Short-Term Exposure to PM2.5 and O3 Impairs Liver Function in HIV/AIDS Patients: Evidence from a Repeated Measurements Study
Abstract
:1. Introduction
2. Materials and Methods
2.1. Study Design and Sample
2.2. Hepatic Enzymes Measurements
2.3. Exposure Assessment
2.4. Statistical Analysis
3. Results
3.1. Description of Sample and Exposure
3.2. Air Pollutants and Hepatic Enzymes
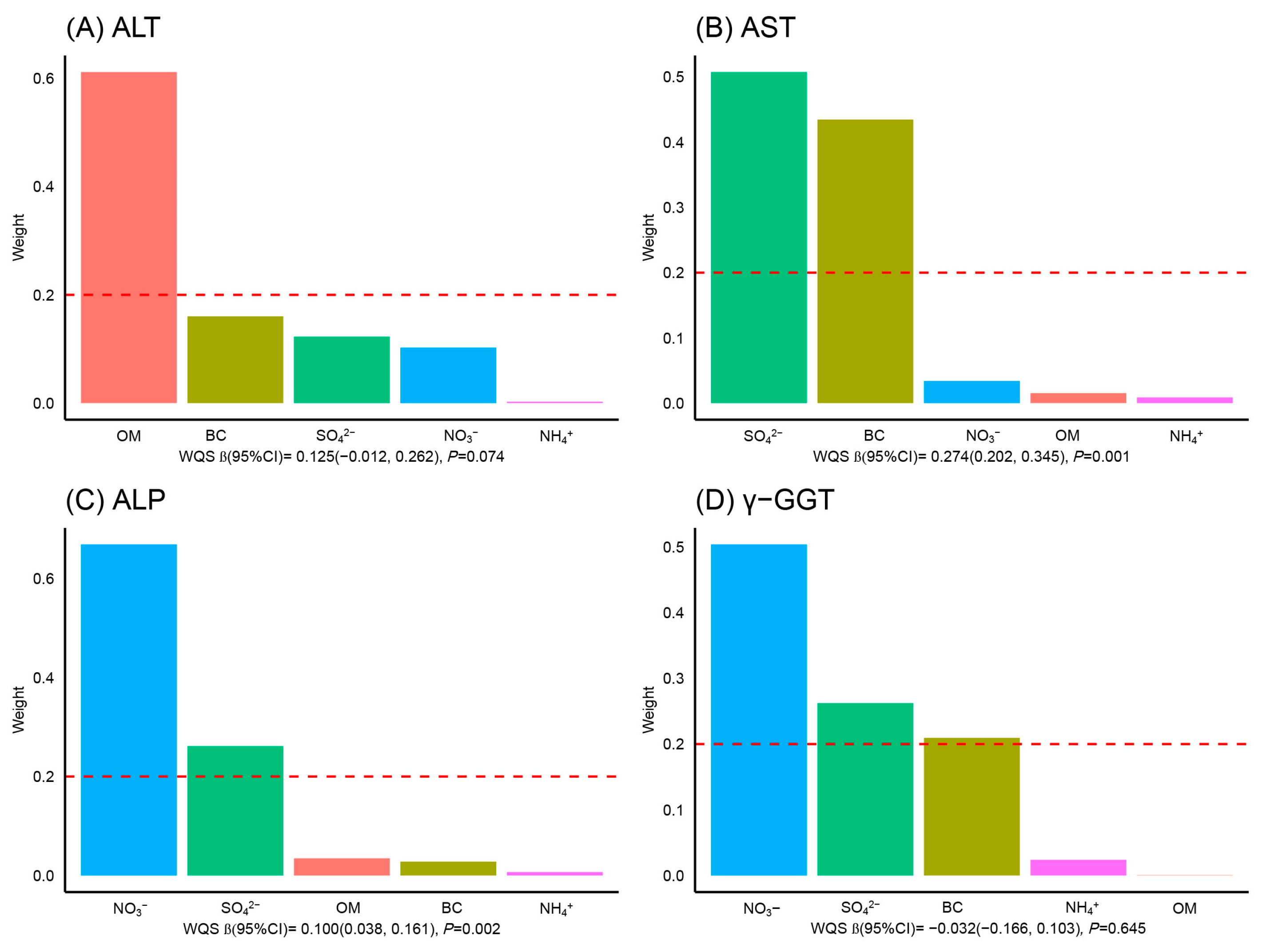
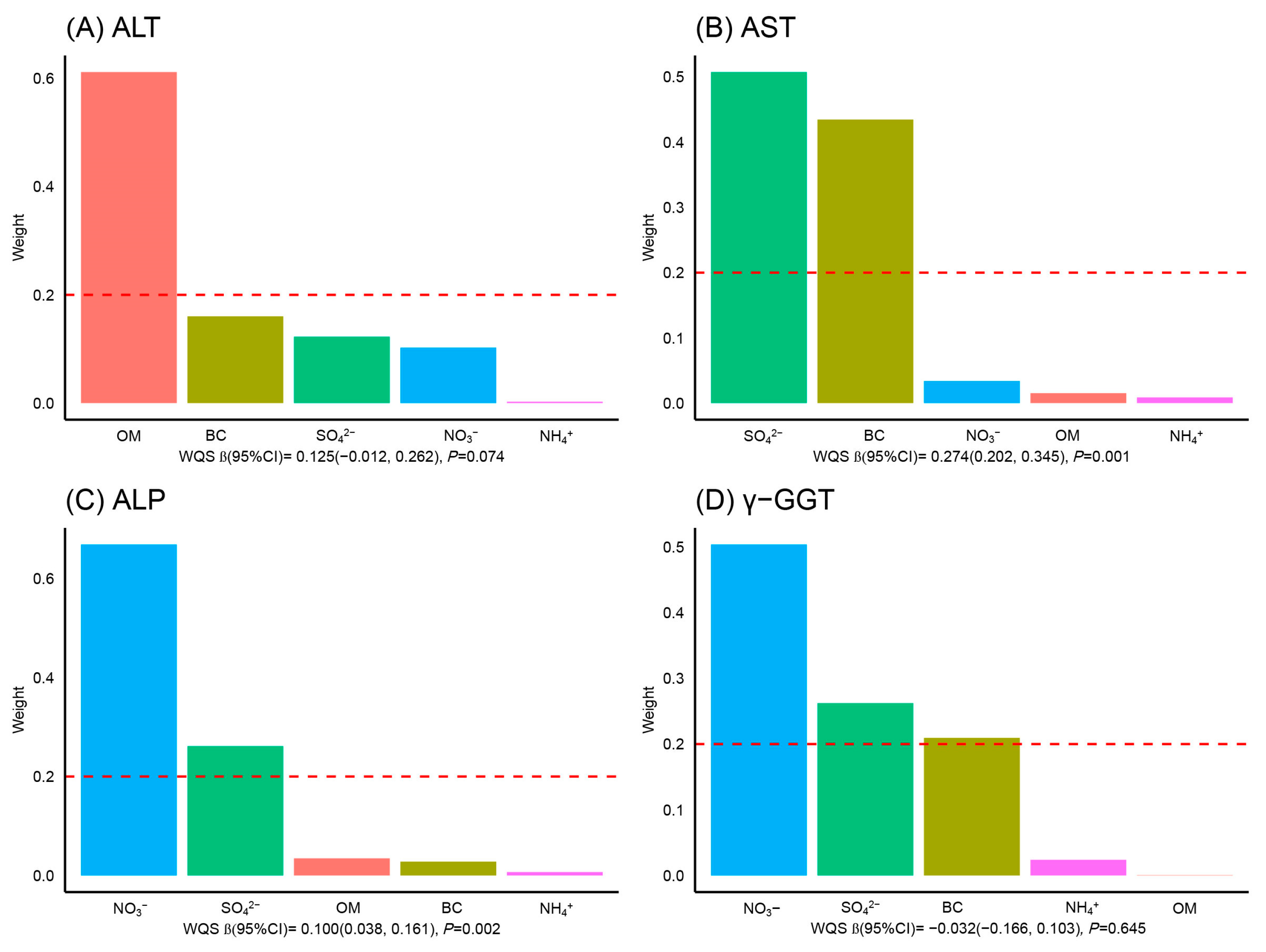
3.3. The Joint Effect Analysis of PM2.5 Constituents
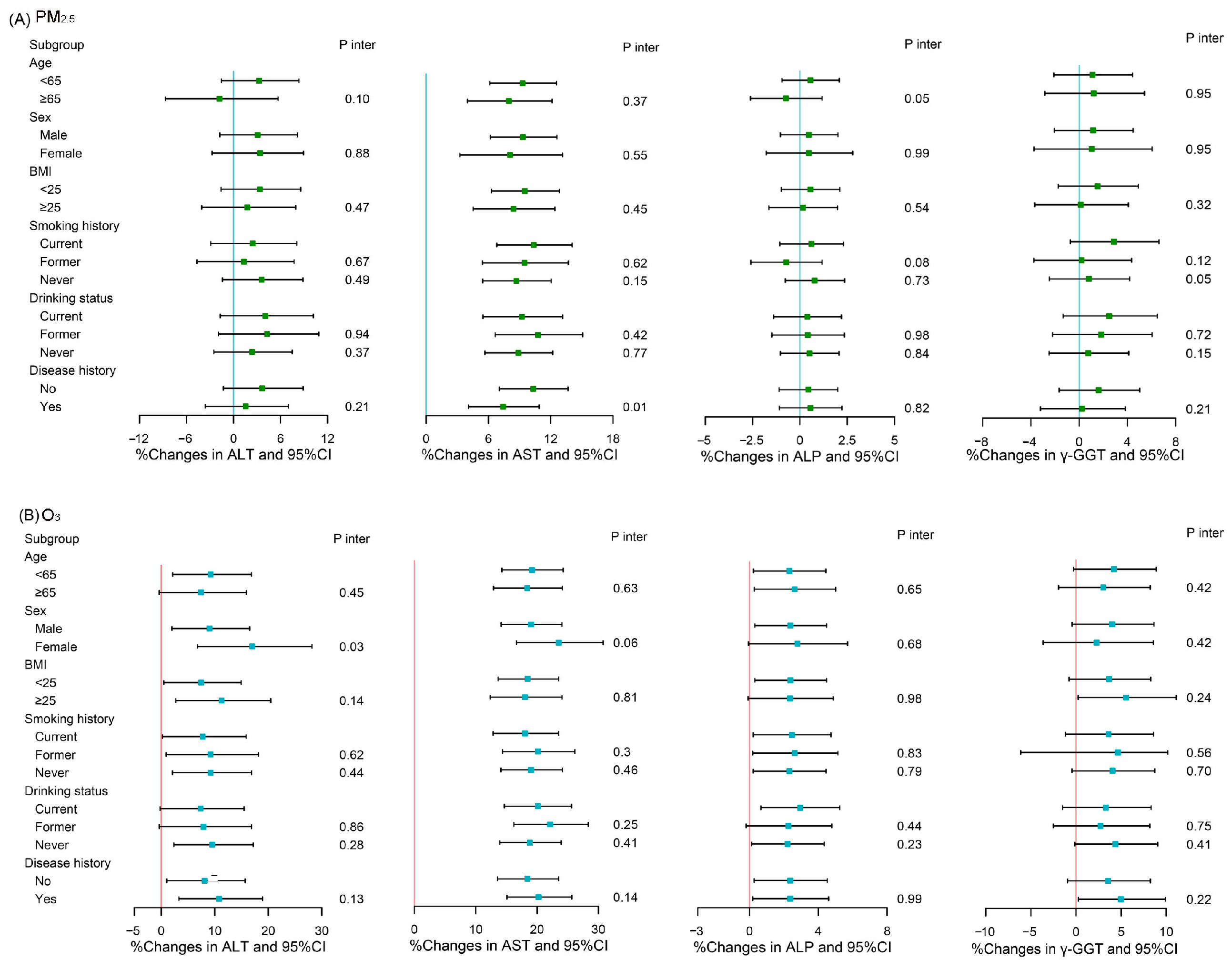
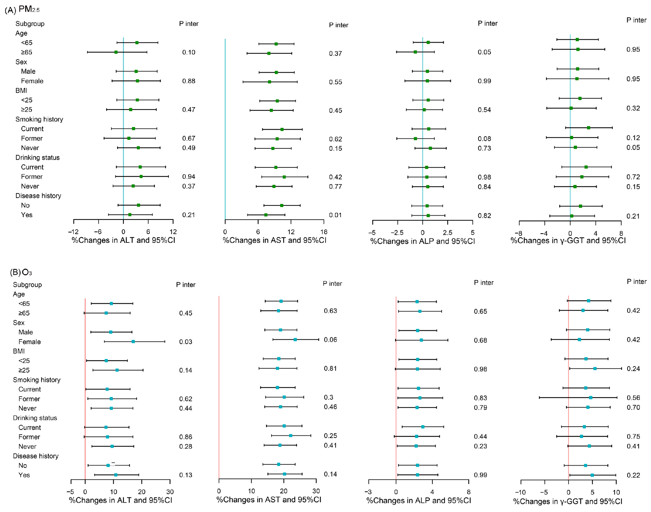
3.4. Stratified Analyses
3.5. Sensitivity Analyses
4. Discussion
5. Conclusions
Supplementary Materials
Author Contributions
Funding
Institutional Review Board Statement
Informed Consent Statement
Data Availability Statement
Acknowledgments
Conflicts of Interest
References
- Manisalidis, I.; Stavropoulou, E.; Stavropoulos, A.; Bezirtzoglou, E. Environmental and Health Impacts of Air Pollution: A Review. Front. Public Health 2020, 8, 14. [Google Scholar]
- Chen, X.; Liu, J.; Zhou, J.; Wang, J.; Chen, C.; Song, Y.; Pan, J. Urban particulate matter (PM) suppresses airway antibacterial defence. Respir. Res. 2018, 19, 5. [Google Scholar] [CrossRef]
- Yarragunta, Y.; Srivastava, S.; Mitra, D.; Chandola, H.C. Influence of forest fire episodes on the distribution of gaseous air pollutants over Uttarakhand, India. GIsci. Remote Sens. 2020, 57, 190–206. [Google Scholar] [CrossRef]
- Cohen, A.J.; Brauer, M.; Burnett, R.; Anderson, H.R.; Frostad, J.; Estep, K.; Balakrishnan, K.; Brunekreef, B.; Dandona, L.; Dandona, R.; et al. Estimates and 25-year trends of the global burden of disease attributable to ambient air pollution: An analysis of data from the Global Burden of Diseases Study 2015. Lancet 2017, 389, 1907–1918. [Google Scholar] [CrossRef] [PubMed]
- Fuller, R.; Landrigan, P.J.; Balakrishnan, K.; Bathan, G.; Bose-O’Reilly, S.; Brauer, M.; Caravanos, J.; Chiles, T.; Cohen, A.; Corra, L.; et al. Pollution and health: A progress update. Lancet Planet. Health 2022, 6, e535–e547. [Google Scholar] [CrossRef] [PubMed]
- Pan, M.; Li, S.; Tu, R.; Li, R.; Liu, X.; Chen, R.; Yu, S.; Mao, Z.; Huo, W.; Yin, S.; et al. Associations of solid fuel use and ambient air pollution with estimated 10-year atherosclerotic cardiovascular disease risk. Environ. Int. 2021, 157, 106865. [Google Scholar] [CrossRef] [PubMed]
