Olive Pomace Oil Structuring for the Development of Healthy Puff Pastry Laminating Fats: The Effect of Chilling Storage on the Quality of Baked Products
Abstract
1. Introduction
2. Materials and Methods
2.1. Materials
2.2. Laminating Fat (LF)-Making Procedure and Chilling Storage
2.3. Puff Pastry (PP)-Making Procedure
2.4. Laminating Fat (LF) Proximate Composition
2.5. Laminating Fat (LF) Thermal Behavior
2.6. Laminating Fat (LF) Rheological Measurement
2.7. Laminating Fat (LF) Texture Measurement
2.8. Laminating Fat (LF) Oil-Binding Capacity and Colorimetric Analyses
2.9. Laminating Fat (LF) Lipid Oxidation
2.10. Puff Pastry (PP) Baking Performance
2.11. Puff Pastry (PP) Texture Measurement
2.12. Statistical Analysis
3. Results and Discussion
3.1. Proximate Compositions of LFs
3.2. Thermal Behavior of LFs during Chilling Storage
3.3. Rheological and Textural Behaviors of LFs during Chilling Storage
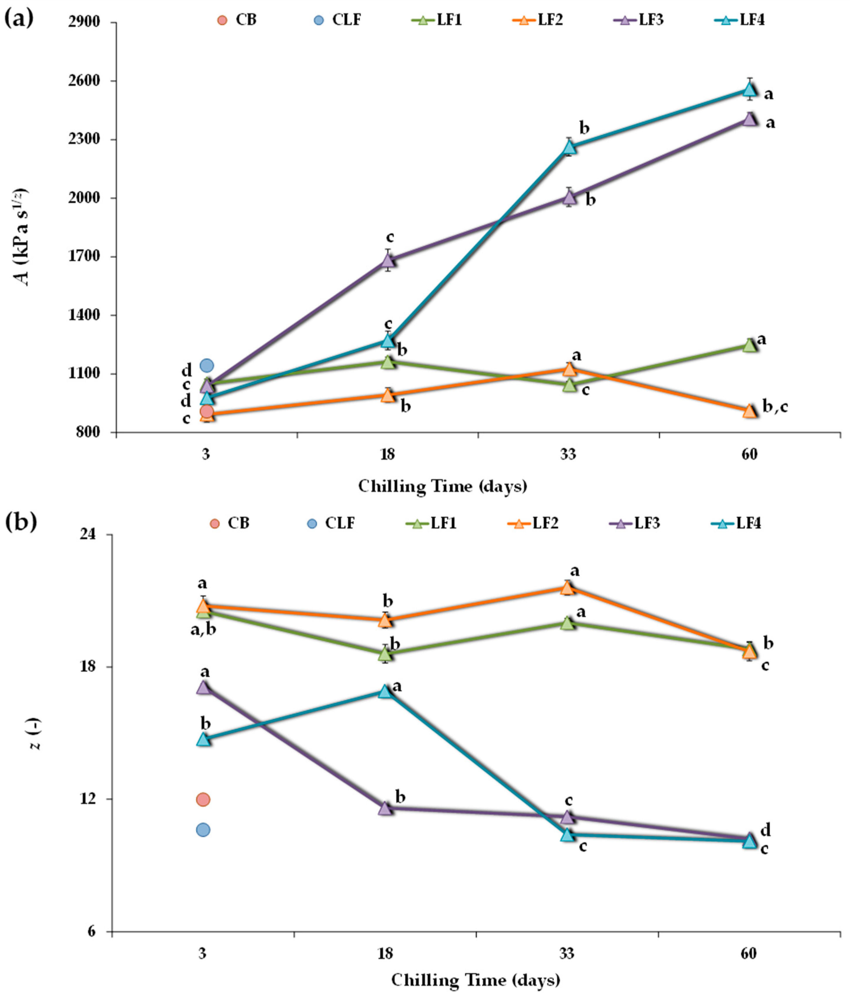
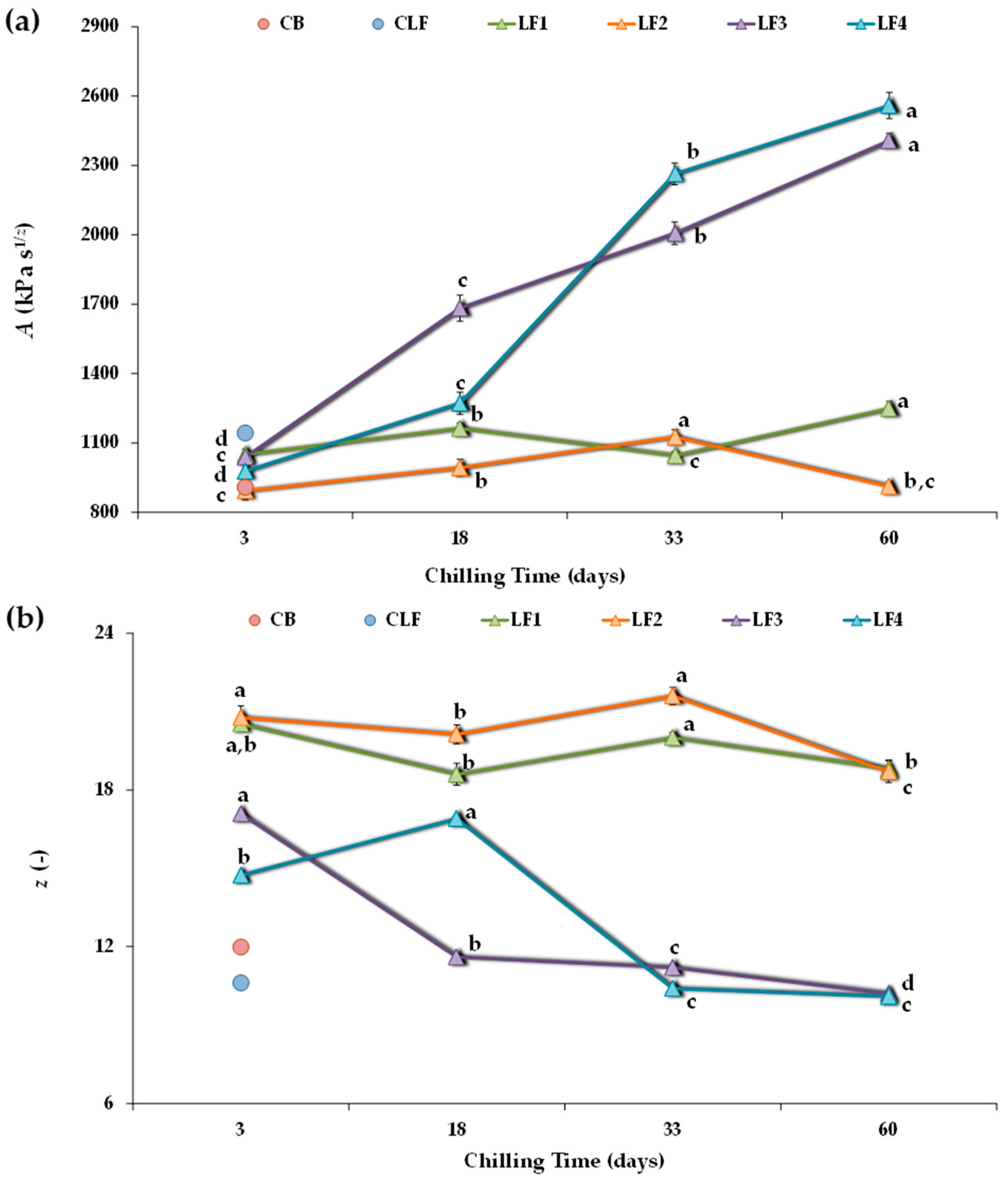
3.3.1. Dynamic Shear Properties and Weak Model Parameters
3.3.2. Textural Parameters
3.4. Aggregate Formation in LFs during Chilling Storage
3.5. Oil-Binding Capacity, Color, and Lipid Oxidation of LFs during Chilling Storage
3.6. Performance of Puff Pastry during Chilling Storage
3.7. Texture of Puff Pastries during Chilling Storage
4. Conclusions
Supplementary Materials
Author Contributions
Funding
Institutional Review Board Statement
Informed Consent Statement
Data Availability Statement
Acknowledgments
Conflicts of Interest
References
- Silow, C.; Zannini, E.; Axel, C.; Lynch, K.M.; Arendt, E.K. Effect of Salt Reduction on Wheat-Dough Properties and Quality Characteristics of Puff Pastry with Full and Reduced Fat Content. Food Res. Int. 2016, 89, 330–337. [Google Scholar] [CrossRef]
- Wickramarachchi, K.S.; Sissons, M.J.; Cauvain, S.P. Puff Pastry and Trends in Fat Reduction: An Update. Int. J. Food Sci. Technol. 2015, 50, 1065–1075. [Google Scholar] [CrossRef]
- Queirós, M.S.; Grimaldi, R.; Gigante, M.L. Addition of Olein from Milk Fat Positively Affects the Firmness of Butter. Food Res. Int. 2016, 84, 69–75. [Google Scholar] [CrossRef]
- Viriato, R.L.S.; Queirós, M.d.S.; Neves, M.I.L.; Ribeiro, A.P.B.; Gigante, M.L. Improvement in the Functionality of Spreads Based on Milk Fat by the Addition of Low Melting Triacylglycerols. Food Res. Int. 2019, 120, 432–440. [Google Scholar] [CrossRef]
- Litz, B.; Obert, G.; Szily, B. Examination of the Correlation of Butter Spreadability and its Fat Conformation by DSC. J. Therm. Anal. Calorim. 2006, 84, 425–428. [Google Scholar] [CrossRef]
