Factors to Improve Publication Productivity in Russian Universities
Abstract
1. Introduction
- -
- Scientific and industrial cooperation;
- -
- Advanced infrastructure for research and development in the Russian Federation; and
- -
- Human resources in research and development.
2. Literature Review
3. Materials and Methods
3.1. Hypothesis 1 Hypothesis Testing
3.2. Questionnaires Aimed at Obtaining Quantitative Estimates of the Factors Affecting Publication Productivity
- Technical sciences, 21%;
- Medical sciences, 13%;
- Biological sciences–9%;
- Chemical sciences, 6%;
- Agricultural sciences, 11%;
- Economic sciences, 15%;
- Law sciences, 12%;
- Psychological sciences, 2%; and
- Art studies, 11%.
3.3. Determination of the Factors of Publication Productivity. Hypothesis 2 Hypothesis Testing
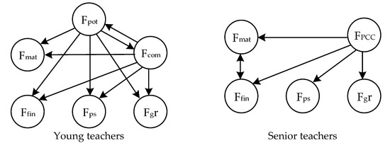
3.4. Hierarchical Structuring of Factors of Publication Productivity. Hypotheses 3 and Hypothesis 4 Hypothesis Testing
- -
- The coefficients of determination of the developed models (R2 = 0.81 for the model developed according to the questionnaire of young scientists, and R2 = 0.88 for the model developed according to the questionnaire of scientists of the older age);
- -
- Fisher F-test, the calculated values of which (139.4 and 146.1, respectively) exceed the critical value of 1.94; and
- -
- Normal distribution of the model residuals.
3.5. Hypothesis 5 Hypothesis Testing
- -
- Result indicators () with an average level of independent variables in the corresponding sample; and
- -
- Value of the result indicator (Y’) with an increase of 1% for each independent variable.
3.6. Data
- The university where you work? ____________
- Branch of science to which you belong?
- (a)
- technical sciences;
- (b)
- medical sciences;
- (c)
- biological sciences;
- (d)
- pedagogical sciences;
- (e)
- physical-mathematical sciences;
- (f)
- geographical sciences;
- (g)
- chemical sciences;
- (h)
- agricultural sciences;
- (i)
- economic sciences;
- (j)
- philological sciences;
- (k)
- historical sciences;
- (l)
- law sciences;
- (m)
- psychological sciences;
- (n)
- sociological sciences;
- (o)
- art studies;
- (p)
- your own variant ______.
- Your age:
- (a)
- under 39 years of age;
- (b)
- of 39 and over.
- The number of your articles citations in journals, indexed in Scopus and Web of Science, published over the past five years?
4. Results
- Scientific and pedagogical potential (professional competencies of the teacher); and
- Communicative competence (command of foreign languages) and international activity, which determines the possibilities of international scientific cooperation.
- The factor of professional growth prospects (Fgr);
- The factor of psychological satisfaction with the job (Fps);
- The factor of financial satisfaction (Ffin); and
- The factor of material and technical resources and working conditions (Fmat).
- Existence of a degree (values of binary ratings X2 and X3);
- Command of foreign language (Х7); and
- International activity (values Х9, Х10, Х12 and Х14).
5. Discussion
6. Conclusions
- In modern conditions, the priority areas of the model for managing the publication activity of universities in Russia should be a change from the extensive nature of the development of publication activity to an intensive one, based on creating conditions for improving the qualitative characteristics of scientific research and their importance in the world scientific community.
- In the management process, the structural difference between the management factors of young and senior researchers’ publication productivity should be considered. For young and senior teachers, the main factors influencing publication productivity are the scientific and pedagogical potential, communicative competencies and international activity, prospects for professional development and psychological satisfaction. The financial aspect is particularly crucial for older teachers. This confirms the existence of differences in factors contributing to the development of publication productivity in these groups.
- In current conditions, an effective method of publication productivity management in Russian universities is needed to improve staff quality. We should foster the growth of young teachers with a high degree and encourage the promotion of science as a prestigious activity among young people. In this regard, the development and implementation of models for scientific and pedagogical personnel management should also become a significant field for strategic transformation. This would contribute to the improvement of personnel potential for the higher education system in general.
