Plant Extract and Essential Oil Application against Food-Borne Pathogens in Raw Pork Meat
Abstract
:1. Introduction
2. Materials and Methods
2.1. Raw Materials
2.2. Preparation of Extracts
2.3. Preparation of Raw Meatballs
2.4. Microbiological Analysis of Meatball Portions
2.5. Determination of Total Phenolic Content (TPC)
2.6. GC/MS Analysis
2.7. LC-QTOF/MS Analysis
2.8. Statistical Analysis
3. Results
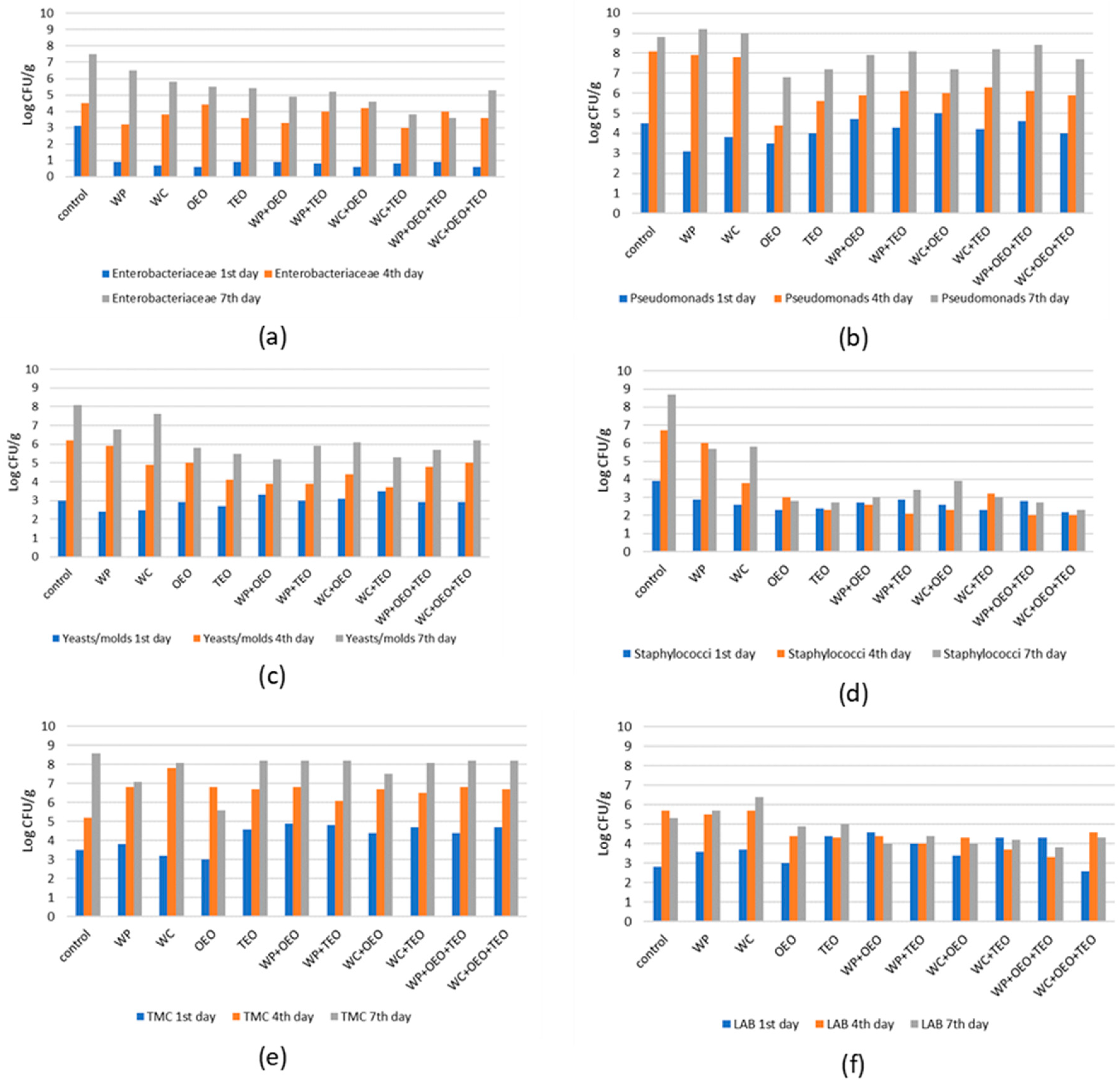
3.1. Microbiological Analyses
3.2. Total Phenolic Content (TPC)
3.3. Determination of Chemical Composition of Oregano and Thyme Essential Oils by GC/MS
3.4. Determination of Chemical Composition of Plant Extracts Using LC-QTOF/MS Analysis
4. Discussion
5. Conclusions
Author Contributions
Funding
Institutional Review Board Statement
Informed Consent Statement
Data Availability Statement
Acknowledgments
Conflicts of Interest
References
- Sofos, J.N. Challenges to meat safety in the 21st century. Meat Sci. 2008, 78, 3–13. [Google Scholar] [CrossRef] [PubMed]
- Falowo, A.B.; Fayemi, P.O.; Muchenje, V. Natural antioxidants against lipid–protein oxidative deterioration in meat and meat products: A review. Int. Food Res. J. 2014, 64, 171–181. [Google Scholar] [CrossRef] [PubMed]
- Maqsood, S.; Abushelaibi, A.; Manheem, K.; Al Rashedi, A.; Kadim, I.T. Lipid oxidation, protein degradation, microbial and sensorial quality of camel meat as influenced by phenolic compounds. LWT-Food Sci. Technol. 2015, 63, 953–959. [Google Scholar] [CrossRef]
- Campbell, F.; Dickinson, H.O.; Critchley, J.A.; Ford, G.A.; Bradburn, M. A systematic review of fish-oil supplements for the prevention and treatment of hypertension. Eur. J. Prev. Cardiol. 2013, 20, 107–120. [Google Scholar] [CrossRef] [PubMed]
- Bazargani-Gilani, B.; Aliakbarlu, J.; Tajik, H. Effect of pomegranate juice dipping and chitosan coating enriched with Zataria multiflora Boiss essential oil on the shelf-life of chicken meat during refrigerated storage. Innov. Food Sci. Emerg. Technol. 2015, 29, 280–287. [Google Scholar] [CrossRef]
- Viljanen, K.; Heiniö, R.L.; Juvonen, R.; Kössö, T.; Puupponen-Pimiä, R. Relation of sensory perception with chemical composition of bioprocessed lingonberry. Food Chem. 2014, 157, 148–156. [Google Scholar] [CrossRef] [PubMed]
