Polishing of Monolithic Zirconia Crowns—Results of Different Dental Practitioner Groups
Abstract
1. Introduction
2. Materials and Methods
2.1. Preparation of the Specimens
2.2. Surface Roughness Determination
2.3. Selection/Composition of the Practitioner Groups
- I:
- clinical dental students (n = 6),
- II:
- dentists > 2 years of post-qualification experience (n = 6),
- III:
- dentists < 2 years of post-qualification experience (n = 6) and six participants were technicians from a commercial local laboratory,
- IV:
- dental technicians (n = 6).
2.4. Polishing the Specimens
2.5. Statistical Analysis
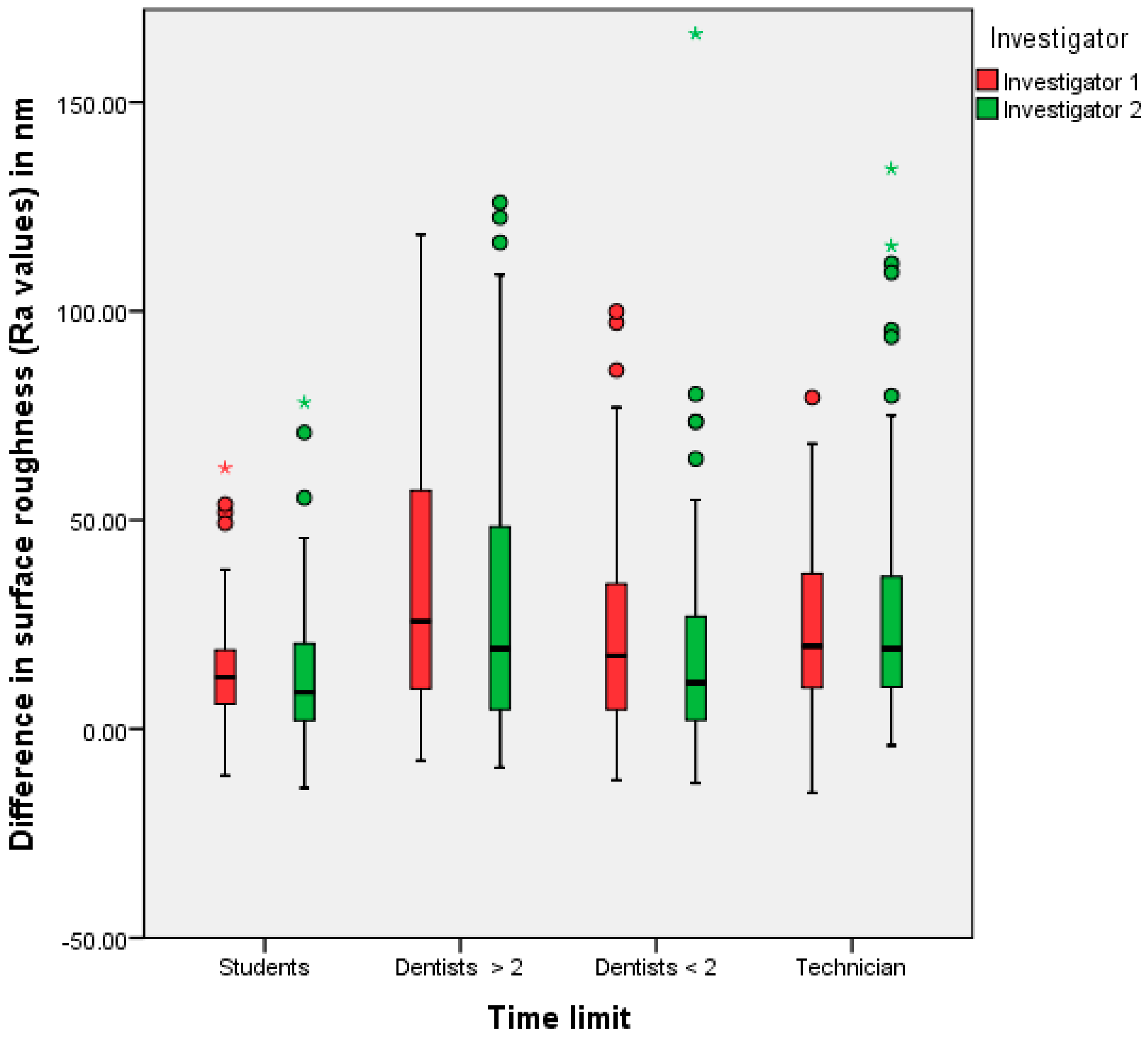
3. Results
4. Discussion
5. Conclusions
Acknowledgments
Author Contributions
Conflicts of Interest
References
- Shenoy, A.; Shenoy, N. Dental ceramics: An update. J. Conserv. Dent. 2010, 13, 195–203. [Google Scholar] [CrossRef] [PubMed]
- Gins, C. Wunsch und Wirklichkeit. Thieme E-J. ZWR Das Dtsch. Zahnärzteblatt 2012, 121, 129. [Google Scholar]
- Qualtrough, A.J.E.; Piddock, V. Ceramics update. J. Dent. 1997, 25, 91–95. [Google Scholar] [CrossRef]
- Pospiech, P.; Tinschert, J.; Raigrodski, A. Keramik Vollkeramik—Ein Kompendium Für Die Keramikgerechte Anwendung Vollkeramischer Systeme in Der Zahnmedizin; 3M ESPE: Seefeld, Germany, 2004. [Google Scholar]
- Giordano, R.A.; Pelletier, L.; Campbell, S.; Pober, R. Flexural strength of an infused ceramic, glass ceramic, and feldspathic porcelain. J. Prosthet. Dent. 1995, 73, 411–418. [Google Scholar] [CrossRef]
- Kelly, J.R. Clinically relevant approach to failure testing of all-ceramic restorations. J. Prosthet. Dent. 1999, 81, 652–661. [Google Scholar] [CrossRef]
- Sailer, I.; Fehér, A.; Filser, F.; Gauckler, L.J.; Lüthy, H.; Hämmerle, C.H. Five-year clinical results of zirconia frameworks for posterior fixed partial dentures. Int. J. Prosthodont. 2007, 20, 383–388. [Google Scholar] [PubMed]
