Evaluation of the Physicochemical and Functional Properties of Aquasoya (Glycine max Merr.) Powder for Vegan Muffin Preparation
Abstract
1. Introduction
2. Materials and Methods
2.1. Reagents and Materials
2.2. Preparation of Powder from Legume CW
2.2.1. Cooking
2.2.2. Spray-Drying
2.3. Compositional Analysis of Powder from Legume CW
2.3.1. Determination of Total Polyphenol Content
2.3.2. Determination of Total Carbohydrate Content
2.3.3. Determination of Protein Content
2.4. Functional Properties of Powder from Legume CW
2.4.1. Hygroscopicity
2.4.2. Water Solubility Index
2.4.3. Water- and Oil-Holding Capacities
2.4.4. Emulsifying Properties
2.4.5. Foaming Properties
2.5. Preparation of Muffins
2.6. Determination of Muffin Characteristics
2.6.1. Volume, Baking Loss, and Moisture
2.6.2. Color
2.6.3. Texture
2.6.4. Surface Area and Pore Size
2.6.5. Sensory Evaluation
2.7. Statistical Analysis
3. Results and Discussion
3.1. Compositional Analysis
3.1.1. Total Polyphenol Content
3.1.2. Total Carbohydrate Content
3.1.3. Protein Content
3.2. Functional Properties
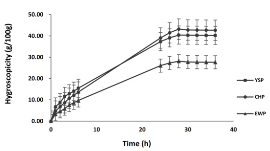
3.2.1. Hygroscopicity and Water Solubility Index
3.2.2. Water- and Oil-Holding Capacities
3.2.3. Emulsifying Properties
3.2.4. Foaming Properties

3.3. Characteristics of Muffins
3.3.1. Volume, Baking Loss, and Moisture
3.3.2. Color
3.3.3. Texture
3.3.4. Surface Area and Pore Size
3.3.5. Sensory Evaluation
4. Conclusions
Supplementary Materials
Author Contributions
Funding
Data Availability Statement
Acknowledgments
Conflicts of Interest
References
- Park, J.H.; Kang, M.S.; Park, K.M.; Lee, H.Y.; Ok, G.S.; Koo, M.S.; Hong, S.I.; Kim, H.J. A dynamic predictive model for the growth of Salmonella spp. and Staphylococcus aureus in fresh egg yolk and scenario-based risk estimation. Food Control 2020, 118, 107421. [Google Scholar] [CrossRef]
- Shim, Y.Y.; He, Y.; Kim, J.H.; Cho, J.Y.; Meda, V.; Hong, W.S.; Shin, W.S.; Kang, S.J.; Reaney, M.J.T. Aquafaba from Korean Soybean I: A Functional Vegan Food Additive. Foods 2021, 10, 2433. [Google Scholar] [CrossRef] [PubMed]
- Echeverria, J.E.; Kim, Y.H.; Nam, Y.R.; Zheng, Y.F.; Cho, J.Y.; Hong, W.S.; Kang, S.J.; Kim, J.H.; Shim, Y.Y.; Shin, W.S. Revalorization of the Cooking Water (Aquafaba) from Soybean Varieties Generated as a By-Product of Food Manufacturing in Korea. Foods 2021, 10, 2287. [Google Scholar] [CrossRef] [PubMed]
- Alajaji, S.A.; El-Adawy, T.A. Nutritional Composition of Chickpea (Cicer arietinum L.) as Affected by Microwave Cooking and Other Traditional Cooking Methods. J. Food Compos. Anal. 2006, 19, 806–812. [Google Scholar] [CrossRef]
- He, Y.; Meda, V.; Reaney, M.J.T.; Mustafa, R. Aquafaba, a New Plant-Based Rheological Additive for Food Applications. Trends Food Sci. Technol. 2021, 111, 27–42. [Google Scholar] [CrossRef]