- Aini, I.N.; Miskandar, M.S. Utilization of Palm Oil and Palm Products in Shortenings and Margarines. Eur. J. Lipid Sci. Technol. 2007, 109, 422–432. [Google Scholar] [CrossRef]
- Detry, R.; Van Hoed, V.; Sterckx, J.; Deledicque, C.; Sato, K.; Blecker, C.; Sabine, D. Physicochemical Properties of Palm Oil-Based Puff Pastry Model Margarines Related to Their Baking Performance in Long-Term Storage. Eur. J. Lipid Sci. Technol. 2021, 123, 2000155. [Google Scholar] [CrossRef]
- Nguyen, V.; Rimaux, T.; Truong, V.; Dewettinck, K.; Van Bockstaele, F. Granular Crystals in Palm Oil Based Shortening/Margarine: A Review. Cryst. Growth Des. 2020, 20, 1363–1372. [Google Scholar] [CrossRef]
- Saadi, S.; Ariffin, A.A.; Ghazali, H.M.; Miskandar, M.S.; Boo, H.C.; Abdulkarim, S.M. Application of Differential Scanning Calorimetry (DSC), HPLC and pNMR for Interpretation Primary Crystallisation Caused by Combined Low and High Melting TAGs. Food Chem. 2012, 132, 603–612. [Google Scholar] [CrossRef]
- Nguyen, V.; Rimaux, T.; Truong, V.; Dewettinck, K.; Van Bockstaele, F. Fat Crystallization of Blends of Palm Oil and Anhydrous Milk Fat: A Comparison between Static and Dynamic-Crystallization. Food Res. Int. 2020, 137, 109412. [Google Scholar] [CrossRef]
- Nguyen, V.; Rimaux, T.; Truong, V.; Dewettinck, K.; Van Bockstaele, F. The Effect of Cooling on Crystallization and Physico-Chemical Properties of Puff Pastry Shortening Made of Palm Oil and Anhydrous Milk Fat Blends. J. Food Eng. 2021, 291, 110245. [Google Scholar] [CrossRef]
- Mateos, R.; Sarria, B.; Bravo, L. Nutritional and other health properties of olive pomace oil. Crit. Rev. Food Sci. Nutr. 2020, 60, 3506–3521. [Google Scholar] [CrossRef]
- González-Rámila, S.; Mateos, R.; García-Cordero, J.; Seguido, M.A.; Bravo-Clemente, L.; Sarriá, B. Olive Pomace Oil versus High Oleic Sunflower Oil and Sunflower Oil: A Comparative Study in Healthy and Cardiovascular Risk Humans. Foods 2022, 11, 2186. [Google Scholar] [CrossRef] [PubMed]
- González-Rámila, S.; Sarriá, B.; Seguido, M.A.; García-Cordero, J.; Bravo, L.; Mateos, R. Effect of olive pomace oil on cardiovascular health and associated pathologies. Nutrients 2022, 14, 3927. [Google Scholar] [CrossRef]
- Holgado, F.; Ruiz-Méndez, M.V.; Velasco, J.; Márquez-Ruiz, G. Performance of Olive-Pomace Oils in Discontinuous and Continuous Frying. Comparative Behavior with Sunflower Oils and High-Oleic Sunflower Oils. Foods 2021, 10, 3081. [Google Scholar] [CrossRef]
