Analyzing the Effect of Dried Shrimp on the Flavor of Sheep Bone Soup Through Sensory Evaluation Combined with Untargeted Approaches
Abstract
1. Introduction
2. Materials and Methods
2.1. Materials
2.2. Preparation of Stewed Sheep Bone Soup with Dried Shrimp (SBS)
2.3. Optimization of the Stewing Conditions
2.4. Sensory Evaluation of SBS
2.5. Untargeted Analysis
2.5.1. Extraction of Compounds
2.5.2. Ultra-High-Performance Liquid Chromatography/Q Exactive HF-X Hybrid Quadrupole–Orbitrap Mass Spectrometer (UHPLC-QE-MS) Analysis
2.5.3. Data Analysis
2.6. Statistical Analysis
3. Results and Discussion
3.1. Optimization of Stewing Conditions
3.1.1. Effect of Content of Dried Shrimp Addition on Sensory Quality of SBS
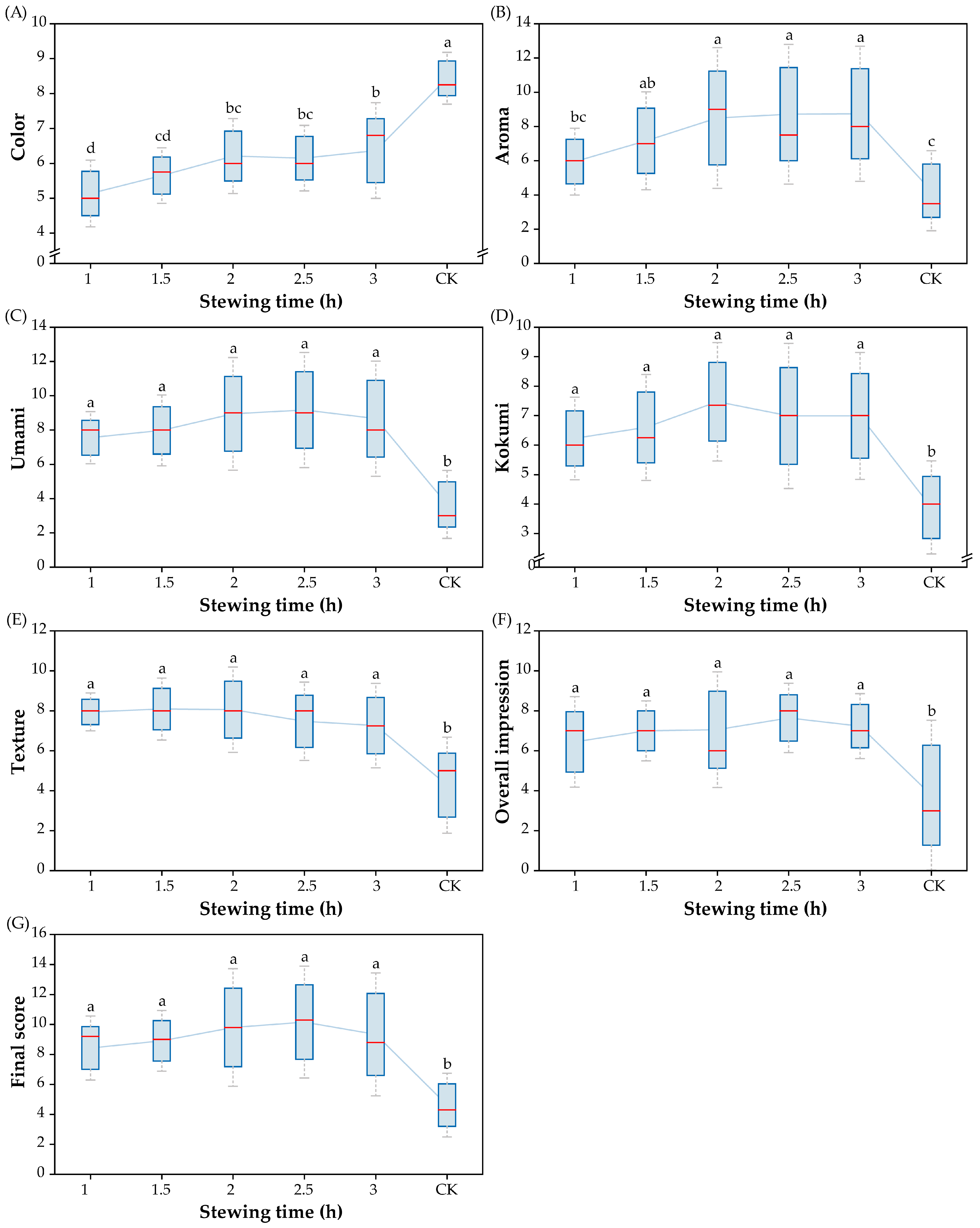
3.1.2. Effect of Stewing Time on Sensory Quality of SBS
3.1.3. Effect of Material–Water Ratio on Sensory Quality of SBS
3.1.4. Optimization of Stewing Conditions Using Orthogonal Tests
3.2. Overview of Identified Compounds
3.3. Multivariate Statistical Analysis
3.4. Identification and Content Analysis of Differential Taste Compounds
4. Conclusions
Supplementary Materials
Author Contributions
Funding
Institutional Review Board Statement
Informed Consent Statement
Data Availability Statement
Conflicts of Interest
References
- Vidal, A.R.; Duarte, L.P.; Schmidt, M.M.; Cansian, R.L.; Fernandes, I.A.; de Oliveira Mello, R.; Demiate, I.M.; Dornelles, R.C.P. Extraction and characterization of collagen from sheep slaughter by-products. Waste Manag. 2020, 102, 838–846. [Google Scholar] [CrossRef] [PubMed]
- Fan, H.L.; Fu, W.G. Analysis of supply and demand changes in China’s mutton market based on partial equilibrium model. Acta Agric. Zhejiangensis 2020, 32, 1123–1132. [Google Scholar]
- Toldrá, F.; Mora, L.; Reig, M. New insights into meat by-product utilization. Meat Sci. 2016, 120, 54–59. [Google Scholar] [CrossRef] [PubMed]
- Wang, X.Q.; Zhang, Z.; Xu, H.Y.; Li, X.Y.; Hao, X.D. Preparation of sheep bone collagen peptide–calcium chelate using enzymolysis-fermentation methodology and its structural characterization and stability analysis. RSC Adv. 2020, 10, 11624–11633. [Google Scholar] [CrossRef]
- Hu, G.H.; Wang, D.B.; Sun, L.N.; Su, R.N.; Corazzin, M.; Sun, X.Y.; Dou, L.; Zhang, M.; Zhao, L.H.; Su, L.; et al. Isolation, purification and structure identification of a calcium-binding peptide from sheep bone protein hydrolysate. Foods 2022, 11, 2655. [Google Scholar] [CrossRef] [PubMed]
