Oyster Peptide-Ferrous Chelate Preparation Optimization Structural Characteristics and Enhanced Bioavailability
Abstract
1. Introduction
2. Materials and Methods
2.1. Materials
2.2. Preparation and Iron Content Determination of the Oyster Peptide-Ferrous Chelate
2.3. Response Surface Optimization and Preparation of Chelate
2.4. Characterization of the Oyster Peptide-Ferrous Chelate
2.4.1. Fourier-Transform Infrared Spectroscopy (FTIR)
2.4.2. Circular Dichroism Spectroscopy (CD)
2.4.3. Fluorescence Spectroscopy (FL)
2.4.4. X-Ray Diffraction (XRD)
2.4.5. Molecular Docking
2.5. Investigation of Iron Absorption Rate in Caco-2 Cell Monolayers
2.6. Iron Deficiency Animal Models and Histological Analysis
2.7. qRT-PCR Analysis
2.8. Statistical Analysis
3. Results and Discussion
3.1. Preparation Process of the OP-Fe Chelate
3.2. Optimization of Chelation Conditions and Preparation of OP-Fe Chelate
3.3. Characterization Results of OP and OP-Fe
3.3.1. FTIR Spectroscopy
3.3.2. CD Spectroscopy
3.3.3. FL Spectroscopy
3.3.4. XRD Analysis
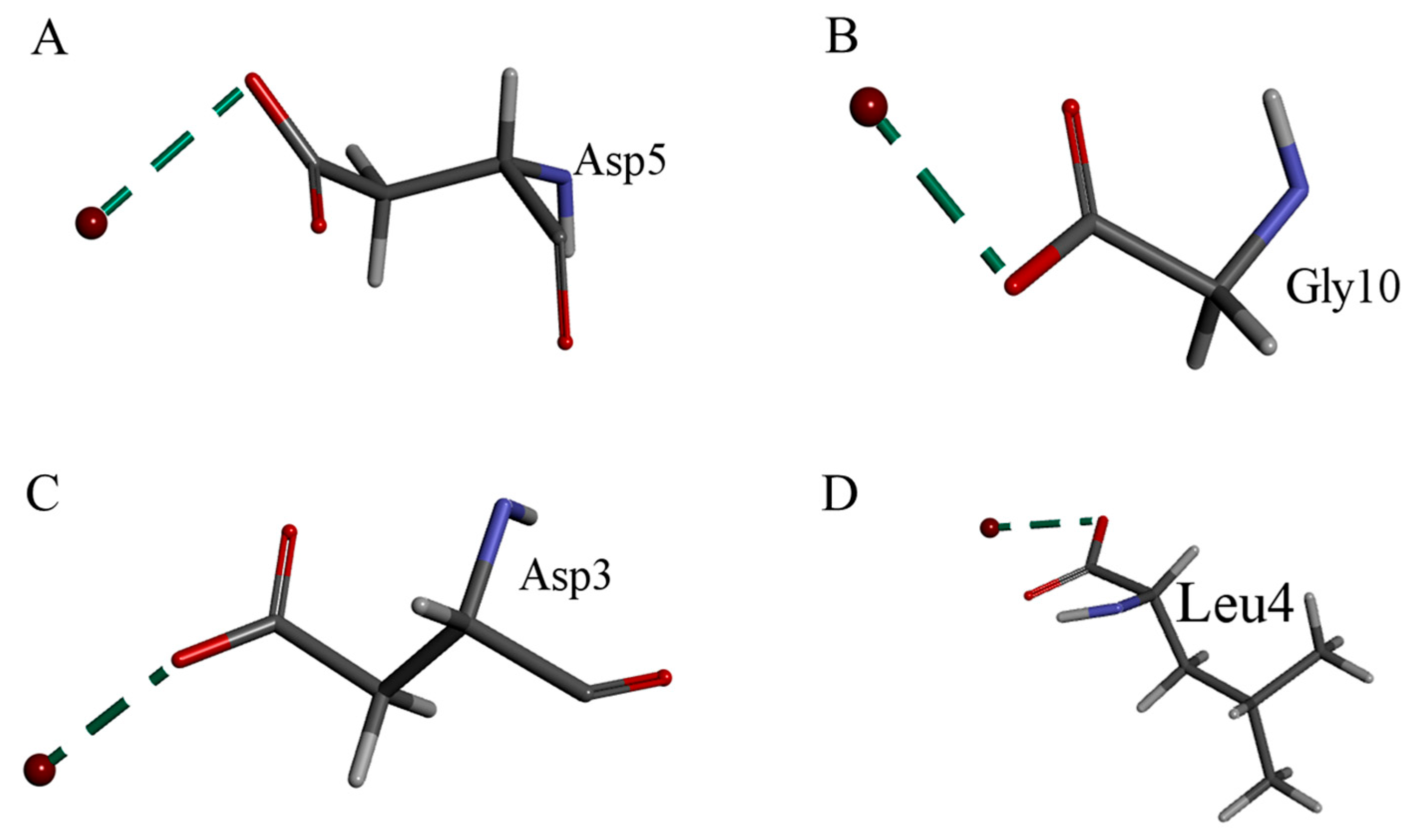
3.3.5. Molecular Docking Analysis
3.4. Study of Iron Transport Across a Caco-2 Cell Monolayer
3.4.1. Measurement of TEER and Detection of AKP Activity
3.4.2. Analysis of the Effect of Peptide-Iron Chelate on Caco-2 Cell Absorption
3.4.3. Pharmacokinetics
3.5. Transport Mechanism of OP-Fe Across the Caco-2 Cell Membrane
4. Conclusions
Supplementary Materials
Author Contributions
Funding
Institutional Review Board Statement
Informed Consent Statement
Data Availability Statement
Conflicts of Interest
References
- Jiang, S.; Dong, W.; Zhang, Z.; Xu, J.; Li, H.; Zhang, J.; Dai, L.; Wang, S. A new iron supplement: The chelate of pig skin collagen peptide and Fe2+ can treat iron-deficiency anemia by modulating intestinal flora. Front. Nutr. 2022, 9, 1055725. [Google Scholar] [CrossRef]
- Ding, X.; Li, H.; Xu, M.; Li, X.; Li, M. Peptide composition analysis, structural characterization, and prediction of iron binding modes of small molecular weight peptides from mung bean. Food Res. Int. 2023, 175, 113735. [Google Scholar] [CrossRef] [PubMed]
- Chen, X.; Yi, J.; Wen, Z.; Fan, Y. Preparation, Characterization, Stability and In Vitro Release of a Pea Protein Fibril-Based Iron Fortificant via Self-Assembly. Foods 2024, 13, 3558. [Google Scholar] [CrossRef]
- Yang, L.; Lv, C.; Guo, X.; Liang, R. Donkey-Hide Gelatin Peptide-Iron Complexes: Structural Characterization, Enhanced Iron Solubility Under Simulated Digestion, and Dual Iron Chelation-Antioxidant Functions. Foods 2025, 14, 2117. [Google Scholar] [CrossRef]