- Välimaa, A.L.; Honkalampi-Hämäläinen, U.; Pietarinen, S.; Willför, S.; Holmbom, B.; von Wright, A. Antimicrobial and cytotoxic knotwood extracts and related pure compounds and their effects on food-associated microorganisms. Int. J. Food Microbiol. 2007, 115, 235–243. [Google Scholar] [CrossRef] [PubMed]
- Caillet, S.; Côté, J.; Sylvain, J.F.; Lacroix, M. Antimicrobial effects of fractions from cranberry products on the growth of seven pathogenic bacteria. Food Control 2012, 23, 419–428. [Google Scholar] [CrossRef]
- Reddy, M.K.; Gupta, S.K.; Jacob, M.R.; Khan, S.I.; Ferreira, D. Antioxidant, antimalarial and antimicrobial activities of tannin-rich fractions, ellagitannins and phenolic acids from Punica granatum L. Planta Med. 2007, 53, 461–467. [Google Scholar] [CrossRef] [PubMed]
- Roberts, K.; Diop, A.; St-Pierre, A.; Tardif, M.; Vialle, A.; Barnabé, S. Comparing polyphenolic yields from the crowberry Empetrum nigrum L. on the Basse-Cote-Nord du Québec via solvent and microwave-assisted extractions. Ind. Biotechnol. 2019, 15, 202–211. [Google Scholar] [CrossRef] [Green Version]
- Gavaric, N.; Mozina, S.S.; Kladar, N.; Bozin, B. Chemical profile, antioxidant and antibacterial activity of thyme and oregano essential oils, thymol and carvacrol and their possible synergism. J. Essent Oil Bear Plants 2015, 18, 1013–1021. [Google Scholar] [CrossRef]
- Oussalah, M.; Caillet, S.; Saucier, L.; Lacroix, M. Antimicrobial effects of selected plant essential oils on the growth of a Pseudomonas putida strain isolated from meat. Meat Sci. 2006, 73, 236–244. [Google Scholar] [CrossRef] [PubMed]
- Daoutidou, M.; Plessas, S.; Alexopoulos, A.; Mantzourani, I. Assessment of antimicrobial activity of pomegranate, cranberry, and black chokeberry extracts against foodborne pathogens. Foods 2021, 10, 486. [Google Scholar] [CrossRef] [PubMed]
- Burt, S. Essential oils: Their antibacterial properties and potential applications in foods—A review. Int. J. Food Microbiol. 2004, 94, 223–253. [Google Scholar] [CrossRef]
- Chebli, B.; Bounimi, S. Synergistic antioxidant activity of three essential oils of Lamiaceae family from Morocco. Appl. J. Environ. Eng. Sci. 2017, 3, 2–3. [Google Scholar] [CrossRef]
