Valorization of the Invasive Fish Atherina boyeri (Risso, 1810) as a Source of Protein Hydrolysates with Functional and Bioactive Properties
Abstract
1. Introduction
2. Materials and Methods
2.1. Materials
Raw Material
2.2. Preparation of Fish Protein Hydrolysates (FPH)
2.3. Determination of Degree of Hydrolysis (DH, %)
2.4. Sodium Dodecyl Sulfate–Polyacrylamide Gel Electrophoresis (SDS–PAGE) Analysis
2.5. Measurement of Surface Characteristics
2.5.1. Zeta Potential
2.5.2. Determination of Active Sulfhydryl (SH) Content
2.6. Amino Acid Composition
2.7. Fourier Transform Infrared (FTIR) Spectroscopy
2.8. Color Measurement
2.9. Functional Properties of FPH
2.9.1. Protein Solubility
2.9.2. Emulsifying Properties
2.9.3. Foaming Capacity and Stability
2.9.4. Oil Binding Capacity
2.10. Bioactive Properties of FPH
2.10.1. DPPH Radical Scavenging Activity
2.10.2. Determination of Antimicrobial Activity
2.10.3. Angiotensin-I Converting Enzyme (ACE) Inhibitory Activity
2.11. Statistical Analysis
3. Results and Discussion
3.1. Determination of Degree of Hydrolysis (DH, %)
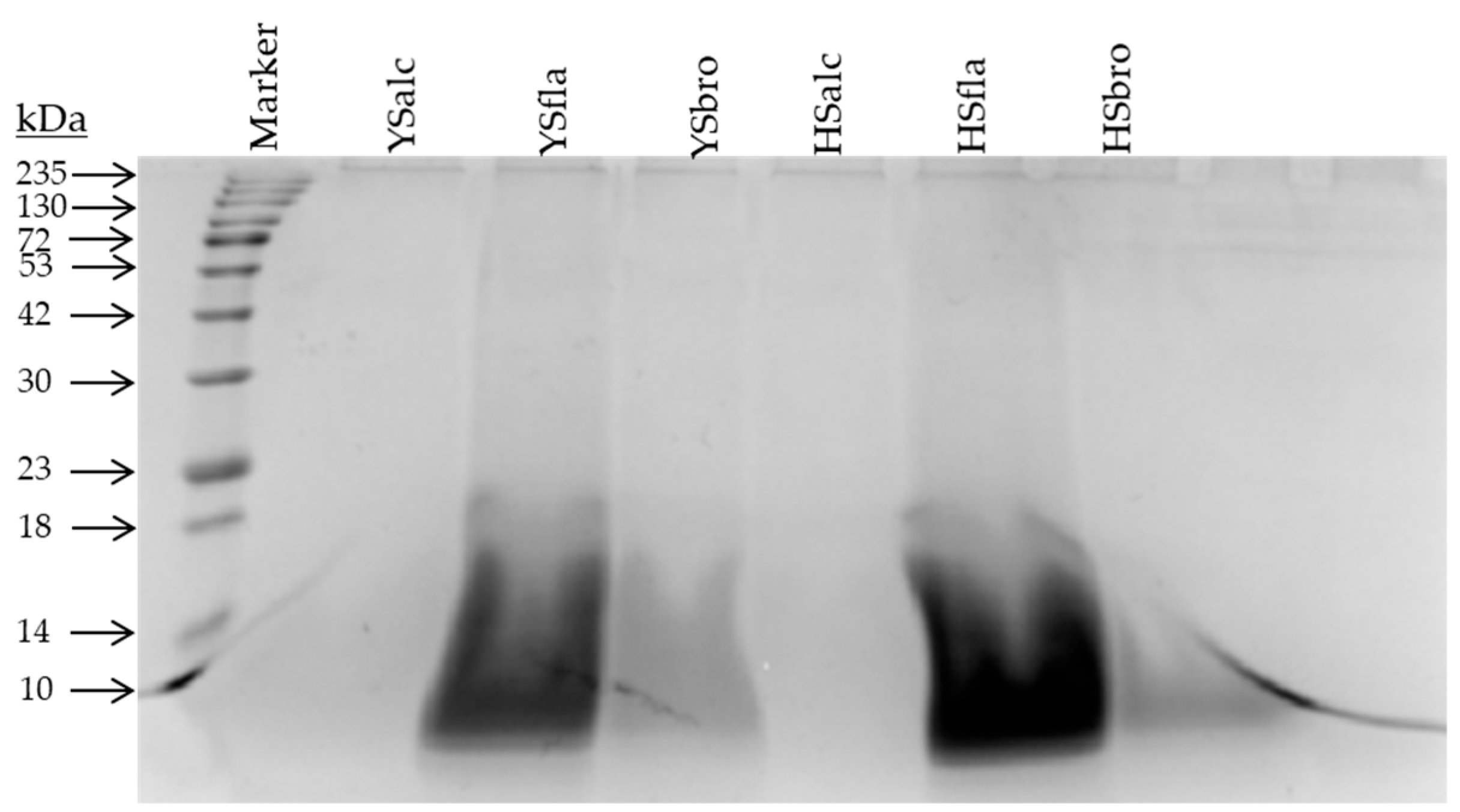
3.2. Sodium Dodecyl Sulfate–Polyacrylamide Gel Electrophoresis (SDS–PAGE) Analysis
3.3. Measurement of Surface Characteristics
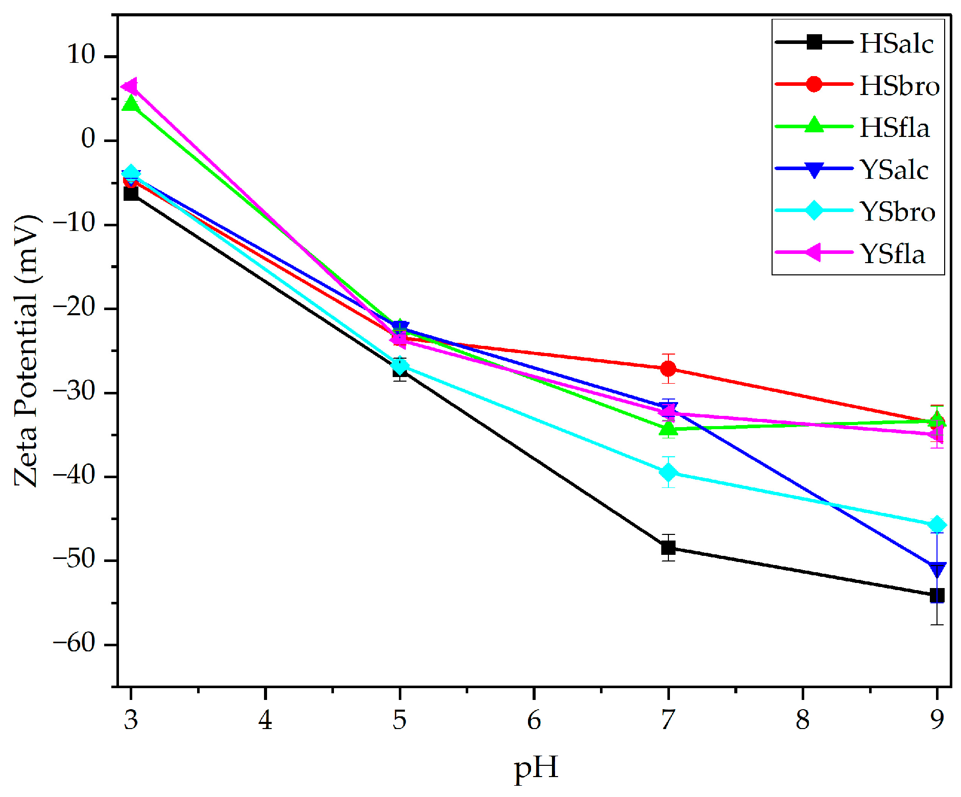
3.3.1. Zeta Potential
3.3.2. Determination of Active Sulfhydryl (SH) Content
3.4. Amino Acid Composition
3.5. Fourier Transform Infrared (FTIR) Spectroscopy
3.6. Color Measurement