7. Limitations and Study Forward
Author Contributions
Funding
Data Availability Statement
Acknowledgments
Conflicts of Interest
Appendix A
| Question Form | Binary Evaluation Value | Young Scientists, % | Senior Scientists, % | |||||||||
|---|---|---|---|---|---|---|---|---|---|---|---|---|
| Fpot 23.4 * | Fcom 20.6 | Fgr 16.4 | Fps 14.3 | Ffin 10.6 | Fmat 4% | FPCC 34.9 | Fgr 9.1 | Fps 18.6 | Ffin 29.7 | Fmat 4.8 | ||
| Marital status | Х1 | 0.11 | 0.31 | 0.16 | −0.24 | 0.46 | 0.02 | 0.23 | −0.54 | 0.12 | 0.06 | 0.22 |
| Doctoral degree | Х2 | 0.98 | 0.32 | 0.14 | −0.13 | 0.24 | 0.22 | 0.95 | 0.11 | 0.34 | 0.19 | −0.07 |
| Candidate degree | Х3 | 0.94 | 0.20 | 0.14 | 0.32 | −0.18 | −0.21 | 0.84 | 0.21 | −0.22 | 0.16 | −0.04 |
| University work under the terms of a long-term employment contract (more than 3 years) | Х4 | 0.75 | 0.53 | −0.44 | 0.05 | 0.36 | 0.04 | 0.70 | 0.29 | −0.11 | 0.08 | 0.12 |
| Senior position in the university | Х5 | 0.74 | −0.35 | 0.07 | −0.15 | 0.29 | 0.04 | 0.72 | −0.08 | 0.34 | −0.15 | 0.01 |
| Member of the Council on award of the degrees | Х6 | 0.66 | 0.24 | 0.16 | 0.34 | 0.08 | 0.16 | 0.75 | 0.15 | 0.34 | 0.19 | 0.31 |
| Command of one foreign language | Х7 | 0.16 | 0.85 | 0.14 | 0.28 | 0.17 | 0.07 | 0.87 | 0.41 | 0.32 | 0.19 | 0.21 |
| Command of two and more foreign languages | Х8 | 0.60 | 0.79 | 0.39 | 0.51 | 0.49 | 0.30 | 0.76 | 0.27 | 0.39 | 0.57 | 0.34 |
| Work on the dissertation abroad (in the current or retrospective period) | Х9 | 0.37 | 0.87 | 0.11 | 0.21 | −0.34 | 0.18 | 0.90 | 0.37 | 0.11 | −0.04 | 0.31 |
| Participation in foreign conferences | Х10 | 0.19 | 0.93 | 0.04 | 0.09 | 0.11 | 0.09 | 0.92 | 0.31 | 0.16 | 0.08 | 0.01 |
| Organization of international conferences | Х11 | 0.61 | 0.74 | 0.24 | 0.35 | 0.51 | 0.18 | 0.70 | 0.09 | 0.27 | 0.29 | 0.04 |
| Internship abroad | Х12 | 0.29 | 0.91 | 0.28 | 0.09 | −0.02 | 0.01 | 0.88 | 0.21 | 0.18 | 0.31 | 0.01 |
| Participation in international scientific or pedagogical projects | Х13 | 0.19 | 0.78 | 0.37 | 0.11 | 0.06 | 0.03 | 0.72 | 0.18 | 0.14 | 0.14 | 0.09 |
| Teaching abroad | Х14 | 0.09 | 0.86 | 0.11 | 0.18 | 0.11 | 0.04 | 0.85 | 0.34 | 0.19 | 0.13 | 0.09 |
| Management of international scientific projects | Х15 | 0.61 | 0.73 | 0.28 | 0.41 | 0.34 | 0.09 | 0.71 | 0.26 | 0.27 | 0.19 | 0.05 |
| When you were a student, you formed an opinion that science is prestigious | Х16 | 0.89 | 0.38 | 0.25 | 0.31 | 0.20 | 0.04 | 0.68 | 0.31 | 0.31 | 0.14 | 0.24 |
| You started participating in the scientific research being a student | Х17 | 0.87 | 0.21 | 0.34 | 0.29 | 0.21 | 0.09 | 0.63 | 0.25 | 0.28 | 0.16 | 0.09 |
| More than one job (official or unofficial) | Х18 | 0.74 | 0.16 | 0.16 | 0.28 | 0.20 | 0.1 | 0.82 | 0.29 | 0.19 | 0.34 | 0.31 |
| You enjoy your job | Х19 | 0.18 | 0.19 | 0.28 | 0.87 | 0.19 | 0.19 | 0.13 | 0.19 | 0.87 | 0.18 | 0.18 |
| University promotes personal development | Х20 | 0.28 | 0.11 | 0.89 | 0.36 | 0.18 | 0.05 | 0.24 | 0.71 | 0.16 | 0.21 | 0.28 |
| Your university provides career opportunities | Х21 | 0.26 | 0.24 | 0.86 | 0.34 | 0.08 | 0.16 | 0.25 | 0.70 | 0.34 | 0.19 | 0.31 |
| Scientific consulting for organizations over the past 5 years | Х22 | 0.76 | 0.34 | 0.25 | 0.54 | 0.06 | 0.04 | 0.71 | 0.21 | 0.24 | 0.08 | 0.02 |