- Li, X.; Chen, F.; Li, S.; Jia, J.; Gu, H.; Yang, L. An efficient homogenate-microwave-assisted extraction of flavonols and anthocyanins from blackcurrant marc: Optimization using combination of Plackett-Burman design and Box-Behnken design. Ind. Crops Prod. 2016, 94, 834–847. [Google Scholar] [CrossRef]
- Waterhouse, A.L. Determination of total phenolics. Curr. Protoc. Food Anal. Chem. 2002, 6, I1–I11. [Google Scholar]
- Nikolaou, A.; Tsakiris, A.; Kanellaki, M.; Bezirtzoglou, E.; Akrida-Demertzi, K.; Kourkoutas, Y. Wine production using free and immobilized kefir culture on natural supports. Food Chem. 2019, 272, 39–48. [Google Scholar] [CrossRef] [PubMed]
- Dasenaki, M.; Drakopoulou, S.; Aalizadeh, R.; Thomaidis, N. Targeted and Untargeted Metabolomics as an Enhanced Tool for the Detection of Pomegranate Juice Adulteration. Foods 2019, 8, 212. [Google Scholar] [CrossRef] [Green Version]
- Rabin, N.; Zheng, Y.; Opoku-Temeng, C.; Du, Y.; Bonsu, E.; Sintim, H.O. Agents that inhibit bacterial biofilm formation. Future Med. Chem 2015, 7, 647–671. [Google Scholar] [CrossRef]
- Stojković, D.S.; Živković, J.; Soković, M.; Glamočlija, J.; Ferreira, I.C.; Janković, T.; Maksimović, Z. Antibacterial activity of Veronica montana L. extract and of protocatechuic acid incorporated in a food system. Food Chem. Toxicol. 2013, 55, 209–213. [Google Scholar] [CrossRef] [PubMed]
- Gyawali, R.; Ibrahim, S.A. Natural products as antimicrobial agents. Food Control 2014, 46, 412–429. [Google Scholar] [CrossRef]
- Alcaraz, L.E.; Blanco, S.E.; Puig, O.N.; Tomas, F.; Ferretti, F.H. Antibacterial activity of flavonoids against methicillin-resistant Staphylococcus aureus strains. J. Theor. Biol. 2000, 205, 231–240. [Google Scholar] [CrossRef] [PubMed]
- Dorman, H.D.; Deans, S.G. Antimicrobial agents from plants: Antibacterial activity of plant volatile oils. J. Appl. Microbiol. 2000, 88, 308–316. [Google Scholar] [CrossRef] [PubMed]
- Negi, P.S. Plant extracts for the control of bacterial growth: Efficacy, stability and safety issues for food application. Int. J. Food Microbiol. 2012, 156, 7–17. [Google Scholar] [CrossRef] [PubMed]
- Inouye, S.; Takizawa, T.; Yamaguchi, H. Antibacterial activity of essential oils and their major constituents against respiratory tract pathogens by gaseous contact. J. Antimicrob. Chemother. 2001, 47, 565–573. [Google Scholar] [CrossRef] [PubMed] [Green Version]