3.7. Functional Properties of FPH
3.7.1. Protein Solubility
3.7.2. Emulsifying Properties
3.7.3. Foaming Capacity and Stability
3.7.4. Oil Binding Capacity
3.8. Bioactive Properties of FPH
3.8.1. DPPH Radical Scavenging Activity
3.8.2. Determination of Antimicrobial Activity
3.8.3. Angiotensin-I Converting Enzyme (ACE) Inhibitory Activity
4. Conclusions
Author Contributions
Funding
Institutional Review Board Statement
Informed Consent Statement
Data Availability Statement
Conflicts of Interest
Abbreviations
| HSalc | Hirfanlı silverfish alcalase hydrolysate |
| HSbro | Hirfanlı silverfish bromelain hydrolysate |
| HSfla | Hirfanlı silverfish flavourzyme hydrolysate |
| YSalc | Yamula silverfish alcalase hydrolysate |
| YSbro | Yamula silverfish bromelain hydrolysate |
| YSfla | Yamula silverfish flavourzyme hydrolysate |
| OBC | Oil binding capacity |
| EAI | Emulsion activity index |
| ESI | Emulsion stability index |
| PBS | Phosphate-buffered saline |
| SDS | Sodium dodecyl sulfate |
| TUIK | Turkish Statistical Institute |
| FC | Foam Capacity |
| FS | Foam Stability |
References
- Oosterveer, P. Governing global fish provisioning: Ownership and management of marine resources. Ocean Coast. Manag. 2008, 51, 797–805. [Google Scholar] [CrossRef]
- FAO. The State of World Fisheries and Aquaculture 2024—Blue Transformation in Action. Rome. Available online: https://openknowledge.fao.org/handle/20.500.14283/cd0683en (accessed on 4 April 2025).