| Academic advising for students (top places in national and international competitions of scientific works) | Х23 | 0.73 | 0.32 | 0.18 | 0.29 | −0.08 | 0.43 | 0.71 | 0.06 | 0.36 | −0.04 | 0.06 |
| The university where you work provides the opportunity for professional growth | Х24 | 0.27 | 0.13 | 0.95 | 0.21 | 0.06 | 0.13 | 0.11 | 0.71 | 0.21 | 0.08 | 0.05 |
| You are satisfied with the payment for the scientific activities results | Х25 | 0.34 | 0.06 | 0.51 | 0.38 | 0.79 | 0.02 | 0.21 | 0.01 | 0.68 | 0.98 | 0.04 |
| You repeatedly received awards for your scientific activities | Х26 | 0.26 | 0.34 | 0.11 | 0.41 | 0.67 | −0.03 | 0.29 | 0.30 | 0.24 | 0.91 | −0.08 |
| Your university is characterized with full external financing of the publication productivity (from the university, state, foundations, other countries) | Х27 | 0.21 | 0.31 | 0.31 | 0.11 | 0.75 | 0.11 | 0.11 | 0.25 | 0.26 | 0.92 | 0.24 |
| Your university is characterized with partial external financing of the publication productivity (from the university, state, foundations, other countries) | Х28 | 0.16 | 0.25 | 0.27 | 0.11 | 0.77 | 0.28 | 0.19 | −0.01 | 0.21 | 0.98 | 0.28 |
| You are satisfied with the university benefits package | Х29 | 0.14 | 0.49 | 0.06 | 0.19 | 0.71 | 0.16 | 0.38 | 0.34 | 0.02 | 0.91 | 0.10 |
| Work at the university attracts you because of a long vacation | Х30 | 0.16 | 0.26 | 0.05 | 0.13 | 0.27 | 0.76 | 0.31 | 0.29 | 0.01 | 0.37 | 0.75 |
| You have the opportunity for the creative development in the university | Х31 | 0.38 | 0.06 | 0.94 | 0.09 | 0.21 | 0.11 | 0.42 | 0.72 | 0.23 | 0.41 | 0.05 |
| You get psychological satisfaction with scientific activity | Х32 | 0.11 | 0.27 | 0.19 | 0.80 | 0.27 | 0.01 | 0.26 | 0.08 | 0.92 | 0.05 | 0.24 |
| You have the opportunity for self-expression in the scientific activity | Х33 | 0.62 | 0.09 | 0.34 | 0.78 | 0.23 | 0.11 | 0.31 | 0.31 | 0.92 | 0.55 | 0.06 |
| Your university is characterized by a developed material and technical base for scientific activity | Х34 | 0.01 | 0.34 | 0.41 | 0.17 | 0.31 | 0.77 | 0.16 | 0.41 | 0.31 | 0.19 | 0.81 |
| You are credible at the university | Х35 | 0.36 | 0.19 | 0.19 | 0.71 | 0.19 | 0.12 | 0.16 | 0.02 | 0.89 | 0.21 | 0.20 |
| The total share of dispersion—89% | Total share of dispersion—97% | |||||||||||
, significant factor weight, ≥ |0.7|; Fpot, the factor of scientific and pedagogical potential; Fcom, the factor of communicative competencies and international activity; Fmat, the factor of professional and communicative competence and international activity; Fgr, the factor of professional growth prospects; Fps, the factor of psychological satisfaction with the job; Ffin, the factor of financial satisfaction; Fmat, the factor of material and technical resources and working conditions.References
- Vasiljeva, M.; Ponkratov, V.; Volkova, T.; Khairova, S.; Nikitina, N.; Dudnik, O.; Alimova, M.; Kuznetsov, N.; Elyakova, I. The Development of Scientific Activity in Russian Universities. J. Open Innov. Technol. Mark. Complex. 2020, 6, 110. [Google Scholar] [CrossRef]
- Bohdan, N. Education and science for innovative development of the Eurasian Economic Union countries (Russia, Belarus, Kazakhstan, Armenia, Kyrgyzstan). In The Essence of Academic Performance; Nchindila, B., Corrigan, T., Eds.; IntechOpen: London, UK, 2019. [Google Scholar] [CrossRef]