- Sailer, I.; Pjetursson, B.E.; Zwahlen, M.; Hämmerle, C.H. A systematic review of the survival and complication rates of all-ceramic and metal-ceramic reconstructions after an observation period of at least 3 years. Part II: Fixed dental prostheses. Clin. Oral Implant. Res. 2007, 18, 86–96. [Google Scholar] [CrossRef] [PubMed]
- Schmitter, M.; Mueller, D.; Rues, S. Chipping behaviour of all-ceramic crowns with zirconia framework and CAD/CAM manufactured veneer. J. Dent. 2012, 40, 154–162. [Google Scholar] [CrossRef] [PubMed]
- Heintze, S.; Rousson, V. Survival of Zirconia- and Metal-Supported Fixed Dental Prostheses: A Systematic Review. Int. J. Prosthodont. 2010, 23, 493–502. [Google Scholar] [PubMed]
- Beuer, F. Zirkoniumdioxid-Restaurationen: Ein Behandlungsleitfaden von A wie Auswahl der Patienten bis Z wie Zementieren. ZWR Das Dtsch. Zahnärzteblatt 2007, 116, 21–24. [Google Scholar] [CrossRef]
- Beuer, F.; Edelhoff, D.; Gernet, W.; Sorensen, J.A. Three-year clinical prospective evaluation of zirconia-based posterior fixed dental prostheses (FDPs). Clin. Oral Investig. 2009, 13, 445. [Google Scholar] [CrossRef] [PubMed]
- Beuer, F.; Schweiger, J.; Eichberger, M.; Kappert, H.F.; Gernet, W.; Edelhoff, D. High-strength CAD/CAM-fabricated veneering material sintered to zirconia copings—A new fabrication mode for all-ceramic restorations. Dent. Mater. 2009, 25, 121–128. [Google Scholar] [CrossRef] [PubMed]
- Amer, R.; Kürklü, D.; Kateeb, E.; Seghi, R.R. Three-body wear potential of dental yttrium-stabilized zirconia ceramic after grinding, polishing, and glazing treatments. J. Prosthet. Dent. 2014, 112, 1151–1155. [Google Scholar] [CrossRef] [PubMed]
- Janyavula, S.; Lawson, N.; Deniz, C.; Beck, P.; Ramp, L.C.; Burgess, J.O. The wear of polished and glazed zirconia against enamel. J. Prosthet. Dent. 2013, 109, 22–29. [Google Scholar] [CrossRef]
- Hmaidouch, R.; Müller, W.-D.; Lauer, H.-C.; Weigl, P. Surface roughness of zirconia for full-contour crowns after clinically simulated grinding and polishing. Int. J. Oral Sci. 2014, 6, 241–246. [Google Scholar] [CrossRef] [PubMed]
