Sensory, Physicochemical, and Cooking Qualities of Instant Noodles Incorporated with Red Seaweed (Eucheuma denticulatum)
Abstract
:1. Introduction
2. Materials and Methods
2.1. Materials
2.2. Production of Seaweed Powder
2.3. Experimental Design
2.4. Preparation of Instant Noodles with Seaweed Powder
2.4.1. Mixing of Raw Materials
2.4.2. Mixing, Resting, and Sheeting of Dough
2.4.3. Steaming and Drying of Noodles
2.5. Physicochemical and Cooking Qualities
2.5.1. Cooking Quality
Cooking Yield
Cooking Loss
Optimum Cooking Time
2.5.2. Textural Quality
2.5.3. pH Measurement
2.5.4. Color Measurement
2.5.5. Water Activity Measurement (aw)
2.6. Sensory Evaluation
2.6.1. Ranking Test: Balanced Incomplete Block Design (BIBD)
2.6.2. Hedonic Test
2.7. Statistical Analysis
3. Results and Discussion
3.1. Physicochemical and Cooking Qualities
3.1.1. Cooking Quality
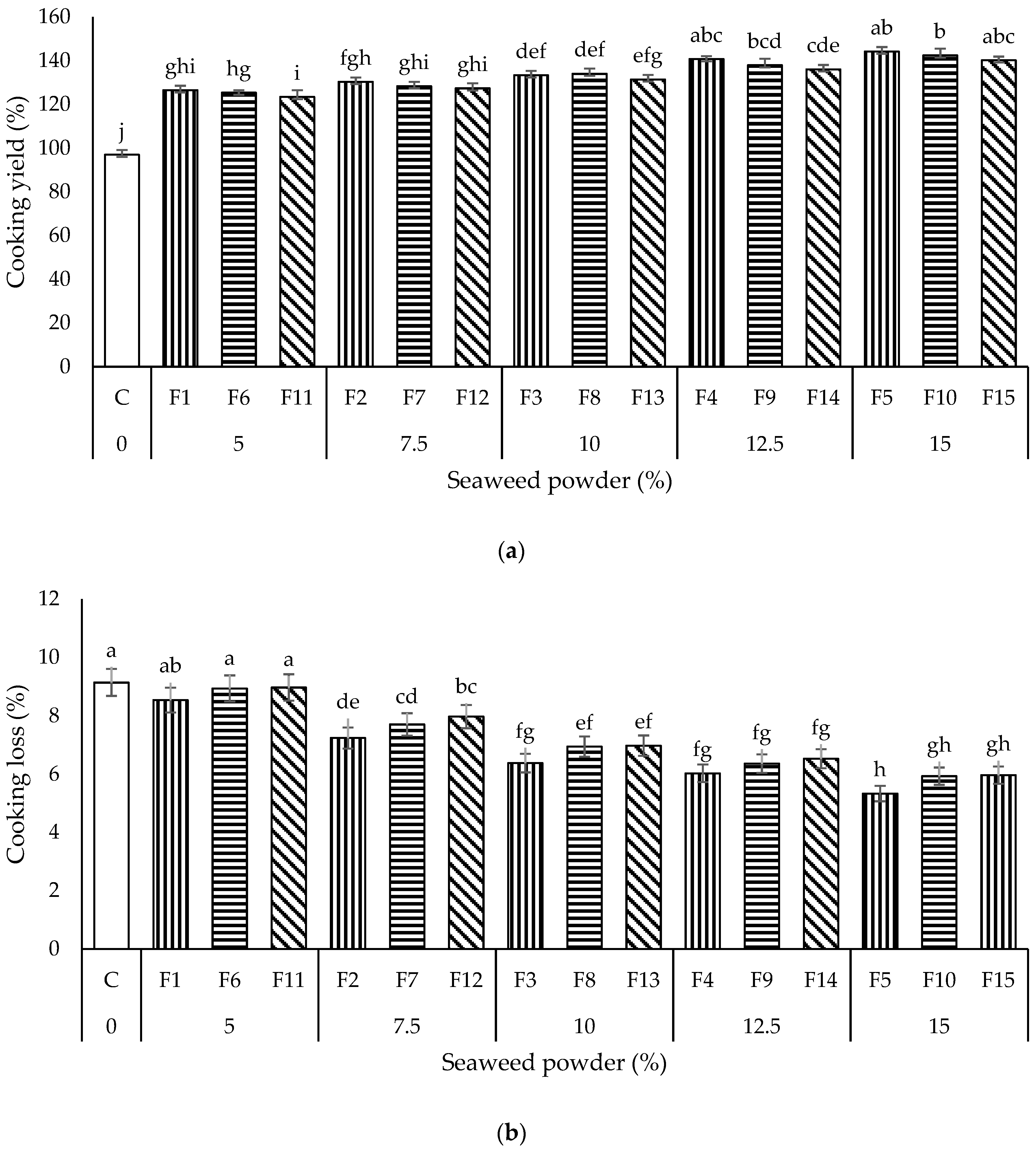
Cooking Yield
Cooking Loss
Optimum Cooking Time
3.1.2. Textural Quality
3.1.3. pH Measurement
3.1.4. Color Measurement
3.1.5. Water Activity Measurement (aw)
3.2. Sensory Evaluation
3.2.1. Ranking Test
3.2.2. Hedonic Test
4. Conclusions
Author Contributions
Funding
Institutional Review Board Statement
Informed Consent Statement
Data Availability Statement
Conflicts of Interest
References
- Qumbisa, N.; Ngobese, N.; Kolanisi, U. Potential of using Amaranthus leaves to fortify instant noodles in the south African context: A review. Afr. J. Food Agric. Nutr. Dev. 2020, 20, 16099–16111. [Google Scholar] [CrossRef]
- Prerana, S.; Anupama, D. Influence of carrot puree incorporation on quality characteristics of instant noodles. J. Food Process Eng. 2020, 43, e13270. [Google Scholar] [CrossRef]
- Global Demand for Instant Noodles. World Instant Noodle Association. 2019. Available online: https://instantnoodles.org/en/noodles/market.html (accessed on 12 August 2022).
- Adejuwon, O.H.; Jideani, A.I.; Falade, K.O. Quality and public health concerns of instant noodles as influenced by raw materials and processing technology. Food Rev. Int. 2020, 36, 276–317. [Google Scholar] [CrossRef]
- Obadi, M.; Xu, B. Review on the physicochemical properties, modifications, and applications of starches and its common modified forms used in noodle products. Food Hydrocoll. 2021, 112, 106286. [Google Scholar] [CrossRef]
