Spatial–Temporal Variations, Ecological Risk Assessment, and Source Identification of Heavy Metals in the Sediments of a Shallow Eutrophic Lake, China
Abstract
:1. Introduction
2. Materials and Methods
2.1. Study Area and Sample Collection
2.2. Chemical Analysis
2.3. Assessment of Metal Pollution in the Sediment
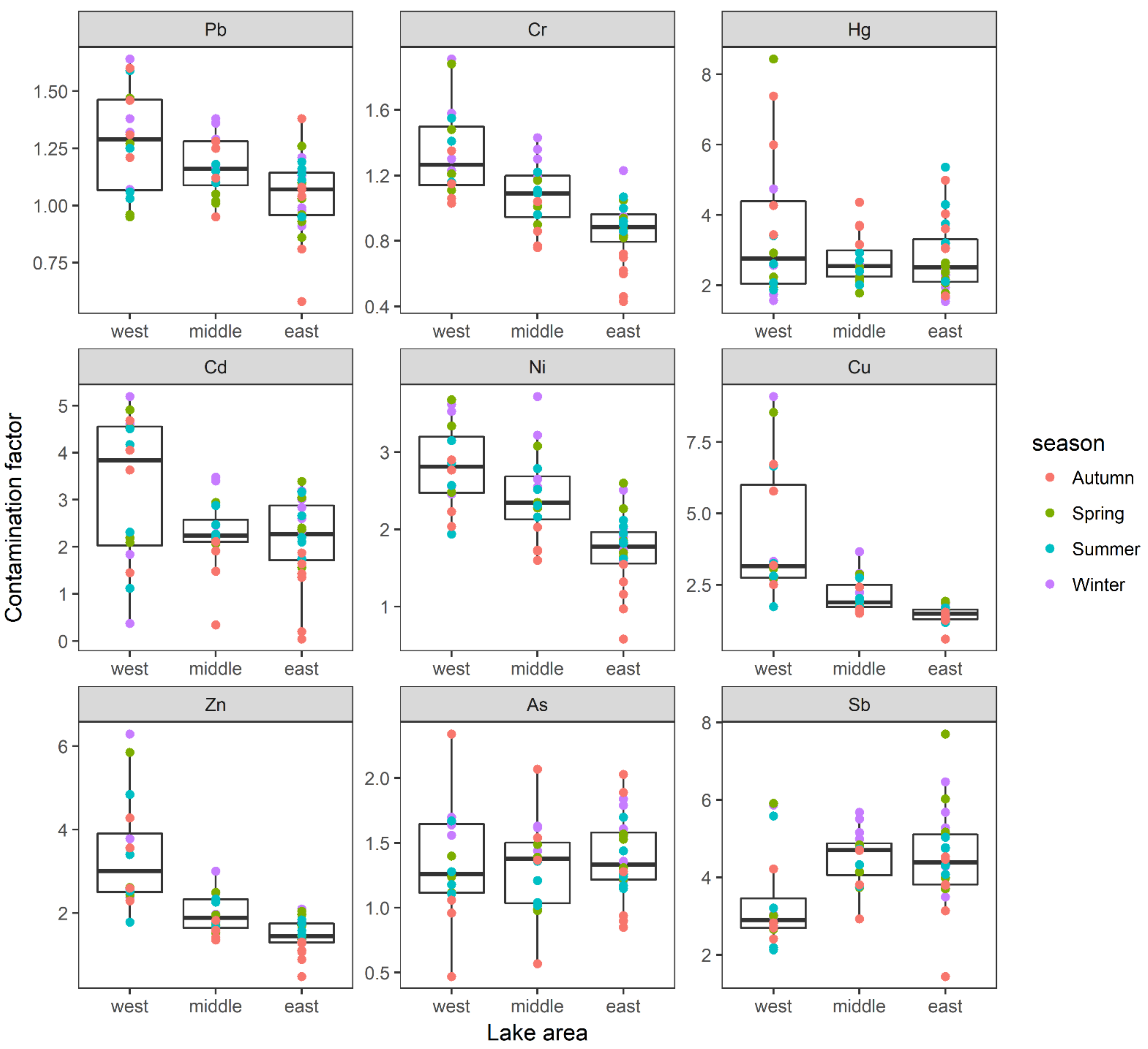
2.3.1. Contamination Factor (CF)
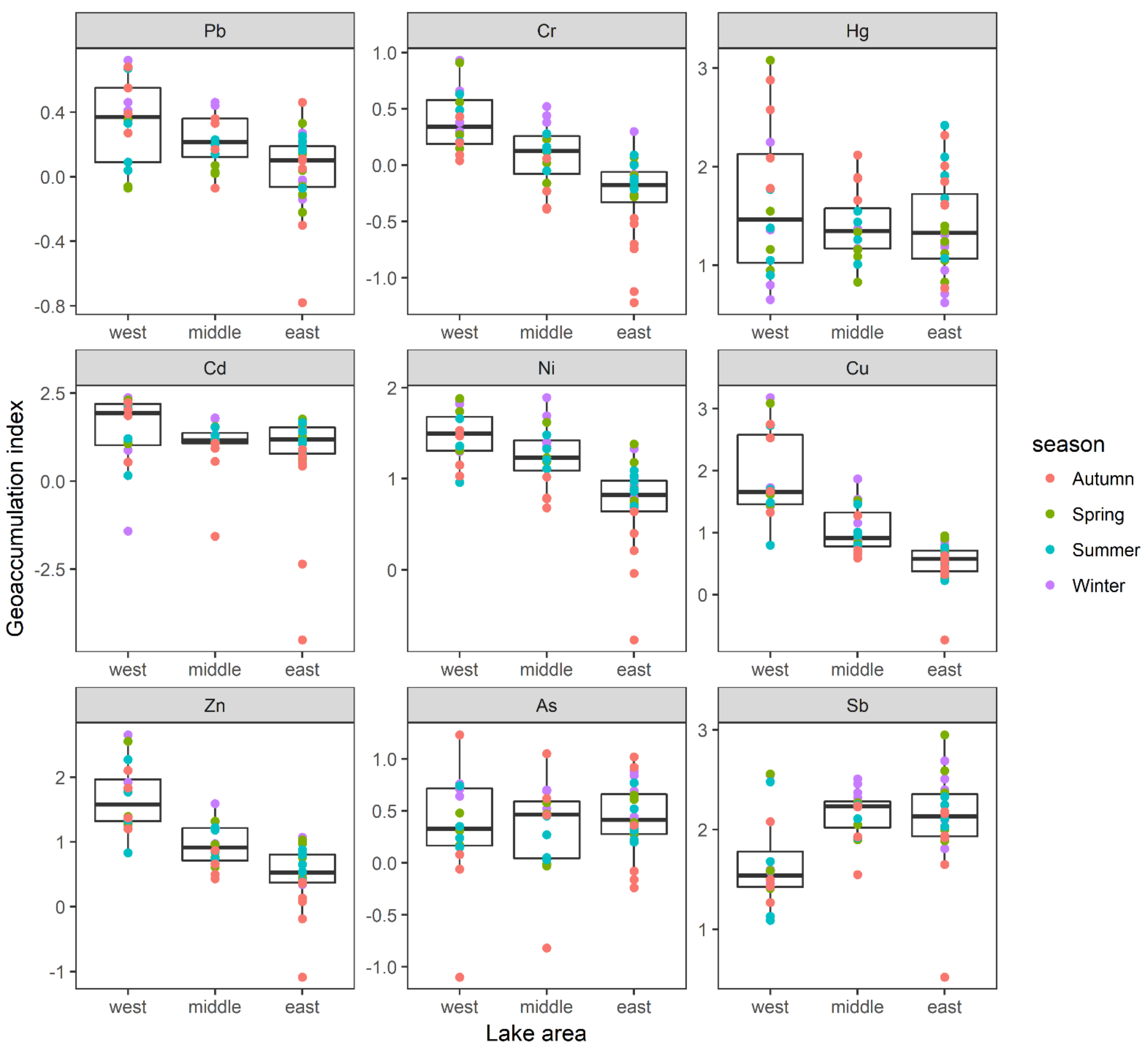
2.3.2. Geoaccumulation Index (Igeo)
2.3.3. Pollution Load Index (PLI)
2.3.4. Single Ecological Risk Index (Er)
2.3.5. Combined Ecological Risk Index (RI)
2.4. Statistical Analysis
3. Results
3.1. Spatial and Temporal Variations of Heavy Metals in the Surface Sediment
3.2. Vertical Distributions of Heavy Metals in the Deep Sediment
3.3. Ecological Risks Assessment of Heavy Metals in the Lake Sediments
3.4. Source Identification of Heavy Metals in the Lake Sediments
4. Discussion
4.1. Spatial–Temporal Variations of Heavy Metals in the Sediment
4.2. Risk Assessment of Heavy Metals in the Sediment
4.3. Source Appointment of Heavy Metals in the Sediment
5. Conclusions
Supplementary Materials
Author Contributions
Funding
Institutional Review Board Statement
Informed Consent Statement
Data Availability Statement
Acknowledgments
Conflicts of Interest
References
- Kostka, A.; Leśniak, A. Spatial and geochemical aspects of heavy metal distribution in lacustrine sediments, using the example of Lake Wigry (Poland). Chemosphere 2020, 240, 124879. [Google Scholar] [CrossRef]
- Zhuang, W.; Ying, S.C.; Frie, A.L.; Wang, Q.; Song, J.; Liu, Y.; Chen, Q.; Lai, X. Distribution, pollution status, and source apportionment of trace metals in lake sediments under the influence of the South-to-North Water Transfer Project, China. Sci. Total Environ. 2019, 671, 108–118. [Google Scholar] [CrossRef]
- Ji, Z.; Zhang, H.; Zhang, Y.; Chen, T.; Long, Z.; Li, M.; Pei, Y. Distribution, ecological risk and source identification of heavy metals in sediments from the Baiyangdian Lake, Northern China. Chemosphere 2019, 237, 124425. [Google Scholar] [CrossRef]