- Ghazal, M.D.; Kern, M. The influence of antagonistic surface roughness on the wear of human enamel and nanofilled composite resin artificial teeth. J. Prosthet. Dent. 2009, 101, 342–349. [Google Scholar] [CrossRef]
- Preis, V.; Grumser, K.; Schneider-Feyrer, S.; Behr, M.; Rosentritt, M. The effectiveness of polishing kits: Influence on surface roughness of zirconia. Int. J. Prosthodont. 2015, 28, 149–151. [Google Scholar] [CrossRef] [PubMed][Green Version]
- Von Köckritz, A.-K. Der Einfluss Verschiedener Politurverfahren Auf Das Verschleißverhalten Von Indirekten Restaurationsmaterialien, in Medizinische Fakultät; Ludwig-Maximilians-Universität zu München: München, Germany, 2014; pp. 83–105. [Google Scholar]
- Sethi, S.; Kakade, D.; Jambhekar, S.; Jain, V. An in vitro investigation to compare the surface roughness of auto glazed, reglazed and chair side polished surfaces of Ivoclar and Vita feldspathic porcelain. J. Indian Prosthodont. Soc. 2013, 13, 478–485. [Google Scholar] [CrossRef] [PubMed]
- Arnold, W.H.; Haddad, B.; Schaper, K.; Hageman, C.; Lippold, C.; Danesf, G. Enamel surface alterations after repeated conditioning with HCl. Head Face Med. 2015, 11, 32. [Google Scholar] [CrossRef] [PubMed]
- Stiegmann, S.; Brown, C.A. Einfluss Der Haftgrundvorbereitung Auf Die Entstehende Topographie Und Schichthaftung; Ein Dreidimensionales Fraktalanalyse-Verfahren. 2; GTV Kolloquium: Luckenbach, Germany, 2002. [Google Scholar]
- Jung, Y.-S.; Lee, J.-W.; Choi, Y.-J.; Ahn, J.-S.; Shin, S.-W.; Huh, J.-B. A study on the in-vitro wear of the natural tooth structure by opposing zirconia or dental porcelain. J. Adv Prosthodont. 2010, 2, 111–115. [Google Scholar] [PubMed]
- Sripetchdanond, J.; Leevailoj, C. Wear of human enamel opposing monolithic zirconia, glass ceramic, and composite resin: An in vitro study. J. Prosthet. Dent. 2014, 112, 1141–1150. [Google Scholar] [CrossRef] [PubMed]
- Weppler, M. Monolithische Kronen Aus Zorkonoxid: Hart—Abrasiv—Unästhetisch? Available online: https://www.dentalgerade.de/app/download/12632854927/Monolithische+Kronen+aus+Zirkonoxid.pdf?t=1489609262 (accessed on 2 August 2012).