- Wang, L.; Xie, J.; Hu, Y.; Tian, Y. Air pollution and risk of chronic obstructed pulmonary disease: The modifying effect of genetic susceptibility and lifestyle. eBioMedicine 2022, 79, 103994. [Google Scholar] [CrossRef]
- Chen, M.; Qin, Q.; Liu, F.; Wang, Y.; Wu, C.; Yan, Y.; Xiang, H. How long-term air pollution and its metal constituents affect type 2 diabetes mellitus prevalence? Results from Wuhan Chronic Disease Cohort. Environ. Res. 2022, 212, 113158. [Google Scholar] [CrossRef]
- Pan, W.C.; Wu, C.D.; Chen, M.J.; Huang, Y.T.; Chen, C.J.; Su, H.J.; Yang, H.I. Fine Particle Pollution, Alanine Transaminase, and Liver Cancer: A Taiwanese Prospective Cohort Study (REVEAL-HBV). J. Natl. Cancer Inst. 2016, 108, djv341. [Google Scholar] [CrossRef]
- Orioli, R.; Solimini, A.G.; Michelozzi, P.; Forastiere, F.; Davoli, M.; Cesaroni, G. A cohort study on long-term exposure to air pollution and incidence of liver cirrhosis. Environ. Epidemiol. 2020, 4, e109. [Google Scholar] [CrossRef]
- Sun, S.; Yang, Q.; Zhou, Q.; Cao, W.; Yu, S.; Zhan, S.; Sun, F. Long-term exposure to fine particulate matter and non-alcoholic fatty liver disease: A prospective cohort study. Gut 2022, 71, 443–445. [Google Scholar] [CrossRef]
- Giannini, E.G.; Testa, R.; Savarino, V. Liver enzyme alteration: A guide for clinicians. Can. Med Assoc. J. 2005, 172, 367–379. [Google Scholar] [CrossRef] [PubMed]
- Lazo, M.; Hernaez, R.; Eberhardt, M.S.; Bonekamp, S.; Kamel, I.; Guallar, E.; Koteish, A.; Brancati, F.L.; Clark, J.M. Prevalence of nonalcoholic fatty liver disease in the United States: The Third National Health and Nutrition Examination Survey, 1988–1994. Am. J. Epidemiol. 2013, 178, 38–45. [Google Scholar] [CrossRef]
- Pejhan, A.; Agah, J.; Adli, A.; Mehrabadi, S.; Raoufinia, R.; Mokamel, A.; Abroudi, M.; Ghalenovi, M.; Sadeghi, Z.; Bolghanabadi, Z.; et al. Exposure to air pollution during pregnancy and newborn liver function. Chemosphere 2019, 226, 447–453. [Google Scholar] [CrossRef]
- Kim, H.J.; Min, J.Y.; Seo, Y.S.; Min, K.B. Association of Ambient Air Pollution with Increased Liver Enzymes in Korean Adults. Int. J. Environ. Res. Public Health 2019, 16, 1213. [Google Scholar] [CrossRef]
