1H NMR-Based Metabolic Profiling to Follow Changes in Pomelo Cultivars during Postharvest Senescence
Abstract
1. Introduction
2. Materials and Methods
2.1. Plant Materials and Treatment
2.2. Metabolites Detection by NMR Spectroscopy
2.3. Determination of Citric Acid
2.4. Statistical Analysis
2.5. NMR Data Processing and Multivariate Data Analysis
3. Results
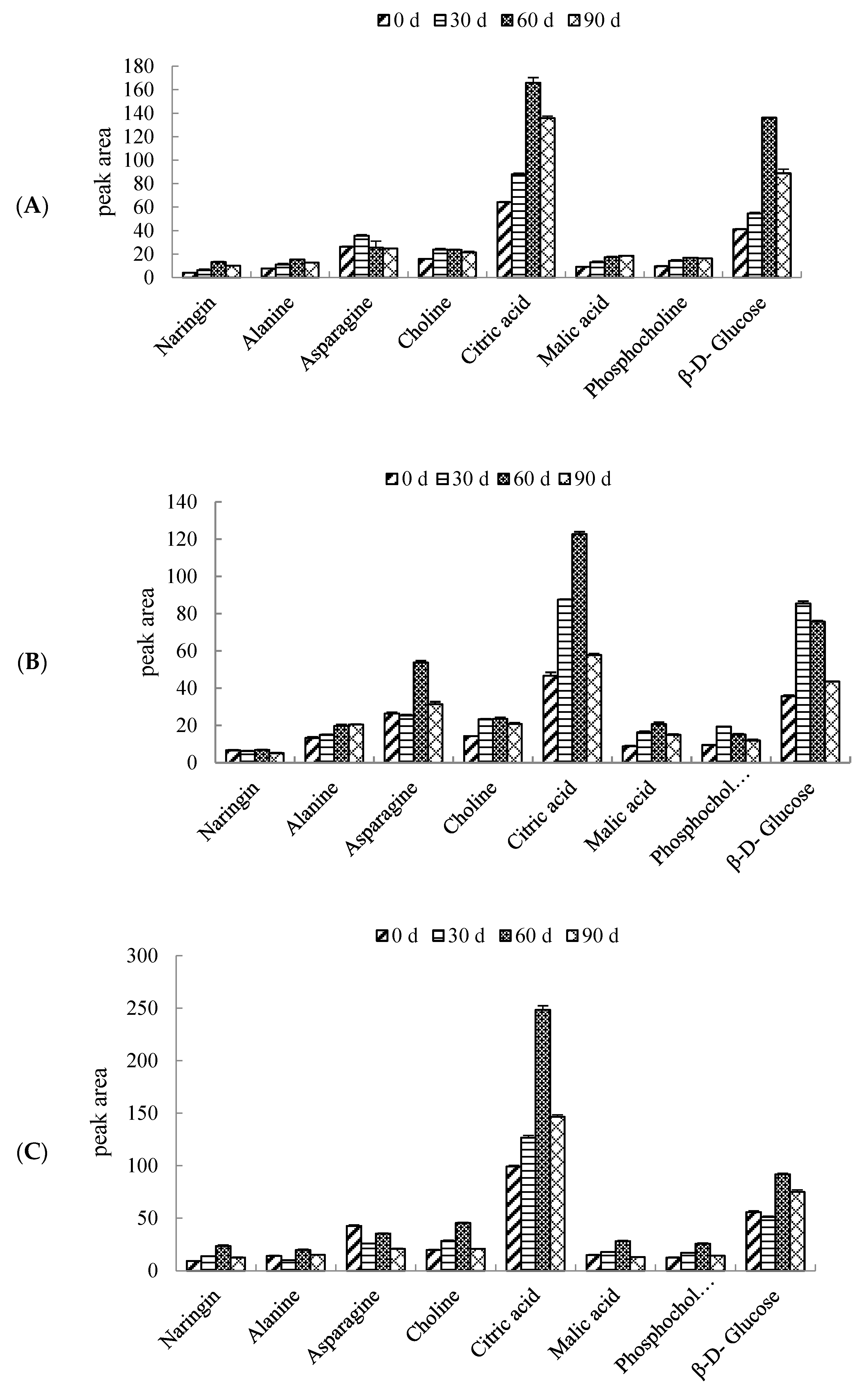
3.1. Identification of Metabolites in Pomelo Extract by 1D and 2D NMR
3.2. Multivariate Data Analysis
3.3. Changes in Citric Acid Content in Three Cultivars during Postharvest Storage
4. Discussion
4.1. Metabolite Biomarkers Differentiating Pomelo Cultivars and Storage Times
4.2. A Hypothesis of Flavor Changes in Pomelos during Postharvest Storage
5. Conclusions
Author Contributions
Funding
Data Availability Statement
Acknowledgments
Conflicts of Interest
References
- Wu, J.L.; Pan, T.F.; Guo, Z.X.; Pan, D.M. Specific lignin accumulation in granulated juice sacs of Citrus Maxima. J. Agric. Food Chem. 2014, 62, 12082–12089. [Google Scholar] [CrossRef]
- Li, Q.; Yao, S.; Deng, L.; Zeng, K. Changes in biochemical properties and pectin nanostructures of juice sacs during the granulation process of pomelo fruit (Citrus grandis). Food Chem. 2022, 376, 131876. [Google Scholar] [CrossRef]
- Yan, H.; Chen, J.; Liu, J. The involvement of energy metabolism and lipid peroxidation in lignin accumulation of postharvest pumelos. Membranes 2020, 10, 269. [Google Scholar] [CrossRef]
- Liu, J.; Huang, Q.; Kang, P.; Liang, L.; Chen, J. Lignin accumulation in three pumelo cultivars in association with sucrose and energy depletion. Biomolecules 2020, 9, 701. [Google Scholar] [CrossRef]
- Liu, J.; Liang, L.; Jiang, Y.; Chen, J. Changes in metabolisms of antioxidant and cell wall in three pummelo cultivars during postharvest storage. Biomolecules 2019, 9, 319. [Google Scholar] [CrossRef]
- Ding, Y.; Chang, J.; Ma, Q.; Chen, L.; Liu, S.; Jin, S.; Han, J.; Xu, R.; Zhu, A.; Guo, J.; et al. Network analysis of postharvest senescence process in citrus fruits revealed by transcriptomic and metabolomic profiling. Plant Physiol. 2015, 168, 357–376. [Google Scholar] [CrossRef]
- Sheng, L.; Shen, D.; Yang, W.; Zhang, M.; Zeng, Y.; Xu, J.; Deng, X.; Cheng, Y. GABA pathway rate-limit citrate degradation in postharvest citrus fruit evidences from HB Pomelo (Citrus grandis) × Fairchild (Citrus reticulata) hybrid population. J. Agric. Food Chem. 2017, 65, 1669–1676. [Google Scholar] [CrossRef]
- Li, S.J.; Wang, W.L.; Ma, Y.C.; Liu, S.C.; Grierson, D.; Yin, X.R.; Chen, K.S. Citrus CitERF6 contributes to citric acid degradation via upregulation of CitAclα1, encoding ATP-citrate lyase subunit α. J. Agric. Food Chem. 2020, 68, 10081–10087. [Google Scholar] [CrossRef]
