Clusters of Sociodemographic Characteristics and Their Association with Food Insecurity in Mexican University Students
Abstract
1. Introduction
2. Materials and Methods
2.1. Study Design and Participants
2.2. Sociodemographic Characteristics
2.3. Food Security and Insecurity Status
2.4. Statistical Analysis
3. Results
3.1. Sociodemographic Characteristics
3.2. Frequency of Food Security or Food Insecurity by Sociodemographic Characteristics
3.3. Association between Individual Sociodemographic Characteristics and Food Insecurity
3.4. Clusters of Sociodemographic Characteristics of University Students
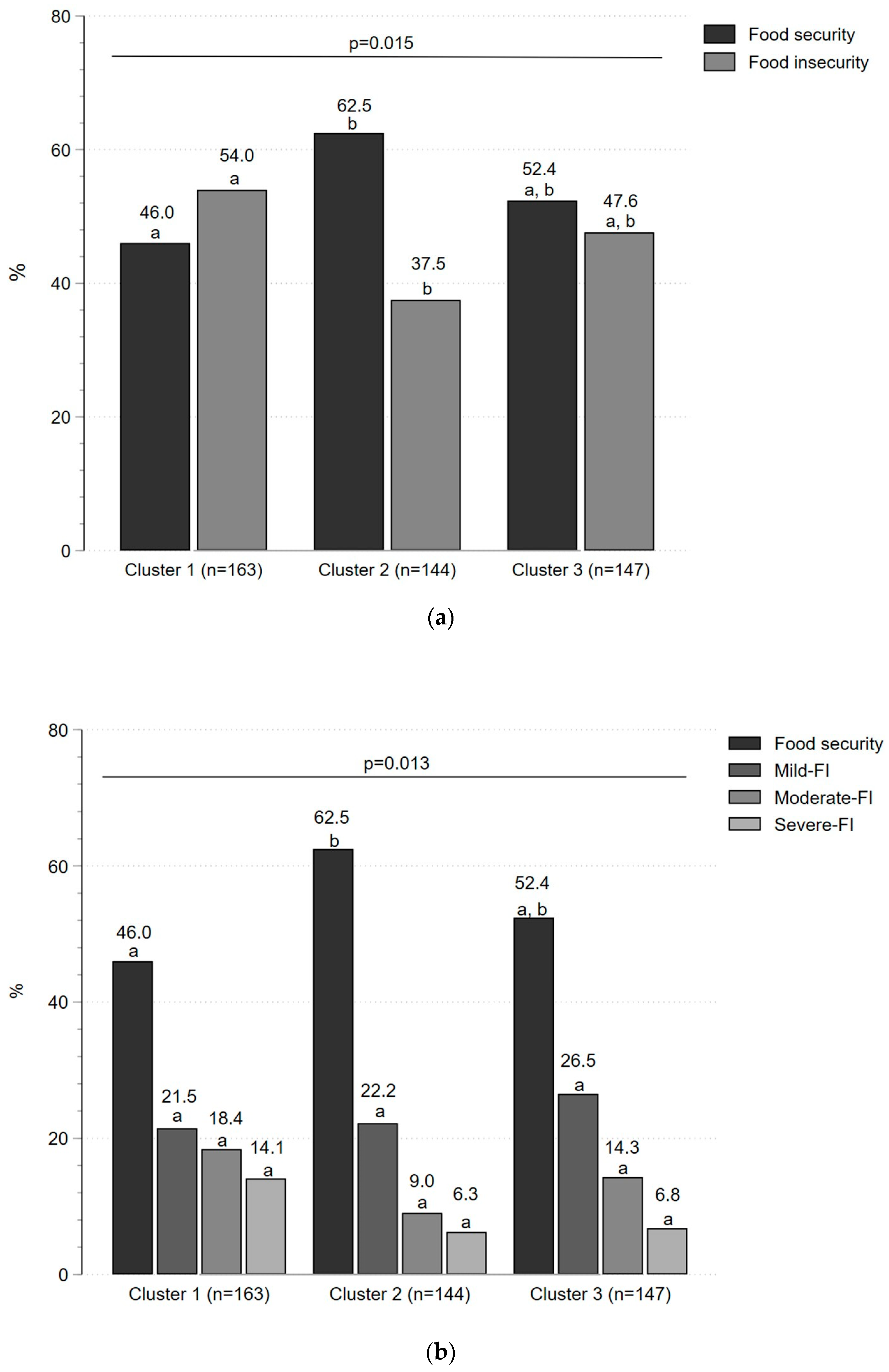
3.5. Association between Clusters of Sociodemographic Characteristics and Food Insecurity
4. Discussion
5. Conclusions
Supplementary Materials
Author Contributions
Funding
Institutional Review Board Statement
Informed Consent Statement
Data Availability Statement
Acknowledgments
Conflicts of Interest
References
- FAO Hambre e Inseguridad Alimentaria. Available online: http://www.fao.org/hunger/es/ (accessed on 5 June 2020).