- Qiu, W.; Zhou, Y.; He, H.; Wang, B.; Mu, G.; Zhou, M.; Ma, J.; Zhang, Z.; Cao, L.; Xiao, L.; et al. Short-term effects of air pollution on liver function among urban adults in China. Atmos. Environ. 2021, 245, 118011. [Google Scholar] [CrossRef]
- Effros, R.B.; Fletcher, C.V.; Gebo, K.; Halter, J.B.; Hazzard, W.R.; Horne, F.M.; Huebner, R.E.; Janoff, E.N.; Justice, A.C.; Kuritzkes, D.; et al. Aging and infectious diseases: Workshop on HIV infection and aging: What is known and future research directions. Clin. Infect. Dis. 2008, 47, 542–553. [Google Scholar] [CrossRef]
- Desquilbet, L.; Jacobson, L.P.; Fried, L.P.; Phair, J.P.; Jamieson, B.D.; Holloway, M.; Margolick, J.B. HIV-1 infection is associated with an earlier occurrence of a phenotype related to frailty. J. Gerontol. A Biol. Sci. Med. Sci. 2007, 62, 1279–1286. [Google Scholar] [PubMed]
- Tesfa, E.; Siefu, D.; Belayneh, Y.; Mekonnen, Z. Liver enzyme elevation in patients taking HAART compared with treatment naïve controls at Debre Berhan Referral Hospital: A comparative cross-sectional study, Northeast Ethiopia. BMC Res. Notes 2019, 12, 714. [Google Scholar] [CrossRef] [PubMed]
- Shiferaw, M.B.; Tulu, K.T.; Zegeye, A.M.; Wubante, A.A. Liver Enzymes Abnormalities among Highly Active Antiretroviral Therapy Experienced and HAART Naïve HIV-1 Infected Patients at Debre Tabor Hospital, North West Ethiopia: A Comparative Cross-Sectional Study. AIDS Res. Treat. 2016, 2016, 1985452. [Google Scholar] [CrossRef]
- Liang, W.; Wang, X.; Xie, N.; Yan, H.; Ma, H.; Liu, M.; Kong, W.; Zhu, Z.; Bai, W.; Xiang, H. Short-term associations of PM2.5 and PM2.5 constituents with immune biomarkers: A panel study in people living with HIV/AIDS. Environ. Pollut. 2023, 317, 120743. [Google Scholar] [CrossRef] [PubMed]
- Geng, G.; Xiao, Q.; Liu, S.; Liu, X.; Cheng, J.; Zheng, Y.; Xue, T.; Tong, D.; Zheng, B.; Peng, Y.; et al. Tracking Air Pollution in China: Near Real-Time PM2.5 Retrievals from Multisource Data Fusion. Environ. Sci. Technol. 2021, 55, 12106–12115. [Google Scholar] [CrossRef] [PubMed]
- Xue, T.; Zheng, Y.; Geng, G.; Xiao, Q.; Meng, X.; Wang, M.; Li, X.; Wu, N.; Zhang, Q.; Zhu, T.; et al. Estimating Spatiotemporal Variation in Ambient Ozone Exposure during 2013–2017 Using a Data-Fusion Model. Environ. Sci. Technol. 2020, 54, 14877–14888. [Google Scholar] [CrossRef]