- Fang, T.; Lu, W.; Cui, K.; Li, J.; Yang, K.; Zhao, X.; Liang, Y.; Li, H. Distribution, bioaccumulation and trophic transfer of trace metals in the food web of Chaohu Lake, Anhui, China. Chemosphere 2019, 218, 1122–1130. [Google Scholar] [CrossRef]
- Li, M.; Zhang, Q.; Sun, X.; Karki, K.; Zeng, C.; Pandey, A.; Rawat, B.; Zhang, F. Heavy metals in surface sediments in the trans-Himalayan Koshi River catchment: Distribution, source identification and pollution assessment. Chemosphere 2020, 244, 125410. [Google Scholar] [CrossRef]
- Pandey, L.K.; Park, J.; Son, D.H.; Kim, W.; Islam, M.S.; Choi, S.; Lee, H.; Han, T. Assessment of metal contamination in water and sediments from major rivers in South Korea from 2008 to 2015. Sci. Total Environ. 2019, 651, 323–333. [Google Scholar] [CrossRef]
- Zhang, Z.; Lu, Y.; Li, H.; Tu, Y.; Liu, B.; Yang, Z. Assessment of heavy metal contamination, distribution and source identification in the sediments from the Zijiang River, China. Sci. Total Environ. 2018, 645, 235–243. [Google Scholar] [CrossRef]
- Zhao, L.; Gong, D.; Zhao, W.; Lin, L.; Yang, W.; Guo, W.; Tang, X.; Li, Q. Spatial-temporal distribution characteristics and health risk assessment of heavy metals in surface water of the Three Gorges Reservoir, China. Sci. Total Environ. 2020, 704, 134883. [Google Scholar] [CrossRef]
- Tian, K.; Wu, Q.; Liu, P.; Hu, W.; Huang, B.; Shi, B.; Zhou, Y.; Kwon, B.-O.; Choi, K.; Ryu, J.; et al. Ecological risk assessment of heavy metals in sediments and water from the coastal areas of the Bohai Sea and the Yellow Sea. Environ. Int. 2020, 136, 105512. [Google Scholar] [CrossRef]
- Baltas, H.; Sirin, M.; Gökbayrak, E.; Ozcelik, A.E. A case study on pollution and a human health risk assessment of heavy metals in agricultural soils around Sinop province, Turkey. Chemosphere 2020, 241, 125015. [Google Scholar] [CrossRef]
- Xu, Q.; Chu, Z.; Gao, Y.; Mei, Y.; Yang, Z.; Huang, Y.; Yang, L.; Xie, Z.; Sun, L. Levels, sources and influence mechanisms of heavy metal contamination in topsoils in Mirror Peninsula, East Antarctica. Environ. Pollut. 2019, 257, 113552. [Google Scholar] [CrossRef]
- Berar Sur, I.M.; Micle, V.; Avram, S.; Senila, M.; Oros, V. Bioleaching of some heavy metals from polluted soils. Environ. Eng. Manag. J. 2012, 11, 1389–1393. [Google Scholar]