- FAO; FIDA; OMS; PMA. UNICEF El Estado de La Seguridad Alimentaria y La Nutrición En El Mundo 2023. Urbanización, Transformación de Los Sistemas Agroalimentarios y Dietas Saludables a Lo Largo Del Continuo Rural-Urbano, 1st ed.; FAO, IFAD, UNICEF, WFP, WHO, Eds.; FAO: Roma, Italy, 2023; ISBN 978-92-5-138182-3. [Google Scholar]
- Shamah-Levy, T.; Romero-Martínez, M.; Barrientos-Gutiérrez, T.; Cuevas-Nasu, L.; Bautista-Arredondo, S.; Colchero, M.; Gaona-Pineda, E.; Lazcano-Ponce, E.; Martínez-Barnetche, J.; Alpuche-Arana, C.; et al. Encuesta Nacional de Salud y Nutrición 2021 Sobre COVID-19. Resultados Nacionales; Instituto Nacional de Salud Pública: Cuernavaca, Mexico, 2022; ISBN 9786075112220. [Google Scholar]
- Abbey, E.L.; Brown, M.; Karpinski, C. Prevalence of Food Insecurity in the General College Population and Student-Athletes: A Review of the Literature. Curr. Nutr. Rep. 2022, 11, 185–205. [Google Scholar] [CrossRef] [PubMed]
- Nikolaus, C.J.; An, R.; Ellison, B.; Nickols-Richardson, S.M. Food Insecurity among College Students in the United States: A Scoping Review. Adv. Nutr. 2020, 11, 327–348. [Google Scholar] [CrossRef] [PubMed]
- Bruening, M.; Argo, K.; Payne-Sturges, D.; Laska, M.N. The Struggle Is Real: A Systematic Review of Food Insecurity on Postsecondary Education Campuses. J. Acad. Nutr. Diet. 2017, 117, 1767–1791. [Google Scholar] [CrossRef] [PubMed]
- Nava-Amante, P.A.; Betancourt-Núñez, A.; Vizmanos, B.; Salas-García, M.A.; Bernal-Orozco, M.F.; Vargas-García, E.J.; Díaz-López, A. Prevalence and Risk Factors of Food Insecurity among Mexican University Students’ Households. Nutrients 2021, 13, 3426. [Google Scholar] [CrossRef] [PubMed]
- Vilme, H.; Duke, N.N.; Dokurugu, Y.; Akin-Odanye, E.O.; Paul, C.J.; Kaninjing, E.; López, I.A.; Matsouaka, R.; Brown Speights, J.S.; De Leon, J.; et al. Food Insecurity among University Students in the United States amidst the COVID-19 Pandemic. J. Am. Coll. Health 2024, 72, 1490–1495. [Google Scholar] [CrossRef] [PubMed]
- Ahmad, N.S.S.; Sulaiman, N.; Sabri, M.F. Psychosocial Factors as Mediator to Food Security Status and Academic Performance among University Students. Int. J. Environ. Res. Public Health 2022, 19, 5535. [Google Scholar] [CrossRef] [PubMed]
- Coakley, K.E.; Cargas, S.; Walsh-Dilley, M.; Mechler, H. Basic Needs Insecurities Are Associated with Anxiety, Depression, and Poor Health among University Students in the State of New Mexico. J. Community Health 2022, 47, 454–463. [Google Scholar] [CrossRef] [PubMed]
- El Zein, A.; Shelnutt, K.P.; Colby, S.; Vilaro, M.J.; Zhou, W.; Greene, G.; Olfert, M.D.; Riggsbee, K.; Morrell, J.S.; Mathews, A.E. Prevalence and Correlates of Food Insecurity among U.S. College Students: A Multi-Institutional Study. BMC Public Health 2019, 19, 660. [Google Scholar] [CrossRef]
- Cedillo, Y.E.; Kelly, T.; Davis, E.; Durham, L.; Smith, D.L.; Kennedy, R.E.; Fernández, J.R. Evaluation of Food Security Status, Psychological Well-Being, and Stress on BMI and Diet-Related Behaviors among a Sample of College Students. Public Health 2023, 224, 32–40. [Google Scholar] [CrossRef]
- Oh, H.; Smith, L.; Jacob, L.; Du, J.; Shin, J., II; Zhou, S.; Koyanagi, A. Food Insecurity and Substance Use Among Young Adult College Students in the United States. J. Addict. Med. 2023, 17, 163–168. [Google Scholar] [CrossRef]
- Frank, M.L.; Sprada, G.B.; Hultstrand, K.V.; West, C.E.; Livingston, J.A.; Sato, A.F. Toward a Deeper Understanding of Food Insecurity among College Students: Examining Associations with Emotional Eating and Biological Sex. J. Am. Coll. Health 2023, 71, 1463–1471. [Google Scholar] [CrossRef] [PubMed]
- Zickgraf, H.F.; Hazzard, V.M.; O’Connor, S.M. Food Insecurity Is Associated with Eating Disorders Independent of Depression and Anxiety: Findings from the 2020–2021 Healthy Minds Study. Int. J. Eat. Disord. 2022, 55, 354–361. [Google Scholar] [CrossRef] [PubMed]