- Pongpichaiudom, A.; Songsermpon, S. Evaluation of microstructure and quality characteristics of microwave-dried instant noodles enriched with chicken meat, egg yolk, and seaweed. J. Food Meas. Charact. 2018, 12, 22–34. [Google Scholar] [CrossRef]
- Khandaker, M.U.; Chijioke, N.O.; Heffny, N.A.B.; Bradley, D.A.; Alsubaie, A.; Sulieman, A.; Faruque, M.R.I.; Sayyed, M.; Al-Mugren, K. Elevated concentrations of metal (Loids) in seaweed and the concomitant exposure to humans. Foods 2021, 10, 381. [Google Scholar] [CrossRef]
- Nazarudin, M.F.; Alias, N.H.; Sharifuddin, N.; Abidin, A.Z.; Ikhsan, N.; Aliyu-Paiko, M.; Isha, A. Preliminary Evaluation of the Biochemical and Antioxidant Properties of Seaweed Species Predominantly Distributed in Peninsular Malaysia. J. Fish Environ. 2021, 45, 119–133. [Google Scholar]
- Padam, B.S.; Chye, F.Y. Seaweed components, properties, and applications. In Sustainable Seaweed Technologies; Elsevier: Amsterdam, The Netherlands, 2020; pp. 33–87. [Google Scholar]
- Shannon, E.; Abu-Ghannam, N. Seaweeds as nutraceuticals for health and nutrition. Phycologia 2019, 58, 563–577. [Google Scholar] [CrossRef]
- Arufe, S.; Della Valle, G.; Chiron, H.; Chenlo, F.; Sineiro, J.; Moreira, R. Effect of brown seaweed powder on physical and textural properties of wheat bread. Eur. Food Res. Technol. 2018, 244, 1–10. [Google Scholar] [CrossRef]
- Mamat, H.; Akanda, J.M.H.; Zainol, M.K.; Ling, Y.A. The influence of seaweed composite flour on the physicochemical properties of muffin. J. Aquat. Food Prod. Technol. 2018, 27, 635–642. [Google Scholar] [CrossRef]
- Balasubramaniam, V.; Aznyda, N.; Hussin, M.; Faradianna, L.; Aswir, A.; Fairulnizal, M.M. Effect of red edible seaweed Eucheuma denticulatum on diet-induced obesity In Vivo. J. Appl. Phycol. 2020, 32, 2407–2417. [Google Scholar] [CrossRef]
- Diharmia, A.; Fardiazb, D.; Andarwulan, N. Chemical and minerals composition of dried seaweed Eucheuma Spinosum collected from indonesia coastal sea regions. Int. J. Oceans Oceanogr. 2019, 13, 65–71. [Google Scholar]
- Onyango, C.; Luvitaa, S.K.; Lagat, K.; K’osambo, L. Impact of carrageenan copolymers from two red seaweed varieties on dough and bread quality. J. Appl. Phycol. 2021, 33, 3347–3356. [Google Scholar] [CrossRef]