- Hatzakis, E. Nuclear magnetic resonance (NMR) spectroscopy in food science: A comprehensive review. Compr. Rev. Food Sci. Food Saf. 2019, 18, 189–220. [Google Scholar] [CrossRef]
- Laghi, L.; Picone, G.; Capozzi, F. Nuclear magnetic resonance for foodomics beyond food analysis. Trend Anal. Chem. 2014, 59, 93–102. [Google Scholar]
- Dutra, L.M.; Teles, P.H.V.; da Conceição Santos, A.D.; de Melo, N.F.; Nagata, N.; da Silva Almeida, J.R.G. 1H NMR-based metabolic profile and chemometric analysis for the discrimination of Passiflora species genotypic variations. Food Res. Int. 2023, 112441. [Google Scholar]
- Maria de Fátima, C.S.; Rech, K.S.; Dutra, L.M.; Menezes, L.R.; Santos, A.D.D.C.; Nagata, N.; Stefanello, M.E.A.; Barison, A. 1H HR-MAS NMR chemical profile and chemometric analysis as a tool for quality control of different cultivars of green tea (Camellia sinensis). Food Chem. 2023, 408, 135016. [Google Scholar]
- Huang, S.; Lim, S.Y.; Lau, H.; Ni, W.; Li, S.F.Y. Effect of glycinebetaine on metabolite profiles of cold-stored strawberry revealed by 1H NMR-based metabolomics. Food Chem. 2022, 393, 133452. [Google Scholar] [CrossRef]
- Bodin, N.; Amiel, A.; Fouché, E.; Sardenne, F.; Chassot, E.; Debrauwer, L.; Canlet, C. NMR-based metabolic profiling and discrimination of wild tropical tunas by species, size category, geographic origin, and on-board storage condition. Food Chem. 2022, 371, 131094. [Google Scholar]
- Liu, J.; Yuan, Y.; Wu, Q.; Zhao, Y.; Jiang, Y.; John, A.; Wen, L.; Li, T.; Jian, Q.; Yang, B. Analyses of quality and metabolites levels of okra during postharvest senescence by 1H-high resolution NMR. Postharvest Biol. Tec. 2017, 132, 171–178. [Google Scholar]
- Bi, H.; Cai, D.; Zhang, R.; Zhu, Y.; Zhang, D.; Qiao, L.; Liu, Y. Massspectrometry-based metabolomics approach to reveal differential compounds inpufferfish soups: Flavor, nutrition, and safety. Food Chem. 2019, 301, 125261. [Google Scholar]
- Palmioli, A.; Alberici, D.; Ciaramelli, C.; Airoldi, C. Metabolomic profiling of beers: Combining 1H NMR spectroscopy and chemometric approaches to discriminate craft and industrial products. Food Chem. 2020, 327, 127025. [Google Scholar] [CrossRef]
- Yang, L.; Dai, B.; Ayed, C.; Liu, Y. Comparing the metabolic profiles of raw and cooked pufferfish (Takifugu flavidus) meat by NMR assessment. Food Chem. 2019, 290, 107–113. [Google Scholar]