- Hernández, P.; Camardiel, A. Association Between Socioeconomic Status, Food Security, and Dietary Diversity Among Sociology Students at the Central University of Venezuela. Front. Sustain. Food Syst. 2021, 5, 623158. [Google Scholar] [CrossRef]
- Theodoridis, X.; Grammatikopoulou, M.G.; Gkiouras, K.; Papadopoulou, S.E.; Agorastou, T.; Gkika, I.; Maraki, M.I.; Dardavessis, T.; Chourdakis, M. Food Insecurity and Mediterranean Diet Adherence among Greek University Students. Nutr. Metab. Cardiovasc. Dis. 2018, 28, 477–485. [Google Scholar] [CrossRef] [PubMed]
- Betancourt-Núñez, A.; Nava-Amante, P.A.; Bernal-Orozco, M.F.; Vizmanos, B.; Vargas-García, E.J.; Márquez-Sandoval, F.; Salas-García, M.A.; Díaz-López, A. Food Insecurity Was Negatively Associated with Adherence to the “Fruits, Vegetables, and Foods Rich in Animal Protein” Dietary Pattern among University Students’ Households: The 2018 Mexican National Household Survey. BMC Public Health 2023, 23, 854. [Google Scholar] [CrossRef]
- Brown, N.I.; Buro, A.W.; Jones, R.; Himmelgreen, D.; Dumford, A.D.; Conner, K.; Stern, M.; Debate, R. Multi-Level Determinants of Food Insecurity among Racially and Ethnically Diverse College Students. Nutrients 2023, 15, 4065. [Google Scholar] [CrossRef]
- Wooten, R.; Spence, M.; Colby, S.; Anderson Steeves, E. Assessing Food Insecurity Prevalence and Associated Factors among College Students Enrolled in a University in the Southeast USA. Public Health Nutr. 2019, 22, 383–390. [Google Scholar] [CrossRef] [PubMed]
- Gaines, A.; Robb, C.A.; Knol, L.L.; Sickler, S. Examining the Role of Financial Factors, Resources and Skills in Predicting Food Security Status among College Students. Int. J. Consum. Stud. 2014, 38, 374–384. [Google Scholar] [CrossRef]
- Chaparro, M.P.; Zaghloul, S.S.; Holck, P.; Dobbs, J. Food Insecurity Prevalence among College Students at the University of Hawai’i at Mānoa. Public Health Nutr. 2009, 12, 2097–2103. [Google Scholar] [CrossRef]
- Raskind, I.G.; Haardörfer, R.; Berg, C.J. Food Insecurity, Psychosocial Health and Academic Performance among College and University Students in Georgia, USA. Public Health Nutr. 2019, 22, 476–485. [Google Scholar] [CrossRef]
- Dana, L.M.; Wright, J.; Ward, R.; Dantas, J.A.R.; Dhaliwal, S.S.; Lawrence, B.; O’Connor, M.; Booth, S.; Kerr, D.A.; Pollard, C.M. Food Insecurity, Food Assistance, and Psychological Distress among University Students: Cross-Sectional Survey Western Australia, 2020. Nutrients 2023, 15, 2431. [Google Scholar] [CrossRef] [PubMed]
- Whatnall, M.C.; Hutchesson, M.J.; Patterson, A.J. Predictors of Food Insecurity among Australian University Students: A Cross-Sectional Study. Int. J. Environ. Res. Public Health 2020, 17, 60. [Google Scholar] [CrossRef]
- Celik, Ö.M.; Ozyildirim, C.; Karacil Ermumcu, M.S. Evaluation of Food Insecurity and Its Association with Food Consumption and Some Variables among College Students. J. Health. Popul. Nutr. 2023, 42, 90. [Google Scholar] [CrossRef] [PubMed]
- Itani, R.; Mattar, L.; Kharroubi, S.; Bosqui, T.; Diab-El-Harake, M.; Jomaa, L. Food Insecurity and Mental Health of College Students in Lebanon: A Cross-Sectional Study. J. Nutr. Sci. 2022, 11, e68. [Google Scholar] [CrossRef] [PubMed]
- Ukegbu, P.; Nwofia, B.; Ndudiri, U.; Uwakwe, N.; Uwaegbute, A. Food Insecurity and Associated Factors among University Students. Food Nutr. Bull. 2019, 40, 271–281. [Google Scholar] [CrossRef] [PubMed]
- Wright, L.; Marsland, C.; Ross, J.; Arikawa, A.; Nicholson-Bell, J.; Epps, J. Investigation of the Multidimensional Determinants of Negative Nutrition Coping Strategies and Tradeoffs in Adults Accessing Food Relief: A Secondary Data Analysis. Nutr. Health 2023, 1–8. [Google Scholar] [CrossRef] [PubMed]
- Asociación Mexicana de Agencias de Inteligencia de Mercado y Opinión Estimaciones NSE 2018 y Regla AMAI 2020. Available online: https://www.amai.org/NSE/index.php?queVeo=2018 (accessed on 26 July 2024).
- INEGI Encuesta Nacional de Ingresos y Gastos de Los Hogares 2018. Cuestionario de Hogares y Vivienda. Available online: https://www.inegi.org.mx/programas/enigh/nc/2018/ (accessed on 5 August 2024).