- Crian, H.G.; Crian, O.A.; Pustan, M.S.; Brleanu, C.J.; Merie, V.V. Microscopic testing and analysis of drinking water filters after the final life cycle, using an experimental stand. IOP Conf. Ser. Mater. Sci. Eng. 2020, 724, 012036. [Google Scholar] [CrossRef]
- Van Ael, E.; Blust, R.; Bervoets, L. Metals in the Scheldt estuary: From environmental concentrations to bioaccumulation. Environ. Pollut. 2017, 228, 82–91. [Google Scholar] [CrossRef]
- Li, S.; Zhang, Q. Risk assessment and seasonal variations of dissolved trace elements and heavy metals in the Upper Han River, China. J. Hazard. Mater. 2010, 181, 1051–1058. [Google Scholar] [CrossRef]
- Shuchun, Y.; Bin, X. Nutrients and heavy metals in multi-cores from Zhushan Bay at Taihu Lake, the largest shallow lake in the Yangtze Delta, China. Quat. Int. 2010, 226, 23–28. [Google Scholar] [CrossRef]
- Suresh, G.; Sutharsan, P.; Ramasamy, V.; Venkatachalapathy, R. Assessment of spatial distribution and potential ecological risk of the heavy metals in relation to granulometric contents of Veeranam lake sediments, India. Ecotoxicol. Environ. Saf. 2012, 84, 117–124. [Google Scholar] [CrossRef]
- Dai, L.; Wang, L.; Li, L.; Liang, T.; Zhang, Y.; Ma, C.; Xing, B. Multivariate geostatistical analysis and source identification of heavy metals in the sediment of Poyang Lake in China. Sci. Total Environ. 2018, 621, 1433–1444. [Google Scholar] [CrossRef]
- Ke, X.; Gui, S.; Huang, H.; Zhang, H.; Wang, C.; Guo, W. Ecological risk assessment and source identification for heavy metals in surface sediment from the Liaohe River protected area, China. Chemosphere 2017, 175, 473–481. [Google Scholar] [CrossRef]
- Vareda, J.P.; Valente, A.J.M.; Durães, L. Assessment of heavy metal pollution from anthropogenic activities and remediation strategies: A review. J. Environ. Manag. 2019, 246, 101–118. [Google Scholar] [CrossRef]
- Guo, W.; Huo, S.; Xi, B.; Zhang, J.; Wu, F. Heavy metal contamination in sediments from typical lakes in the five geographic regions of China: Distribution, bioavailability, and risk. Ecol. Eng. 2015, 81, 243–255. [Google Scholar] [CrossRef]