- de Oliveira, E.S.; Lião, L.M.; Silva, A.K.; Prado, C.S.; Sena, M.M.; Oliveira, G.D.A.R. A t-test ranking-based discriminant analysis for classification of free-range and barn-raised broiler chickens by 1H NMR spectroscopy. Food Chem. 2023, 399, 134004. [Google Scholar] [CrossRef]
- Eyéghé-Bickong, H.A.; Alexandersson, E.O.; Gouws, L.M.; Young, P.R.; Vivier, M.A. Optimization of an HPLC method for the simultaneous quantification of the major sugars and organic acids in grapevine berries. J. Chromatogr. B 2012, 885–886, 43–49. [Google Scholar] [CrossRef]
- Wen, L.R.; Wu, D.; Jiang, Y.M.; Prasad, K.N.; Lin, S.; Jiang, G.X.; He, J.R.; Zhao, M.M.; Luo, W.; Yang, B. Identification of flavonoids in litchi (Litchi chinensis Sonn.) leaf and evaluation of anticancer activities. J. Funct. Foods 2014, 6, 555–563. [Google Scholar] [CrossRef]
- Duan, X.W.; Su, G.W.; You, Y.L.; Qu, H.X.; Li, Y.B.; Jiang, Y.M. Effect of nitric oxide on pericarp browning of harvested longan fruit in relation to phenolic metabolism. Food Chem. 2007, 104, 571–576. [Google Scholar] [CrossRef]
- Pok, P.S.; García Londoño, V.A.; Vicente, S.; Romero, S.M.; Pacín, A.; Tolaba, M.; Alzamora, S.M.; Resnik, S.L. Evaluation of citrus flavonoids against Aspergillus parasiticus in maize: Afla-toxins reduction and ultrastructure alterations. Food Chem. 2019, 318, 126414. [Google Scholar] [CrossRef]
- Bacanlı, M.; Başaran, A.A.; Başaran, N. The antioxidant and antigenotoxic properties of citrus phenolics limonene and naringin. Food Chem. Toxicol. 2015, 81, 160–170. [Google Scholar] [CrossRef]
- Caporaso, N.; Genovese, A.; Burke, R.; Barry-Ryan, C.; Sacchi, R. Physical and oxidative stability of functional olive oil-in-water emulsions formulated using olive mill wastewater biophenols and whey proteins. Food Funct. 2016, 7, 227–238. [Google Scholar] [CrossRef]
- Mahmoud, A.M.; Hernandez Bautista, R.J.; Sandhu, M.A.; Hussein, O.E. Beneficial effects of citrus flavonoids on cardiovascular and metabolic health. Oxid. Med. Cell. Longev. 2019, 2019, 5484138. [Google Scholar] [CrossRef]
- Etienne, A.; Genard, M.; Lobit, P.; Mbeguie-A-Mbeguie, D.; Bugaud, C. What controls fleshy fruit acidity? A review of malate and citrate accumulation in fruit cells. J. Exp. Bot. 2013, 64, 1451–1469. [Google Scholar] [CrossRef]
- Sadka, A.; Dahan, E.; Cohen, L.; Marsh, K.B. Aconitase activity and expression during the development of lemon fruit. Physiol. Plant. 2003, 108, 255–262. [Google Scholar] [CrossRef]
- Yamaki, Y.T. Seasonal Changes in the Organic Acids in Juice of Citrus Fruits. Engei Gakkai Zasshi 1989, 58, 895–898. [Google Scholar] [CrossRef]
- Moon, D.G. Changes in soluble solids, acidity, and abscisic acid contents in different portions of fruit during maturation of Satsuma mandarin. Hortic. Enviro. Biote. 2002, 43, 107–112. [Google Scholar]