- Villagómez-Ornelas, P.; Hernández-López, P.; Carrasco-Enriquez, B.; Barrios-Sánchez, K.; Pérez-Escamilla, R.; Melgar-Quiñónez, H. Validez Estadística de La Escala Mexicana de Seguridad Alimentaria y La Escala Latinoamericana y Caribeña de Seguridad Alimentaria. Salud Publica Mex. 2014, 56, S5–S11. [Google Scholar] [CrossRef]
- FAO Escala Latinoamericana y Caribeña de Seguridad Alimentaria (ELCSA). Manual de Uso y Aplicación. Available online: http://www.fao.org/3/i3065s/i3065s.pdf (accessed on 5 August 2024).
- Kent, P.; Jensen, R.K.; Kongsted, A. A Comparison of Three Clustering Methods for Finding Subgroups in MRI, SMS or Clinical Data: SPSS TwoStep Cluster Analysis, Latent Gold and SNOB. BMC Med. Res. Methodol. 2014, 14, 113. [Google Scholar] [CrossRef]
- Midi, H.; Sarkar, S.K.; Rana, S. Collinearity Diagnostics of Binary Logistic Regression Model. J. Interdiscip. Math. 2010, 13, 253–267. [Google Scholar] [CrossRef]
- Miller, D.P.; Nepomnyaschy, L.; Ibarra, G.L.; Garasky, S. Family Structure and Child Food Insecurity. Am. J. Public Health 2014, 104, 70–76. [Google Scholar] [CrossRef]
- Balistreri, K.S. Family Structure and Child Food Insecurity: Evidence from the Current Population Survey. Soc. Indic. Res. 2018, 138, 1171–1185. [Google Scholar] [CrossRef] [PubMed]
- Bahiru, A.; Senapathy, M.; Bojago, E. Status of Household Food Security, Its Determinants, and Coping Strategies in the Humbo District, Southern Ethiopia. J. Agric. Food Res. 2023, 11, 100461. [Google Scholar] [CrossRef]
- Kairiza, T.; Kembo, G.D. Coping with Food and Nutrition Insecurity in Zimbabwe: Does Household Head Gender Matter? Agric. Food Econ. 2019, 7, 24. [Google Scholar] [CrossRef]
- Magaña-Lemus, D.; Ishdorj, A.; Rosson, C.P.; Lara-Álvarez, J. Determinants of Household Food Insecurity in Mexico. Agric. Food Econ. 2016, 4, 10. [Google Scholar] [CrossRef]
- Kötzsche, M.; Teuber, R.; Jordan, I.; Heil, E.; Torheim, L.E.; Arroyo-Izaga, M. Prevalence and Predictors of Food Insecurity among University Students—Results from the Justus Liebig University Giessen, Germany. Prev. Med. Reports 2023, 36, 102526. [Google Scholar] [CrossRef]
- United Nations Everything You Need to Know about Pushing for Pay Equity. Available online: https://www.unwomen.org/en/news/stories/2020/9/explainer-everything-you-need-to-know-about-equal-pay (accessed on 17 May 2024).
- Comisión Nacional para Prevenir y Erradicar la Violencia Contra las Mujeres Brecha Salarial, Una de Las Grandes Barreras Para La Igualdad de Género. Available online: https://www.gob.mx/conavim/es/articulos/brecha-salarial-una-de-las-grandes-barreras-para-la-igualdad-de-genero (accessed on 17 May 2024).
- Consejo Nacional de Evaluación de la Política de Desarrollo Social. Sistema de Indicadores Sobre Pobreza y Género En México-2016–2022. Available online: https://www.coneval.org.mx/Medicion/Paginas/Pobreza-y-genero-en-Mexico-2016-2022.aspx (accessed on 5 June 2020).
- INEGI Censo de Población y Vivienda. 2020. Available online: https://www.inegi.org.mx/contenidos/programas/ccpv/2020/doc/Censo2020_Principales_resultados_EUM.pdf (accessed on 26 July 2024).
- INEGI Encuesta Nacional de Ingresos y Gastos de Los Hogares. (ENIGH). 2022. Available online: https://www.inegi.org.mx/contenidos/programas/enigh/nc/2022/doc/enigh2022_ns_presentacion_resultados.pdf (accessed on 26 July 2024).
- Psacharopoulos, G.; Patrinos, H.A. Returns to Investment in Education: A Decennial Review of the Global Literature. Educ. Econ. 2018, 26, 445–458. [Google Scholar] [CrossRef]
- Mou, W. A Quantitative Analysis of the Relationship between Education Level and Income. J. Educ. Humanit. Soc. Sci. 2023, 12, 160–166. [Google Scholar] [CrossRef]
- OECD Educación Superior En México: Resultados y Relevancia Para El Mercado Laboral. Available online: https://www.oecd.org/es/publications/educacion-superior-en-mexico_a93ed2b7-es/full-report.html (accessed on 1 August 2024).