- Gardanova, Z.; Ponkratov, V.; Kuznetsov, N.; Nikitina, N.; Dudnik, O.; Latypova, E.; Shcherbatykh, S. A model for optimizing the structure of teaching techniques for distance learning in the Russian higher education system. J. Open Innov. 2020, 6, 147. [Google Scholar] [CrossRef]
- Van Norman, G.A.; Eisenkot, R. Technology transfer: From the research bench to commercialization: Part 2: The commercialization process. JACC Basic Transl. Sci. 2017, 2, 197–208. [Google Scholar] [CrossRef]
- Hicks, D. Performance-based university research funding system. Res. Policy 2012, 41, 251–261. [Google Scholar] [CrossRef]
- Osipov, G.; Karepova, S.; Ponkratov, V.; Karaev, A.; Masterov, A.; Vasiljeva, M. Economic and mathematical methods for ranking Eastern European universities. IEMS 2020, 19, 273–288. [Google Scholar] [CrossRef]
- Kosyakov, D.; Guskov, A. Impact of national science policy on academic migration and research productivity in Russia. Procedia Comput. Sci. 2019, 146, 60–71. [Google Scholar] [CrossRef]
- Bordons, M.; Fernández, M.T.; Gómez, I. Advantages and limitations in the use of impact factor measures for the assessment of research performance. Scientometrics 2002, 53, 195–206. [Google Scholar] [CrossRef]
- Hicks, D.; Wouters, P.; Waltman, L.; de Rijcke, S.; Rafols, I. Bibliometrics: The Leiden Manifesto for research metrics. Nature 2015, 520, 429–431. [Google Scholar] [CrossRef]
- Stephan, P. Perverse incentives. Nature 2012, 484, 29–31. [Google Scholar] [CrossRef] [PubMed]
- Weingart, P. Impact of bibliometrics upon the science system: Inadvertent consequences? Scientometrics 2005, 62, 117–131. [Google Scholar] [CrossRef]
- Ball, P. Index aims for fair ranking of scientists. Nature 2005, 436, 900. [Google Scholar] [CrossRef]
- Moed, H.F. New developments in the use of citation analysis in research evaluation. AITE 2009, 57, 13. [Google Scholar] [CrossRef]
- Erokhina, E. Russian Science at Scopus and WoS: Quantity or Quality. Indicator. 2019. Available online: https://indicator.ru/article/2019/02/08/rossijskaya-nauka-v-scopus-i-wos-kolichestvo-ili-kachestvo/ (accessed on 10 January 2021).
- Ministry of Science and Higher Education of the Russian Federation. Publication Productivity in Russia: What Do Scopus and Web of Science Say? 2019. Available online: https://www.5top100.ru/en/news/100908/ (accessed on 12 January 2021).
- Podtserob, M. Why Russian Universities Do Not Raise High in International Rankings. Vedomosti. 2017. Available online: https://www.vedomosti.ru/management/articles/2017/10/17/738144-vuzi-ne-podnimayutsya (accessed on 15 January 2021).
- QS Rating: 10 Russian Universities Entered the Top 100 in Selected Specializations. Indicator. 2019. Available online: https://indicator.ru/news/2019/02/26/rejting-qs-2019/ (accessed on 15 January 2021).
- Presidium of the Presidential Council for Strategic Development and National Projects. National Project. Science. 2018. Available online: http://www.rshu.ru/university/science/documents/get_file.php?id=59 (accessed on 15 January 2021).
- Ministry of Science and Higher Education of the Russian Federation. Draft Order “On the Approval of Performance Indicators for Federal Budget and Autonomous Educational Institutions of Higher Education, Subordinate to the Ministry of Science and Higher Education of the Russian Federation, and the Work of Their Leaders”. 2019. Available online: https://regulation.gov.ru/projects#npa=93569 (accessed on 15 January 2021).