- Zheng, B.-D.; Xiao, M.-T. Harnessing food-derived bioactive peptides for iron chelation: An alternative solution to iron deficiency anemia. Food Funct. 2025, 16, 4226–4241. [Google Scholar] [CrossRef]
- Lin, S.; Hu, X.; Yang, X.; Chen, S.; Wu, Y.; Hao, S.; Huang, H.; Li, L. GLPGPSGEEGKR: Fe2+ chelating characterization and potential transport pathways for improving Fe2+ bioavailability in Caco-2 cells. Food Biosci. 2022, 48, 101806. [Google Scholar] [CrossRef]
- Wang, Z.; Zhao, Y.; Yang, M.; Wang, Y.; Wang, Y.; Shi, C.; Dai, T.; Wang, Y.; Tao, L.; Tian, Y. Glycated Walnut Meal Peptide–Calcium Chelates: Preparation, Characterization, and Stability. Foods 2024, 13, 1109. [Google Scholar] [CrossRef]
- Miao, J.; Liao, W.; Pan, Z.; Wang, Q.; Duan, S.; Xiao, S.; Yang, Z.; Cao, Y. Isolation and identification of iron-chelating peptides from casein hydrolysates. Food Funct. 2019, 10, 2372–2381. [Google Scholar] [CrossRef]
- Sun, N.; Wang, Y.; Bao, Z.; Cui, P.; Wang, S.; Lin, S. Calcium binding to herring egg phosphopeptides: Binding characteristics, conformational structure and intermolecular forces. Food Chem. 2020, 310, 125867. [Google Scholar] [CrossRef]
- Sun, N.; Wang, T.; Wang, D.; Cui, P.; Hu, S.; Jiang, P.; Lin, S. Antarctic Krill Derived Nonapeptide as an Effective Iron-Binding Ligand for Facilitating Iron Absorption via the Small Intestine. J. Agric. Food Chem. 2020, 68, 11290–11300. [Google Scholar] [CrossRef]
- Pakdeepromma, S.; Pintha, K.; Tantipaiboonwong, P.; Thephinlap, C.; Suttajit, M.; Kaowinn, S.; Kangwan, N.; Suwannaloet, W.; Pangjit, K. Assessing the Antioxidant, Hepatoprotective, and Iron-Chelating Potential of Perilla frutescens Seed. Biomedicines 2025, 13, 851. [Google Scholar] [CrossRef]
- Athira, S.; Mann, B.; Sharma, R.; Pothuraju, R.; Bajaj, R.K. Preparation and characterization of iron-chelating peptides from whey protein: An alternative approach for chemical iron fortification. Food Res. Int. 2021, 141, 110133. [Google Scholar] [CrossRef]
- Zhang, Y.; Ding, X.; Li, M. Preparation, characterization and in vitro stability of iron-chelating peptides from mung beans. Food Chem. 2021, 349, 129101. [Google Scholar] [CrossRef] [PubMed]
- Man, Y.; Xu, T.; Adhikari, B.; Zhou, C.; Wang, Y.; Wang, B. Iron supplementation and iron-fortified foods: A review. Crit. Rev. Food Sci. Nutr. 2022, 62, 4504–4525. [Google Scholar] [CrossRef] [PubMed]
- Chen, S.; Qin, X.; Zhang, C.; Cao, W.; Zheng, H.; Lin, H. Lactation Activity and Mechanism of Milk-Protein Synthesis by Peptides from Oyster Hydrolysates. Nutrients 2022, 14, 1786. [Google Scholar] [CrossRef]