- Geng, G.N.; Zhang, Q.; Tong, D.; Li, M.; Zheng, Y.X.; Wang, S.W.; He, K. Chemical composition of ambient PM2.5 over China and relationship to precursor emissions during 2005–2012. Atmos. Chem. Phys. 2017, 17, 9187–9203. [Google Scholar] [CrossRef]
- Cefalu, M.; Dominici, F. Does exposure prediction bias health-effect estimation?: The relationship between confounding adjustment and exposure prediction. Epidemiology 2014, 25, 583–590. [Google Scholar] [CrossRef] [PubMed]
- Lu, Y.; Zhang, Y.; Guan, Q.; Xu, L.; Zhao, S.; Duan, J.; Wang, Y.; Xia, Y.; Xu, Q. Exposure to multiple trace elements and miscarriage during early pregnancy: A mixtures approach. Environ. Int. 2022, 162, 107161. [Google Scholar] [CrossRef]
- Kim, K.N.; Lee, H.; Kim, J.H.; Jung, K.; Lim, Y.H.; Hong, Y.C. Physical Activity- and Alcohol-dependent Association Between Air Pollution Exposure and Elevated Liver Enzyme Levels: An Elderly Panel Study. J. Prev. Med. Public Health 2015, 48, 151–169. [Google Scholar] [CrossRef]
- Li, Y.; Yuan, X.; Wei, J.; Sun, Y.; Ni, W.; Zhang, H.; Zhang, Y.; Wang, R.; Xu, R.; Liu, T.; et al. Long-term exposure to ambient air pollution and serum liver enzymes in older adults: A population-based longitudinal study. Ann. Epidemiol. 2022, 74, 1–7. [Google Scholar] [CrossRef]
- Markevych, I.; Wolf, K.; Hampel, R.; Breitner, S.; Schneider, A.; von Klot, S.; Cyrys, J.; Heinrich, J.; Döring, A.; Beelen, R.; et al. Air pollution and liver enzymes. Epidemiology 2013, 24, 934–935. [Google Scholar] [CrossRef]
- Li, K.; Jacob, D.J.; Liao, H.; Zhu, J.; Shah, V.; Shen, L.; Bates, K.H.; Zhang, Q.; Zhai, S. A two-pollutant strategy for improving ozone and particulate air quality in China. Nat. Geosci. 2019, 12, 906–910. [Google Scholar]
- Zhao, C.; Pu, W.; Wazir, J.; Jin, X.; Wei, L.; Song, S.; Su, Z.; Li, J.; Deng, Y.; Wang, H. Long-term exposure to PM2.5 aggravates pulmonary fibrosis and acute lung injury by disrupting Nrf2-mediated antioxidant function. Environ. Pollut. 2022, 313, 120017. [Google Scholar] [CrossRef]
- Wu, T.; Li, Z.; Wei, Y. Advances in understanding mechanisms underlying mitochondrial structure and function damage by ozone. Sci. Total Environ. 2023, 861, 160589. [Google Scholar]