- Orbay, K.; Miranda, R.; Orbay, M. Building Journal Impact Factor Quartile into the Assessment of Academic Performance: A Case Study. Particip. Educ. Res. 2020, 7. [Google Scholar] [CrossRef]
- Akhmetova, Y.M.; Mukhametzyanova, L.K. Youth in Science: Development of a Young Scientist. Theory Pract. Soc. Dev. 2013, 6, 48–50. Available online: http://teoria-practica.ru/rus/files/arhiv_zhurnala/2013/6/s%D0%BEci%D0%BEl%D0%BEgiy%D0%B0/akhmetova-mukhametzyanova.pdf (accessed on 15 January 2021).
- Rybakov, A.V. The role of young scientists in strengthening the scientific potential of the academy. Sci. Educ. Probl. Civ. Secur. 2019, 1, 1–3. [Google Scholar]
- Ryan, J.C.; Berbegal-Mirabent, J. Motivational recipes and research performance: A fuzzy set analysis of the motivational profile of high performing research scientists. J. Bus. Res. 2016, 69, 5299–5304. [Google Scholar] [CrossRef]
- Bornmann, L. Does the normalized citation impact of universities profit from certain properties of their published documents—Such as the number of authors and the impact factor of the publishing journals? A multilevel modeling approach. J. Inform. 2019, 13, 170–184. [Google Scholar] [CrossRef]
- Sathianathen, N.J.; Lane, R., III; Murphy, D.G.; Loeb, S.; Bakker, C.; Lamb, A.D.; Weight, C.J. Social media coverage of scientific articles immediately after publication predicts subsequent citations—Some_Impact Score: Observational analysis. J. Med. Internet Res. 2020, 22, e12288. [Google Scholar] [CrossRef] [PubMed]
- About KTH Royal Institute of Technology. Times Higher Education. 2019. Available online: https://www.timeshighereducation.com/world-university-rankings/kth-royal-institute-technology (accessed on 17 January 2021).
- Matthews, D. Academics Who Publish Frequently Have More Highly Cited Articles. Times Higher Education. 2019. Available online: https://www.timeshighereducation.com/news/academics-who-publish-frequently-have-more-highly-cited-articles (accessed on 17 January 2021).
- Else, H. The 1 Percent at the Centre of Research. Times Higher Education. 2019. Available online: https://www.timeshighereducation.com/news/the-1-per-cent-at-the-centre-of-research/2014812.article (accessed on 17 January 2021).
- Larivière, V.; Costas, R. How many is too many? On the relationship between research productivity and impact. PLoS ONE 2016, 11, e0162709. [Google Scholar] [CrossRef]
- Baker, S. Research Publications: Does Piling Them High Sell Them Short? Times Higher Education. 2019. Available online: https://www.timeshighereducation.com/features/research-publications-does-piling-them-high-sell-them-short?fbclid=IwAR240vJ_ylX1KSrp70RZD7W8XW1MxRonI7Afs-K1BFncmnpGOhtV7k6r6P4 (accessed on 15 January 2021).
- Kolesnikov, S.; Fukumoto, E.; Bozeman, B. Researchers’ risk-smoothing publication strategies: Is productivity the enemy of impact? Scientometrics 2018, 116, 1995–2017. [Google Scholar] [CrossRef]
- Tarango, J.; Machin-Mastromatteo, J.D. Chapter 4—An Academic Model to Support Scientific Production and Communication. The Role of Information Professionals in the Knowledge Economy. Chandos Publ. 2017, 103–128. [Google Scholar] [CrossRef]
- Becker, G. The Economic Approach to Human Behavior; University of Chicago Press: Chicago, IL, USA, 2013. [Google Scholar]
- Klein, P.G.; Cook, M.L.T.W. Schultz and the human-capital approach to entrepreneurship. Rev. Agric. Econ. 2006, 28, 344–350. [Google Scholar] [CrossRef]
- Katchanov, Y.L.; Shmatko, N.A. Complexity-based modeling of scientific capital: An outline of mathematical theory. Int. J. Math. Math. Sci. 2014, 785058. [Google Scholar] [CrossRef][Green Version]
- Mongardini, C.; Tabboni, S. (Eds.) Robert K. Merton and Contemporary Sociology; Routledge: London, UK, 2018. [Google Scholar]
- Yusuf, F.N.; Omolayo, B.O.; Azikiwe, J.C. Influence of gender, work environment, length of service and age of academic staff on attitude to work. People: Int. J. Soc. Sci. 2015, 2, 1481–1489. [Google Scholar] [CrossRef][Green Version]
- Fox, M.F. Gender, family characteristics, and publication productivity among scientists. Soc. Stud. Sci. 2005, 35, 131–150. [Google Scholar] [CrossRef]
- Roshchina, Ya. M.; Yudkevich, M.M. Factors of research activities of university teachers: Administration policy, contract incompleteness or environmental impact? Educ. Issues 2009, 3, 203–228. [Google Scholar]
- Birkmaier, D.; Wohlrabe, K. The Matthew effect in economics reconsidered. J. Inform. 2014, 8, 880–889. [Google Scholar] [CrossRef]
- Hermanowicz, J.C. What does it take to be successful? Sci. Technol. Hum. Values 2006, 31, 135–152. [Google Scholar] [CrossRef]
- Grebennikova, V.M.; Bonkalo, T.I.; Nikitina, N.I.; Gardanova, Z.R.; Grebennikov, O.V. A Study of Personality Factors in Inclusive Vocational Education: The Case of Russia. Revista Espacios, 40. 2019. Available online: https://www.scopus.com/inward/record.uri?eid=2-s2.0-85077436132&partnerID=40&md5=0076cff63e696d8e68101eb1905d2831 (accessed on 15 January 2021).