- Álvarez, M.D.; Herranz, B.; Saiz, A.; Cofrades, S. Functionality of Puff Pastry Olive Pomace Oil-Based Margarines and their Baking Performance. Foods 2023, 12, 2138. [Google Scholar] [CrossRef] [PubMed]
- Velasco, J.; García-González, A.; Zamora, R.; Hidalgo, F.J.; Ruiz-Méndez, M.V. Quality and Nutritional Changes of Traditional Cupcakes in the Processing and Storage as a Result of Sunflower Oil Replacements with Refined Olive Pomace Oil. Foods 2023, 12, 2125. [Google Scholar] [CrossRef]
- CEE. Commission Regulation (EU) No 1019/2002 of 13 June 2002 on marketing standards for olive oil. Off. J. Eur. Union 2002, L155/27, 1–5. [Google Scholar]
- Zamora, R.; Gómez, G.; Dobarganes, M.C.; Hidalgo, F.J. Oil Fractionation as a Preliminary Step in the Characterization of Vegetable Oils by High-Resolution 13C NMR Spectroscopy. J. Am. Oil Chem. Soc. 2002, 79, 261–266. [Google Scholar] [CrossRef]
- Caponio, F.; Giarnetti, M.; Summo, C.; Gomes, T. Influence of the Different Oils Used in Dough Formulation on the Lipid Fraction of Taralli. J. Food Sci. 2011, 76, C549–C554. [Google Scholar] [CrossRef]
- González-Rámila, S.; Sarriá, B.; Seguido, M.A.; García-Cordero, J.; Mateos, R.; Bravo, L. Olive pomace oil can improve blood lipid profile: A randomized, blind, crossover, controlled clinical trial in healthy and at-risk volunteers. Eur. J. Nutr. 2022, 62, 589–603. [Google Scholar] [CrossRef]
- Ruiz-Méndez, M.-V.; Márquez-Ruiz, G.; Holgado, F.; Velasco, J. Stability of Bioactive Compounds in Olive-Pomace Oil at Frying Temperature and Incorporation into Fried Foods. Foods 2021, 10, 2906. [Google Scholar] [CrossRef] [PubMed]
- Álvarez, M.D.; Cofrades, S.; Pérez-Mateos, M.; Saiz, A.; Herranz, B. Development and Physico-Chemical Characterization of Healthy Puff Pastry Margarines Made from Olive-Pomace Oil. Foods 2022, 11, 4054. [Google Scholar] [CrossRef]
- International Olive Council. Determination of the Difference between the Actual and Theoretical Content of Triacylglycerols with ECN 42; COI/T.20/Doc. No 20/Rev. 4; International Olive Council: Madrid, Spain, 2017. [Google Scholar]
- Silow, C.; Zannini, E.; Axel, C.; Belz, M.C.E.; Arendt, E.K. Optimization of Fat-Reduced Puff Pastry Using Response Surface Methodology. Foods 2017, 6, 15. [Google Scholar] [CrossRef] [PubMed]
- Silow, C.; Zannini, E.; Arendt, E.K. Impact of Low-Trans Fat Compositions on the Quality of Conventional and Fat-Reduced Puff Pastry. J. Food Sci. Technol. 2016, 53, 2117–2126. [Google Scholar] [CrossRef] [PubMed]