- Owens, M.R.; Brito-Silva, F.; Kirkland, T.; Moore, C.E.; Davis, K.E.; Patterson, M.A.; Miketinas, D.C.; Tucker, W.J. Prevalence and Social Determinants of Food Insecurity among College Students during the COVID-19 Pandemic. Nutrients 2020, 12, 2515. [Google Scholar] [CrossRef] [PubMed]
- McArthur, L.H.; Ball, L.; Danek, A.C.; Holbert, D. A High Prevalence of Food Insecurity among University Students in Appalachia Reflects a Need for Educational Interventions and Policy Advocacy. J. Nutr. Educ. Behav. 2018, 50, 564–572. [Google Scholar] [CrossRef]
- Simón, H.; Casado-Díaz, J.M.; Costa, J.L.C. Analysis of University Student Employment and Its Impact on Academic Performance. Electron. J. Res. Educ. Psychol. 2017, 15, 281–306. [Google Scholar] [CrossRef]
- Ruesga Benito, S.M.; da Silva Bichara, J.; Eduardo Monsueto, S. Estudiantes Universitarios, Experiencia Laboral y Desempeño Académico En España. Rev. Educ. 2014, 365, 67–95. [Google Scholar] [CrossRef]
- Zigbuo-Wenzler, E.; Brace, A.M.; Yu, Z.; Sealy, D.-A.; Wood, C.I.; McFadden, C. COVID-19 Pandemic Impact on Food Insecurity among College Students: A Mixed Methods Study. J Am. Coll. Health 2023, 1–8. [Google Scholar] [CrossRef] [PubMed]
- Wang, X.; Cheng, Z. Cross-Sectional Studies: Strengths, Weaknesses, and Recommendations. Chest 2020, 158, S65–S71. [Google Scholar] [CrossRef] [PubMed]
- Bruening, M.; van Woerden, I.; Todd, M.; Laska, M.N. Hungry to Learn: The Prevalence and Effects of Food Insecurity on Health Behaviors and Outcomes over Time among a Diverse Sample of University Freshmen. Int. J. Behav. Nutr. Phys. Act. 2018, 15, 9. [Google Scholar] [CrossRef] [PubMed]
- Soldavini, J.; Andrew, H.; Berner, M. Characteristics Associated with Changes in Food Security Status among College Students during the COVID-19 Pandemic. Transl. Behav. Med. 2021, 11, 295–304. [Google Scholar] [CrossRef]
- Manikas, I.; Ali, B.M.; Sundarakani, B. A Systematic Literature Review of Indicators Measuring Food Security. Agric. Food Secur. 2023, 12, 10. [Google Scholar] [CrossRef]


| Personal Sociodemographic Characteristics of the Student | Total (n = 466) | Food Security (n = 247) | Food Insecurity (n = 219) | p-Value |
|---|---|---|---|---|
| Age, years 1 | 20 (19, 22) | 20 (19, 22) | 21 (19, 22) | 0.348 |
| Sex | ||||
| Woman 2 | 338 (72.5) | 178 (52.7) | 160 (47.3) | 0.810 |
| Man | 128 (27.5) | 69 (53.9) | 59 (46.1) | |
| Marital status | ||||
| Single (unmarried, widowed, or divorced) | 440 (94.4) | 231 (52.5) | 209 (47.5) | 0.370 |
| In a relationship (common-law or married) | 26 (5.6) | 16 (61.5) | 10 (38.5) | |
| Self-ascription to an Indigenous group | ||||
| No | 464 (99.6) | 247 (53.2) | 217 (46.8) | 0.220 |
| Yes | 2 (0.4) | 0 (0) | 2 (100) | |
| School year | ||||
| 1 to 2 years | 296 (63.5) | 163 (55.1) | 133 (44.9) | 0.239 |
| 3 to 5 years | 170 (36.5) | 84 (49.4) | 86 (50.6) | |
| Type of student | ||||
| Undergraduate | 435 (93.3) | 228 (52.4) | 207 (47.6) | 0.339 |
| Postgraduate | 31 (6.7) | 19 (61.3) | 12 (38.7) | |
| Undergraduate area of study | ||||
| Nutrition | 99 (22.8) | 50 (50.5) | 49 (49.5) | 0.002 |
| Medicine | 89 (20.5) | 57 (64) | 32 (36) | |
| Psychology | 61 (14) | 21 (34.4) | 40 (65.6) | |
| Nursing | 55 (12.6) | 33 (60) | 22 (40) | |
| Physical culture and sports | 51 (11.7) | 25 (49) | 26 (51) | |
| Dentistry | 32 (7.4) | 23 (71.9) | 9 (28.1) | |
| Higher university technician 3 | 28 (6.4) | 10 (35.7) | 18 (64.3) | |
| Other undergraduate careers 4 | 20 (4.6) | 9 (45) | 11 (55) | |
| Type of postgraduate course | ||||
| PhD | 20 (64.5) | 11 (55) | 9 (45) | 0.452 |
| Master’s Degree | 11 (35.5) | 8 (72.7) | 3 (27.3) | |
| Receipt of scholarship | ||||
| No | 395 (84.8) | 210 (53.2) | 185 (46.8) | 0.870 |