- Muhialdin, B.J.; Mohammed, N.K.; Cheok, H.J.; Farouk, A.E.A.; Meor Hussin, A.S. Reducing microbial contamination risk and improving physical properties of plant-based mayonnaise produced using chickpea aquafaba. Int. Food Res. J. 2021, 28, 547–553. [Google Scholar]
- Shevkani, K.; Kaur, A.; Kumar, S.; Singh, N. Cowpea protein isolates: Functional properties and application in gluten-free rice muffins. LWT 2015, 63, 927–933. [Google Scholar] [CrossRef]
- Caliskan, G.; Nur Dirim, S. The effects of the different drying conditions and the amounts of maltodextrin addition during spray drying of sumac extract. Food Bioprod. Process. 2013, 91, 539–548. [Google Scholar] [CrossRef]
- Buhl, T.F.; Christensen, C.H.; Hammershøj, M. Aquafaba as an egg white substitute in food foams and emulsions: Protein composition and functional behavior. Food Hydrocoll. 2019, 96, 354–364. [Google Scholar] [CrossRef]
- Singleton, V.L.; Rossi, J.A. Colorimetry of Total Phenolics with Phosphomolybdic-Phosphotungstic Acid Reagents. Am. J. Enol. Vitic. 1965, 16, 144–158. [Google Scholar]
- Jimenez-Sánchez, D.E.; Calderón-Santoyo, M.; Ortiz-Basurto, R.I.; Bautista-Rosales, P.U.; Ragazzo-Sánchez, J.A. Effect of Maltodextrin Reduction and Native Agave Fructans Addition on the Physicochemical Properties of Spray-Dried Mango and Pineapple Juices. Food Sci. Technol. Int. 2018, 24, 519–532. [Google Scholar] [CrossRef]
- Morsy, N.E.; Rayan, A.M.; Youssef, K.M. Physico Chemical Properties, Antioxidant Activity, Phytochemicals and Sensory Evaluation of Rice-Based Extrudates Containing Dried Corchorus olitorius L. Leaves. J. Food Process. Technol. 2015, 6, 1. [Google Scholar] [CrossRef]
- Zhang, L.; Xu, H.; Li, S. Effects of Micronization on Properties of Chaenomeles sinensis (Thouin) Koehne Fruit Powder. Innov. Food Sci. Emerg. Technol. 2009, 10, 633–637. [Google Scholar] [CrossRef]
- Lafarga, T.; Villaró, S.; Bobo, G.; Aguiló-Aguayo, I. Optimisation of the pH and Boiling Conditions Needed to Obtain Improved Foaming and Emulsifying Properties of Chickpea Aquafaba using a Response Surface Methodology. Int. J. Gastron. Food Sci. 2019, 18, 100177. [Google Scholar] [CrossRef]
- Toews, R.; Wang, N. Physicochemical and Functional Properties of Protein Concentrates from Pulses. Food Res. Int. 2013, 52, 445–451. [Google Scholar] [CrossRef]
- Shankaran, P.I.; Chinnaswamy, A. Instant coffee foam: An investigation on factors controlling foamability, foam drainage, coalescence, and disproportionation. J. Food Process Eng. 2019, 42, e13173. [Google Scholar] [CrossRef]
- Rahmati, N.F.; Tehrani, M.M. Replacement of Egg in Cake: Effect of Soy Milk on Quality and Sensory Characteristics. J. Food Process. Preserv. 2015, 39, 574–582. [Google Scholar] [CrossRef]
- Baixauli, R.; Salvador, A.; Fiszman, S.M. Textural and Colour Changes During Storage and Sensory Shelf Life of Muffins Containing Resistant Starch. Eur. Food Res. Technol. 2008, 226, 523–530. [Google Scholar] [CrossRef]