- Kelly, F.J.; Fussell, J.C. Size, source and chemical composition as determinants of toxicity attributable to ambient particulate matter. Atmos. Environ. 2012, 60, 504–526. [Google Scholar]
- Zhang, R.; Zhang, X.; Gao, S.; Liu, R. Assessing the in vitro and in vivo toxicity of ultrafine carbon black to mouse liver. Sci. Total Environ. 2019, 655, 1334–1341. [Google Scholar] [CrossRef] [PubMed]
- So, R.; Chen, J.; Mehta, A.J.; Liu, S.; Strak, M.; Wolf, K.; Hvidtfeldt, U.A.; Rodopoulou, S.; Stafoggia, M.; Klompmaker, J.O.; et al. Long-term exposure to air pollution and liver cancer incidence in six European cohorts. Int. J. Cancer 2021, 149, 1887–1897. [Google Scholar] [CrossRef] [PubMed]
- Takikawa, H.; Tomita, J.; Takemura, T.; Yamanaka, M. Cytotoxic effect and uptake mechanism by isolated rat hepatocytes of lithocholate and its glucuronide and sulfate. Biochim. Biophys. Acta 1991, 1091, 173–178. [Google Scholar] [CrossRef] [PubMed]
- Meng, H.; Niu, R.; You, H.; Wang, L.; Feng, R.; Huang, C.; Li, J. Interleukin-9 attenuates inflammatory response and hepatocyte apoptosis in alcoholic liver injury. Life Sci. 2021, 288, 120180. [Google Scholar] [CrossRef] [PubMed]
- Mahapatra, P.S.; Jain, S.; Shrestha, S.; Senapati, S.; Puppala, S.P. Ambient endotoxin in PM10 and association with inflammatory activity, air pollutants, and meteorology, in Chitwan, Nepal. Sci. Total Environ. 2018, 618, 1331–1342. [Google Scholar] [CrossRef]
- Kim, J.W.; Park, S.; Lim, C.W.; Lee, K.; Kim, B. The role of air pollutants in initiating liver disease. Toxicol. Res. 2014, 30, 65–70. [Google Scholar] [CrossRef]
- Wilson, D.W.; Aung, H.H.; Lame, M.W.; Plummer, L.; Pinkerton, K.E.; Ham, W.; Kleeman, M.; Norris, J.W.; Tablin, F. Exposure of mice to concentrated ambient particulate matter results in platelet and systemic cytokine activation. Inhal. Toxicol. 2010, 22, 267–276. [Google Scholar] [CrossRef]
- Ipp, H.; Zemlin, A.E.; Erasmus, R.T.; Glashoff, R.H. Role of inflammation in HIV-1 disease progression and prognosis. Crit. Rev. Clin. Lab. Sci. 2014, 51, 98–111. [Google Scholar] [CrossRef] [PubMed]
- Green, R.M.; Flamm, S. AGA technical review on the evaluation of liver chemistry tests. Gastroenterology 2002, 123, 1367–1384. [Google Scholar] [CrossRef] [PubMed]