- Dekkers, E.; Raghavan, S.; Kristinsson, H.G.; Marshall, M.R. Oxidative stability of mahi mahi red muscle dipped in tilapia protein hydrolysates. Food Chem. 2011, 124, 640–645. [Google Scholar] [CrossRef]
- Hsu, K.-C. Purification of antioxidative peptides prepared from enzymatic hydrolysates of tuna dark muscle by-product. Food Chem. 2010, 122, 42–48. [Google Scholar] [CrossRef]
- Bozkurt, F.; Bekiroglu, H.; Dogan, K.; Karasu, S.; Sagdic, O. Technological and bioactive properties of wheat glutenin hydrolysates prepared with various commercial proteases. LWT 2021, 149, 111787. [Google Scholar] [CrossRef]
- Blanco, M.; Vazquez, J.A.; Perez-Martin, R.I.; Sotelo, C.G. Hydrolysates of Fish Skin Collagen: An Opportunity for Valorizing Fish Industry Byproducts. Mar. Drugs 2017, 15, 131. [Google Scholar] [CrossRef]
- Yathisha, U.G.; Bhat, I.; Karunasagar, I.; Mamatha, B.S. Antihypertensive activity of fish protein hydrolysates and its peptides. Crit. Rev. Food Sci. 2019, 59, 2363–2374. [Google Scholar] [CrossRef]
- Chel-Guerrero, L.; Betancur-Ancona, D.; Chim-Chi, Y.A.; Sandoval-Peraza, V.M.; Gallegos Tintoré, S. Valorization of the Invasive Red Lionfish (Pterois volitans L.) as a Natural and Promising Source of Bioactive Hydrolysates with Antioxidant and Metal-Chelating Properties. Resources 2025, 14, 94. [Google Scholar] [CrossRef]
- Guo, Y.; Michael, N.; Fonseca Madrigal, J.; Sosa Aguirre, C.; Jauregi, P. Protein Hydrolysate from Pterygoplichthys disjunctivus, Armoured Catfish, with High Antioxidant Activity. Molecules 2019, 24, 1628. [Google Scholar] [CrossRef]
- Mueller, J.P.; Liceaga, A.M. Characterization and Cryoprotection of Invasive Silver Carp (Hypophthalmicthys molitrix) Protein Hydrolysates. J. Aquat. Food Prod. Technol. 2016, 25, 131–143. [Google Scholar] [CrossRef]
- Çetinkaya, S. Eğirdir Gölü’nden Avlanan Gümüş Balığı (Atherina boyeri, RİSSO 1810)’ndan Marinat Yapımı ve Bazı Besinsel Özelliklerinin Tespiti. Master’s Thesis, Süleyman Demirel Üniversitesi Fen Bilimleri Enstitüsü, Isparta, Türkiye, 2008. [Google Scholar]
- Kişisel, D. Balık Üretimi ve Balıklandırma Politikası. In Balıklandırma ve Rezervuar Yönetimi Sempozyumu I; 2006; pp. 61–68. [Google Scholar]
- Ekmekçi, F.G.; Kırankaya, Ş.G.; Gençoğlu, L.; Yoğurtçuoğlu, B. Türkiye İçsularindaki İstilaci Baliklarin Güncel Durumu ve İstilanin Etkilerinin Değerlendirilmesi. Meriç ALBAY 2013, 28, 105–140. [Google Scholar]
- TUIK. Su Ürünleri Istatistikleri, Avlanan Tatlısu Ürünleri Miktarı. Available online: https://data.tuik.gov.tr/Bulten/Index?p=Su-Urunleri-2024-541932025; (accessed on 20 November 2025).