- Hao, L.; Wang, X.; Cao, Y.; Xu, J.; Xue, C. A comprehensive review of oyster peptides: Preparation, characterisation and bioactivities. Rev. Aquac. 2021, 14, 120–138. [Google Scholar] [CrossRef]
- Liu, X.; Yu, X.; Dou, S.; Yin, F.; Li, D.; Zhou, D. Characterization of Oyster Protein Hydrolysate–Iron Complexes and their In Vivo Protective Effects against Iron Deficiency-Induced Symptoms in Mice. J. Agric. Food Chem. 2023, 71, 16618–16629. [Google Scholar] [CrossRef]
- Zhou, Y.; Liu, T.; Zhang, R.; Wang, J.; Zhang, J.; Tong, Y.; Zhang, H.; Li, Z.; Si, D.; Wei, X. Bioactive Properties of Enzymatically Hydrolyzed Mulberry Leaf Proteins: Antioxidant and Anti-Inflammatory Effects. Antioxidants 2025, 14, 805. [Google Scholar] [CrossRef]
- Wang, L.; Cai, J.; Liu, L.; Zhu, S.; Chen, Y.; Xu, M.; Zhong, J.; Li, J.; Zhang, L.; Ye, Q. Preparation, Structural Characterization, and Calcium Supplementation Activity of Lycium barbarum Peptide–Calcium Derived from Bovine Bones. Foods 2025, 14, 3812. [Google Scholar] [CrossRef] [PubMed]
- Li, H.; Zang, J.; Tan, X.; Xia, X.; Wang, Z.; Du, M. Purification and characterizations of a nanocage ferritin GF1 from oyster (Crassostrea gigas). LWT 2020, 127, 109416. [Google Scholar] [CrossRef]
- Yu, X.; Li, G.; Liu, X.; Yin, F.; Li, D.; Zhou, D. Evaluation of oyster peptide-chitosan oligosaccharide-iron complex (OPCFe) complex as a novel approach for iron supplementation: Effects on oxidative stress, inflammation, and gut microbiota in vivo. Food Biosci. 2025, 65, 106007. [Google Scholar] [CrossRef]
- Zhai, W.; Lin, D.; Mo, R.; Zou, X.; Zhang, Y.; Zhang, L.; Ge, Y. Process Optimization, Structural Characterization, and Calcium Release Rate Evaluation of Mung Bean Peptides-Calcium Chelate. Foods 2023, 12, 1058. [Google Scholar] [CrossRef]
- Yao, H.; Wang, S.; Fu, B.; Xu, X.; Cheng, S.; Du, M. The potential benefits of Oreochromis mossambicus derived hydrophobic peptides in protecting the skin against UVA-induced damage. Food Biosci. 2024, 59, 104120. [Google Scholar] [CrossRef]
- Kus, M.; Ibragimow, I.; Piotrowska-Kempisty, H. Caco-2 Cell Line Standardization with Pharmaceutical Requirements and In Vitro Model Suitability for Permeability Assays. Pharmaceutics 2023, 15, 2523. [Google Scholar] [CrossRef]
- Yang, X.; Wang, S.; Liu, H.; Zhang, T.; Cheng, S.; Du, M. A dual absorption pathway of novel oyster-derived peptide-zinc complex enhances zinc bioavailability and restores mitochondrial function. J. Adv. Res. 2025, 78, 47–62. [Google Scholar] [CrossRef] [PubMed]