- Hesli, V.L.; Lee, J.M. Faculty research productivity: Why do some of our colleagues publish more than others? PS Political Sci. Politics 2011, 44, 393–408. [Google Scholar] [CrossRef]
- Silman, F. Work-related basic need satisfaction as a predictor of work engagement among academic staff in Turkey. S. Afr. J. Educ. 2014, 34, 1–5. [Google Scholar] [CrossRef]
- Lee, S.; Bozeman, B. The impact of research collaboration on scientific productivity. Soc. Stud. Sci. 2005, 35, 673–702. [Google Scholar] [CrossRef]
- Carayol, N.; Matt, M. Individual and collective determinants of academic scientists’ productivity. Inf. Econ. Policy 2006, 18, 55–72. [Google Scholar] [CrossRef]
- Zhang, M.; Zhang, G.; Liu, Y.; Zhai, X.; Han, X. Scientists’ genders and international academic collaboration: An empirical study of Chinese universities and research institutes. J. Informetr. 2020, 14, 101068. [Google Scholar] [CrossRef]
- Jump, P. Metrics: How to Handle Them Responsibly. Times Higher Education. 2019. Available online: https://www.timeshighereducation.com/features/metrics-how-to-handle-them-responsibly (accessed on 17 January 2021).
- Reid, N. Statistical sufficiency. In International Encyclopedia of the Social & Behavioral Sciences; Wright, J.D., Ed.; Elsevier: Amsterdam, The Netherlands, 2015; pp. 418–422. [Google Scholar] [CrossRef]
- Rousseau, R.; Egghe, L.; Guns, R. Statistics. In Becoming Metric-Wise; Rousseau, R., Egghe, L., Guns, R., Eds.; Chandos Publishing: Amsterdam, The Netherlands, 2018; pp. 67–97. [Google Scholar] [CrossRef]
- Menke, W. Factor analysis. In Geophysical Data Analysis, 4th ed.; Menke, W., Ed.; Academic Press: Cambridge, MA, USA, 2018; Chapter 10; pp. 207–222. [Google Scholar] [CrossRef]
- Kühn, D.; Osthus, D.; Townsend, T.; Zhao, Y. On the structure of oriented graphs and digraphs with forbidden tournaments or cycles. J. Comb. Theory, Ser. B 2017, 124, 88–127. [Google Scholar] [CrossRef]
- Scimago Journal & Country Rank. 2019. Available online: https://www.scimagojr.com/countryrank.php (accessed on 17 January 2021).
- Butler, L. What happens when funding is linked to publication counts. In Handbook of Quantitative Science and Technology Research; Moed, H.F., Glänzel, W., Schmoch, U., Eds.; Kluwer Academic Publishers: Amsterdam, The Netherlands, 2005; pp. 389–405. [Google Scholar] [CrossRef]
- Delgado, R.-M.; Tarango, J.; Machin-Mastromatteo, J.D. Scientific evaluation models in Latin America and the criteria for assessing researchers. Inf. Dev. 2020, 36, 457–467. [Google Scholar] [CrossRef]
- Pavelieva, T.Y. About the Prestige of a Scientist Profession. Socio-Political Sci. 2016, 3, 145–147. Available online: https://rucont.ru/efd/565350 (accessed on 20 January 2021).