- Hoda, H.E.; Osheba, A.S.; Mostafa, R.A. Formuation and evaluation of novel nutritious fish snacks made from SandSmelt (Atherina boyeri). Alex. J. Food Sci. Technol. 2023, 19, 13–24. [Google Scholar] [CrossRef]
- İzci, L.; Günlü, A.; Bilgin, Ş. Production of Fish Chips from Sand Smelt (Atherina boyeri, RISSO 1810) and Determination of Some Quality Changes. Iran. J. Fish. Sci. 2011, 10, 218–229. [Google Scholar] [CrossRef]
- Malaypally, S.P.; Liceaga, A.M.; Kim, K.-H.; Ferruzzi, M.; Martin, F.S.; Goforth, R.R. Influence of molecular weight on intracellular antioxidant activity of invasive silver carp (Hypophthalmichthys molitrix) protein hydrolysates. J. Funct. Foods 2015, 18, 1158–1166. [Google Scholar] [CrossRef]
- Gbogouri, G.; Linder, M.; Fanni, J.; Parmentier, M. Influence of hydrolysis degree on the functional properties of salmon byproducts hydrolysates. J. Food Sci. 2004, 69, C615–C622. [Google Scholar] [CrossRef]
- Tekle, S. Transglutaminase Crosslinking Enhances Functional and Structural Properties of Fish Gelatins. Polymers 2025, 17, 2822. [Google Scholar] [CrossRef] [PubMed]
- Gong, K.-J.; Shi, A.-M.; Liu, H.-Z.; Liu, L.; Hu, H.; Adhikari, B.; Wang, Q. Emulsifying properties and structure changes of spray and freeze-dried peanut protein isolate. J. Food Eng. 2016, 170, 33–40. [Google Scholar] [CrossRef]
- Özcan, F.Ş. Effect of Cold Plasma and Microwave Pretreatments Combined with Hot-Air Drying on Physical Properties, Chemical Composition, and Volatile Profile of Pomegranate Peels. Food Bioprocess. Technol. 2025, 18, 1749–1763. [Google Scholar] [CrossRef]
- Cebi, N.; Durak, M.Z.; Toker, O.S.; Sagdic, O.; Arici, M. An evaluation of Fourier transforms infrared spectroscopy method for the classification and discrimination of bovine, porcine and fish gelatins. Food Chem. 2016, 190, 1109–1115. [Google Scholar] [CrossRef] [PubMed]
- Tekle, S.; Ozulku, G.; Bekiroglu, H.; Sagdic, O. Effects of Fish Skin Gelatin Hydrolysates Treated with Alcalase and Savinase on Frozen Dough and Bread Quality. Foods 2024, 13, 139. [Google Scholar] [CrossRef]
- AOCS. Official Methods and Recommended Practices of the American Oil Chemists Society; American Oil Chemists Society: Champaign, IL, USA, 1989; Official method Ba 11–65. [Google Scholar]
- Dara, P.K.; Elavarasan, K.; Aswathnarayan Shamasundar, B. Characterization of antioxidant and surface active properties of gelatin hydrolysates obtained from croaker fish skin. Int. Aquat. Res. 2020, 12, 116–126. [Google Scholar] [CrossRef]
- Vidal, A.R.; Cansian, R.L.; Mello, R.d.O.; Kubota, E.H.; Demiate, I.M.; Zielinski, A.A.F.; Dornelles, R.C.P. Effect of ultrasound on the functional and structural properties of hydrolysates of different bovine collagens. Food Sci. Technol. 2020, 40, 346–353. [Google Scholar] [CrossRef]
- Yu, Z.; Yin, Y.; Zhao, W.; Wang, F.; Yu, Y.; Liu, B.; Liu, J.; Chen, F. Characterization of ACE-Inhibitory Peptide Associated with Antioxidant and Anticoagulation Properties. J. Food Sci. 2011, 76, C1149–C1155. [Google Scholar] [CrossRef]