- Gustafson, J.E.; Liew, Y.C.; Chew, S.; Markham, J.; Bell, H.C.; Wyllie, S.G.; Warmington, J.R. Effects of tea tree oil on Escherichia coli. Lett. Appl. Microbiol. 1998, 26, 194–198. [Google Scholar] [CrossRef]
- Ultee, A.; Bennik, M.H.J.; Moezelaar, R.J.A.E.M. The phenolic hydroxyl group of carvacrol is essential for action against the food-borne pathogen Bacillus cereus. Appl Environ. Microbiol. 2002, 68, 1561–1568. [Google Scholar] [CrossRef] [Green Version]
- Eswaranandam, S.; Hettiarachchy, N.S.; Johnson, M.G. Antimicrobial activity of citric, lactic, malic, or tartaric acids and nisin-incorporated soy protein film against Listeria monocytogenes, Escherichia coli O157: H7, and Salmonella gaminara. J. Food Sci. 2004, 69, FMS79–FMS84. [Google Scholar] [CrossRef]
- Lambert, R.J.W.; Skandamis, P.N.; Coote, P.J.; Nychas, G.J. A study of the minimum inhibitory concentration and mode of action of oregano essential oil, thymol and carvacrol. J. Appl. Microbiol. 2001, 91, 453–462. [Google Scholar] [CrossRef] [PubMed] [Green Version]
- Ultee, A.; Kets, E.P.; Alberda, M.; Hoekstra, F.A.; Smid, E.J. Adaptation of the food-borne pathogen Bacillus cereus to carvacrol. Arch. Microbiol. 2000, 174, 233–238. [Google Scholar] [CrossRef] [PubMed]
- Tyagi, A.K.; Malik, A. Antimicrobial action of essential oil vapours and negative air ions against Pseudomonas fluorescens. Int. J. Food Microbiol. 2010, 143, 205–210. [Google Scholar] [CrossRef] [PubMed]
- de Sousa, J.P.; de Araújo Torres, R.; de Azerêdo, G.A.; Figueiredo, R.C.B.Q.; da Silva Vasconcelos, M.A.; de Souza, E.L. Carvacrol and 1, 8-cineole alone or in combination at sublethal concentrations induce changes in the cell morphology and membrane permeability of Pseudomonas fluorescens in a vegetable-based broth. Int. J. Food Microbiol. 2012, 158, 9–13. [Google Scholar] [CrossRef] [PubMed]
- Rasooli, I.; Rezaei, M.B.; Allameh, A. Growth inhibition and morphological alterations of Aspergillus niger by essential oils from Thymus eriocalyx and Thymus x-porlock. Food Control 2006, 17, 359–364. [Google Scholar] [CrossRef]