- Buchalla, W.; Attin, T.; Hilgers, R.D.; Hellwig, E. The effect of water storage and light exposure on the color and translucency of a hybrid and a microfilled composite. J. Prosthet. Dent. 2002, 87, 264–270. [Google Scholar] [CrossRef]
- Madieta, E.; Symoneaux, R.; Mehinagic, E. Textural properties of fruit affected by experimental conditions in TPA tests: An RSM approach. Int. J. Food Sci. Technol. 2011, 46, 1044–1052. [Google Scholar] [CrossRef]
- Zhang, L.; He, W.; Yang, J.; Sun, J.; Li, H.; Han, B.; Zhao, S.; Shi, Y.; Feng, Y.; Tang, Z.; et al. Bread-Derived 3D Macroporous Carbon Foams as High Performance Free-Standing Anode in Microbial Fuel Cells. Biosens. Bioelectron. 2018, 122, 217–223. [Google Scholar] [CrossRef]
- Heim, K.E.; Tagliaferro, A.R.; Bobilya, D.J. Flavonoid Antioxidants: Chemistry, Metabolism and Structure-Activity Relationships. J. Nutr. Biochem. 2002, 13, 572–584. [Google Scholar] [CrossRef]
- Xu, B.J.; Yuan, S.H.; Chang, S.K.C. Comparative Analyses of Phenolic Composition, Antioxidant Capacity, and Color of Cool Season Legumes and Other Selected Food Legumes. J. Food Sci. 2007, 72, S167–S177. [Google Scholar] [CrossRef]
- Damian, J.J.; Huo, S.; Serventi, L. Phytochemical Content and Emulsifying Ability of Pulses Cooking Water. Eur. Food Res. Technol. 2018, 244, 1647–1655. [Google Scholar] [CrossRef]
- Altinkaynak, C.; Kocazorbaz, E.; Özdemir, N.; Zihnioglu, F. Egg white hybrid nanoflower (EW-hNF) with biomimetic polyphenol oxidase reactivity: Synthesis, characterization and potential use in decolorization of synthetic dyes. Int. J. Biol. 2018, 109, 205–211. [Google Scholar] [CrossRef]
- Bednarska, M.A.; Janiszewska-Turak, E. The influence of spray drying parameters and carrier material on the physico-chemical properties and quality of chokeberry juice powder. J. Food Sci. Technol. 2020, 57, 564–577. [Google Scholar] [CrossRef]
- Pérez-Reyes, M.E.; Tang, J.; Barbosa-Cánovas, G.V.; Zhu, M.-J. Influence of Water Activity and Dry-Heating Time on Egg White Powders Quality. LWT 2021, 140, 110717. [Google Scholar] [CrossRef]
- Stantiall, S.E.; Dale, K.J.; Calizo, F.S.; Serventi, L. Application of Pulses Cooking Water as Functional Ingredients: The Foaming and Gelling Abilities. Eur. Food Res. Technol. 2018, 244, 97–104. [Google Scholar] [CrossRef]
- Alsalman, F.B.; Tulbek, M.; Nickerson, M.; Ramaswamy, H.S. Evaluation and Optimization of Functional and Antinutritional Properties of Aquafaba. Legume Sci. 2020, 2, e30. [Google Scholar] [CrossRef]
- Mundi, S.; Aluko, R.E. Physicochemical and functional properties of kidney bean albumin and globulin protein fractions. Int. Food. Res. J. 2012, 48, 299–306. [Google Scholar] [CrossRef]
- Pelegrine, D.H.G.; Gasparetto, C.A. Whey proteins solubility as function of temperature and pH. LWT 2005, 38, 77–80. [Google Scholar] [CrossRef]
- Han, X.; Zhang, L.; Zhou, K.; Wang, X. ProGAN: Protein solubility generative adversarial nets for data augmentation in DNN framework. Comput. Chem. Eng. 2019, 131, 106533. [Google Scholar] [CrossRef]