- AOAC International. Official Methods of Analysis of AOAC International; AOAC International: Gaithersburg, MD, USA, 2005. [Google Scholar]
- Gabriele, D.; de Cindio, B.; D’Antona, P. A Weak Gel Model for Foods. Rheol. Acta 2001, 40, 120–127. [Google Scholar] [CrossRef]
- Genccelep, H.; Saricaoglu, F.T.; Anil, M.; Agar, B.; Turhan, S. The effect of starch modification and concentration on steady-state and dynamic rheology of meat emulsions. Food Hydrocoll. 2015, 48, 135–148. [Google Scholar] [CrossRef]
- Da Pieve, S.; Calligaris, S.; Co, E.; Nicoli, M.C.; Marangoni, A.G. Shear Nanostructuring of Monoglyceride Organogels. Food Biophys. 2010, 5, 211–217. [Google Scholar] [CrossRef]
- Freire, M.; Cofrades, S.; Pérez-Jiménez, J.; Gómez-Estaca, J.; Jiménez-Colmenero, F.; Bou, R. Emulsion Gels Containing n-3 Fatty Acids and Condensed Tannins Designed as Functional Fat Replacers. Food Res. Int. 2018, 113, 465–473. [Google Scholar] [CrossRef]
- Cofrades, S.; Hernández-Martín, M.; Garcimartín, A.; Saiz, A.; López-Oliva, M.E.; Benedí, J.; Álvarez, M.D. Impact of Silicon Addition on the Development of Gelled Pork Lard Emulsions with Controlled Lipid Digestibility for Application as Fat Replacers. Gels 2023, 9, 728. [Google Scholar] [CrossRef]
- Bronzini de Caraffa, V.; Gambotti, C.; Giannettini, J.; Maury, J.; Berti, L. Using Lipid Profiles and Genotypes for the Characterization of Corsican Olive Oils. Eur. J. Lipid Sci. Technol. 2008, 110, 40–47. [Google Scholar] [CrossRef]
- Noor Lida, H.M.D.; Sundrama, K.; Siewa, W.L.; Aminah, A.; Mamot, S. TAG Composition and Solid Fat Content of Palm Oil, Sunflower Oil, and Palm Kernel Olein Blends Before and After Chemical Interesterification. J. Am. Oil Chem. Soc. 2002, 79, 1137–1144. [Google Scholar] [CrossRef]
- Noor Lida, H.M.D.; Sundrama, K.; Nor Aini, I. Effect of Chemical Interesterification on Triacylglycerol and Solid Fat Contents of Palm Stearin, Sunflower Oil and Palm Kernel Olein Blends. Eur. J. Lipid Sci. Technol. 2007, 109, 147–156. [Google Scholar] [CrossRef]
- Álvarez, M.D.; Cofrades, S.; Espert, M.; Sanz, T.; Salvador, A. Development of Chocolates with Improved Lipid Profile by Replacing Cocoa Butter with an Oleogel. Gels 2021, 7, 220. [Google Scholar] [CrossRef] [PubMed]
- Kurvinen, J.-P.; Sjövall, O.; Tahvonen, R.; Anklam, E.; Kallio, H. Rapid MS Method for Analysis of Cocoa Butter TAG. J. Am. Oil Chem. Soc. 2002, 79, 621–626. [Google Scholar] [CrossRef]
- Si, X.; Zhu, H.; Zhu, P.; Wang, Y.; Pang, X.; Ju, N.; Lv, J.; Zhang, S. Triacylglycerol Composition and Thermo-Dynamic Profiles of Fractions from Dry Fractionation of Anhydrous Milk Fat. J. Food Compos. Anal. 2023, 115, 104916. [Google Scholar] [CrossRef]