| Country/Lag | t − 1 | t − 2 | t − 3 | t − 4 | t − 5 | t − 6 |
|---|---|---|---|---|---|---|
| China | 0.875 | 0.950 | 0.971 | 0.973 | 0.657 | 0.556 |
| United States | −0.612 | −0.525 | −0.427 | −0.305 | −0.135 | 0.061 |
| Japan | 0.593 | 0.703 | 0.649 | 0.622 | 0.389 | 0.172 |
| Germany | −0.414 | −0.231 | 0.018 | 0.308 | 0.570 | 0.757 |
| India | 0.599 | 0.799 | 0.906 | 0.945 | 0.953 | 0.941 |
| France | −0.425 | −0.284 | −0.080 | 0.150 | 0.418 | 0.597 |
| United Kingdom | −0.434 | −0.274 | −0.061 | 0.186 | 0.471 | 0.670 |
| Russian Federation | −0.726 | −0.543 | −0.328 | −0.163 | −0.095 | 0.001 |
| Spain | 0.361 | 0.113 | 0.595 | 0.767 | 0.868 | 0.929 |
| South Korea | 0.586 | 0.786 | 0.910 | 0.966 | 0.986 | 0.989 |
| Italy | −0.312 | −0.131 | 0.109 | 0.364 | 0.528 | 0.639 |
| Canada | −0.263 | −0.069 | 0.155 | 0.395 | 0.569 | 0.737 |
| Poland | 0.316 | 0.611 | 0.779 | 0.867 | 0.899 | 0.910 |
| Australia | 0.127 | 0.443 | 0.710 | 0.870 | 0.946 | 0.971 |
| Brazil | 0.137 | 0.368 | 0.538 | 0.674 | 0.739 | 0.787 |
| Iran | 0.826 | 0.926 | 0.960 | 0.971 | 0.962 | 0.945 |
| Taiwan | 0.578 | 0.777 | 0.906 | 0.960 | 0.947 | 0.885 |
| Switzerland | −0.120 | 0.152 | 0.450 | 0.681 | 0.858 | 0.939 |
| The Netherlands | −0.177 | 0.076 | 0.360 | 0.624 | 0.831 | 0.923 |
| Factor Description | Indicators that Formed Each Factor | Teachers (Dispersion, %) | |||
|---|---|---|---|---|---|
| Young | Senior | Young | Senior | ||
| The factor of scientific and pedagogical potential | Fpot | Х2–Х5, Х16–Х18, Х22–Х23 | - | 23.4 | - |
| The factor of communicative competencies and international activity | Fcom | Х7–Х15 | - | 20.6 | - |
| The factor of professional and communicative competence and international activity | FPCC | - | Х2–Х15, Х18, Х22–Х23 | - | 34.9 |
| The factor of professional growth prospects | Fgr | Х20–Х21, Х24, Х31 | Х20–Х21, Х24, Х31 | 16.4 | 9.1 |
| The factor of psychological satisfaction with the job | Fps | Х19, Х32–Х33, Х35 | Х19, Х32–Х33, Х35 | 14.3 | 18.6 |
| The factor of financial satisfaction | Ffin | Х25, Х27–Х29 | Х25–Х29 | 10.6 | 29.7 |
| The factor of material and technical resources and working conditions | Fmat | Х30, Х34 | Х30, Х34 | 4.0 | 4.8 |
| Young Teachers | Senior Teachers | ||||||||
|---|---|---|---|---|---|---|---|---|---|
| i | S(zi) | P(zi) | S(zi)∩ P(zi) | Hierarchy Level | i | S(zi) | P(zi) | S(zi)∩ P(zi) | Hierarchy Level |
| First iteration | First iteration | ||||||||
| Fpot | Fpot, Fcom, Fgr, Fps, Ffin, Fmat | Fpot, Fcom | Fpot, Fcom | 1 | FPCC | FPCC, Fgr, Fps, Ffin, Fmat | FPCC | FPCC | 1 |
| Fcom | Fpot, Fcom, Fgr, Fps, Ffin, Fmat | Fpot, Fcom | Fpot, Fcom | 1 | Fgr | Fgr | Fgr, FPCC | Fgr | - |
| Fgr | Fgr | Fpot, Fcom, Fgr | Fgr | - | Fps | Fps | Fps, FPCC | Fps | - |
| Fps | Fps | Fpot, Fcom, Fps | Fps | - | Ffin | Ffin, Fmat | Ffin, FPCC | Ffin | - |