- Fujimori, M.; Kadota, K.; Kato, K.; Seto, Y.; Onoue, S.; Sato, H.; Ueda, H.; Tozuka, Y. Low Hygroscopic Spray-Dried Powders with Trans-Glycosylated Food Additives Enhance the Solubility and Oral Bioavailability of ipriflavone. Food Chem. 2016, 190, 1050–1055. [Google Scholar] [CrossRef] [PubMed]
- Silva, R.S.; Santos, C.L.; Mar, J.M.; Kluczkovski, A.M.; Figueiredo, J.A.; Borges, S.V.; Bakry, A.M.; Sanches, E.A.; Campelo, P.H. Physicochemical Properties of Tucumã (Astrocaryum aculeatum) Powders with Different Carbohydrate Biopolymers. LWT 2018, 94, 79–86. [Google Scholar] [CrossRef]
- Moghbeli, S.; Jafari, S.M.; Maghsoudlou, Y.; Dehnad, D. A Taguchi Approach Optimization of Date Powder Production by Spray Drying with the Aid of Whey Protein-Pectin Complexes. Powder Technol. 2020, 359, 85–93. [Google Scholar] [CrossRef]
- Lacerda, E.C.Q.; de Araújo Calado, V.M.; Monteiro, M.; Finotelli, P.V.; Torres, A.G.; Perrone, D. Starch, Inulin and Maltodextrin as Encapsulating Agents Affect the Quality and Stability of Jussara Pulp Microparticles. Carbohydr. Polym. 2016, 151, 500–510. [Google Scholar] [CrossRef]
- Huang, J.; Schols, H.A.; van Soest, J.J.; Jin, Z.; Sulmann, E.; Voragen, A.G. Physicochemical properties and amylopectin chain profiles of cowpea, chickpea and yellow pea starches. Food Chem. 2007, 101, 1338–1345. [Google Scholar] [CrossRef]
- Li, P.; Sheng, L.; Jin, Y. Using Microwave-Assisted Phosphorylation to Improve Foaming and Solubility of Egg White by Response Surface Methodology. Poult. Sci. 2019, 98, 7110–7117. [Google Scholar] [CrossRef]
- Avilés-Gaxiola, S.; Chuck-Hernández, C.; del Refugio Rocha-Pizaña, M.; García-Lara, S.; López-Castillo, L.M.; Serna-Saldívar, S.O. Effect of thermal processing and reducing agents on trypsin inhibitor activity and functional properties of soybean and chickpea protein concentrates. LWT 2018, 98, 629–634. [Google Scholar] [CrossRef]
- Zayas, J.F. Functionality of Proteins in Food, 1st ed.; Springer: Berlin/Heidelberg, Germany; New York, NY, USA, 1997; pp. 1–373. [Google Scholar]
- Traynham, T.L.; Myers, D.J.; Carriquiry, A.L.; Johnson, L.A. Evaluation of Water-Holding Capacity for Wheat–Soy Flour Blends. J. Am. Oil Chem. Soc. 2007, 84, 151–155. [Google Scholar] [CrossRef]
- Ghribi, A.M.; Gafsi, I.M.; Blecker, C.; Danthine, S.; Attia, H.; Besbes, S. Effect of drying methods on physico-chemical and functional properties of chickpea protein concentrates. J. Food Eng. 2015, 165, 179–188. [Google Scholar] [CrossRef]
- Ahmed, J.; Ramaswamy, H.S.; Alli, I.; Raghavan, V.G. Protein denaturation, rheology, and gelation characteristics of radio-frequency heated egg white dispersions. Int. J. Food Prop. 2007, 10, 145–161. [Google Scholar] [CrossRef]
- Sila, A.; Bayar, N.; Ghazala, I.; Bougatef, A.; Ellouz-Ghorbel, R.; Ellouz-Chaabouni, S. Water-Soluble Polysaccharides from Agro-Industrial By-Products: Functional and Biological Properties. Int. J. Biol. Macromol. 2014, 69, 236–243. [Google Scholar] [CrossRef]
