic of particulate air pollution. Toxicology 2009, 259, 46–53. [Google Scholar] [CrossRef] [PubMed]
- Pei, X.H.; Nakanishi, Y.; Inoue, H.; Takayama, K.; Bai, F.; Hara, N. Polycyclic aromatic hydrocarbons induce IL-8 expression through nuclear factor kappaB activation in A549 cell line. Cytokine 2002, 19, 236–241. [Google Scholar] [CrossRef]
- Atri, C.; Guerfali, F.Z.; Laouini, D. Role of Human Macrophage Polarization in Inflammation during Infectious Diseases. Int. J. Mol. Sci. 2018, 19, 1801. [Google Scholar] [CrossRef] [Green Version]
- Gallo, M.; Street, M.E.; Guerra, F.; Fanos, V.; Marcialis, M.A. A review of current knowledge on Pollution, Cigarette Smoking and COVID-19 diffusion and their relationship with inflammation. Acta Biomed. 2020, 91, e2020148. [Google Scholar]
- Ziegler, K.; Kunert, A.T.; Reinmuth-Selzle, K.; Leifke, A.L.; Widera, D.; Weller, M.G.; Schuppan, D.; Fröhlich-Nowoisky, J.; Lucas, K.; Pöschl, U. Chemical modification of pro-inflammatory proteins by peroxynitrite increases activation of TLR4 and NF-kappaB: Implications for the health effects of air pollution and oxidative stress. Redox Biol. 2020, 37, 101581. [Google Scholar] [CrossRef]
- Huang, F.M.; Chang, Y.C.; Lee, S.S.; Yang, M.L.; Kuan, Y.H. Expression of pro-inflammatory cytokines and mediators induced by Bisphenol A via ERK-NFkappaB and JAK1/2-STAT3 pathways in macrophages. Environ. Toxicol. 2019, 34, 486–494. [Google Scholar] [CrossRef]
- Ni, Y.L.; Shen, H.T.; Lee, M.W.; Yeh, K.L.; Chiang, C.Y.; Kuan, Y.H. Safrole-induced expression of proinflammatory responses is associated with phosphorylation of mitogen-activated protein kinase family and the nuclear factor-kappaB/inhibitor of kappaB pathway in macrophages. Tzu Chi Med. J. 2020, 32, 344–350. [Google Scholar]
- Kuan, Y.H.; Huang, F.M.; Li, Y.C.; Chang, Y.C. Proinflammatory activation of macrophages by bisphenol A-glycidyl-methacrylate involved NFkappaB activation via PI3K/Akt pathway. Food Chem. Toxicol. 2012, 50, 4003–4009. [Google Scholar] [CrossRef]
- Wan, Q.; Yang, M.; Liu, Z.; Wu, J. Atmospheric fine particulate matter exposure exacerbates atherosclerosis in apolipoprotein E knockout mice by inhibiting autophagy in macrophages via the PI3K/Akt/mTOR signaling pathway. Ecotoxicol. Environ. Saf. 2021, 208, 111440. [Google Scholar] [CrossRef] [PubMed]
- Tsai, P.K.; Wu, S.W.; Chiang, C.Y.; Lee, M.W.; Chen, H.Y.; Chen, W.Y.; Chen, C.J.; Yang, S.F.; Yeh, C.B.; Kuan, Y.H. Evaluation of cytotoxicity, apoptosis, and genotoxicity induced by indium chloride in macrophages through mitochondrial dysfunction and reactive oxygen species generation. Ecotoxicol. Environ. Saf. 2020, 193, 110348. [Google Scholar] [CrossRef] [PubMed]
- Lin, F.C.; Lee, S.S.; Li, Y.C.; Ho, Y.C.; Chen, W.Y.; Chen, C.J.; Lee, M.W.; Yeh, K.L.; Tsai, S.C.; Kuan, Y.H. Protective Effects of Kirenol against Lipopolysaccharide-Induced Acute Lung Injury through the Modulation of the Proinflammatory NFκB Pathway and the AMPK2-/Nrf2-Mediated HO-1/AOE Pathway. Antioxidants 2021, 10, 204. [Google Scholar] [CrossRef] [PubMed]
- Albinet, A.; Leoz-Garziandia, E.; Budzinski, H.; Viilenave, E. Simultaneous analysis of oxygenated and nitrated polycyclic aromatic hydrocarbons on standard reference material 1649a (urban dust) and on natural ambient air samples by gas chromatography-mass spectrometry with negative ion chemical ionisation. J. Chromatogr. A 2006, 1121, 106–113. [Google Scholar] [CrossRef] [PubMed] [Green Version]
- IARC Working Group on the Evaluation of Carcinogenic Risks to Humans. Diesel and Gasoline Engine Exhausts and Some Nitroarenes; IARC Monographs on the Evaluation of Carcinogenic Risks to Humans, No. 105; International Agency for Research on Cancer: Lyon, France, 2014. Available online: https://www.ncbi.nlm.nih.gov/books/NBK294270/ (accessed on 13 October 2021).