- Nallasivam, J.; Prashanth, P.F.; Harisankar, S.; Nori, S.; Suryanarayan, S.; Chakravarthy, S.; Vinu, R. Valorization of red macroalgae biomass via hydrothermal liquefaction using homogeneous catalysts. Bioresour. Technol. 2022, 346, 126515. [Google Scholar] [CrossRef] [PubMed]
- Subroto, P.A.M.; Arsianti, A.; Putri, T.; Lesmana, E. Phytochemical analysis and anticancer activity of seaweed Eucheuma Sp. against colon HCT-116 cells. AIP Conf. Proc. 2019, 2092, 030015. [Google Scholar]
- Rawiwan, P.; Peng, Y.; Paramayuda, I.G.P.B.; Quek, S.Y. Red seaweed: A promising alternative protein source for global food sustainability. Trends Food Sci. Technol. 2022, 123, 37–56. [Google Scholar] [CrossRef]
- Agusman, M.; Wahyuni, T. The nutritional quality and preference of wheat noodles incorporated with Caulerpa sp. seaweed. Int. Food Res. 2020, 27, 445–453. [Google Scholar]
- Shahsavani, L.; Mostaghim, T. The effect of seaweed powder on physicochemical properties of yellow alkaline noodles. J. Food Sci. Technol. 2017, 7, 27–34. [Google Scholar]
- Fradinho, P.; Raymundo, A.; Sousa, I.; Domínguez, H.; Torres, M.D. Edible brown seaweed in gluten-free pasta: Technological and nutritional evaluation. Foods 2019, 8, 622. [Google Scholar] [CrossRef]
- Sholichah, E.; Kumalasari, R.; Indrianti, N.; Ratnawati, L.; Restuti, A.; Munandar, A. Physicochemical, Sensory, and Cooking Qualities of Gluten-free Pasta Enriched with Indonesian Edible Red Seaweed (Kappaphycus alvarezii). J. Food Nutr. Res. 2020, 9, 187–192. [Google Scholar] [CrossRef]
- Quitral, V.; Sepúlveda, M.; Gamero-Vega, G.; Jiménez, P. Seaweeds in bakery and farinaceous foods: A mini-review. Int. J. Gastron. Food Sci. 2021, 28, 100403. [Google Scholar] [CrossRef]
- Javaid, A.B.; Xiong, H.; Xiong, Z.; Ullah, I.; Wang, P. Effects of xanthan gum and sodium dodecyl sulfate on physico-chemical, rheological, and microstructure properties of non-fried potato instant noodles. Food Struct. 2021, 28, 100172. [Google Scholar] [CrossRef]
- AACC. Approved Methods of the American Association of Cereal Chemists, 11th ed.; American Association of Cereal Chemists: St. Paul, MN, USA, 2000. [Google Scholar]
- Tan, H.L.; Tan, T.C.; Easa, A.M. The use of selected hydrocolloids and salt substitutes on structural integrity, texture, sensory properties, and shelf life of fresh no salt wheat noodles. Food Hydrocoll. 2020, 108, 105996. [Google Scholar] [CrossRef]