| Yes | 71 (15.2) | 37 (52.1) | 34 (47.9) | |
| Labor activity | ||||
| No | 312 (66.9) | 178 (57.1) | 134 (42.9) | 0.013 |
| Yes | 154 (33.1) | 69 (44.8) | 85 (55.2) | |
| The student is their own financial support | ||||
| No | 368 (79) | 202 (54.9) | 166 (45.1) | 0.114 |
| Yes | 98 (21) | 45 (45.9) | 53 (54.1) | |
| A scholarship is student’s financial support | ||||
| No | 441 (94.6) | 230 (52.2) | 211 (47.8) | 0.123 |
| Yes | 25 (5.4) | 17 (68) | 8 (32) | |
| Parents/guardian are student’s financial support | ||||
| No | 60 (12.9) | 31 (51.7) | 29 (48.3) | 0.824 |
| Yes | 406 (87.1) | 216 (53.2) | 190 (46.8) | |
| Partner/relative is student’s financial support | ||||
| No | 425 (91.2) | 224 (52.7) | 201 (47.3) | 0.678 |
| Yes | 41 (8.8) | 23 (56.1) | 18 (43.9) | |
| Students’ children | ||||
| No | 454 (97.4) | 239 (52.6) | 215 (47.4) | 0.337 |
| Yes | 12 (2.6) | 8 (66.7) | 4 (33.3) | |
| Reception of food aid 5 | ||||
| No | 452 (97) | 242 (53.5) | 210 (46.5) | 0.188 |
| Yes | 14 (3) | 5 (35.7) | 9 (64.3) |
| Household Sociodemographic Characteristics 1 | Total (n = 466) | Food Security (n = 247) | Food Insecurity (n = 219) | p-Value |
|---|---|---|---|---|
| Household type | ||||
| Nuclear | 277 (59.4) | 155 (56) | 122 (44) | 0.002 |
| Single parent | 70 (15) | 31 (44.3) | 39 (55.7) | |
| Extended | 57 (12.23) | 33 (73.3) | 12 (26.7) | |
| Co-resident/roommates | 45 (9.7) | 21 (36.8) | 36 (63.2) | |
| Unipersonal | 17 (3.7) | 7 (41.2) | 10 (58.8) | |
| Homeowner | ||||
| Own | 287 (61.7) | 163 (56.8) | 124 (43.2) | 0.127 |
| Rented | 132 (28.4) | 63 (47.7) | 69 (52.3) | |
| Borrowed | 46 (9.9) | 21 (45.7) | 25 (54.3) | |
| Socioeconomic status 2 | ||||
| A/B | 164 (35.2) | 97 (59.1) | 67 (40.9) | 0.063 |
| C+ | 161 (34.6) | 88 (54.7) | 73 (45.3) | |
| C | 85 (18.2) | 37 (43.5) | 48 (56.5) | |
| C−, D+, D | 56 (12.0) | 25 (44.6) | 31 (55.4) | |
| Potable water at home | ||||
| Yes | 459 (98.5) | 245 (53.4) | 214 (46.6) | 0.262 |
| No/sometimes | 7 (1.5) | 2 (28.6) | 5 (71.4) | |
| Refrigerator for food storage in the house | ||||
| Yes | 464 (99.6) | 247 (53.2) | 217 (46.8) | 0.220 |
| No/sometimes | 2 (0.4) | 0 (0) | 2 (100) | |
| Stove for food preparation at home | ||||
| Yes | 464 (99.6) | 246 (53) | 218 (47) | 1.000 |
| No/sometimes | 1 (0.2) | 1 (50) | 1 (50) | |
| Gas at home | ||||
| Yes | 453 (97.2) | 244 (53.9) | 209 (46.1) | 0.045 |
| No/sometimes | 13 (2.8) | 3 (23.1) | 10 (76.9) | |
| Electricity at home | ||||
| Yes | 465 (99.8) | 247 (53.1) | 218 (46.9) | 0.470 |
| No/sometimes | 1 (0.2) | 0 (0) | 1 (100) | |
| Services and appliances always available | ||||
| Yes | 450 (96.6) | 244 (54.2) | 206 (45.8) | 0.009 |
| No/sometimes | 16 (3.4) | 3 (18.8) | 13 (81.2) | |
| Number of heads of household | ||||
| One | 254 (54.5) | 122 (48) | 132 (52) | 0.019 |
| Two or more | 212 (45.5) | 125 (58) | 87 (41) | |
| Sex of head of household | ||||
| Woman | 197 (42.3) | 91 (46.2) | 106 (53.8) | 0.012 |
| Man | 269 (57.7) | 156 (58) | 113 (42) | |
| Marital status of head of household | ||||
| Single (unmarried, widowed, or divorced) | 126 (27) | 61 (48.4) | 65 (51.6) | 0.227 |
| In a relationship (common-law or married) | 340 (73) | 186 (54.7) | 154 (45.3) | |
| Educational level of head of household | ||||
| High school/technologist or less | 233 (50) | 112 (48.1) | 121 (51.9) | 0.011 |
| Bachelor’s degree | 163 (35) | 87 (53.4) | 76 (46.6) | |
| Master’s degree/doctorate | 70 (15) | 48 (68.6) | 22 (31.4) | |
| Father’s educational level | ||||
| High school/technologist or less | 233 (51.1) | 113 (48.5) | 120 (51.5) | 0.068 |
| Bachelor’s degree | 164 (36) | 91 (55.5) | 73 (44.5) | |
| Master’s degree/doctorate | 59 (12.9) | 38 (64.4) | 21 (35.6) | |
| Mother’s educational level | ||||