- Hu, G.H.; Li, X.T.; Su, R.N.; Corazzin, M.; Liu, X.M.; Dou, L.; Sun, L.N.; Zhao, L.H.; Su, L.; Tian, J.J.; et al. Effects of ultrasound on the structural and functional properties of sheep bone collagen. Ultrason. Sonochem. 2023, 95, 106366. [Google Scholar] [CrossRef]
- Suleman, R.; Wang, Z.Y.; Aadil, R.M.; Hui, T.; Hopkins, D.L.; Zhang, D.Q. Effect of cooking on the nutritive quality, sensory properties and safety of lamb meat: Current challenges and future prospects. Meat Sci. 2020, 167, 108172. [Google Scholar] [CrossRef]
- Zhao, B.; Sun, B.G.; Wang, S.W.; Zhang, Y.Y.; Zang, M.W.; Le, W.; Wang, H.; Wu, Q.R. Effect of different cooking water on flavor characteristics of mutton soup. Food Sci. Nutr. 2021, 9, 6047–6059. [Google Scholar] [CrossRef]
- Zou, J.; Xu, M.J.; Zou, Y.F.; Yang, B. Chemical compositions and sensory characteristics of pork rib and Silkie chicken soups prepared by various cooking techniques. Food Chem. 2021, 345, 128755. [Google Scholar] [CrossRef]
- Tang, T.T.; Zhang, M.; Liu, Y.P. Valorization of meat and bone residue by ultrasound and high voltage electrostatic field assisted two-stage enzymatic hydrolysis: Nutritional characteristics and flavor analysis. Food Biosci. 2023, 56, 103203. [Google Scholar] [CrossRef]
- Ma, C.W.; Tian, X.J.; Li, Y.S.; Guo, J.J.; Wang, X.H.; Chen, S.H.; Bai, L.; Wang, Y.; Zhang, Y.F.; Wang, W.H. Using high-temperature cooking for different times for bone soup: Physicochemical properties, protein oxidation and nutritional value. J. Food Compos. Anal. 2023, 122, 105467. [Google Scholar] [CrossRef]
- Fu, J.N.; Li, S.B.; Zhang, D.Q.; Xu, M.Z.; Liu, L.; Chen, L. Physicochemical properties of colloidal nanoparticles (CNPs) in lamb soup with different stewing times. J. Food Compos. Anal. 2024, 134, 106548. [Google Scholar] [CrossRef]
- Shi, K.; Li, Z.Q.; Bai, Y.B.; Zhang, Y.; Song, H.L.; Pan, W.Q.; Chen, W.Y.; Xiong, W.; Yang, L.; Huang, Z.J. Umami-enhancing effect of Agaricus bisporus- pork bone stocks based on the EUC value and sensory evaluation. Int. J. Gastron. Food Sci. 2024, 38, 101033. [Google Scholar] [CrossRef]
- Liang, L.; Zhou, C.C.; Zhang, Y.Y.; Sun, B.G. Effect of welsh onion on taste components and sensory characteristics of porcine bone soup. Foods 2021, 10, 2968. [Google Scholar] [CrossRef]
- Zhu, W.Z.; Huai, X.; Zhao, Z.; Zhu, Z.P.; Zhang, X.Y.; Sun, Y.; Zhang, B.N.; Xu, Y.; Zhou, X.Y. The nutritional quality and flavor profiles of Sandiao soup made by the traditional refinement process. Int. J. Gastron. Food Sci. 2025, 39, 101084. [Google Scholar] [CrossRef]