- Jayawardena, T.U.; Sanjeewa, K.K.A.; Lee, H.G.; Nagahawatta, D.P.; Yang, H.W.; Kang, M.C.; Jeon, Y.J. Particulate Matter-Induced Inflammation/Oxidative Stress in Macrophages: Fucosterol from Padina boryana as a Potent Protector, Activated via NFκB /MAPK Pathways and Nrf2/HO-1 Involvement. Mar. Drugs 2020, 18, 628. [Google Scholar] [CrossRef]
- Hirayama, D.; Iida, T.; Nakase, H. The Phagocytic Function of Macrophage-Enforcing Innate Immunity and Tissue Homeostasis. Int. J. Mol. Sci. 2017, 19, 92. [Google Scholar] [CrossRef] [Green Version]
- Xing, Z.; Afkhami, S.; Bavananthasivam, J.; Fritz, D.K.; D’Agostino, M.R.; Vaseghi-Shanjani, M.; Yao, Y.; Jeyanathan, M. Innate immune memory of tissue-resident macrophages and trained innate immunity: Re-vamping vaccine concept and strategies. J. Leukoc. Biol. 2020, 108, 825–834. [Google Scholar] [CrossRef]
- Yang, L.; Xie, X.; Tu, Z.; Fu, J.; Xu, D.; Zhou, Y. The signal pathways and treatment of cytokine storm in COVID-19. Signal Transduct. Target. Ther. 2021, 6, 255. [Google Scholar] [CrossRef]
- Poznyak, A.V.; Bharadwaj, D.; Prasad, G.; Grechko, A.V.; Sazonova, M.A.; Orekhov, A.N. Anti-Inflammatory Therapy for Atherosclerosis: Focusing on Cytokines. Int. J. Mol. Sci. 2021, 22, 7061. [Google Scholar] [CrossRef]
- Boutilier, A.J.; Elsawa, S.F. Macrophage Polarization States in the Tumor Microenvironment. Int. J. Mol. Sci. 2021, 22, 6995. [Google Scholar] [CrossRef]
- Hu, B.; Tong, B.; Xiang, Y.; Li, S.R.; Tan, Z.X.; Xiang, H.X.; Fu, L.; Wang, H.; Zhao, H.; Xu, D.X. Acute 1-NP exposure induces inflammatory responses through activating various inflammatory signaling pathways in mouse lungs and human A549 cells. Ecotoxicol. Environ. Saf. 2020, 189, 109977. [Google Scholar] [CrossRef] [PubMed]
- Park, E.J.; Park, K. Induction of pro-inflammatory signals by 1-nitropyrene in cultured BEAS-2B cells. Toxicol. Lett. 2009, 184, 126–133. [Google Scholar] [CrossRef] [PubMed]
- Huang, C.H.; Wang, S.C.; Chen, I.C.; Chen, Y.T.; Liu, P.L.; Fang, S.H.; Huang, S.P.; Yeh, H.C.; Liu, C.C.; Lee, P.Y.; et al. Protective Effect of Piplartine against LPS-Induced Sepsis through Attenuating the MAPKs/NF-κB Signaling Pathway and NLRP3 Inflammasome Activation. Pharmaceuticals 2021, 14, 588. [Google Scholar] [CrossRef]
- Liu, T.; Zhang, L.; Joo, D.; Sun, S.C. NF-κB signaling in inflammation. Signal Transduct. Target. Ther. 2017, 2, 17023. [Google Scholar] [CrossRef] [PubMed] [Green Version]
- Linton, M.F.; Moslehi, J.J.; Babaev, V.R. Akt Signaling in Macrophage Polarization, Survival, and Atherosclerosis. Int. J. Mol. Sci. 2019, 20, 2703. [Google Scholar] [CrossRef] [PubMed] [Green Version]





Publisher’s Note: MDPI stays neutral with regard to jurisdictional claims in published maps and institutional affiliations. |
© 2021 by the authors. Licensee MDPI, Basel, Switzerland. This article is an open access article distributed under the terms and conditions of the Creative Commons Attribution (CC BY) license (https://creativecommons.org/licenses/by/4.0/).
Share and Cite
Tsai, P.-K.; Chen, S.-P.; Huang-Liu, R.; Chen, C.-J.; Chen, W.-Y.; Ng, Y.-Y.; Kuan, Y.-H. Proinflammatory Responses of 1-Nitropyrene against RAW264.7 Macrophages through Akt Phosphorylation and NF-κB Pathways. Toxics 2021, 9, 276. https://doi.org/10.3390/toxics9110276
Tsai P-K, Chen S-P, Huang-Liu R, Chen C-J, Chen W-Y, Ng Y-Y, Kuan Y-H. Proinflammatory Responses of 1-Nitropyrene against RAW264.7 Macrophages through Akt Phosphorylation and NF-κB Pathways. Toxics. 2021; 9(11):276. https://doi.org/10.3390/toxics9110276
Chicago/Turabian StyleTsai, Ping-Kun, Shih-Pin Chen, Rosa Huang-Liu, Chun-Jung Chen, Wen-Ying Chen, Yan-Yan Ng, and Yu-Hsiang Kuan. 2021. "Proinflammatory Responses of 1-Nitropyrene against RAW264.7 Macrophages through Akt Phosphorylation and NF-κB Pathways" Toxics 9, no. 11: 276. https://doi.org/10.3390/toxics9110276
APA StyleTsai, P.-K., Chen, S.-P., Huang-Liu, R., Chen, C.-J., Chen, W.-Y., Ng, Y.-Y., & Kuan, Y.-H. (2021). Proinflammatory Responses of 1-Nitropyrene against RAW264.7 Macrophages through Akt Phosphorylation and NF-κB Pathways. Toxics, 9(11), 276. https://doi.org/10.3390/toxics9110276