- Bagheri-Gavkosh, S.; Bigdeli, M.; Shams-Ghahfarokhi, M.; Razzaghi-Abyaneh, M. Inhibitory effects of Ephedra major host on Aspergillus parasiticus growth and aflatoxin production. Mycopathologia 2009, 168, 249–255. [Google Scholar] [CrossRef] [PubMed]
- Netopilova, M.; Houdkova, M.; Urbanova, K.; Rondevaldova, J.; Kokoska, L. Validation of Qualitative Broth Volatilization Checkerboard Method for Testing of Essential Oils: Dual-Column GC–FID/MS Analysis and In Vitro Combinatory Antimicrobial Effect of Origanum vulgare and Thymus vulgaris against Staphylococcus aureus in Liquid and Vapor Phases. Plants 2021, 10, 393. [Google Scholar] [CrossRef]
- Burt, S.A.; Vlielander, R.; Haagsman, H.P.; Veldhuizen, E.J. Increase in activity of essential oil components carvacrol and thymol against Escherichia coli O157: H7 by addition of food stabilizers. J. Food Prot. 2005, 68, 919–926. [Google Scholar] [CrossRef]
- Liu, Q.; Niu, H.; Zhang, W.; Mu, H.; Sun, C.; Duan, J. Synergy among thymol, eugenol, berberine, cinnamaldehyde and streptomycin against planktonic and biofilm-associated food-borne pathogens. Lett. Appl. Microbiol. 2015, 60, 421–430. [Google Scholar] [CrossRef]
- Lages, L.Z.; Radünz, M.; Gonçalves, B.T.; da Rosa, R.S.; Fouchy, M.V.; Gularte, M.A.; Gandra, E.A. Microbiological and sensory evaluation of meat sausage using thyme (Thymus vulgaris, L.) essential oil and powdered beet juice (Beta vulgaris L., Early Wonder cultivar). LWT 2021, 148, 111794. [Google Scholar] [CrossRef]
- Menezes, N.M.C.; Martins, W.F.; Longhi, D.A.; de Aragão, G.M.F. Modeling the effect of oregano essential oil on shelf-life extension of vacuum-packed cooked sliced ham. Meat Sci. 2018, 139, 113–119. [Google Scholar] [CrossRef]
- Aminzare, M.; Tajik, H.; Aliakbarlu, J.; Hashemi, M.; Raeisi, M. Effect of cinnamon essential oil and grape seed extract as functional-natural additives in the production of cooked sausage-impact on microbiological, physicochemical, lipid oxidation and sensory aspects, and fate of inoculated Clostridium perfringens. J. Food Saf. 2018, 38, e12459. [Google Scholar] [CrossRef]

| Species | Day of Analysis | C (Control) | WP | WC | OEO | TEO | WP + OEO | WP + TEO | WC + OEO | WC + TEO | WP + OEO + TEO | WC + OEO + TEO |
|---|---|---|---|---|---|---|---|---|---|---|---|---|