- Llavata, B.; Albors, A.; Martin-Esparza, M.E. High fiber gluten-free fresh pasta with tiger nut, chickpea, and fenugreek: Technofunctional, sensory and nutritional properties. Foods 2020, 9, 11. [Google Scholar] [CrossRef]
- Tao, C.; Wang, K.; Liu, X.; Gou, E. Effects of potato starch on the properties of wheat dough and the quality of fresh noodles. CYTA J. Food 2020, 18, 427–434. [Google Scholar] [CrossRef]
- Tan, H.; Tan, T.C.; Easa, A.M. The use of selected hydrocolloids to enhance cooking quality and hardness of zero-salt noodles. Int. J. Food Sci. 2018, 53, 1603–1610. [Google Scholar] [CrossRef]
- Ministry of Health Malaysia. Instant Noodles; Malaysian Law on Food and Drugs; Malaysian Law Publishers: Kuala Lumpur, Malaysia, 1985.
- Debbarma, J.; Viji, P.; Rao, B.; Prasad, M. Nutritional and physical characteristics of noodles incorporated with green seaweed (Ulva reticulata) and fish (Pangasianodon hypophthalmus) mince. Indian J. Fish. 2017, 64, 90–95. [Google Scholar] [CrossRef]
- Lafarga, T.; Acién-Fernández, F.G.; Garcia-Vaquero, M. Bioactive peptides and carbohydrates from seaweed for food applications: Natural occurrence, isolation, purification, and identification. Algal Res. 2020, 48, 101909. [Google Scholar] [CrossRef]
- Pourmohammadi, K.; Abedi, E.; Amiri, M.J.; Daneshgar, M.H.; Torri, L. The effect of thermal processing and different concentrations of resistant starch on X-ray pattern, crystallization kinetics and morphological properties of noodles supplemented with wheat and corn resistant starch. J. Food Meas. Charact. 2019, 13, 3149–3161. [Google Scholar] [CrossRef]
- Torres, M.D.; Kraan, S.; Dominguez, H. Sustainable Seaweed Technologies: Cultivation, Biorefinery, and Applications; Elsevier: Amsterdam, The Netherlands, 2020. [Google Scholar]









| Formulations | Ingredients (%) | ||||
|---|---|---|---|---|---|
| WF: PS (Ratio) | SP | Water | Sodium Bicarbonate | Salt | |
| C (Control) | 64.7 (9:1) | 0 | 34 | 0.3 | 1 |
| F1 | 59.7 (9:1) | 5 | 34 | 0.3 | 1 |
| F2 | 57.2 (9:1) | 7.5 | 34 | 0.3 | 1 |
| F3 | 54.7 (9:1) | 10 | 34 | 0.3 | 1 |
| F4 | 52.2 (9:1) | 12.5 | 34 | 0.3 | 1 |
| F5 | 49.7 (9:1) | 15 | 34 | 0.3 | 1 |
| F6 | 59.7 (8:2) | 5 | 34 | 0.3 | 1 |
| F7 | 57.2 (8:2) | 7.5 | 34 | 0.3 | 1 |