- Hou, D.; He, J.; Lü, C.; Ren, L.; Fan, Q.; Wang, J.; Xie, Z. Distribution characteristics and potential ecological risk assessment of heavy metals (Cu, Pb, Zn, Cd) in water and sediments from Lake Dalinouer, China. Ecotoxicol. Environ. Saf. 2013, 93, 135–144. [Google Scholar] [CrossRef]
- Ji, Z.; Zhang, Y.; Zhang, H.; Huang, C.; Pei, Y. Fraction spatial distributions and ecological risk assessment of heavy metals in the sediments of Baiyangdian Lake. Ecotoxicol. Environ. Saf. 2019, 174, 417–428. [Google Scholar] [CrossRef]
- Ma, X.; Zuo, H.; Tian, M.; Zhang, L.; Meng, J.; Zhou, X.; Min, N.; Chang, X.; Liu, Y. Assessment of heavy metals contamination in sediments from three adjacent regions of the Yellow River using metal chemical fractions and multivariate analysis techniques. Chemosphere 2016, 144, 264–272. [Google Scholar] [CrossRef]
- Lin, Q.; Liu, E.; Zhang, E.; Li, K.; Shen, J. Spatial distribution, contamination and ecological risk assessment of heavy metals in surface sediments of Erhai Lake, a large eutrophic plateau lake in southwest China. CATENA 2016, 145, 193–203. [Google Scholar] [CrossRef]
- Wang, S.; Wang, W.; Chen, J.; Zhao, L.; Zhang, B.; Jiang, X. Geochemical baseline establishment and pollution source determination of heavy metals in lake sediments: A case study in Lihu Lake, China. Sci. Total Environ. 2019, 657, 978–986. [Google Scholar] [CrossRef]
- Varol, M.; Canpolat, Ö.; Eriş, K.K.; Çağlar, M. Trace metals in core sediments from a deep lake in eastern Turkey: Vertical concentration profiles, eco-environmental risks and possible sources. Ecotoxicol. Environ. Saf. 2020, 189, 110060. [Google Scholar] [CrossRef]
- Xu, J.Y.; Xu, L.G.; Zheng, L.L.; Liu, B.G.; Liu, J.F.; Wang, X.L. Distribution, risk assessment, and source analysis of heavy metals in sediment of rivers located in the hilly area of southern China. J. Soils Sediments 2019, 19, 3608–3619. [Google Scholar] [CrossRef]
- Filella, M.; Belzile, N.; Chen, Y.-W. Antimony in the environment: A review focused on natural waters: I. Occurrence. Earth-Sci. Rev. 2002, 57, 125–176. [Google Scholar] [CrossRef]