| Ffin | Ffin | Fpot, Fcom, Ffin | Ffin | - | Fmat | Fmat, Ffin | Fmat, FPCC, Ffin | Fmat, Ffin | - |
| Fmat | Fmat | Fpot, Fcom, Fmat | Fmat | - | |||||
| Second iteration | Second iteration | ||||||||
| Fgr | Fgr | Fgr | Fgr | 2 | Fgr | Fgr | Fgr | Fgr | 2 |
| Fps | Fps | Fps | Fps | 2 | Fps | Fps | Fps | Fps | 2 |
| Ffin | Ffin | Ffin | Ffin | 2 | Ffin | Ffin, Fmat | Ffin | Ffin | 2 |
| Fmat | Fmat | Fmat | Fmat | 2 | Fmat | Fmat, Ffin | Fmat, Ffin | Fmat, Ffin | 2 |
| Model | Statistical Significance Indicators | ||||
|---|---|---|---|---|---|
| R21 | Femp2 | Ftab3 | Temp4 | ttab5 | |
| Young scientists | |||||
| Y = 0.44 × X2 + 0.37 × X3 + 0.29 × X7 + + 0.36 × X9 + 0.39 × X10 + 0.34 × X12 + + 0.33 × X14 + 0.33 × X16 + 0.32 × X17 − 0.28 | 0.81 | 139.4 | 1.94 | tХ2 = 8.11; tХ3 = 7.11; tХ7 = 3.95; tХ9 = 4.94; tХ10 = 6.91; t Х12 = 5.91; t Х14 = 4.38; t Х16 = 5.38; t Х17 = 4.99 | 1.96 |
| Senior scientists | |||||
| Y = 0.58 × X2 + 0.26 × X3 + 0.33 × X7 + + 0.33 × X9 + 0.41 × X10 + 0.40 × X12 + + 0.25 × X14 + 0.31 × X18 + 1.29 | 0.88 | 146.1 | 1.94 | tХ2 = 7.98; tХ3 = 3.28; tХ7 = 4.18; tХ9 = 5.73; tХ10 = 6.39; t Х12 = 5.09; t Х14 = 3.98; t Х18 = 2.48 | 1.96 |
| Value | Elasticity Coefficient Value, % | |
|---|---|---|
| For Young Teachers | For Senior Teachers | |
| Х2 | 0.08 | 0.16 |
| Х3 | 0.31 | 0.06 |
| Х7 | 0.08 | 0.02 |
| Х9 | 0.03 | 0.01 |
| Х10 | 0.14 | 0.11 |
| Х12 | 0.19 | 0.13 |
| Х14 | 0.02 | 0.01 |
Publisher’s Note: MDPI stays neutral with regard to jurisdictional claims in published maps and institutional affiliations. |
© 2021 by the authors. Licensee MDPI, Basel, Switzerland. This article is an open access article distributed under the terms and conditions of the Creative Commons Attribution (CC BY) license (https://creativecommons.org/licenses/by/4.0/).
Share and Cite
Vasiljeva, М.V.; Osipov, G.V.; Ponkratov, V.V.; Ivlev, V.J.; Ivleva, M.I.; Karepova, S.G.; Gardanova, Z.R.; Dudnik, O.V. Factors to Improve Publication Productivity in Russian Universities. Publications 2021, 9, 21. https://doi.org/10.3390/publications9020021
Vasiljeva МV, Osipov GV, Ponkratov VV, Ivlev VJ, Ivleva MI, Karepova SG, Gardanova ZR, Dudnik OV. Factors to Improve Publication Productivity in Russian Universities. Publications. 2021; 9(2):21. https://doi.org/10.3390/publications9020021
Chicago/Turabian StyleVasiljeva, Мarina V., Gennady V. Osipov, Vadim V. Ponkratov, Vitali Ju. Ivlev, Marina I. Ivleva, Svetlana G. Karepova, Zhanna R. Gardanova, and Olesya V. Dudnik. 2021. "Factors to Improve Publication Productivity in Russian Universities" Publications 9, no. 2: 21. https://doi.org/10.3390/publications9020021
APA StyleVasiljeva, М. V., Osipov, G. V., Ponkratov, V. V., Ivlev, V. J., Ivleva, M. I., Karepova, S. G., Gardanova, Z. R., & Dudnik, O. V. (2021). Factors to Improve Publication Productivity in Russian Universities. Publications, 9(2), 21. https://doi.org/10.3390/publications9020021