| High school/technologist or less | 263 (56.7) | 133 (50.6) | 130 (49.4) | 0.045 |
| Bachelor’s degree | 154 (33.2) | 81 (52.6) | 73 (47.4) | |
| Master’s degree/doctorate | 47 (10.1) | 33 (70.2) | 14 (29.8) |
| Food Insecurity | ||||
|---|---|---|---|---|
| Sociodemographic Characteristics | Simple Model | Multiple Model 1 | ||
| OR (95% CI) | p-Value | OR (95% CI) | p-Value | |
| Student’s work activity | ||||
| No | Ref. | Ref. | ||
| Yes | 1.64 (1.11, 2.41) | 0.013 | 1.55 (1.03, 2.35) | 0.038 |
| The student is their own financial support | ||||
| No | Ref. | 0.115 | --- | |
| Yes | 1.43 (0.92, 2.24) | |||
| A scholarship is student’s financial support | ||||
| No | Ref. | Ref. | ||
| Yes | 0.51 (0.22, 1.21) | 0.129 | 0.46 (0.17, 1.20) | 0.111 |
| Receipt of food support 2 | ||||
| No | Ref. | Ref. | ||
| Yes | 2.07 (0.68, 6.29) | 0.197 | 2.27 (0.70, 7.42) | 0.174 |
| Homeowner | ||||
| Own | Ref. | Ref. | ||
| Rented | 1.44 (0.95, 2.18) | 0.084 | 1.10 (0.65, 1.86) | 0.716 |
| Borrowed | 1.56 (0.84, 2.92) | 0.160 | 1.52 (0.77, 3.01) | 0.230 |
| Household type | ||||
| Nuclear | Ref. | Ref. | ||
| Single parent | 1.60 (0.94, 2.71) | 0.082 | 1.00 (0.54, 1.86) | 0.998 |
| Extended | 0.46 (0.23, 0.93) | 0.031 | 0.35 (0.16, 0.76) | 0.008 |
| Co-resident/roommate | 2.18 (1.21, 3.92) | 0.009 | 1.84 (0.87, 3.90) | 0.110 |
| Unipersonal | 1.81 (0.67, 4.91) | 0.240 | 1.46 (0.49, 4.35) | 0.499 |
| Socioeconomic status | ||||
| A/B | Ref. | --- | ||
| C+ | 1.20 (0.77, 1.86) | 0.414 | ||
| C | 1.88 (1.11, 3.19) | 0.020 | ||
| C−, D+, D | 1.80 (0.97, 3.31) | 0.061 | ||
| Number of heads of household | ||||
| One | 1.55 (1.08, 2.25) | 0.019 | 1.39 (0.90, 2.15) | 0.134 |
| Two or more | Ref. | Ref. | ||
| Sex of head of household | ||||
| Woman | 1.61 (1.11, 2.33) | 0.012 | 1.64 (1.07, 2.51) | 0.023 |
| Man | Ref. | Ref. | ||
| Educational level of head of household | ||||
| High school/technologist or less | 2.36 (1.34, 4.15) | 0.003 | 2.36 (1.28, 4.33) | 0.008 |
| Bachelor’s degree | 1.91 (1.06, 3.44) | 0.032 | 1.95 (1.04, 3.66) | 0.038 |
| Master’s degree/doctorate | Ref. | Ref. | ||
| Father’s educational level | ||||
| High school/technologist or less | 1.92 (1.06, 3.47) | 0.030 | --- | |
| Bachelor’s degree | 1.45 (0.78, 2.69) | 0.235 | ||
| Master’s degree/doctorate | Ref. | |||
| Mother’s educational level | ||||
| High school/technologist or less | 2.30 (1.18, 4.50) | 0.015 | --- | |
| Bachelor’s degree | 2.12 (1.05, 4.28) | 0.035 | ||
| Master’s degree/doctorate | Ref. | |||
| Hosmer/Lemeshow 3, Chi-square | --- | --- | 6.29 | 0.6144 |
| Sociodemographic Characteristics 1 | Total Sample (n = 454) 2 | Cluster 1 (n = 163) | Cluster 2 (n = 144) | Cluster 3 (n = 147) | p-Value |
|---|---|---|---|---|---|
| Student’s work activity | |||||
| No | 305 (67.2) | 109 (66.9) | 105 (72.9) | 91 (61.9) | 0.135 |
| Yes | 149 (32.8) | 54 (33.1) | 39 (27.1) | 56 (38.1) | |
| Parents/guardians are student’s financial supporter | |||||
| No | 58 (12.8) | 33 (20.2) | 16 (11.1) | 9 (6.1) | 0.001 |
| Yes | 396 (87.2) | 130 (79.8) | 128 (88.9) | 138 (93.9) | |
| Household type | |||||
| Nuclear | 276 (60.8) | 18 (11) | 129 (89.6) | 129 (87.8) | NA 3 |
| Single parent | 64 (14.1) | 61 (37.4) | 0 (0) | 3 (2) | |
| Co-resident/roommate | 55 (12.1) | 44 (27) | 7 (4.9) | 4 (2.7) | |
| Enlarged | 43 (9.5) | 28 (17.2) | 8 (5.6) | 7 (4.8) | |
| Unipersonal | 16 (3.5) | 12 (7.4) | 0 (0) | 4 (2.7) | |
| Homeowner | |||||
| Own | 281 (61.9) | 74 (45.4) | 111 (77.1) | 96 (65.3) | <0.001 |
| Rented | 128 (28.2) | 71 (43.6) | 23 (16) | 34 (23.1) | |
| Borrowed | 45 (9.9) | 18 (11) | 10 (6.9) | 17 (11.6) | |
| Socioeconomic status 4 | |||||
| A/B | 161 (35.5) | 34 (20.9) | 110 (76.4) | 17 (11.6) | <0.001 |