- Makeria, M.; Sahric, M.M.; Ghazalia, H.M.; Ahmad, K.; Muhammad, K. Polymorphism, Textural and Crystallization Properties of Winged Bean (Psophocarpus tetragonolobus, D.C) Oil-Based Trans-Fatty Acids Free Ternary Margarine Blends. LWT Food Sci. Technol. 2019, 100, 158–166. [Google Scholar] [CrossRef]
- Salas Sotaminga, Y.; Tapia, I.; Garzón, M. Cristalización y Plastificación de Margarina Industrial para Panificación. Quim. Cent. 2011, 2, 39–47. [Google Scholar] [CrossRef]
- Podchong, P.; Sonwai, S.; Rousseau, D. Margarines Produced from Rice Bran Oil and Fractionated Palm Stearin and Their Characteristics During Storage. J. Am. Oil Chem. Soc. 2018, 95, 433–445. [Google Scholar] [CrossRef]
- Hayati, N.; Aminah, A.; Mamot, S. Melting Characteristics and Solid Content of Milk Fat and Palm Stearin Blends Before and After Enzymatic Interesterification. J. Food Lip. 2000, 7, 175–193. [Google Scholar] [CrossRef]
- Solo-de-Zaldívar, B.; Tovar, C.A.; Borderías, A.J.; Herranz, B. Pasteurization and Chilled Storage of Restructured Fish Muscle Products Based on Glucomannan Gelation. Food Hydrocoll. 2015, 43, 418–426. [Google Scholar] [CrossRef]
- Patel, A.R.; Nicholson, R.A.; Marangoni, A.G. Applications of fat mimetics for the replacement of saturated and hydrogenated fat in food products. Curr. Opin. Food Sci. 2020, 33, 61–68. [Google Scholar] [CrossRef]
- Mancini, F.; Montanari, L.; Peressini, D.; Fantozzi, P. Influence of Alginate Concentration and Molecular Weight on Functional Properties of Mayonnaise. LWT Food Sci. Technol. 2002, 35, 517–525. [Google Scholar] [CrossRef]
- Lupi, F.R.; Gabriele, D.; De Cindio, B.; Sánchez, M.C.; Gallegos, C. A rheological analysis of structured water-in-olive oil emulsions. J. Food Eng. 2011, 107, 296–303. [Google Scholar] [CrossRef]
- Miskandar, M.S.; Zaliha, O.; Noor Lida, H.M.D.; Rafidah ABD, H.; Sivaruby, K.; Rosnani, O. Quality Soft Table Margarine with Minimal Post-Crystallization Through High-Pressure Pin-Rotor Unit. J. Oil Palm Res. 2018, 30, 617–634. [Google Scholar] [CrossRef]
- Silva, T.J.; Fernandes, G.D.; Bernardinelli, O.D.; da Rosa Silva, E.C.; Barrera-Arellano, D.; Ribeiro, A.P.B. Organogels in low-fat and high-fat margarine: A study of physical properties and shelf life. Food Res. Int. 2021, 140, 110036. [Google Scholar] [CrossRef]
- Öğütcü, M.; Arifoğlu, N.; Yılmaz, E. Preparation and Characterization of Virgin Olive Oil-Beeswax Oleogel Emulsion Products. J. Am. Oil Chem. Soc. 2015, 92, 459–471. [Google Scholar] [CrossRef]