- Xue, Y.Y.; Qi, L.B.; Guo, Y.; Shang, S.; Huang, X.H.; Fu, B.S. Optimization of processing technology of fish and mutton dishes by response surface method. Food Sci. Technol. 2024, 49, 167–174. [Google Scholar]
- He, H.L.; Chen, X.L.; Sun, C.Y.; Zhang, Y.Z.; Gao, P.J. Preparation and functional evaluation of oligopeptide-enriched hydrolysate from shrimp (Acetes chinensis) treated with crude protease from Bacillus sp. SM98011. Bioresour. Technol. 2006, 97, 385–390. [Google Scholar] [CrossRef]
- Yin, M.X.; Li, X.Y.; Shao, Y.J.; Shui, S.S.; Tu, C.H.; Zhang, B. Analysis and evaluation of nutritional components of 3 kinds of raw dried small shrimp. J. Food Saf. Qual. 2024, 15, 106–113. [Google Scholar]
- Liu, S.; Yang, L.; He, S.D.; Sun, H.J.; Yao, S.F.; Xu, S.Y. Study on enzymatic hydrolysis of dried shrimp for cooking wine production. China Condiment 2018, 43, 67–71, 75. [Google Scholar]
- Sun, L.Y.; Chen, T.C.; Zhong, L. Effect of dried small shrimps on sensory quality of compound seasoning based on fuzzy sensory evaluation. China Condiment 2020, 45, 167–170. [Google Scholar]
- Zheng, H.S.; Jiang, J.Z.; Huang, C.B.; Wang, X.Y.; Hu, P. Effect of sugar content on characteristic flavour formation of tomato sour soup fermented by Lacticaseibacillus casei H1 based on non-targeted metabolomics analysis. Food Chem. X 2024, 21, 101116. [Google Scholar] [CrossRef] [PubMed]
- Huang, Y.; Pu, D.D.; Hao, Z.L.; Liang, L.; Zhao, J.; Tang, Y.Z.; Zhang, Y.Y. Characterization of taste compounds and sensory evaluation of soup cooked with sheep tail fat and prickly ash. Foods 2022, 11, 896. [Google Scholar] [CrossRef] [PubMed]
- Chen, Q.; Xiang, H.; Zhao, Y.Q.; Chen, S.J.; Cai, Q.X.; Wu, Y.Y.; Wang, Y.Q. Cooperative combination of non-targeted metabolomics and targeted taste analysis for elucidating the taste metabolite profile and pathways of traditional fermented golden pompano. Food Res. Int. 2023, 169, 112865. [Google Scholar] [CrossRef] [PubMed]
- Higuera-Ciapara, I.; Félix-Valenzuela, L.; Goycoolea, F.M. Astaxanthin: A Review of Its Chemistry and Applications. Crit. Rev. Food Sci. Nutr. 2006, 46, 185–196. [Google Scholar] [CrossRef]
- Multari, S.; Marsol-Vall, A.; Heponiemi, P.; Suomela, J.-P.; Yang, B. Changes in the volatile profile, fatty acid composition and other markers of lipid oxidation of six different vegetable oils during short-term deep-frying. Food Res. Int. 2019, 122, 318–329. [Google Scholar] [CrossRef]