- Reyes-Gordillo, K.; Shah, R.; Muriel, P. Oxidative Stress and Inflammation in Hepatic Diseases: Current and Future Therapy. Oxid. Med. Cell. Longev. 2017, 2017, 3140673. [Google Scholar] [CrossRef]
- Campreciós, G.; Ruart, M.; Anton, A.; Suárez-Herrera, N.; Montironi, C.; Martínez, C.; Jiménez, N.; Lafoz, E.; García-Calderó, H.; Vilaseca, M.; et al. Spermidine Supplementation Protects the Liver Endothelium from Liver Damage in Mice. Nutrients 2021, 13, 3700. [Google Scholar] [CrossRef] [PubMed]
- Yang, J.; Huo, T.; Zhang, X.; Ma, J.; Wang, Y.; Dong, F.; Deng, J. Oxidative stress and cell cycle arrest induced by short-term exposure to dustfall PM2.5 in A549 cells. Environ. Sci. Pollut. Res. Int. 2018, 25, 22408–22419. [Google Scholar] [CrossRef]
- Arciello, M.; Gori, M.; Maggio, R.; Barbaro, B.; Tarocchi, M.; Galli, A.; Balsano, C. Environmental pollution: A tangible risk for NAFLD pathogenesis. Int. J. Mol. Sci. 2013, 14, 22052–22066. [Google Scholar] [CrossRef]
- Xu, M.-X.; Ge, C.-X.; Qin, Y.-T.; Gu, T.-T.; Lou, D.-S.; Li, Q.; Hu, L.-F.; Feng, J.; Huang, P.; Tan, J. Prolonged PM2.5 exposure elevates risk of oxidative stress-driven nonalcoholic fatty liver disease by triggering increase of dyslipidemia. Free Radic. Biol. Med. 2019, 130, 542–556. [Google Scholar] [CrossRef]
- Huang, X.; Liang, H.; Fan, X.; Zhu, L.; Shen, T. Liver Damage in Patients with HCV/HIV Coinfection Is Linked to HIV-Related Oxidative Stress. Oxid. Med. Cell. Longev. 2016, 2016, 8142431. [Google Scholar] [CrossRef]
- Buha, A.; Antonijević, B.; Milovanović, V.; Janković, S.; Bulat, Z.; Matović, V. Polychlorinated biphenyls as oxidative stress inducers in liver of subacutely exposed rats: Implication for dose-dependence toxicity and benchmark dose concept. Environ. Res. 2015, 136, 309–317. [Google Scholar] [CrossRef]
- Hu, R.; Xie, X.-Y.; Xu, S.-K.; Wang, Y.-N.; Jiang, M.; Wen, L.-R.; Lai, W.; Guan, L. PM2.5 Exposure Elicits Oxidative Stress Responses and Mitochondrial Apoptosis Pathway Activation in HaCaT Keratinocytes. Chin. Med. J. 2017, 130, 2205–2214. [Google Scholar] [CrossRef] [PubMed]
- Shin, H.H.; Maquiling, A.; Thomson, E.M.; Park, I.W.; Stieb, D.M.; Dehghani, P. Sex-difference in air pollution-related acute circulatory and respiratory mortality and hospitalization. Sci. Total Environ. 2022, 806, 150515. [Google Scholar] [CrossRef] [PubMed]