| Entero. | 1st | 3.09 ± 0.5 a1 | 0.89 ± 0.3 b1 | 0.7 ± 0.6 b1 | 0.6 ± 0.2 b1 | 0.89 ± 0.2 b1 | 0.89 ± 0.5 b1 | 0.8 ± 0.1 b1 | 0.6 ± 0.2 b1 | 0.8 ± 0.3 b1 | 0.89 ± 0.7 b1 | 0.6 ± 0.1 b1 |
| 4th | 4.49 ± 0.8 a1 | 3.19 ± 0.7 a2 | 3.79 ± 0.7 a2 | 4.39 ± 0.6 a2 | 3.59 ± 0.2 a2 | 3.29 ± 0.1 a2 | 3.99 ± 0.8 a2 | 4.19 ± 0.5 a2 | 2.99 ± 0.3 a2 | 3.99 ± 0.6 a2 | 3.59 ± 0.6 a2 | |
| 7th | 7.49 ± 0.4 a2 | 6.49 ± 0.3 abc3 | 5.79 ± 0.6 bc3 | 5.49 ± 0.7 bc2 | 5.39 ± 0.3 bc3 | 4.89 ± 0.2 cd3 | 5.19 ± 0.1 b3 | 4.59 ± 0.3 cd2 | 3.79 ± 0.7 d2 | 3.59 ± 0.2 cd2 | 5.29 ± 0.6 bc3 | |
| Pseudo. | 1st | 4.49 ± 0.3 ab1 | 3.09 ± 0.7 a1 | 3.79 ± 0.3 ab1 | 3.49 ± 0.1 ab1 | 3.99 ± 0.7 ab1 | 4.69 ± 0.6 b1 | 4.29 ± 0.7 a1 | 4.99 ± 0.2 b1 | 4.19 ± 0.8 ab1 | 4.59 ± 0.1 ab1 | 3.99 ± 0.7 ab1 |
| 4th | 8.09 ± 0.8 d2 | 7.89 ± 0.1 cd2 | 7.79 ± 0.3 cd2 | 4.39 ± 0.5 a2 | 5.59 ± 0.7 ab2 | 5.89 ± 0.7 ab1 | 6.09 ± 0.6 b2 | 5.99 ± 0.8 ab12 | 6.29 ± 0.1 bc2 | 6.09 ± 0.1 b2 | 5.89 ± 0.8 ab12 | |
| 7th | 8.79 ± 0.3 cd2 | 9.19 ± 0.5 d3 | 8.99 ± 0.5 cd3 | 6.79 ± 0.2 a3 | 7.19 ± 0.3 ab3 | 7.89 ± 0.8 abcd2 | 8.09 ± 0.3 abcd3 | 7.19 ± 0.5 ab2 | 8.19 ± 0.3 abcd3 | 8.39 ± 0.4 bcd3 | 7.69 ± 0.8 abc2 | |
| Y/M | 1st | 2.99 ± 0.1 a1 | 2.39 ± 0.3 a1 | 2.49 ± 0.3 a1 | 2.89 ± 0.2 a1 | 2.69 ± 0.7 a1 | 3.29 ± 0.4 a1 | 2.99 ± 0.1 a1 | 3.09 ± 0.5 a1 | 3.49 ± 0.6 a1 | 2.89 ± 0.4 a1 | 2.89 ± 0.5 a1 |
| 4th | 6.19 ± 0.6 d2 | 5.89 ± 0.5 cd1 | 4.89 ± 0.1 abc2 | 4.99 ± 0.6 bcd2 | 4.09 ± 0.3 ab2 | 3.89 ± 0.1 ab2 | 3.89 ± 0.3 ab1 | 4.39 ± 0.6 a2 | 3.69 ± 0.1 a1 | 4.79 ± 0.3 abc2 | 4.99 ± 0.6 bcd2 | |
| 7th | 8.09 ± 0.5 c3 | 6.79 ± 0.8 abc2 | 7.59 ± 0.5 bc3 | 5.79 ± 0.7 a2 | 5.49 ± 0.4 a3 | 5.19 ± 0.3 a2 | 5.89 ± 0.8 a2 | 6.09 ± 0.3 ab3 | 5.29 ± 0.2 a2 | 5.69 ± 0.3 a3 | 6.19 ± 0.8 ab2 | |
| Staph. | 1st | 3.89 ± 0.5 b1 | 2.89 ± 0.3 ab1 | 2.59 ± 0.1 ab1 | 2.29 ± 0.7 a1 | 2.39 ± 0.4 ab1 | 2.69 ± 0.2 ab1 | 2.89 ± 0.8 ab1 | 2.59 ± 0.2 ab1 | 2.29 ± 0.5 a1 | 2.79 ± 0.7 ab1 | 2.19 ± 0.8 a1 |
| 4th | 6.69 ± 0.4 c2 | 5.99 ± 0.7 c2 | 3.79 ± 0.6 b1 | 2.99 ± 0.3 ab1 | 2.29 ± 0.3 a1 | 2.59 ± 0.2 ab1 | 2.09 ± 0.3 a1 | 2.29 ± 0.8 a12 | 3.19 ± 0.5 ab1 | 1.99 ± 0.8 a1 | 1.99 ± 0.1 a1 | |
| 7th | 8.69 ± 0.6 c3 | 5.69 ± 0.7 b2 | 5.79 ± 0.8 b2 | 2.79 ± 0.3 a1 | 2.69 ± 0.3 a1 | 2.99 ± 0.1 a1 | 3.39 ± 0.8 a1 | 3.89 ± 0.4 a2 | 2.99 ± 0.7 a1 | 2.69 ± 0.8 a1 | 2.29 ± 0.4 a1 | |