- Chen, R.; Chen, H.; Song, L.; Yao, Z.; Meng, F.; Teng, Y. Characterization and source apportionment of heavy metals in the sediments of Lake Tai (China) and its surrounding soils. Sci. Total Environ. 2019, 694, 133819. [Google Scholar] [CrossRef]
- Liu, H.; Fu, C.; Ding, G.; Fang, Y.; Yun, Y.; Norra, S. Effects of hairy crab breeding on drinking water quality in a shallow lake. Sci. Total Environ. 2019, 662, 48–56. [Google Scholar] [CrossRef]
- Jiang, Y.; Wu, Z.; Zhao, Z.; Wang, X.; Liu, X.; Li, Q.; Cai, Y. Spatial Distribution and Pollution Assessment of Nitrogen, Phosphorus and Heavy Metals in Surface Sediments of Lake Yangcheng, Jiangsu Province, China. Res. Environ. Sci. 2016, 29, 1590–1599. [Google Scholar]
- Chen, L.; Zhang, Y.; Liu, Q.; Hu, Z.; Sun, Y.; Peng, Z.; Chen, L. Spatial variations of macrozoobenthos and sediment nutrients in Lake Yangcheng: Emphasis on effect of pen culture of Chinese mitten crab. J. Environ. Sci. 2015, 37, 118–129. [Google Scholar] [CrossRef]
- CNEMC. China Background Values of Soil Element; China Environmental Science Press: Beijing, China, 1990. (In Chinese) [Google Scholar]
- Hakanson, L. An ecological risk index for aquatic pollution control.a sedimentological approach. Water Res. 1980, 14, 975–1001. [Google Scholar] [CrossRef]
- Tomlinson, D.L.; Wilson, J.G.; Harris, C.R.; Jeffrey, D.W. Problems in the assessment of heavy-metal levels in estuaries and the formation of a pollution index. Helgol. Meeresunters. 1980, 33, 566–575. [Google Scholar] [CrossRef] [Green Version]
- Wang, Y.; Yang, L.; Kong, L.; Liu, E.; Wang, L.; Zhu, J. Spatial distribution, ecological risk assessment and source identification for heavy metals in surface sediments from Dongping Lake, Shandong, East China. CATENA 2015, 125, 200–205. [Google Scholar] [CrossRef]
- Rao, K.; Tang, T.; Zhang, X.; Wang, M.; Liu, J.; Wu, B.; Wang, P.; Ma, Y. Spatial-temporal dynamics, ecological risk assessment, source identification and interactions with internal nutrients release of heavy metals in surface sediments from a large Chinese shallow lake. Chemosphere 2021, 282, 131041. [Google Scholar] [CrossRef]
- Rajeshkumar, S.; Liu, Y.; Zhang, X.; Ravikumar, B.; Bai, G.; Li, X. Studies on seasonal pollution of heavy metals in water, sediment, fish and oyster from the Meiliang Bay of Taihu Lake in China. Chemosphere 2018, 191, 626–638. [Google Scholar] [CrossRef]