- Phogat, P.; Bansal, A.; Nain, N.; Khan, S.; Saso, L.; Kukreti, S. Quest for space: Tenacity of DNA, Protein, and Lipid macromolecules in intracellular crowded environment. Biomol. Concepts 2025, 16, 20250053. [Google Scholar] [CrossRef]
- Lecinski, S.; Shepherd, J.W.; Frame, L.; Hayton, I.; MacDonald, C.; Leake, M.C. Chapter Three—Investigating molecular crowding during cell division and hyperosmotic stress in budding yeast with FRET. In Current Topics in Membranes; Model, M.A., Levitan, I., Eds.; Academic Press: Cambridge, MA, USA, 2021; Volume 88, pp. 75–118. [Google Scholar]
- Yuanqing, H.; Pengyao, Y.; Yangyang, D.; Min, C.; Rui, G.; Yuqing, D.; Haihui, Z.; Haile, M. The Preparation, Antioxidant Activity Evaluation and Iron-deficient Anaemic Improvement of Oat (Avena sativa L.) Peptides-ferrous Chelate. Front. Nutr. 2021, 8, 687133. [Google Scholar] [CrossRef]
- Wei, C.; Wang, X.; Jiang, X.; Cao, L. Preparation of quinoa bran dietary fiber-based zinc complex and investigation of its antioxidant capacity in vitro. Front. Nutr. 2023, 10, 1183501. [Google Scholar] [CrossRef]
- Yu, X.; Dou, S.; Liu, X.; Yin, F.; Li, D.; Jiang, P.; Zhou, D. Establishment of oyster protein hydrolysate-chitosan oligosaccharide-zinc delivery system and its characterization, digestion & absorption in-vitro and in-vivo. Food Biosci. 2023, 56, 103247. [Google Scholar] [CrossRef]
- Wu, W.; He, L.; Liang, Y.; Yue, L.; Peng, W.; Jin, G.; Ma, M. Preparation process optimization of pig bone collagen peptide-calcium chelate using response surface methodology and its structural characterization and stability analysis. Food Chem. 2019, 284, 80–89. [Google Scholar] [CrossRef]
- Wu, B.; Sun, J.; Jiao, Y.; Yang, M.; Dong, M.; Hu, W. Preparation, structural characterization, and performance evaluation of antler plate collagen peptide-calcium chelates. J. Funct. Foods 2025, 131, 106953. [Google Scholar] [CrossRef]
- Udechukwu, M.C.; Downey, B.; Udenigwe, C.C. Influence of structural and surface properties of whey-derived peptides on zinc-chelating capacity, and in vitro gastric stability and bioaccessibility of the zinc-peptide complexes. Food Chem. 2018, 240, 1227–1232. [Google Scholar] [CrossRef]
- Gao, J.; Ning, C.; Wang, M.; Wei, M.; Ren, Y.; Li, W. Structural, antioxidant activity, and stability studies of jellyfish collagen peptide–calcium chelates. Food Chem. X 2024, 23, 101706. [Google Scholar] [CrossRef]