| TMC | 1st | 3.49 ± 0.7 ab1 | 3.79 ± 0.6 ab1 | 3.19 ± 0.8 ab1 | 2.99 ± 0.5 a1 | 4.59 ± 0.3 ab1 | 4.89 ± 0.8 b1 | 4.79 ± 0.1 b1 | 4.39 ± 0.5 ab1 | 4.69 ± 0.4 ab1 | 4.39 ± 0.8 ab1 | 4.69 ± 0.6 ab1 |
| 4th | 5.19 ± 0.8 a2 | 6.79 ± 0.6 ab2 | 7.79 ± 0.4 c2 | 6.79 ± 0.1 ab2 | 6.69 ± 0.1 bc2 | 6.79 ± 0.6 bc2 | 6.09 ± 0.6 ab2 | 6.69 ± 0.1 bc2 | 6.49 ± 0.7 abc2 | 6.79 ± 0.2 bc2 | 6.69 ± 0.4 bc2 | |
| 7th | 8.59 ± 0.3 b3 | 7.09 ± 0.5 ab2 | 8.09 ± 0.8 b2 | 5.59 ± 0.8 a2 | 8.19 ± 0.6 b3 | 8.19 ± 0.6 b2 | 8.19 ± 0.1 b3 | 7.49 ± 0.3 b2 | 8.09 ± 0.3 b3 | 8.19 ± 0.8 b3 | 8.19 ± 0.6 b3 | |
| LAB | 1st | 2.79 ± 0.1 ab1 | 3.59 ± 0.8 abcd1 | 3.69 ± 0.6 abcd1 | 2.99 ± 0.7 abc1 | 4.39 ± 0.5 cd1 | 4.59 ± 0.2 d1 | 3.99 ± 0.5 abcd1 | 3.39 ± 0.3 abcd1 | 4.29 ± 0.1 bcd1 | 4.29 ± 0.6 bcd1 | 2.59 ± 0.7 a1 |
| 4th | 5.69 ± 0.6 ab2 | 5.49 ± 0.1 abcd2 | 5.69 ± 0.2 abcd2 | 4.39 ± 0.7 abc12 | 4.29 ± 0.1 cd2 | 4.39 ± 0.2 d12 | 3.99 ± 0.3 abcd2 | 4.29 ± 0.1 abcd2 | 3.69 ± 0.2 bcd1 | 3.29 ± 0.8 bcd1 | 4.59 ± 0.6 a2 | |
| 7th | 5.29 ± 0.5 bcd2 | 5.69 ± 0.6 cd2 | 6.39 ± 0.2 d2 | 4.89 ± 0.5 abc2 | 4.99 ± 0.5 abc3 | 3.99 ± 0.2 ab2 | 4.39 ± 0.4 abc3 | 3.99 ± 0.2 ab1 | 4.19 ± 0.6 ab1 | 3.79 ± 0.7 a1 | 4.29 ± 0.1 ab2 |
| mg/mL GA | |
|---|---|
| Aqueous Pomegranate Extract | 51.70 |
| Aqueous Cranberry Extract | 185.85 |
| Compounds Detected | ΚΙ | % Area OEO | % Area ΤΕO |
|---|---|---|---|
| methyl-Cyclopentane | <800 | 0.1 | 1.0 |
| α-Pinene | 928 | 3.2 | 3.2 |
| Camphene | 943 | 0.4 | 0.1 |
| Benzaldehyde | 964 | n.d. | 0.1 |
| β-Pinene | 975 | 0.1 | 0.8 |
| β-Myrcene | 1001 | 0.1 | 0.1 |
| 3-Carene | 1016 | n.d. | 2.9 |
| α-Terpinene | 1026 | 0.3 | n.d. |
| p-Cymene | 1044 | 29.4 | 27.3 |
| Limonene | 1046 | 9.3 | 9.5 |
| p-Cymenene | 1126 | 0.1 | n.d. |
| α-Terpinolene | 1122 | 0.6 | n.d. |
| Linalool | 1143 | 2.2 | 1.1 |
| 1-Terpinenol | 1167 | 0.2 | 0.3 |
| Borneol | 1189 | 0.8 | 3.5 |
| Isoborneol | 1181 | 0.1 | 0.7 |
| Terpinen-4-ol | 1195 | 0.2 | 0.2 |
| α-Terpineol | 1214 | 3.4 | 3.1 |
| β-Terpineol | 1176 | 0.6 | 0.4 |
| γ-Terpineol | 1220 | 1.2 | 1.1 |
| Citronellol | 1258 | 0.1 | n.d. |
| Linalyl acetate | 1280 | 0.1 | 1.8 |
| Thymol | 1345 | 12.7 | 29.8 |
| Carvacrol | 1357 | 26.6 | 6.4 |
| Caryophyllene | 1442 | 0.1 | 2.9 |
| α-Caryophyllene | 1479 | n.d. | 0.3 |