- Yang, G.; Song, Z.; Sun, X.; Chen, C.; Ke, S.; Zhang, J. Heavy metals of sediment cores in Dachan Bay and their responses to human activities. Mar. Pollut. Bull. 2020, 150, 110764. [Google Scholar] [CrossRef]
- Wang, Q.; Fan, Z.; Qiu, L.; Liu, X.; Yin, Y.; Jamus, I.M.I.; Song, C.; Chen, J. Occurrence and health risk assessment of residual heavy metals in the Chinese mitten crab (Eriocheir sinensis). J. Food Compos. Anal. 2021, 97, 103787. [Google Scholar] [CrossRef]
- Belzile, N.; Chen, Y.W.; Filella, M. Human Exposure to Antimony: I. Sources and Intake. Crit. Rev. Environ. Sci. Technol. 2011, 41, 1309–1373. [Google Scholar] [CrossRef]
- Fural, Ş.; Kükrer, S.; Cürebal, İ.; Aykır, D. Spatial distribution, environmental risk assessment, and source identification of potentially toxic metals in Atikhisar dam, Turkey. Environ. Monit. Assess. 2021, 193, 268. [Google Scholar] [CrossRef]
- Micó, C.; Recatalá, L.; Peris, M.; Sánchez, J. Assessing heavy metal sources in agricultural soils of an European Mediterranean area by multivariate analysis. Chemosphere 2006, 65, 863–872. [Google Scholar] [CrossRef]
- Li, Y.; Zhou, S.; Zhu, Q.; Li, B.; Wang, J.; Wang, C.; Chen, L.; Wu, S. One-century sedimentary record of heavy metal pollution in western Taihu Lake, China. Environ. Pollut. 2018, 240, 709–716. [Google Scholar] [CrossRef]
- Damian, G.E.; Micle, V.; Sur, I.M. Removal of heavy metals from contaminated soil using chitosan as washing agent—A preliminary study. J. Environ. Prot. Ecol. 2020, 21, 823–829. [Google Scholar]







| Metals | Winter | Spring | Summer | Autumn | p |
|---|---|---|---|---|---|
| Pb | 31.76 ± 5.20 | 28.05 ± 4.29 | 30.46 ± 3.95 | 30.23 ± 6.92 | 0.146 |
| Cr | 94.91 ± 23.61 | 85.38 ± 22.26 | 84.43 ± 15.45 | 64.13 ± 20.89 | 0.006 |
| Hg | 0.070 ± 0.024 | 0.081 ± 0.050 | 0.090 ± 0.030 | 0.121 ± 0.042 | 0.001 |
| Cd | 0.36 ± 0.15 | 0.34 ± 0.12 | 0.33 ± 0.11 | 0.24 ± 0.18 | 0.038 |
| Ni | 67.89 ± 19.88 | 65.46 ± 16.45 | 60.44 ± 12.08 | 45.31 ± 17.54 | 0.593 |
| Cu | 60.02 ± 44.42 | 55.53 ± 41.50 | 50.75 ± 31.07 | 52.38 ± 39.65 | 0.150 |