- Hu, M.; McClements, D.J.; Decker, E.A. Lipid Oxidation in Corn Oil-in-Water Emulsions Stabilized by Casein, Whey Protein Isolate, and Soy Protein Isolate. J. Agric. Food Chem. 2003, 51, 1696–1700. [Google Scholar] [CrossRef]
- Giovannelli, L.; Milanesi, A.; Ugazio, E.; Fracchia, L.; Segale, L. Effect of Methyl–β–Cyclodextrin and Trehalose on the Freeze–Drying and Spray–Drying of Sericin for Cosmetic Purposes. Pharmaceuticals 2021, 14, 262. [Google Scholar] [CrossRef]
- Gharibzahedi, S.M.T.; Razavi, S.H.; Mousavi, S.M. Psyllium husk gum: An attractive carbohydrate biopolymer for the production of stable canthaxanthin emulsions. Carbohydr. Polym. 2013, 92, 2002–2011. [Google Scholar] [CrossRef]
- Wong, P.Y.Y.; Kitts, D.D. A Comparison of the Buttermilk Solids Functional Properties to Nonfat Dried Milk, Soy Protein Isolate, Dried Egg White, and Egg Yolk Powders. J. Dairy Sci. 2003, 86, 746–754. [Google Scholar] [CrossRef]
- Damodaran, S.; Paraf, A. Food proteins: An Overview. In Food Proteins and Their Applications, 1st ed.; Marcel Dekker, Inc.: New York, NY, USA, 1997; pp. 1–24. [Google Scholar]
- Nesterenko, A.; Drelich, A.; Lu, H.; Clausse, D.; Pezron, I. Influence of a Mixed Particle/Surfactant Emulsifier System on Water-in-Oil Emulsion Stability. Colloids Surf. A Physicochem. Eng. Asp. 2014, 457, 49–57. [Google Scholar] [CrossRef]
- Wang, S.; Yang, J.; Shao, G.; Qu, D.; Zhao, H.; Yang, L.; Zhu, L.; He, Y.; Liu, H.; Zhu, D. Soy Protein Isolated-Soy Hull Polysaccharides Stabilized O/W Emulsion: Effect of Polysaccharides Concentration on the Storage Stability and Interfacial Rheological Properties. Food Hydrocoll. 2020, 101, 105490. [Google Scholar] [CrossRef]
- Zhang, Y.; Tan, C.; Abbas, S.; Eric, K.; Xia, S.; Zhang, X. Modified SPI improves the emulsion properties and oxidative stability of fish oil microcapsules. Food Hydrocoll. 2015, 51, 108–117. [Google Scholar] [CrossRef]
- Akintayo, E.T.; Oshodi, A.A.; Esuoso, K.O. Effects of NaCl, Ionic Strength and pH on the Foaming and Gelation of Pigeon Pea (Cajanus cajan) Protein Concentrates. Food Chem. 1999, 66, 51–56. [Google Scholar] [CrossRef]
- Nguyen, T.M.N.; Nguyen, T.P.; Tran, G.B.; Le, P.T.Q. Effect of Processing Methods on Foam Properties and Application of Lima Bean (Phaseolus lunatus L.) Aquafaba in Eggless Cupcakes. J. Food Process. Preserv. 2020, 44, e14886. [Google Scholar] [CrossRef]
- Bouyer, E.; Mekhloufi, G.; Rosilio, V.; Grossiord, J.-L.; Agnely, F. Proteins, Polysaccharides, and Their Complexes Used as Stabilizers for Emulsions: Alternatives to Synthetic Surfactants in the Pharmaceutical Field? Int. J. Pharm. 2012, 436, 359–378. [Google Scholar] [CrossRef] [PubMed]
- Dhull, S.B.; Punia, S.; Sandhu, K.S.; Chawla, P.; Kaur, R.; Singh, A. Effect of debittered fenugreek (Trigonella foenum-graecum L.) flour addition on physical, nutritional, antioxidant, and sensory properties of wheat flour rusk. Legum. Sci. 2020, 2, e21. [Google Scholar] [CrossRef]