| Caryophyllene oxide | 1612 | 0.1 | 1.1 |
| Total | 92.0 | 97.7 |
| Compounds Detected | Aqueous Cranberry Extract | Aqueous Pomegranate Extract |
|---|---|---|
| 4-hydroxybenzoic acid | 0.03 | n.d. |
| Galangin | 0.02 | 0.02 |
| Malic acid | 96.00 | 28.00 |
| Quercetin | 0.21 | 0.30 |
| Kaempferide | 0.03 | 0.04 |
| Catechol | 0.01 | 0.01 |
| Apigenin | 0.01 | 0.01 |
| 3,4-Dihydroxybenzoic acid (protocatechuic acid) | 0.07 | 0.05 |
| Luteolin | 0.07 | 0.10 |
| Acacetin | 0.005 | 0.01 |
| Benzoic acid | 3.21 | n.d. |
| Kaempferol | 0.06 | 0.09 |
| Chlorogenic acid | 2.22 | <0.01 |
| p-coumaric acid | 0.68 | 0.07 |
| Citric acid | 74.59 | 109.02 |
| Hydroxytyrosol | 0.04 | n.d. |
| Chrysin | <0.01 | <0.01 |
| Quinic acid | 75.00 | 0.03 |
Publisher’s Note: MDPI stays neutral with regard to jurisdictional claims in published maps and institutional affiliations. |
© 2022 by the authors. Licensee MDPI, Basel, Switzerland. This article is an open access article distributed under the terms and conditions of the Creative Commons Attribution (CC BY) license (https://creativecommons.org/licenses/by/4.0/).
Share and Cite
Mantzourani, I.; Daoutidou, M.; Dasenaki, M.; Nikolaou, A.; Alexopoulos, A.; Terpou, A.; Thomaidis, N.; Plessas, S. Plant Extract and Essential Oil Application against Food-Borne Pathogens in Raw Pork Meat. Foods 2022, 11, 861. https://doi.org/10.3390/foods11060861
Mantzourani I, Daoutidou M, Dasenaki M, Nikolaou A, Alexopoulos A, Terpou A, Thomaidis N, Plessas S. Plant Extract and Essential Oil Application against Food-Borne Pathogens in Raw Pork Meat. Foods. 2022; 11(6):861. https://doi.org/10.3390/foods11060861
Chicago/Turabian StyleMantzourani, Ioanna, Maria Daoutidou, Marilena Dasenaki, Anastasios Nikolaou, Athanasios Alexopoulos, Antonia Terpou, Nikolaos Thomaidis, and Stavros Plessas. 2022. "Plant Extract and Essential Oil Application against Food-Borne Pathogens in Raw Pork Meat" Foods 11, no. 6: 861. https://doi.org/10.3390/foods11060861
APA StyleMantzourani, I., Daoutidou, M., Dasenaki, M., Nikolaou, A., Alexopoulos, A., Terpou, A., Thomaidis, N., & Plessas, S. (2022). Plant Extract and Essential Oil Application against Food-Borne Pathogens in Raw Pork Meat. Foods, 11(6), 861. https://doi.org/10.3390/foods11060861