- Guan, H.N.; Yang, C.; Tian, Y.L.; Feng, C.M.; Gai, S.M.; Liu, D.Y.; Diao, X.Q. Changes in stability and volatile flavor compounds of self-emulsifying chicken soup formed during the stewing process. LWT 2023, 175, 114520. [Google Scholar] [CrossRef]
- Wang, L.; Zhao, B.; Chen, X.Y.; Wang, S.W.; Zhao, Y.; Chang, S.Y.; Zhao, X. Exploration on the stability changes and flavor profiles of duck soup during cooking. LWT 2024, 211, 116905. [Google Scholar] [CrossRef]
- Liu, W.; Wang, Q.Y.; Sha, W.X.; Xu, H.; Miao, J.C.; Xu, C.X.; Zhou, X.Y. Optimization of chicken soup with scallop by response surface methodology. China Condiment 2023, 48, 138–143. [Google Scholar]
- Du, H.; Chen, W.; Lei, Y.; Li, F.; Li, H.; Deng, W.; Jiang, G. Discrimination of authenticity of Fritillariae Cirrhosae Bulbus based on terahertz spectroscopy and chemometric analysis. Microchem. J. 2021, 168, 106440. [Google Scholar] [CrossRef]
- Gu, T.Y.; Duan, M.C.; Chen, L.; Tian, Y.; Xu, W.W.; Zeng, T.; Lu, L.Z. The difference between young and older ducks: Amino acid, free fatty acid, nucleotide compositions and breast muscle proteome. Food Chem. X 2025, 25, 102117. [Google Scholar] [CrossRef]
- Yang, J.; Sun-Waterhouse, D.; Xie, J.; Wang, L.; Chen, H.; Cui, C.; Zhao, M. Comparison of kokumi γ-[Glu](n>1)-Val and γ-[Glu](n>1)-Met synthesized through transpeptidation catalyzed by glutaminase from Bacillus amyloliquefaciens. Food Chem. 2018, 247, 89–97. [Google Scholar] [CrossRef] [PubMed]
- Lu, Y.; Wang, J.; Soladoye, O.P.; Aluko, R.E.; Fu, Y.; Zhang, Y. Preparation, receptors, bioactivity and bioavailability of γ-glutamyl peptides: A comprehensive review. Trends Food Sci. Technol. 2021, 113, 301–314. [Google Scholar] [CrossRef]
- Zhao, X.; Su, G.W.; Zhao, Y.Q.; Hua, Y.T.; Li, B.Y.; Yin, K.D. Comparative analysis for the taste characteristics of the umami dipeptides (Asn-Pro and Ala-His) before and after structural modifications and Maillard reaction. Mod. Food Sci. Technol. 2021, 37, 241–249. [Google Scholar]
- Dong, M.; Liang, F.; Cui, S.; Mao, B.-B.; Huang, X.-H.; Qin, L. Insights into the effects of steaming on organoleptic quality of salmon (Salmo Salar) integrating multi-omics analysis and electronic sensory system. Food Chem. 2024, 434, 137372. [Google Scholar] [CrossRef] [PubMed]
- Zhang, J.; Sun-Waterhouse, D.; Feng, Y.; Su, G.; Zhao, M.; Lin, L. The umami intensity enhancement of peanut protein isolate hydrolysate and its derived factions and peptides by Maillard reaction and the analysis of peptide (EP) Maillard products. Food Res. Int. 2019, 120, 895–903. [Google Scholar] [CrossRef]