- Benjakul, S.; Morrissey, M.T. Protein hydrolysates from Pacific whiting solid wastes. J. Agric. Food Chem. 1997, 45, 3423–3430. [Google Scholar] [CrossRef]
- Ahmad Nadzri, F.N.; Tawalbeh, D.; Sarbon, N.M. Physicochemical properties and antioxidant activity of enzymatic hydrolysed chickpea (Cicer arietinum L.) protein as influence by alcalase and papain enzyme. Biocatal. Agric. Biotechnol. 2021, 36, 102131. [Google Scholar] [CrossRef]
- Elavarasan, K.; Naveen Kumar, V.; Shamasundar, B.A. Antioxidant and Functional Properties of Fish Protein Hydrolysates from Fresh Water Carp (Catla catla) as Influenced by the Nature of Enzyme. J. Food Process Pres. 2014, 38, 1207–1214. [Google Scholar] [CrossRef]
- Klompong, V.; Benjakul, S.; Yachai, M.; Visessanguan, W.; Shahidi, F.; Hayes, K.D. Amino Acid Composition and Antioxidative Peptides from Protein Hydrolysates of Yellow Stripe Trevally (Selaroides leptolepis). J. Food Sci. 2009, 74, C126–C133. [Google Scholar] [CrossRef]
- Liu, Y.; Li, X.; Chen, Z.; Yu, J.; Wang, F.; Wang, J. Characterization of structural and functional properties of fish protein hydrolysates from surimi processing by-products. Food Chem. 2014, 151, 459–465. [Google Scholar] [CrossRef] [PubMed]
- Camargo, T.R.; Khelissa, S.; Chihib, N.E.; Dumas, E.; Wang, J.; Valenti, W.C.; Gharsallaoui, A. Preparation and Characterization of Microcapsules Containing Antioxidant Fish Protein Hydrolysates: A New Use of Bycatch in Brazil. Mar. Biotechnol. 2021, 23, 321–330. [Google Scholar] [CrossRef] [PubMed]
- Abdollahi, M.; Undeland, I. Structural, functional, and sensorial properties of protein isolate produced from salmon, cod, and herring by-products. Food Bioprocess. Technol. 2018, 11, 1733–1749. [Google Scholar] [CrossRef]
- Parvathy, U.; Nizam, K.; Zynudheen, A.; Ninan, G.; Panda, S.; Ravishankar, C. Characterization of fish protein hydrolysate from red meat of Euthynnus affinis and its application as an antioxidant in iced sardine. J. Sci. Indust. Res. 2018, 77, 111–119. [Google Scholar]
- Abdullah, F.I.; Hamid, N.H.; Abd Karim, M.M.; Ismail, M.F.; Sin, N.L.W.W.; Kamaruddin, M.S. Fish protein hydrolysate for fish health. Biocatal. Agric. Biotechnol. 2024, 60, 103292. [Google Scholar] [CrossRef]
- Halim, N.R.A.; Yusof, H.M.; Sarbon, N.M. Functional and bioactive properties of fish protein hydolysates and peptides: A comprehensive review. Trends Food Sci. Technol. 2016, 51, 24–33. [Google Scholar] [CrossRef]
- Klompong, V.; Benjakul, S.; Kantachote, D.; Shahidi, F. Antioxidative activity and functional properties of protein hydrolysate of yellow stripe trevally (Selaroides leptolepis) as influenced by the degree of hydrolysis and enzyme type. Food Chem. 2007, 102, 1317–1327. [Google Scholar] [CrossRef]
- Wasswa, J.; Tang, J.; Gu, X.-h.; Yuan, X.-q. Influence of the extent of enzymatic hydrolysis on the functional properties of protein hydrolysate from grass carp (Ctenopharyngodon idella) skin. Food Chem. 2007, 104, 1698–1704. [Google Scholar] [CrossRef]