- Çiftҫi, O.N.; Göğüs, F.; Fadıloğlu, S. Performance of a Cocoa Butter-Like Fat Enzymatically Produced from Olive Pomace Oil as a Partial Cocoa Butter Replacer. J. Am. Oil Chem. Soc. 2010, 87, 1013–1018. [Google Scholar] [CrossRef]
- Yılmaz, E.; Öğütcü, M. Properties and Stability of Hazelnut Oil Organogels with Beeswax and Monoglyceride. J. Am. Oil Chem. Soc. 2014, 91, 1007–1017. [Google Scholar] [CrossRef]
- Pirsa, S.; Asadi, S. Innovative Smart and Biodegradable Packaging for Margarine based on a Nano Composite Polylactic Acid/Lycopene Film. Food Addit. Contam. Part A 2021, 38, 856–869. [Google Scholar] [CrossRef]
- Han Lyn, F.; Ping Tan, C.; Zawawi, R.M.; Nur Hanani, Z.A. Physicochemical Properties of Chitosan/Graphene Oxide Composite Films and their Effects on Storage Stability of Palm-Oil Based Margarine. Food Hydrocoll. 2021, 117, 106707. [Google Scholar] [CrossRef]






| Sample | Moisture (g/100 g) | Protein (g/100 g) | Ash (g/100 g) | Fat (g/100 g) |
|---|---|---|---|---|
| CB | 14.5 ± 0.15 | nd | 0.131 ± 0.011 | 85.4 ± 0.11 |
| CLF | 18.8 ± 0.15 | nd | 0.805 ± 0.015 | 80.4 ± 0.17 |
| LF1 | 16.7 ± 0.12 a | 0.486 ± 0.076 a | 1.24 ± 0.0093 a | 81.6 ± 0.15 c |
| LF2 | 17.0 ± 0.19 a | 0.486 ± 0.076 a | 1.24 ± 0.0093 a | 81.3 ± 0.14 c |
| LF3 | 14.8 ± 0.20 c | 0.454 ± 0.0034 a | 1.28 ± 0.041 a | 83.5 ± 0.15 a |
| LF4 | 15.6 ± 0.0038 b | 0.454 ± 0.0034 a | 1.28 ± 0.041 a | 82.7 ± 0.12 b |
| Sample | Chilling Time (Days) | Tcp1 (°C) | Tcp2 (°C) | Tmp1 (°C) | Tmp2 (°C) | Tmp3 (°C) | Tmp4 (°C) |
|---|---|---|---|---|---|---|---|
| OPO | - | - | - | - | - | - | - |
| PS | - | 34.5 ± 0.068 | 2.18 ± 0.29 | 7.54 ± 0.036 | 43.0 ± 0.13 | 54.6 ± 0.10 | - |
| Cocoa Butter | - | 13.5 ± 0.14 | - | 20.5 ± 0.030 | - | - | - |
| CB | - | 15.3 ± 0.056 | 8.64 ± 0.46 | 8.40 ± 0.098 | 15.2 ± 0.023 | 33.3 ± 0.24 | - |
| CLF | - | 24.9 ± 1.1 | 2.47 ± 0.20 | 2.56 ± 0.050 | 8.33 ± 0.030 | 41.8 ± 0.12 | 47.3 ± 0.070 |
| LF1 | 3 | 26.3 ± 0.41 a | - | −3.20 ± 0.11 b | 3.44 ± 0.30 a | 46.3 ± 0.87 a | - |
| LF2 | 3 | 26.2 ± 0.13 a | - | −2.75 ± 0.12 a | 3.54 ± 0.15 a | 46.6 ± 0.37 a | - |
| LF3 | 3 | 26.1 ± 0.20 a | 0.470 ± 0.092 b | 0.150 ± 0.00 b | 7.31 ± 0.076 a | 45.8 ± 0.16 a | - |
| LF4 | 3 | 26.5 ± 0.16 a | 0.493 ± 0.025 b | 0.290 ± 0.026 b | 7.25 ± 0.20 a | 45.9 ± 0.24 a | - |
| LF1 | 60 | 26.2 ± 0.35 a | - | −2.88 ± 0.14 a | 3.53 ± 0.055 a | 45.9 ± 0.025 a | - |
| LF2 | 60 | 26.0 ± 0.050 a | - | −2.73 ± 0.19 a | 3.39 ± 0.13 a | 45.3 ± 0.43 b | - |