- Ding, Y. Preparation and Taste Evaluation of Silkworm Pupa Umami Peptides. Master’s Thesis, Zhongkai University of Agriculture and Engineering, Guangzhou, China, 2021. [Google Scholar]
- Aliani, M.; Eskin, M.N.A. Bitterness, 6th ed.; John Wiley & Sons, Inc.: Hoboken, NJ, USA, 2017; pp. 105–129. [Google Scholar]
- Tamamoto, L.C.; Schmidt, S.J.; Lee, S.-Y. Sensory profile of a model energy drink with varying levels of functional ingredients-Caffeine, ginseng, and taurine. J. Food Sci. 2010, 75, S271–S278. [Google Scholar] [CrossRef]
- Brehm, L.; Jünger, M.; Frank, O.; Hofmann, T. Discovery of a thiamine-derived taste enhancer in process flavors. J. Agric. Food Chem. 2019, 67, 5857–5865. [Google Scholar] [CrossRef]
- Lindqvist, M. Flavour Improvement of Water Solutions Comprising Bitter Amino Acids; Department of Food Science, Swedish University of Agricultural Science: Uppsala, Sweden, 2010. [Google Scholar]
- Tamura, M.; Mori, N.; Miyoshi, T.; Koyama, S.; Kohri, H.; Okai, H. Practical debittering using model peptides and related compounds. Agric. Biol. Chem. 1990, 54, 41–51. [Google Scholar] [CrossRef]
- Hutasingh, N.; Chuntakaruk, H.; Tubtimrattana, A.; Ketngamkum, Y.; Pewlong, P.; Phaonakrop, N.; Roytrakul, S.; Rungrotmongkol, T.; Paemanee, A.; Tansrisawad, N.; et al. Metabolite profiling and identification of novel umami compounds in the chaya leaves of two species using multiplatform metabolomics. Food Chem. 2023, 404, 134564. [Google Scholar] [CrossRef]
- Liu, H.; Zhang, M.; Su, M.; Zeng, W.; Wang, S.; Du, J.; Zhou, H.; Yang, X.; Zhang, X.; Li, X.; et al. Multidimensional analysis of the flavor characteristics of yellow peach at different ripening stages: Chemical composition profiling and sensory evaluation. Food Chem. 2025, 471, 142772. [Google Scholar] [CrossRef]
- Cao, C.; Song, X.; Mu, Y.; Sun, W.; Su, G. Co-culturing Limosilactobacillus fermentum and Pichia fermentans to ferment soybean protein hydrolysates: An effective flavor enhancement strategy. Innov. Food Sci. Emerg. Technol. 2025, 100, 103920. [Google Scholar] [CrossRef]
- Kumazawa, K.; Masuda, H. Identification of potent odorants in different green tea varieties using flavor dilution technique. J. Agric. Food Chem. 2002, 50, 5660–5663. [Google Scholar] [CrossRef] [PubMed]