- Opazo-Navarrete, M.; Burgos-Díaz, C.; Garrido-Miranda, K.A.; Acuña-Nelson, S. Effect of Enzymatic Hydrolysis on Solubility and Emulsifying Properties of Lupin Proteins (Lupinus luteus). Colloids Interfaces 2022, 6, 82. [Google Scholar] [CrossRef]
- Khan, S.; Rehman, A.; Shah, H.; Aadil, R.M.; Ali, A.; Shehzad, Q.; Ashraf, W.; Yang, F.; Karim, A.; Khaliq, A.; et al. Fish Protein and Its Derivatives: The Novel Applications, Bioactivities, and Their Functional Significance in Food Products. Food Rev. Int. 2022, 38, 1607–1634. [Google Scholar] [CrossRef]
- Cunha, S.A.; Pintado, M.E. Bioactive peptides derived from marine sources: Biological and functional properties. Trends Food Sci. Technol. 2022, 119, 348–370. [Google Scholar] [CrossRef]
- Sathivel, S.; Bechtel, P.J.; Babbitt, J.; Smiley, S.; Crapo, C.; Reppond, K.D.; Prinyawiwatkul, W. Biochemical and Functional Properties of Herring (Clupea harengus) Byproduct Hydrolysates. J. Food Sci. 2003, 68, 2196–2200. [Google Scholar] [CrossRef]
- Kristinsson, H.G.; Rasco, B.A. Biochemical and Functional Properties of Atlantic Salmon (Salmo salar) Muscle Proteins Hydrolyzed with Various Alkaline Proteases. J. Agric. Food Chem. 2000, 48, 657–666. [Google Scholar] [CrossRef]
- Koç, S. Hamsi (Engraulis encrasicolus) ve Işleme Atıklarından elde Edilen Protein Hidrolizatlarının Besleyici, Fonksiyonel ve Biyoaktif özelliklerinin Araştırılması. Doctoral Thesis, ÇOMÜ Fen Bilimleri Enstitüsü, Çanakkale, Turkey, 2016. [Google Scholar]
- Chalamaiah, M.; Dinesh kumar, B.; Hemalatha, R.; Jyothirmayi, T. Fish protein hydrolysates: Proximate composition, amino acid composition, antioxidant activities and applications: A review. Food Chem. 2012, 135, 3020–3038. [Google Scholar] [CrossRef]
- Harnedy, P.A.; FitzGerald, R.J. Bioactive peptides from marine processing waste and shellfish: A review. J. Funct. Foods 2012, 4, 6–24. [Google Scholar] [CrossRef]
- Je, J.-Y.; Qian, Z.-J.; Byun, H.-G.; Kim, S.-K. Purification and characterization of an antioxidant peptide obtained from tuna backbone protein by enzymatic hydrolysis. Process Biochem. 2007, 42, 840–846. [Google Scholar] [CrossRef]
- Vanzolini, T.; Bruschi, M.; Rinaldi, A.C.; Magnani, M.; Fraternale, A. Multitalented Synthetic Antimicrobial Peptides and Their Antibacterial, Antifungal and Antiviral Mechanisms. Int. J. Mol. Sci. 2022, 23, 545. [Google Scholar] [CrossRef]
- Leduc, A.; Fournier, V.; Henry, J. A standardized, innovative method to characterize the structure of aquatic protein hydrolysates. Heliyon 2020, 6, e04170. [Google Scholar] [CrossRef] [PubMed]
- Bi, J.; Tian, C.; Jiang, J.; Zhang, G.-L.; Hao, H.; Hou, H.-M. Antibacterial Activity and Potential Application in Food Packaging of Peptides Derived from Turbot Viscera Hydrolysate. J. Agric. Food Chem. 2020, 68, 9968–9977. [Google Scholar] [CrossRef]
- Da Rocha, M.; Alemán, A.; Baccan, G.C.; López-Caballero, M.E.; Gómez-Guillén, C.; Montero, P.; Prentice, C. Anti-Inflammatory, Antioxidant, and Antimicrobial Effects of Underutilized Fish Protein Hydrolysate. J. Aquat. Food Prod. Technol. 2018, 27, 592–608. [Google Scholar] [CrossRef]