| C+ | 156 (34.4) | 64 (39.3) | 29 (20.1) | 63 (42.9) | |
| C | 83 (18.3) | 39 (23.9) | 4 (2.8) | 40 (27.2) | |
| C−, D+, D | 54 (11.9) | 26 (16) | 1 (0.7) | 27 (18.4) | |
| Number of heads of household | |||||
| One | 243 (53.5) | 136 (83.4) | 49 (34) | 58 (39.5) | <0.001 |
| Two or more | 211 (46.5) | 27 (16.6) | 95 (66) | 89 (60.5) | |
| Sex of head of household | |||||
| Woman | 188 (41.4) | 124 (76.1) | 30 (20.8) | 34 (23.1) | <0.001 |
| Man | 266 (58.6) | 39 (23.9) | 114 (79.2) | 113 (76.9) | |
| Marital status of head of household | |||||
| Single (unmarried, widowed, or divorced) | 118 (26) | 117 (71.8) | 1 (0.7) | 0 (0) | NA 3 |
| In a relationship (common-law or married) | 336 (74) | 46 (28.2) | 143 (99.3) | 147 (100) | |
| Educational level of head of household | |||||
| High school/technologist or less | 228 (50.2) | 76 (46.6) | 5 (3.5) | 147 (100) | NA 3 |
| Bachelor’s degree | 159 (35) | 68 (41.7) | 91 (63.2) | 0 (0) | |
| Master’s degree/doctorate | 67 (14.8) | 19 (11.7) | 48 (33.3) | 0 (0) | |
| Father’s educational level | |||||
| High school/technologist or less | 233 (51.3) | 80 (49.1) | 14 (9.7) | 139 (94.6) | <0.001 |
| Bachelor’s degree | 163 (35.9) | 66 (40.5) | 89 (61.8) | 8 (5.4) | |
| Master’s degree/doctorate | 58 (12.8) | 17 (10.4) | 41 (28.5) | 0 (0) | |
| Mother’s educational level | |||||
| High school/technologist or less | 259 (57) | 80 (49.1) | 44 (30.6) | 135 (91.8) | <0.001 |
| Bachelor’s degree | 150 (33) | 73 (44.8) | 66 (45.8) | 11 (7.5) | |
| Master’s degree/doctorate | 45 (9.9) | 10 (6.1) | 34 (23.6) | 1 (0.7) |
| Clusters of Sociodemographic Characteristics | Food Insecurity | |
|---|---|---|
| OR (95%CI) 1 | p-Value | |
| Cluster 1 | 1.96 (1.24, 3.09) | 0.004 |
| Cluster 2 | Ref. | |
| Cluster 3 | 1.52 (0.95, 2.42) | 0.082 |
Disclaimer/Publisher’s Note: The statements, opinions and data contained in all publications are solely those of the individual author(s) and contributor(s) and not of MDPI and/or the editor(s). MDPI and/or the editor(s) disclaim responsibility for any injury to people or property resulting from any ideas, methods, instructions or products referred to in the content. |
© 2024 by the authors. Licensee MDPI, Basel, Switzerland. This article is an open access article distributed under the terms and conditions of the Creative Commons Attribution (CC BY) license (https://creativecommons.org/licenses/by/4.0/).
Share and Cite
Nava-Amante, P.A.; Betancourt-Núñez, A.; Díaz-López, A.; Bernal-Orozco, M.F.; De la Cruz-Mosso, U.; Márquez-Sandoval, F.; Vizmanos, B. Clusters of Sociodemographic Characteristics and Their Association with Food Insecurity in Mexican University Students. Foods 2024, 13, 2507. https://doi.org/10.3390/foods13162507
Nava-Amante PA, Betancourt-Núñez A, Díaz-López A, Bernal-Orozco MF, De la Cruz-Mosso U, Márquez-Sandoval F, Vizmanos B. Clusters of Sociodemographic Characteristics and Their Association with Food Insecurity in Mexican University Students. Foods. 2024; 13(16):2507. https://doi.org/10.3390/foods13162507
Chicago/Turabian StyleNava-Amante, Pablo Alejandro, Alejandra Betancourt-Núñez, Andrés Díaz-López, María Fernanda Bernal-Orozco, Ulises De la Cruz-Mosso, Fabiola Márquez-Sandoval, and Barbara Vizmanos. 2024. "Clusters of Sociodemographic Characteristics and Their Association with Food Insecurity in Mexican University Students" Foods 13, no. 16: 2507. https://doi.org/10.3390/foods13162507
APA StyleNava-Amante, P. A., Betancourt-Núñez, A., Díaz-López, A., Bernal-Orozco, M. F., De la Cruz-Mosso, U., Márquez-Sandoval, F., & Vizmanos, B. (2024). Clusters of Sociodemographic Characteristics and Their Association with Food Insecurity in Mexican University Students. Foods, 13(16), 2507. https://doi.org/10.3390/foods13162507