- Menon, L.; Majumdar, S.D.; Ravi, U. Development and analysis of composite flour bread. J. Food Sci. Technol. 2015, 52, 4156–4165. [Google Scholar] [CrossRef]
- Wendin, K.; Hoglund, E.; Andersson, M.; Rothenberg, E. Protein enriched foods and healthy ageing Effects of protein fortification on muffin characteristics. Agro Food Ind. Hi-Tech 2017, 28, 16–18. [Google Scholar]
- De la Hera, E.; Ruiz-París, E.; Oliete, B.; Gómez, M. Studies of the Quality of Cakes Made with Wheat-Lentil Composite Flours. LWT 2012, 49, 48–54. [Google Scholar] [CrossRef]
- Jarpa-Parra, M.; Wong, L.; Wismer, W.; Temelli, F.; Han, J.; Huang, W.; Eckhart, E.; Tian, Z.; Shi, K.; Sun, T.; et al. Quality Characteristics of Angel Food Cake and Muffin Using Lentil Protein as Egg/Milk Replacer. Int. J. Food Sci. Technol. 2017, 52, 1604–1613. [Google Scholar] [CrossRef]
- Wilderjans, E.; Pareyt, B.; Goesaert, H.; Brijs, K.; Delcour, J.A. The Role of Gluten in a Pound Cake System: A Model Approach Based on Gluten–Starch Blends. Food Chem. 2008, 110, 909–915. [Google Scholar] [CrossRef]
- Wang, L.; Yin, C.; Shan, Z.; Liu, S.; Du, Y.; Xiao, F.-S. Bread-Template Synthesis of Hierarchical Mesoporous ZSM-5 Zeolite with Hydrothermally Stable Mesoporosity. Colloids Surf. A Physicochem. Eng. Asp. 2009, 340, 126–130. [Google Scholar] [CrossRef]
- Kang, J.H.; Kwon, J.H.; Kim, S.W.; Song, S.K. Adsorption Affected by Relationship Between Pore Sizes of Activated Carbons and Physical Properties of Adsorbates. J. Environ. Sci. Int. 2007, 16, 377–383. [Google Scholar] [CrossRef][Green Version]
- Fribourg, R.; Argelaguet, F.; Lécuyer, A.; Hoyet, L. Avatar and sense of embodiment: Studying the relative preference between appearance, control and point of view. IEEE Trans. Vis. Comput. Graph. 2020, 26, 2062–2072. [Google Scholar] [CrossRef]





| YSP | CHP | EWP | |
|---|---|---|---|
| TPC (g/100 g) | 1.23 ± 0.07 b | 0.85 ± 0.09 c | 2.14 ± 0.03 a |
| TCC (g/100 g) | 52.37 ± 1.27 a | 46.91 ± 0.16 b | 2.75 ± 0.36 c |
| Protein (g/100 g) | 23.11 ± 0.15 b | 23.07 ± 0.09 b | 81.91 ± 0.05 a |
| Hygroscopicity (g/100 g) | 35.34 ± 0.67 b | 38.80 ± 0.77 a | 25.88 ± 0.41 c |
| WSI (%) | 81.06 ± 2.29 b | 80.28 ± 5.49 b | 94.75 ± 1.70 a |
| WHC (g/g) | 1.45 ± 0.21 a | 1.00 ± 0.13 b | 0.95 ± 0.10 b |
| OHC (mL/g) | 2.31 ± 0.06 a | 2.23 ± 0.10 ab | 2.13 ± 0.06 b |
| EC (%) | 69.90 ± 2.11 | 68.37 ± 1.52 | 70.32 ± 0.55 |
| ES (%) | 77.87 ± 2.01 a | 69.86 ± 2.55 b | 81.32 ± 0.51 a |
| Droplet size (µm) | 2.93 ± 0.05 a | 1.78 ± 0.10 b | 1.31 ± 0.07 c |
| YSP | CHP | EWP | |
|---|---|---|---|
| Volume (mL/g) | 1.48 ± 0.89 a | 1.43 ± 0.57 a | 1.46 ± 0.29 a |
| Baking loss (%) | 25.58 ± 0.17 b | 29.88 ± 0.21 a | 30.18 ± 0.30 a |
| Moisture (g) | 11.73 ± 0.00 a | 10.14 ± 0.10 b | 10.11 ± 0.16 b |
| Color | YSP | CHP | EWP | |