- Sapatinha, M.; Camacho, C.; Pais-Costa, A.J.; Fernando, A.L.; Marques, A.; Pires, C. Enzymatic Hydrolysis Systems Enhance the Efficiency and Biological Properties of Hydrolysates from Frozen Fish Processing Co-Products. Mar. Drugs 2025, 23, 14. [Google Scholar]
- Elavarasan, K.; Shamasundar, B.A. Angiotensin I-converting enzyme inhibitory activity of protein hydrolysates prepared from three freshwater carps (Catla catla, Labeo rohita and Cirrhinus mrigala) using Flavorzyme. Int. J. Food Sci. Technol. 2014, 49, 1344–1350. [Google Scholar] [CrossRef]
- Hu, Y.-D.; Xi, Q.-H.; Kong, J.; Zhao, Y.-Q.; Chi, C.-F.; Wang, B. Angiotensin-I-Converting Enzyme (ACE)-Inhibitory Peptides from the Collagens of Monkfish (Lophius litulon) Swim Bladders: Isolation, Characterization, Molecular Docking Analysis and Activity Evaluation. Mar. Drugs 2023, 21, 516. [Google Scholar] [CrossRef] [PubMed]










| Amino Acid | HSalc | HSbro | HSfla | YSalc | YSbro | YSfla |
|---|---|---|---|---|---|---|
| Aspartic acid | 5520.5 ± 1.24 | 5712 ± 0.30 | 6175.5 ± 0.81 | 5410 ± 0.58 | 7035 ± 1.13 | 5826.5 ± 1.40 |
| Glutamic acid | 9596 ± 0.68 | 10,819 ± 0.11 | 11,230 ± 0.59 | 9477 ± 0.61 | 11,526.5 ± 0.67 | 10,745 ± 0.88 |
| Serine | 3335.5 ± 0.02 | 3656 ± 0.06 | 3676.5 ± 0.10 | 3412.5 ± 0.10 | 4184 ± 0.30 | 3649 ± 0.16 |
| Glycine | 3636.5 ± 0.06 | 4121 ± 0.24 | 4360.5 ± 0.79 | 3515.5 ± 0.18 | 4788.5 ± 0.34 | 4502 ± 0.35 |
| Histidine | 2736.5 ± 0.13 | 2817 ± 0.10 | 2833.5 ± 0.37 | 2567.5 ± 0.91 | 2996.5 ± 0.64 | 2690.5 ± 0.45 |
| Arginine | 3911 ± 0.43 | 4469 ± 0.19 | 4075 ± 1.87 | 3939.5 ± 0.31 | 4091 ± 0.83 | 4265 ± 1.76 |
| Threonine | 4441.5 ± 0.18 | 4916 ± 1.08 | 4299 ± 0.26 | 3940 ± 0.86 | 5116.5 ± 0.37 | 4134 ± 4.82 |
| Alanine | 3813.5 ± 0.32 | 4365 ± 0.60 | 4270 ± 0.33 | 3409.5 ± 0.89 | 4593.5 ± 0.38 | 3988.5 ± 1.58 |
| Proline | 3037.5 ± 0.49 | 3828 ± 1.92 | 3211.5 ± 0.64 | 2774.5 ± 0.79 | 3737 ± 0.61 | 3275 ± 2.50 |
| Tyrosine | 2235.5 ± 0.03 | 2075 ± 1.36 | 1541 ± 1.19 | 1669 ± 0.34 | 2701 ± 0.21 | 1599 ± 0.18 |
| Valine | 3494.5 ± 0.59 | 3911 ± 0.43 | 3474.5 ± 0.67 | 2968 ± 0.57 | 3921.5 ± 0.56 | 3120 ± 0.54 |
| Methionine | 1786.5 ± 0.04 | 2246 ± 0.69 | 1749.5 ± 0.12 | 1434 ± 0.10 | 2135.5 ± 0.43 | 1499 ± 0.38 |
| Isoleucine | 3220.5 ± 0.11 | 3539 ± 1.34 | 3156 ± 0.09 | 2692 ± 0.05 | 3416 ± 0.46 | 2931.5 ± 0.17 |
| Leucine | 5266 ± 0.56 | 6152 ± 0.17 | 5392 ± 1.15 | 4513 ± 0.09 | 5788 ± 0.86 | 4927 ± 0.14 |
| Phenylalanine | 2844.5 ± 0.37 | 3415 ± 0.50 | 2835 ± 0.30 | 2373 ± 0.42 | 2745.5 ± 1.00 | 2398 ± 0.29 |
| Lysine | 10,872 ± 0.46 | 10,776 ± 0.95 | 11,044 ± 0.61 | 11,802 ± 0.43 | 11,072 ± 0.70 | 12,207.5 ± 0.38 |
| Total | 69,748 ± 0.16 | 76,814 ± 0.09 | 73,323.5 ± 0.11 | 65,897 ± 0.21 | 79,848 ± 0.17 | 71,757.5 ± 0.77 |
| Samples | L* | a* | b* |
|---|---|---|---|
| HSalc | 97.17 ± 0.78 aAB | −1.67 ± 0.16 aAB | 29.46 ± 0.38 aA |
| HSbro | 97.02 ± 1.32 aAB | −1.40 ± 0.08 aA | 29.38 ± 0.28 aAB |
| HSfla | 95.53 ± 0.40 aB | −1.50 ± 0.12 aAB | 25.44 ± 0.74 bC |
| YSalc | 97.87 ± 0.19 bAB | −2.03 ± 0.04 bC | 28.24 ± 1.23 cAB |
| YSbro | 98.90 ± 0.82 bA | −1.75 ± 0.03 cBC | 28.54 ± 0.13 cAB |