- Lin, S.; Hu, X.; Li, L.; Yang, X.; Chen, S.; Wu, Y.; Yang, S. Preparation, purification and identification of iron-chelating peptides derived from tilapia (Oreochromis niloticus) skin collagen and characterization of the peptide-iron complexes. LWT 2021, 149, 111796. [Google Scholar] [CrossRef]
- Aili, D.; Enander, K.; Rydberg, J.; Nesterenko, I.; Björefors, F.; Baltzer, L.; Liedberg, B. Folding Induced Assembly of Polypeptide Decorated Gold Nanoparticles. J. Am. Chem. Soc. 2008, 130, 5780–5788. [Google Scholar] [CrossRef]
- Wu, X.; Wang, F.; Cai, X.; Wang, S. Characteristics and osteogenic mechanism of glycosylated peptides-calcium chelate. Curr. Res. Food Sci. 2022, 5, 1965–1975. [Google Scholar] [CrossRef]
- Liu, W.Y.; Ren, J.; Qin, X.Y.; Zhang, X.X.; Wu, H.S.; Han, L.-J. Structural identification and combination mechanism of iron (II)–chelating Atlantic salmon (Salmo salar L.) skin active peptides. J. Food Sci. Technol. 2023, 61, 340–352. [Google Scholar] [CrossRef]
- Gaviria, Y.S.; Gómez-Sampedro, L.; Zapata, J.E.; Miedes, D.; Cilla, A.; Alegría, A. Iron chelation capacity and prediction of peptide binding modes identified in California red worm hydrolysates and effects on iron bioavailability in differentiated Caco-2 cells. Food Biosci. 2024, 62, 105023. [Google Scholar] [CrossRef]
- Chen, K.; Guo, L.; Lao, L.; Ma, F.; Cao, Y.; Miao, J. Preparation, characterization and enhancement of intestinal iron absorption activity of β-casein phosphopeptides-iron chelate. Process Biochem. 2024, 146, 401–411. [Google Scholar] [CrossRef]
- Nie, W.; Xu, F.; Zhou, K.; Deng, J.; Wang, Y.; Xu, B. Stability and transepithelial transport of oligopeptide (KRQKYD) with hepatocyte-protective activity from Jinhua ham in human intestinal Caco-2 monolayer cells. Food Sci. Hum. Wellness 2024, 13, 1503–1512. [Google Scholar] [CrossRef]
- Li, L.; Xia, M.; Yang, L.; He, Y.; Liu, H.; Xie, M.; Yu, M. The decreased interface tension increased the transmembrane transport of soy hull polysaccharide-derived SCFAs in the Caco-2 cells. Int. J. Biol. Macromol. 2024, 266, 131261. [Google Scholar] [CrossRef]
- Hu, Y.; Huang, Y.; Wang, C.; Zhang, W.; Qu, Y.; Li, D.; Wu, W.; Gao, F.; Zhu, L.; Wu, B.; et al. The organic zinc with moderate chelation strength enhances the expression of related transporters in the jejunum and ileum of broilers. Poult. Sci. 2023, 102, 102477. [Google Scholar] [CrossRef]
- Kambale, E.K.; Domingues, I.; Zhang, W.; Marotti, V.; Chen, C.; Hughes, K.; Quetin-Leclercq, J.; Memvanga, P.B.; Beloqui, A. “Green” synthesized versus chemically synthesized zinc oxide nanoparticles: In vivo antihyperglycemic activity and pharmacokinetics. Int. J. Pharm. 2023, 650, 123701. [Google Scholar] [CrossRef]