| LF3 | 60 | 26.3 ± 0.19 a | 1.04 ± 0.12 a | 0.790 ± 0.044 a | 7.32 ± 0.20 a | 44.7 ± 0.16 b | - |
| LF4 | 60 | 25.9 ± 0.13 b | 0.763 ± 0.045 a | 0.733 ± 0.015 a | 6.98 ± 0.12 a | 44.6 ± 0.061 b | - |
| Puff Pastry (PP) | Chilling Time (Days) | Weight Loss (%) | PP Height (mm) | Lifting (%) | PP Length (mm) | PP Width (mm) |
|---|---|---|---|---|---|---|
| PPCB | - | 20.5 ± 1.3 | 44.1 ± 3.6 | 661 ± 61 | 46.2 ± 2.6 | 42.8 ± 2.1 |
| PPCLF | - | 22.7 ± 3.2 | 40.1 ± 4.4 | 592 ± 75 | 45.1 ± 3.6 | 41.1 ± 3.3 |
| PP1 | 3 | 23.2 ± 1.2 b | 30.1 ± 3.8 a,b | 484 ± 75 b | 48.6 ± 5.8 a | 41.2 ± 5.6 a |
| 18 | 22.4 ± 1.0 b | 27.3 ± 2.9 b,c | 371 ± 50 c | 46.6 ± 2.6 a,b | 40.5 ± 3.7 a | |
| 33 | 25.4 ± 1.6 a | 22.0 ± 2.0 c | 286 ± 36 d | 44.4 ± 2.5 b | 39.9 ± 2.2 a | |
| 60 | 25.8 ± 1.4 a | 31.3 ± 2.7 a | 543 ± 55 a | 48.9 ± 1.3 a | 40.6 ± 1.9 a | |
| PP2 | 3 | 23.1 ± 1.2 b | 23.6 ± 3.9 c | 345 ± 73 c | 44.1 ± 5.6 b | 40.2 ± 5.8 a |
| 18 | 22.7 ± 2.5 b | 37.3 ± 2.9 a | 559 ± 52 a | 48.6 ± 2.4 a | 40.7 ± 3.2 a | |
| 33 | 27.0 ± 1.4 a | 27.5 ± 2.7 b | 438 ± 53 b | 45.7 ± 2.4 a,b | 38.2 ± 2.6 a | |
| 60 | 27.4 ± 1.2 a | 30.6 ± 3.4 b | 524 ± 68 a | 47.6 ± 1.9 a,b | 37.3 ± 1.2 a | |
| PP3 | 3 | 25.7 ± 0.76 a | 27.4 ± 2.8 a | 394 ± 50 a | 47.6 ± 4.1 a,b | 41.2 ± 3.5 a |
| 18 | 21.5 ± 5.6 b | 18.6 ± 2.0 b,c | 220 ± 34 c | 47.8 ± 2.0 a | 42.5 ± 2.2 a | |
| 33 | 25.5 ± 4.8 a | 19.9 ± 1.3 b | 296 ± 26 b | 45.2 ± 1.9 b | 41.2 ± 1.4 a | |
| 60 | 24.7 ± 1.4 a,b | 17.3 ± 1.3 c | 235 ± 26 c | 47.8 ± 1.8 a | 43.0 ± 2.7 a | |
| PP4 | 3 | 25.6 ± 0.83 a,b | 24.8 ± 3.0 a | 340 ± 53 a | 48.2 ± 3.2 a | 42.5 ± 4.2 a |
| 18 | 25.0 ± 1.6 a,b | 17.1 ± 1.3 c | 223 ± 25 c | 44.6 ± 2.1 b | 41.9 ± 1.6 a,b | |
| 33 | 24.0 ± 4.0 b | 21.7 ± 1.6 b | 276 ± 28 b | 46.2 ± 1.3 a,b | 42.3 ± 2.4 a,b | |
| 60 | 26.3 ± 1.5 a | 17.8 ± 1.4 c | 232 ± 26 c | 47.5 ± 2.2 a | 40.1 ± 1.6 b |
| Puff Pastry (PP) | Chilling Time (Days) | Hardness (N) | Cohesiveness (-) | Chewiness (N) | Maximum Force (N) |
|---|---|---|---|---|---|
| PPCB | - | 3.62 ± 0.28 | 0.248 ± 0.023 | 0.525 ± 0.086 | 2.80 ± 0.31 |
| PPCLF | - | 3.79 ± 0.35 | 0.228 ± 0.018 | 0.387 ± 0.051 | 4.32 ± 0.55 |
| PP1 | 3 | 6.58 ± 1.2 a | 0.220 ± 0.035 b | 0.625 ± 0.18 b | 5.15 ± 0.075 b |
| 18 | 5.75 ± 0.66 a | 0.206 ± 0.0058 b | 0.521 ± 0.083 b | 4.27 ± 0.52 b,c | |
| 33 | 6.56 ± 0.67 a | 0.284 ± 0.013 a | 0.971 ± 0.089 a | 6.58 ± 0.56 a | |
| 60 | 6.17 ± 0.18 a | 0.177 ± 0.095 b | 0.553 ± 0.037 b | 3.66 ± 0.10 c | |
| PP2 | 3 | 8.61 ± 0.91 a | 0.243 ± 0.016 a | 0.856 ± 0.24 a | 8.18 ± 1.2 a |