- Marquezi, M.L.; Roschel, H.A.; dos Santa Costa, A.; Sawada, L.A.; Lancha, A.H. Effect of aspartate and asparagine supplementation on fatigue determinants in intense exercise. Int. J. Sport Nutr. Exerc. Metab. 2003, 13, 65–75. [Google Scholar] [CrossRef] [PubMed]
- Gaikwad, S.A.; Kale, A.; Mundhe, K.; Deshpande, N.R.; Salvekar, J.P. Detection of amino acids present in the leaves of Cassia auriculata L. Int. J. Pharm. Tech. Res. 2010, 2, 1092–1094. [Google Scholar]






| Group | Factors | Scores | ||
|---|---|---|---|---|
| Material–Water Ratio (A) | Stewing Time (B) | Content of Dried Shrimp Addition (C) | ||
| 1 | 1 | 1 | 1 | 10.2 |
| 2 | 1 | 2 | 2 | 10.4 |
| 3 | 1 | 3 | 3 | 10.5 |
| 4 | 2 | 1 | 2 | 10.3 |
| 5 | 2 | 2 | 3 | 10.2 |
| 6 | 2 | 3 | 1 | 10.0 |
| 7 | 3 | 1 | 3 | 10.6 |
| 8 | 3 | 2 | 1 | 10.4 |
| 9 | 3 | 3 | 2 | 10.7 |
| 31.1 | 31.1 | 30.6 | ||
| 30.5 | 31.0 | 31.4 | ||
| 31.7 | 31.2 | 31.3 | ||
| Range (R) | 1.2 | 0.2 | 0.8 | |
Disclaimer/Publisher’s Note: The statements, opinions and data contained in all publications are solely those of the individual author(s) and contributor(s) and not of MDPI and/or the editor(s). MDPI and/or the editor(s) disclaim responsibility for any injury to people or property resulting from any ideas, methods, instructions or products referred to in the content. |
© 2025 by the authors. Licensee MDPI, Basel, Switzerland. This article is an open access article distributed under the terms and conditions of the Creative Commons Attribution (CC BY) license (https://creativecommons.org/licenses/by/4.0/).
Share and Cite
Zhu, Q.; Zhang, L.; Sun, X.; Sun, B.; Zhang, Y. Analyzing the Effect of Dried Shrimp on the Flavor of Sheep Bone Soup Through Sensory Evaluation Combined with Untargeted Approaches. Foods 2025, 14, 1425. https://doi.org/10.3390/foods14081425
Zhu Q, Zhang L, Sun X, Sun B, Zhang Y. Analyzing the Effect of Dried Shrimp on the Flavor of Sheep Bone Soup Through Sensory Evaluation Combined with Untargeted Approaches. Foods. 2025; 14(8):1425. https://doi.org/10.3390/foods14081425
Chicago/Turabian StyleZhu, Qiuyu, Lili Zhang, Xingming Sun, Baoguo Sun, and Yuyu Zhang. 2025. "Analyzing the Effect of Dried Shrimp on the Flavor of Sheep Bone Soup Through Sensory Evaluation Combined with Untargeted Approaches" Foods 14, no. 8: 1425. https://doi.org/10.3390/foods14081425
APA StyleZhu, Q., Zhang, L., Sun, X., Sun, B., & Zhang, Y. (2025). Analyzing the Effect of Dried Shrimp on the Flavor of Sheep Bone Soup Through Sensory Evaluation Combined with Untargeted Approaches. Foods, 14(8), 1425. https://doi.org/10.3390/foods14081425