|---|---|---|---|---|
| Crumb | L* | 44.14 ± 0.06 c | 48.04 ± 0.11 b | 49.90 ± 0.03 a |
| a* | 3.50 ± 0.17 c | 5.04 ± 0.22 b | 5.85 ± 0.08 a | |
| b* | 11.76 ± 0.06 c | 19.32 ± 0.30 b | 21.20 ± 0.10 a | |
| ΔE* | 53.80 ± 0.25 a | 52.12 ± 0.13 b | 51.09 ± 0.04 c | |
| Crust | L* | 38.90 ± 0.23 c | 37.86 ± 0.03 b | 46.49 ± 0.08 a |
| a* | 7.37 ± 0.16 c | 6.39 ± 0.12 b | 10.32 ± 0.11 a | |
| b* | 8.04 ± 0.04 c | 7.75 ± 0.19 b | 14.68 ± 0.04 a | |
| ΔE* | 58.80 ± 0.24 b | 59.69 ± 0.14 a | 53.01 ± 0.07 c |
| YSP | CHP | EWP | |
|---|---|---|---|
| Hardness 1 | 13,403.94 ± 1872.28 a | 11,685.53 ± 1861.30 a | 14,278.76 ± 2869.67 a |
| Hardness 2 | 11,716.77 ± 1361.52 a | 10,342.05 ± 1629.78 a | 12,779.06 ± 2710.65 a |
| Adhesiveness | 0.06 ± 0.01 a | 0.07 ± 0.02 a | 0.07 ± 0.00 a |
| Cohesiveness | 0.58 ± 0.03 a | 0.59 ± 0.02 a | 0.61 ± 0.02 a |
| Springiness | 3.86 ± 0.15 a | 3.69 ± 0.27 a | 3.92 ± 0.19 a |
| Gumminess | 3.08 ± 0.32 a | 2.75 ± 0.47 a | 3.52 ± 0.77 a |
| Chewiness | 11.86 ± 0.98 a | 10.06 ± 0.94 a | 13.75 ± 2.81 a |
| Descriptor | YSP | CHP | EWP | |
|---|---|---|---|---|
| Appearance | Color | 7.25 ± 1.25 a | 7.25 ± 1.41 a | 7.25 ± 1.37 a |
| Air cell uniformity | 6.55 ± 1.73 a | 7.00 ± 1.21 a | 6.00 ± 1.45 a | |
| Loaf volume | 6.45 ± 1.54 a | 6.55 ± 1.50 a | 6.55 ± 1.43 a | |
| Flavor | Beany | 5.70 ± 1.66 a | 6.30 ± 1.75 a | 5.50 ± 1.77 a |
| After-flavor | 5.85 ± 1.50 a | 6.30 ± 1.38 a | 5.90 ± 1.89 a | |
| Texture | Moistness | 5.15 ± 1.93 a | 5.65 ± 1.84 a | 4.95 ± 2.37 a |
| Stickiness | 5.50 ± 2.28 a | 5.50 ± 1.91 a | 5.70 ± 1.98 a | |
| Overall Acceptability | 6.35 ± 1.45 a | 6.40 ± 1.76 a | 6.20 ± 1.79 a | |
Publisher’s Note: MDPI stays neutral with regard to jurisdictional claims in published maps and institutional affiliations. |
© 2022 by the authors. Licensee MDPI, Basel, Switzerland. This article is an open access article distributed under the terms and conditions of the Creative Commons Attribution (CC BY) license (https://creativecommons.org/licenses/by/4.0/).
Share and Cite
Kim, Y.-H.; Shin, W.-S. Evaluation of the Physicochemical and Functional Properties of Aquasoya (Glycine max Merr.) Powder for Vegan Muffin Preparation. Foods 2022, 11, 591. https://doi.org/10.3390/foods11040591
Kim Y-H, Shin W-S. Evaluation of the Physicochemical and Functional Properties of Aquasoya (Glycine max Merr.) Powder for Vegan Muffin Preparation. Foods. 2022; 11(4):591. https://doi.org/10.3390/foods11040591
Chicago/Turabian StyleKim, Yoon-Ha, and Weon-Sun Shin. 2022. "Evaluation of the Physicochemical and Functional Properties of Aquasoya (Glycine max Merr.) Powder for Vegan Muffin Preparation" Foods 11, no. 4: 591. https://doi.org/10.3390/foods11040591
APA StyleKim, Y.-H., & Shin, W.-S. (2022). Evaluation of the Physicochemical and Functional Properties of Aquasoya (Glycine max Merr.) Powder for Vegan Muffin Preparation. Foods, 11(4), 591. https://doi.org/10.3390/foods11040591