| 18 | 6.28 ± 0.37 b | 0.219 ± 0.019 a | 0.728 ± 0.033 b | 3.85 ± 0.20 b | |
| 33 | 7.32 ± 0.72 b | 0.167 ± 0.0024 b | 0.528 ± 0.023 b | 4.68 ± 0.54 b | |
| 60 | 7.37 ± 0.35 b | 0.158 ± 0.020 b | 0.466 ± 0.079 b | 5.58 ± 0.70 b | |
| PP3 | 3 | 8.72 ± 0.77 d | 0.235 ± 0.018 b,c | 1.16 ± 0.11 d | 6.86 ± 1.2 c |
| 18 | 33.6 ± 0.74 b | 0.294 ± 0.041 a,b | 4.60 ± 0.82 b | 18.4 ± 0.94 b | |
| 33 | 23.8 ± 0.66 c | 0.222 ± 0.017 c | 2.96 ± 0.086 c | 17.1 ± 0.46 b | |
| 60 | 52.8 ± 1.3 a | 0.323 ± 0.011 a | 10.7 ± 0.43 a | 27.3 ± 1.3 a | |
| PP4 | 3 | 10.6 ± 0.89 c | 0.223 ± 0.0035 b | 1.18 ± 0.13 c | 7.21 ± 1.1 c |
| 18 | 40.2 ± 0.063 a | 0.352 ± 0.0053 a | 6.03 ± 0.41 a | 19.1 ± 1.5 a | |
| 33 | 21.8 ± 1.1 b | 0.218 ± 0.012 b | 2.19 ± 0.24 c | 14.8 ± 0.52 b | |
| 60 | 37.8 ± 0.90 a | 0.249 ± 0.031 b | 4.74 ± 0.63 b | 21.7 ± 1.5 a |
Disclaimer/Publisher’s Note: The statements, opinions and data contained in all publications are solely those of the individual author(s) and contributor(s) and not of MDPI and/or the editor(s). MDPI and/or the editor(s) disclaim responsibility for any injury to people or property resulting from any ideas, methods, instructions or products referred to in the content. |
© 2024 by the authors. Licensee MDPI, Basel, Switzerland. This article is an open access article distributed under the terms and conditions of the Creative Commons Attribution (CC BY) license (https://creativecommons.org/licenses/by/4.0/).
Share and Cite
Álvarez, M.D.; Saiz, A.; Herranz, B.; Cofrades, S. Olive Pomace Oil Structuring for the Development of Healthy Puff Pastry Laminating Fats: The Effect of Chilling Storage on the Quality of Baked Products. Foods 2024, 13, 603. https://doi.org/10.3390/foods13040603
Álvarez MD, Saiz A, Herranz B, Cofrades S. Olive Pomace Oil Structuring for the Development of Healthy Puff Pastry Laminating Fats: The Effect of Chilling Storage on the Quality of Baked Products. Foods. 2024; 13(4):603. https://doi.org/10.3390/foods13040603
Chicago/Turabian StyleÁlvarez, María Dolores, Arancha Saiz, Beatriz Herranz, and Susana Cofrades. 2024. "Olive Pomace Oil Structuring for the Development of Healthy Puff Pastry Laminating Fats: The Effect of Chilling Storage on the Quality of Baked Products" Foods 13, no. 4: 603. https://doi.org/10.3390/foods13040603
APA StyleÁlvarez, M. D., Saiz, A., Herranz, B., & Cofrades, S. (2024). Olive Pomace Oil Structuring for the Development of Healthy Puff Pastry Laminating Fats: The Effect of Chilling Storage on the Quality of Baked Products. Foods, 13(4), 603. https://doi.org/10.3390/foods13040603