- Cheng, H.; Zhu, F.; Lei, R.; Shen, C.; Liu, J.; Yang, M.; Ding, R.; Cao, J. Associations of ambient PM2.5 and O3 with cardiovascular mortality: A time-series study in Hefei, China. Int. J. Biometeorol. 2019, 63, 1437–1447. [Google Scholar] [CrossRef] [PubMed]
- Ekström, M.; Sundh, J.; Schiöler, L.; Lindberg, E.; Rosengren, A.; Bergström, G.; Angerås, O.; Hedner, J.; Brandberg, J.; Bake, B.; et al. Absolute lung size and the sex difference in breathlessness in the general population. PLoS ONE 2018, 13, e0190876. [Google Scholar] [CrossRef] [PubMed]
- Lu, Y.-K.; Liu, X.-L.; Liu, Y.-H.; Chen, N.; Gao, H.-Y.; Jin, Y.-H.; Yan, Y.-X. The effects of short-term exposure to air pollution on mortality in Baotou, China, during 2015–2019. Environ. Geochem. Health 2022, 45, 3387–3404. [Google Scholar] [CrossRef] [PubMed]



| Characteristics | n (%)/Mean ± SD |
|---|---|
| Age (years) | 47.64 ± 14.93 |
| Sex | |
| Male | 128 (93.43) |
| Female | 9 (6.57) |
| BMI (kg/m2) | 22.13 ± 2.88 |
| Occupation | |
| Office worker | 71 (51.82) |
| Manual worker | 26 (18.98) |
| Other | 40 (29.20) |
| Education | |
| Junior | 39 (28.46) |
| Senior | 32 (23.36) |
| College or above | 66 (48.18) |
| Marital status | |
| Unmarried | 55 (40.15) |
| Divorced | 24 (17.52) |
| Married | 58 (42.33) |
| Annual income | |
| <RMB 50,000 | 73 (53.28) |
| RMB 50,000–100,000 | 43 (31.39) |
| >RMB 100,000 | 21 (15.33) |
| Smoking history | |
| Current | 33 (24.09) |
| Former | 21 (15.33) |
| Never | 83 (60.58) |
| Drinking status | |
| Current | 28 (20.44) |
| Former | 18 (13.14) |
| Never | 91 (66.42) |
| Disease history | |
| No | 89 (64.96) |
| Hypertension | 23 (16.79) |
| Diabetes | 8 (5.84) |
| Cardiovascular disease | 7 (5.11) |
| Other diseases | 10 (7.30) |
| ALT (U/L) | 30.52 ± 24.41 |
| AST(U/L) | 69.54 ± 25.95 |
| ALP (U/L) | 96.08 ± 24.98 |
| γ-GGT (U/L) | 52.62 ± 39.91 |
| Variables | Mean | SD | IQR | Min | Max |
|---|---|---|---|---|---|
| PM2.5 (µg/m3) | 39.8 | 27.0 | 37.5 | 6.6 | 96.0 |
| O3 (µg/m3) | 100.7 | 24.1 | 33.7 | 53.1 | 136.6 |
| SO42− (µg/m3) | 5.5 | 3.6 | 5.4 | 0.8 | 15.7 |
| NH4+ (µg/m3) | 4.2 | 3.2 | 6.0 | 0.4 | 12.3 |
| NO3− (µg/m3) | 6.7 | 5.2 | 9.5 | 0.5 | 18.3 |
| OM (µg/m3) | 11.9 | 8.9 | 10.4 | 1.1 | 31.7 |
| BC (µg/m3) | 2.1 | 1.4 | 1.8 | 0.2 | 5.2 |