| Zn | 154.01 ± 81.02 | 141.97 ± 74.10 | 135.27 ± 58.66 | 111.67 ± 66.55 | 0.014 |
| As | 15.73 ± 1.69 | 13.04 ± 1.96 | 12.73 ± 2.07 | 13.05 ± 5.91 | 0.011 |
| Sb | 4.83 ± 1.28 | 4.72 ± 1.46 | 4.30 ± 1.05 | 3.68 ± 1.03 | 0.077 |
| PLI | 2.13 ± 0.55 | 2.01 ± 0.51 | 1.97 ± 0.32 | 1.72 ± 0.64 | 0.172 |
| RI | 276.7 ± 78.95 | 282.23 ± 102.44 | 285.96 ± 54.02 | 285.01 ± 71.18 | 0.67 |
| Lake | Pb | Cr | Hg | Cd | Ni | Cu | Zn | As | Sb | Reference |
|---|---|---|---|---|---|---|---|---|---|---|
| Background value | 26.2 | 77.8 | 0.03 | 0.126 | 26.7 | 22.3 | 62.6 | 10 | 1.04 | [34] |
| West area | 33.70 | 104.22 | 0.107 | 0.407 | 75.05 | 94.75 | 213.50 | 13.47 | 3.53 | This study |
| Middle area | 30.67 | 84.01 | 0.081 | 0.290 | 65.16 | 47.59 | 123.78 | 13.21 | 4.71 | This study |
| East area | 27.37 | 66.34 | 0.085 | 0.274 | 46.00 | 32.67 | 91.85 | 14.03 | 4.73 | This study |
| Yangcheng | 30.12 | 82.21 | 0.090 | 0.316 | 59.77 | 54.67 | 135.73 | 13.64 | 4.38 | This study |
| Nansihu | 14.43 | 88.21 | - | 0.134 | 43.86 | 28.06 | 83.94 | - | - | [2] |
| Poyang | 50.4 | 135.9 | - | 0.7 | - | 62.0 | 132.9 | - | - | [18] |
| Taihu | 29.70 | 68.85 | 0.145 | 0.610 | 36.19 | 35.53 | 109.32 | 16.99 | - | [30] |
| Chaohu | 47.1 | 72.5 | 0.114 | 0.44 | - | 26.0 | 137.8 | 10.4 | - | [4] |
| Baiyangdian | 44.16 | 55.81 | - | 0.73 | - | 39.20 | 126.88 | 14.73 | - | [23] |
| Erhai | 47.4 | 103.8 | 0.167 | 1.10 | 52.2 | 63.1 | 109 | 26.9 | - | [25] |
| Dongping | 35.5 | 89.3 | 0.055 | 0.285 | - | 52.0 | 100.5 | 25.3 | - | [37] |
| Houguan | 39.3 | 76.3 | 0.393 | 2.68 | - | 38.6 | 90.7 | 30.0 | - | [38] |
| Pb | Cr | Hg | Cd | Ni | Cu | Zn | As | Sb | |
|---|---|---|---|---|---|---|---|---|---|
| Pb | 1 | ||||||||
| Cr | 0.627 ** | 1 | |||||||
| Hg | 0.373 ** | 0.020 | 1 | ||||||
| Cd | 0.668 ** | 0.642 ** | 0.207 | 1 | |||||
| Ni | 0.573 ** | 0.946 ** | 0.036 | 0.673 ** | 1 | ||||
| Cu | 0.645 ** | 0.860 ** | 0.178 | 0.624 ** | 0.894 ** | 1 | |||
| Zn | 0.650 ** | 0.947 ** | 0.134 | 0.681 ** | 0.938 ** | 0.930 ** | 1 | ||
| As | 0.128 | 0.176 | −0.095 | 0.160 | 0.119 | 0.134 | 0.098 | 1 | |
| Sb | 0.259 | 0.039 | −0.114 | 0.310 * | 0.033 | −0.133 | −0.062 | 0.124 | 1 |