- Anderson, G.J.; Frazer, D.M. Current understanding of iron homeostasis. Am. J. Clin. Nutr. 2017, 106, 1559S–1566S. [Google Scholar] [CrossRef]
- Yanatori, I.; Kishi, F. DMT1 and iron transport. Free. Radic. Biol. Med. 2018, 133, 55–63. [Google Scholar] [CrossRef]
- Tong, L.; Wang, J.; Ma, Y.; Wang, C.; Fu, Y.; Li, Q.; Gao, C.; Song, H.; Qin, Y.; Zhao, C.; et al. Viruses hijack FPN1 to disrupt iron withholding and suppress host defense. Nat. Commun. 2025, 16, 5912. [Google Scholar] [CrossRef]
- Zhao, Q.; Liang, W.; Xiong, Z.; Li, C.; Zhang, L.; Rong, J.; Xiong, S.; Liu, R.; You, J.; Yin, T.; et al. Digestion and absorption characteristics of iron-chelating silver carp scale collagen peptide and insights into their chelation mechanism. Food Res. Int. 2024, 190, 114612. [Google Scholar] [CrossRef]
- Zhou, Z.; Liu, M.; Ren, Y.; Yang, J.; Shi, X.; Cai, Y.; Arreola, A.X.; Luo, W.; Fung, K.-M.; Xu, C.; et al. Abstract 5262: A zinc transporter drives pancreatic cancer cachexia via the crosstalk between tumor cells and immune microenvironment. Cancer Res. 2025, 85, 5262. [Google Scholar] [CrossRef]
- Yu, X.; Li, G.; Liu, X.; Zeng, X.; Yin, F.; Li, D.; Qin, N.; Zhou, D. Zinc-binding mechanism of synthetic oyster peptides and their taste sensory characteristics: Insight into umami and saltiness perception. Food Chem. 2025, 490, 145077. [Google Scholar] [CrossRef] [PubMed]
- Pinilla-Tenas, J.J.; Sparkman, B.K.; Shawki, A.; Illing, A.C.; Mitchell, C.J.; Zhao, N.; Liuzzi, J.P.; Cousins, R.J.; Knutson, M.D.; Mackenzie, B. Zip14 is a complex broad-scope metal-ion transporter whose functional properties support roles in the cellular uptake of zinc and nontransferrin-bound iron. Am. J. Physiol.-Cell Physiol. 2011, 301, C862–C871. [Google Scholar] [CrossRef] [PubMed]
- Mónica, A.; Lautaro, B.; Fernando, P.; Miguel, A. Calcium and zinc decrease intracellular iron by decreasing transport during iron repletion in an in vitro model. Eur. J. Nutr. 2018, 57, 2693–2700. [Google Scholar] [CrossRef] [PubMed]






| Run | Peptide-to-Iron Ratio | pH | Ascorbic Acid Concentration (%) | Iron Content of the Chelate |
|---|---|---|---|---|
| 1 | 3:1 | 4 | 1.8 | 12.99 |
| 2 | 5:1 | 6 | 0.2 | 12.833 |
| 3 | 3:1 | 6 | 1 | 17.037 |
| 4 | 1:1 | 4 | 1 | 13.986 |
| 5 | 5:1 | 4 | 1 | 13.152 |
| 6 | 3:1 | 8 | 1.8 | 13.93 |
| 7 | 5:1 | 8 | 1 | 13.949 |
| 8 | 1:1 | 6 | 1.8 | 15.162 |
| 9 | 3:1 | 6 | 1 | 16.473 |
| 10 | 3:1 | 6 | 1 | 17.268 |
| 11 | 5:1 | 6 | 1.8 | 13.868 |
| 12 | 3:1 | 8 | 0.2 | 11.578 |
| 13 | 3:1 | 4 | 0.2 | 11.787 |
| 14 | 1:1 | 8 | 1 | 13.703 |