| Temperature (°C) | 19.0 | 8.5 | 9.3 | 3.6 | 31.6 |
| Category | % Changes in Hepatic Enzymes and 95%CI | |||
|---|---|---|---|---|
| ALT | AST | ALP | γ-GGT | |
| PM2.5low-O3low | Reference | Reference | Reference | Reference |
| PM2.5low-O3high | 3.43 (−11.36, 20.69) | 19.58 (8.41, 31.90) | −2.22 (−6.73, 2.51) | 0.19 (−9.43, 10.83) |
| PM2.5high-O3low | 29.80 (−3.11, 73.89) | 36.42 (13.59, 63.84) | −6.77 (−14.87, 2.09) | 8.40 (−10.72, 31.62) |
| PM2.5high-O3high | 12.06 (−6.41, 34.19) | 31.79 (17.57, 47.74) | −3.24 (−8.44, 2.26) | 6.66 (−5.23, 20.03) |
| Synergy index | 0.363 | 0.568 | 0.360 | 0.775 |
Disclaimer/Publisher’s Note: The statements, opinions and data contained in all publications are solely those of the individual author(s) and contributor(s) and not of MDPI and/or the editor(s). MDPI and/or the editor(s) disclaim responsibility for any injury to people or property resulting from any ideas, methods, instructions or products referred to in the content. |
© 2023 by the authors. Licensee MDPI, Basel, Switzerland. This article is an open access article distributed under the terms and conditions of the Creative Commons Attribution (CC BY) license (https://creativecommons.org/licenses/by/4.0/).
Share and Cite
Ma, H.; Zhang, Q.; Liang, W.; Han, A.; Xie, N.; Xiang, H.; Wang, X. Short-Term Exposure to PM2.5 and O3 Impairs Liver Function in HIV/AIDS Patients: Evidence from a Repeated Measurements Study. Toxics 2023, 11, 729. https://doi.org/10.3390/toxics11090729
Ma H, Zhang Q, Liang W, Han A, Xie N, Xiang H, Wang X. Short-Term Exposure to PM2.5 and O3 Impairs Liver Function in HIV/AIDS Patients: Evidence from a Repeated Measurements Study. Toxics. 2023; 11(9):729. https://doi.org/10.3390/toxics11090729
Chicago/Turabian StyleMa, Hongfei, Qian Zhang, Wei Liang, Aojing Han, Nianhua Xie, Hao Xiang, and Xia Wang. 2023. "Short-Term Exposure to PM2.5 and O3 Impairs Liver Function in HIV/AIDS Patients: Evidence from a Repeated Measurements Study" Toxics 11, no. 9: 729. https://doi.org/10.3390/toxics11090729
APA StyleMa, H., Zhang, Q., Liang, W., Han, A., Xie, N., Xiang, H., & Wang, X. (2023). Short-Term Exposure to PM2.5 and O3 Impairs Liver Function in HIV/AIDS Patients: Evidence from a Repeated Measurements Study. Toxics, 11(9), 729. https://doi.org/10.3390/toxics11090729