| Initial Eigenvalues | Heavy Metals | Component | ||||
|---|---|---|---|---|---|---|
| Total | Variance % | Cumulative % | PC1 | PC2 | ||
| 1 | 4.977 | 55.298 | 55.298 | Pb | 0.751 | 0.368 |
| 2 | 1.59 | 17.664 | 72.961 | Cr | 0.932 | 0.09 |
| 3 | 0.971 | 10.793 | 83.754 | Hg | 0.486 | −0.509 |
| 4 | 0.813 | 9.028 | 92.782 | Cd | 0.87 | 0.257 |
| 5 | 0.304 | 3.374 | 96.157 | Ni | 0.89 | 0.178 |
| 6 | 0.204 | 2.27 | 98.427 | Cu | 0.897 | −0.386 |
| 7 | 0.09 | 0.996 | 99.423 | Zn | 0.965 | −0.186 |
| 8 | 0.042 | 0.465 | 99.888 | As | 0.161 | 0.228 |
| 9 | 0.01 | 0.112 | 100 | Sb | −0.007 | 0.924 |
| Eigenvalues | 4.977 | 1.59 | ||||
| % of Variance | 55.298 | 17.664 | ||||
| % of Cumulative | 55.298 | 72.961 | ||||
Publisher’s Note: MDPI stays neutral with regard to jurisdictional claims in published maps and institutional affiliations. |
© 2022 by the authors. Licensee MDPI, Basel, Switzerland. This article is an open access article distributed under the terms and conditions of the Creative Commons Attribution (CC BY) license (https://creativecommons.org/licenses/by/4.0/).
Share and Cite
Su, X.; Ling, H.; Wu, D.; Xue, Q.; Xie, L. Spatial–Temporal Variations, Ecological Risk Assessment, and Source Identification of Heavy Metals in the Sediments of a Shallow Eutrophic Lake, China. Toxics 2022, 10, 16. https://doi.org/10.3390/toxics10010016
Su X, Ling H, Wu D, Xue Q, Xie L. Spatial–Temporal Variations, Ecological Risk Assessment, and Source Identification of Heavy Metals in the Sediments of a Shallow Eutrophic Lake, China. Toxics. 2022; 10(1):16. https://doi.org/10.3390/toxics10010016
Chicago/Turabian StyleSu, Xiaomei, Hong Ling, Dan Wu, Qingju Xue, and Liqiang Xie. 2022. "Spatial–Temporal Variations, Ecological Risk Assessment, and Source Identification of Heavy Metals in the Sediments of a Shallow Eutrophic Lake, China" Toxics 10, no. 1: 16. https://doi.org/10.3390/toxics10010016
APA StyleSu, X., Ling, H., Wu, D., Xue, Q., & Xie, L. (2022). Spatial–Temporal Variations, Ecological Risk Assessment, and Source Identification of Heavy Metals in the Sediments of a Shallow Eutrophic Lake, China. Toxics, 10(1), 16. https://doi.org/10.3390/toxics10010016