- Moufida, M.; Marzouk, B. Biochemical characterization of blood orange, sweet orange, lemon, bergamot, and bitter orange. Phytochemistry 2003, 62, 1283–1289. [Google Scholar] [CrossRef]
- Pailly, O.; Tison, G.; Amouroux, A. Harvest time and storage conditions of star Ruby grapefruit (Citrus paradisi Macf.) for short distance summer consumption. Postharvest Biol. Tec. 2004, 34, 65–73. [Google Scholar] [CrossRef]
- Ma, Q.J.; Sun, M.H.; Lu, J.; Kang, H.; You, C.X.; Hao, Y.J. An apple sucrose transporter MdSUT2. is a phosphorylation target for protein kinase MdCIPK22 in response to drought. Plant Biotechnol. J. 2019, 17, 625–637. [Google Scholar] [CrossRef]
- Fang, H.; Shi, Y.; Liu, S.; Jin, R.; Sun, J.; Grierson, D.; Li, S.; Chen, K. The transcription factor CitZAT5 modifies sugar accumulation and hexose proportion in citrus fruit. Plant Physiol. 2023. [Google Scholar] [CrossRef]
- Liu, J.; Li, F.; Li, T.; Yun, Z.; Duan, X.; Jiang, Y. Fibroin treatment inhibits chilling injury of banana fruit via energy regulation. Sci. Hortic. 2019, 248, 8–13. [Google Scholar] [CrossRef]
- Miyashita, Y.; Dolferus, R.; Ismond, K.P.; Good, A.G. Alanine aminotransferase catalyses the breakdown of alanine after hypoxia in Arabidopsis thaliana. Plant J. 2007, 49, 1108–1121. [Google Scholar] [CrossRef]
- Rocha, M.; Licausi, F.; Araujo, W.L.; Nunes-Nesi, A.; Sodek, L.; Fernie, A.R.; van Dongen, J.T. Glycolysis and the tricarboxylic acid cycle are linked by alanine aminotransferase during hypoxia induced by waterlogging of Lotus japonicus. Plant Physiol. 2010, 152, 1501–1513. [Google Scholar] [CrossRef]
- Lea, P.J.; Sodek, L.; Parry, M.A.J.; Shewry, P.R.; Halford, N.G. Asparagine in plants. Ann. Appl. Biol. 2007, 150, 1–26. [Google Scholar] [CrossRef]
- Kinnersley, A.M.; Turano, F.J. Gamma aminobutyric acid (GABA) and plant responses to stress. Crit. Rev. Plant Sci. 2000, 19, 479–509. [Google Scholar] [CrossRef]
- Ge, Y.H.; Duan, B.; Li, C.Y.; Tang, Q.; Li, X.; Wei, M.L.; Chen, Y.R.; Li, J.R. γ-aminobutyric acid delays senescence of blueberry fruit by regulation of reactive oxygen species metabolism and phenylpropanoid pathway. Sci. Hortic. 2018, 240, 303–309. [Google Scholar] [CrossRef]
- Lin, Y.F.; Lin, H.T.; Lin, Y.X.; Zhang, S.; Chen, Y.H.; Jiang, X.J. The roles of metabolism of membrane lipids and phenolics in hydrogen peroxide-induced pericarp browning of harvested longan fruit. Postharvest Biol. Tec. 2016, 111, 53–61. [Google Scholar] [CrossRef]