| YSfla | 97.81 ± 1.19 bAB | −1.42 ± 0.11 dA | 27.57 ± 0.56 cB |
| Samples | Concentration (µg/mL) | E. coli | B. cereus | Staph. aureus | S. typhimurium |
|---|---|---|---|---|---|
| HSalc | 1:1 | 23.0 ± 1.4 | 33.5 ± 2.1 | 21.5 ± 0.7 | 30.0 ± 1.4 |
| 1:2 | n.d. | 29.0 ± 1.4 | n.d. | 24.5 ± 2.1 | |
| 1:4 | n.d. | 23.0 ± 1.4 | n.d. | 23.0 ± 1.4 | |
| HSbro | 1:1 | 28.5 ± 0.7 | 30.5 ± 0.7 | 22.0 ± 1.4 | 28.5 ± 0.7 |
| 1:2 | 24.0 ± 1.4 | 27.0 ± 0.0 | n.d. | 22.5 ± 0.7 | |
| 1:4 | 23.0 ± 1.4 | 24.0 ± 2.8 | n.d. | 20.0 ± 1.4 | |
| HSfla | 1:1 | 30.5 ± 0.7 | 30.5 ± 0.7 | 24.0 ± 0.0 | 28.5 ± 2.1 |
| 1:2 | 26.0 ± 2.8 | 24.5 ± 0.7 | n.d. | 22.0 ± 1.4 | |
| 1:4 | n.d. | 24.0 ± 0.0 | n.d. | 19.0 ± 1.4 | |
| YSalc | 1:1 | 25.0 ± 0.0 | 28.0 ± 1.4 | 18.0 ± 1.4 | 29.0 ± 1.4 |
| 1:2 | 23.0 ± 1.4 | 26.5 ± 0.7 | n.d. | 25.0 ± 1.4 | |
| 1:4 | n.d. | 22.5 ± 0.7 | n.d. | 19.0 ± 1.4 | |
| YSbro | 1:1 | 30.0 ± 1.4 | 29.5 ± 0.7 | 24.5 ± 0.7 | 25.5 ± 0.7 |
| 1:2 | 29.5 ± 0.7 | 25.5 ± 0.7 | n.d. | 22.5 ± 0.7 | |
| 1:4 | 24.5 ± 0.7 | 22.0 ± 1.4 | n.d. | 18.0 ± 1.4 | |
| YSfla | 1:1 | 31.0 ± 1.4 | 27.5 ± 0.7 | 20.5 ± 0.7 | 26.5 ± 0.7 |
| 1:2 | 29.5 ± 0.7 | 22.5 ± 0.7 | n.d. | 23.5 ± 0.7 | |
| 1:4 | 27.5 ± 0.70 | 22.5 ± 0.70 | n.d. | 20.0 ± 1.41 |
Disclaimer/Publisher’s Note: The statements, opinions and data contained in all publications are solely those of the individual author(s) and contributor(s) and not of MDPI and/or the editor(s). MDPI and/or the editor(s) disclaim responsibility for any injury to people or property resulting from any ideas, methods, instructions or products referred to in the content. |
© 2026 by the authors. Licensee MDPI, Basel, Switzerland. This article is an open access article distributed under the terms and conditions of the Creative Commons Attribution (CC BY) license.
Share and Cite
Kizilkoy, I.C.; Tekle, S.; Bozkurt, F.; Goktas, H.; Ozcan, F.S.; Yilmaz, M.; Sagdic, O. Valorization of the Invasive Fish Atherina boyeri (Risso, 1810) as a Source of Protein Hydrolysates with Functional and Bioactive Properties. Foods 2026, 15, 330. https://doi.org/10.3390/foods15020330
Kizilkoy IC, Tekle S, Bozkurt F, Goktas H, Ozcan FS, Yilmaz M, Sagdic O. Valorization of the Invasive Fish Atherina boyeri (Risso, 1810) as a Source of Protein Hydrolysates with Functional and Bioactive Properties. Foods. 2026; 15(2):330. https://doi.org/10.3390/foods15020330
Chicago/Turabian StyleKizilkoy, Irem Ceren, Sefik Tekle, Fatih Bozkurt, Hamza Goktas, Fahriye Seyma Ozcan, Mahmut Yilmaz, and Osman Sagdic. 2026. "Valorization of the Invasive Fish Atherina boyeri (Risso, 1810) as a Source of Protein Hydrolysates with Functional and Bioactive Properties" Foods 15, no. 2: 330. https://doi.org/10.3390/foods15020330
APA StyleKizilkoy, I. C., Tekle, S., Bozkurt, F., Goktas, H., Ozcan, F. S., Yilmaz, M., & Sagdic, O. (2026). Valorization of the Invasive Fish Atherina boyeri (Risso, 1810) as a Source of Protein Hydrolysates with Functional and Bioactive Properties. Foods, 15(2), 330. https://doi.org/10.3390/foods15020330