| 15 | 1:1 | 6 | 0.2 | 11.543 |
| Source | Sum of Squares | df | Mean Square | F-Value | p-Value |
|---|---|---|---|---|---|
| Module | 46.81 | 9 | 5.20 | 48.7 | 0.0002 |
| A | 0.0438 | 1 | 0.0438 | 0.4102 | 0.5501 |
| B | 0.1938 | 1 | 0.1938 | 1.81 | 0.2358 |
| C | 8.42 | 1 | 8.42 | 78.87 | 0.0003 |
| AB | 0.2916 | 1 | 0.2916 | 2.73 | 0.1594 |
| AC | 1.67 | 1 | 1.67 | 15.63 | 0.0108 |
| BC | 0.3301 | 1 | 0.3301 | 3.09 | 0.1391 |
| A2 | 5.53 | 1 | 5.53 | 51.81 | 0.0008 |
| B2 | 14.83 | 1 | 14.38 | 138.90 | <0.0001 |
| C2 | 20.40 | 1 | 20.40 | 190.99 | <0.0001 |
| Residual | 0.5340 | 5 | 0.1068 | ||
| Lack of Fit | 0.1995 | 3 | 0.0665 | 0.3976 | 0.7717 |
| Pure Error | 0.3345 | 2 | 0.1672 | ||
| Cor Total | 47.35 | 14 |
| Day | AP | BL | AP/BL |
|---|---|---|---|
| 3 | 0.35 ± 0.06 e | 0.39 ± 0.03 d | 0.89 ± 0.1 e |
| 5 | 0.53 ± 0.02 d | 0.45 ± 0.02 b | 1.18 ± 0.09 d |
| 11 | 1.61 ± 0.02 c | 0.69 ± 0.02 b | 2.35 ± 0.1 c |
| 15 | 2.39 ± 0.21 b | 0.73 ± 0.07 b | 3.30 ± 0.18 b |
| 21 | 3.41 ± 0.02 a | 0.93 ± 0.02 a | 3.64 ± 0.08 a |
Disclaimer/Publisher’s Note: The statements, opinions and data contained in all publications are solely those of the individual author(s) and contributor(s) and not of MDPI and/or the editor(s). MDPI and/or the editor(s) disclaim responsibility for any injury to people or property resulting from any ideas, methods, instructions or products referred to in the content. |
© 2026 by the authors. Licensee MDPI, Basel, Switzerland. This article is an open access article distributed under the terms and conditions of the Creative Commons Attribution (CC BY) license.
Share and Cite
Zhang, Y.; Yang, Q.; Yang, X.; Cheng, S.; Du, M. Oyster Peptide-Ferrous Chelate Preparation Optimization Structural Characteristics and Enhanced Bioavailability. Foods 2026, 15, 362. https://doi.org/10.3390/foods15020362
Zhang Y, Yang Q, Yang X, Cheng S, Du M. Oyster Peptide-Ferrous Chelate Preparation Optimization Structural Characteristics and Enhanced Bioavailability. Foods. 2026; 15(2):362. https://doi.org/10.3390/foods15020362
Chicago/Turabian StyleZhang, Yijiu, Qi Yang, Ximing Yang, Shuzhen Cheng, and Ming Du. 2026. "Oyster Peptide-Ferrous Chelate Preparation Optimization Structural Characteristics and Enhanced Bioavailability" Foods 15, no. 2: 362. https://doi.org/10.3390/foods15020362
APA StyleZhang, Y., Yang, Q., Yang, X., Cheng, S., & Du, M. (2026). Oyster Peptide-Ferrous Chelate Preparation Optimization Structural Characteristics and Enhanced Bioavailability. Foods, 15(2), 362. https://doi.org/10.3390/foods15020362