- McMaster, C.R. From yeast to humans: Roles of the Kennedy pathway for phosphatidylcholine synthesis. FEBS Lett. 2018, 592, 1256–1272. [Google Scholar] [CrossRef]











| No. | Metabolites | Assignment of Proton Signals |
| 1 | Fatty acids | 0.98 (t, J = 7.3 Hz), 1.24–1.38 (m), 1.55–1.65 (m), 2.32 (t, J = 7.5 Hz) |
| 2 | Alanine | 1.45 (d, J = 7.2 Hz), 3.61 (m) |
| 3 | γ-Amino-butyrate (GABA) | 1.89 (m), 2.40 (t, J = 7.5 Hz), 2.99 (m) |
| 4 | Malic acid | 2.55 (dd, J = 7.7, 16.2 Hz), 2.79 (m), 4.34 (m) |
| 5 | Asparagine | 2.69 (m), 2.93 (m), 3.82(m) |
| 6 | Citric acid | 2.73 (d, J = 15.4 Hz), 2.81 (d, J = 15.4 Hz) |
| 7 | Choline | 3.20 (s) |
| 8 | Phosphocholine | 3.22 (s) |
| 9 | Unsaturated lipids | 5.28–5.33 (m), 2.74–2.80 (m) |
| 10 | Fructose | 4.09 (d, J = 8.3 Hz), 4.01 (m) |
| 11 | β-D-Glucose | 4.46 (d, J = 8.0 Hz), 3.12 (m) |
| 12 | α-D-Glucose | 5.10 (d, J = 3.72 Hz), 3.35 (m) |
| 13 | Sucrose | 5.38 (d, J = 3.8 Hz), 3.42 (m) |
| 14 | Phenolics | 6.8–8.0 (m) |
| 15 | Naringin | 2.76 (m), 3.16 (m), 6.15 (d, J = 2.20 Hz), 6.17 (d, J = 2.20 Hz), 6.81 (d, J = 8.20 Hz), 7.1 (d, J = 8.20 Hz) |
Disclaimer/Publisher’s Note: The statements, opinions and data contained in all publications are solely those of the individual author(s) and contributor(s) and not of MDPI and/or the editor(s). MDPI and/or the editor(s) disclaim responsibility for any injury to people or property resulting from any ideas, methods, instructions or products referred to in the content. |
© 2023 by the authors. Licensee MDPI, Basel, Switzerland. This article is an open access article distributed under the terms and conditions of the Creative Commons Attribution (CC BY) license (https://creativecommons.org/licenses/by/4.0/).
Share and Cite
Liu, J.; Zhou, X.; Chen, D.; Guo, J.; Chen, K.; Ye, C.; Liu, C. 1H NMR-Based Metabolic Profiling to Follow Changes in Pomelo Cultivars during Postharvest Senescence. Foods 2023, 12, 2001. https://doi.org/10.3390/foods12102001
Liu J, Zhou X, Chen D, Guo J, Chen K, Ye C, Liu C. 1H NMR-Based Metabolic Profiling to Follow Changes in Pomelo Cultivars during Postharvest Senescence. Foods. 2023; 12(10):2001. https://doi.org/10.3390/foods12102001
Chicago/Turabian StyleLiu, Juan, Xinqiao Zhou, Dagang Chen, Jie Guo, Ke Chen, Chanjuan Ye, and Chuanguang Liu. 2023. "1H NMR-Based Metabolic Profiling to Follow Changes in Pomelo Cultivars during Postharvest Senescence" Foods 12, no. 10: 2001. https://doi.org/10.3390/foods12102001
APA StyleLiu, J., Zhou, X., Chen, D., Guo, J., Chen, K., Ye, C., & Liu, C. (2023). 1H NMR-Based Metabolic Profiling to Follow Changes in Pomelo Cultivars during Postharvest Senescence. Foods, 12(10), 2001. https://doi.org/10.3390/foods12102001