| F8 | 54.7 (8:2) | 10 | 34 | 0.3 | 1 |
| F9 | 52.2 (8:2) | 12.5 | 34 | 0.3 | 1 |
| F10 | 49.7 (8:2) | 15 | 34 | 0.3 | 1 |
| F11 | 59.7 (7:3) | 5 | 34 | 0.3 | 1 |
| F12 | 57.2 (7:3) | 7.5 | 34 | 0.3 | 1 |
| F13 | 54.7 (7:3) | 10 | 34 | 0.3 | 1 |
| F14 | 52.2 (7:3) | 12.5 | 34 | 0.3 | 1 |
| F15 | 49.7 (7:3) | 15 | 34 | 0.3 | 1 |
| Noodles | Color | Texture (Elasticity) | Aroma | Seaweed Flavor | Taste | Mouthfeel | Saltiness | Stickiness | Overall Acceptability |
|---|---|---|---|---|---|---|---|---|---|
| F2 | 5.25 ± 1.24 a | 4.95 ± 1.32 a | 4.43 ± 0.93 a | 3.88 ± 1.38 a | 3.98 ± 1.54 a | 4.25 ± 1.43 a | 3.78 ± 1.37 a | 4.83 ± 1.08 a | 4.63 ± 1.23 a |
| F5 | 4.55 ± 1.60 b | 4.68 ± 1.46 a | 4.18 ± 1.13 ab | 3.98 ± 1.17 a | 3.75 ± 1.28 a | 3.58 ± 1.43 b | 3.95 ± 1.36 a | 4.05 ± 1.38 b | 4.63 ± 1.19 a |
| F12 | 3.68 ± 1.39 c | 3.65 ± 1.33 b | 3.73 ± 1.15 b | 2.83 ± 1.01 b | 2.30 ± 1.18 b | 2.70 ± 1.04 c | 3.35 ± 1.21 a | 3.75 ± 1.10 b | 3.60 ± 1.26 b |
Publisher’s Note: MDPI stays neutral with regard to jurisdictional claims in published maps and institutional affiliations. |
© 2022 by the authors. Licensee MDPI, Basel, Switzerland. This article is an open access article distributed under the terms and conditions of the Creative Commons Attribution (CC BY) license (https://creativecommons.org/licenses/by/4.0/).
Share and Cite
Koh, W.Y.; Matanjun, P.; Lim, X.X.; Kobun, R. Sensory, Physicochemical, and Cooking Qualities of Instant Noodles Incorporated with Red Seaweed (Eucheuma denticulatum). Foods 2022, 11, 2669. https://doi.org/10.3390/foods11172669
Koh WY, Matanjun P, Lim XX, Kobun R. Sensory, Physicochemical, and Cooking Qualities of Instant Noodles Incorporated with Red Seaweed (Eucheuma denticulatum). Foods. 2022; 11(17):2669. https://doi.org/10.3390/foods11172669
Chicago/Turabian StyleKoh, Wee Yin, Patricia Matanjun, Xiao Xian Lim, and Rovina Kobun. 2022. "Sensory, Physicochemical, and Cooking Qualities of Instant Noodles Incorporated with Red Seaweed (Eucheuma denticulatum)" Foods 11, no. 17: 2669. https://doi.org/10.3390/foods11172669
APA StyleKoh, W. Y., Matanjun, P., Lim, X. X., & Kobun, R. (2022). Sensory, Physicochemical, and Cooking Qualities of Instant Noodles Incorporated with Red Seaweed (Eucheuma denticulatum). Foods, 11(17), 2669. https://doi.org/10.3390/foods11172669