- Preis, V.; Behr, M.; Handel, G.; Schneider-Feyrer, S.; Hahnel, S.; Rosentritt, M. Wear performance of dental ceramics after grinding and polishing treatments. J. Mech. Behav. Biomed. Mater. 2012, 10, 13–22. [Google Scholar] [CrossRef] [PubMed]
- Park, J.H.; Park, S.; Lee, K.; Yun, K.-D.; Lim, H.-P. Antagonist wear of three CAD/CAM anatomic contour zirconia ceramics. J. Prosthet. Dent. 2014, 111, 20–29. [Google Scholar] [CrossRef] [PubMed]
- Mitov, G.; Heintze, S.D.; Walz, S.; Woll, K.; Muecklich, F.; Pospiech, P. Wear behavior of dental Y-TZP ceramic against natural enamel after different finishing procedures. Dent. Mater. 2012, 28, 909–918. [Google Scholar] [CrossRef] [PubMed]
- Metzler, K.T.; Woody, R.D.; Miller, A.W., III; Miller, B.H. In vitro investigation of the wear of human enamel by dental porcelain. J. Prosthet. Dent. 1999, 81, 356–364. [Google Scholar] [CrossRef]
- Wiley, M.G. Effects of porcelain on occluding surfaces of restored teeth. J. Prosthet. Dent. 1989, 61, 133–137. [Google Scholar] [CrossRef]
- Seghi, R.R.; Rosenstiel, S.F.; Bauer, P. Abrasion of human enamel by different dental ceramics in vitro. J. Dent. Res. 1991, 70, 221–225. [Google Scholar] [CrossRef] [PubMed]
- Hacker, C.H.; Wagner, W.C.; Razzoog, M.E. An in vitro investigation of the wear of enamel on porcelain and gold in saliva. J. Prosthet. Dent. 1996, 75, 14–17. [Google Scholar] [CrossRef]


| Statistical Characteristics | Ra (nm) | |||
|---|---|---|---|---|
| Students | Dentists > 2 | Dentists < 2 | Technicians | |
| 25th Percentile | 4.70 | 10.63 | 10.82 | 10.15 | 
| 50th Percentile | 6.72 | 12.23 | 15.17 | 25.47 | 
| 75th Percentile | 17.9 | 16.95 | 25.75 | 35.26 | 
| Minimum | 4.12 | 9.90 | 9.97 | 9.98 | 
| Maximum | 21.01 | 29.49 | 34.52 | 49.27 | 
| Median | 6.72 | 12.23 | 15.17 | 25.47 | 
| Statistical Characteristics | Ra (nm) | |||
|---|---|---|---|---|
| Students | Dentists > 2 | Dentists < 2 | Technicians | |
| 25th Percentile | 1.48 | 2.77 | 6.19 | 17.75 | 
| 50th Percentile | 5.78 | 6.35 | 17.06 | 30.87 | 
| 75th Percentile | 10.52 | 16.84 | 23.98 | 45.73 | 
| Minimum | 1.47 | 2.03 | 5.70 | 6.88 | 
| Maximum | 11.79 | 22.35 | 28.58 | 59.84 | 
| Median | 5.78 | 6.35 | 17.06 | 30.87 | 
| Statistical Characteristics | Ra (nm) | |||
|---|---|---|---|---|
| Students | Dentists > 2 | Dentists < 2 | Technicians | |
| 25th Percentile | 9.52 | 7.77 | 11.17 | 13.14 | 
| 50th Percentile | 11.5 | 41.35 | 14.47 | 19.65 | 
| 75th Percentile | 25.27 | 54.11 | 32.89 | 38.73 | 
| Minimum | 5.62 | 6.96 | 6.34 | 13.02 | 
| Maximum | 29.6 | 59.02 | 63.1 | 52.86 | 
| Median | 11.5 | 41.35 | 14.47 | 19.65 | 
| Statistical Characteristics | Ra (nm) | |||
|---|---|---|---|---|
| Students | Dentists > 2 | Dentists < 2 | Technicians | |
| 25th Percentile | 3.69 | 9.49 | 5.20 | 14.24 | 
| 50th Percentile | 8.28 | 28.13 | 16.02 | 18.96 | 
| 75th Percentile | 22.38 | 58.78 | 29.15 | 47.40 | 
| Minimum | 3.17 | 5.90 | 1.44 | 12.18 | 
| Maximum | 36.66 | 78.76 | 52.25 | 89.53 | 
| Median | 8.28 | 28.13 | 16.02 | 18.69 | 
© 2017 by the authors. Licensee MDPI, Basel, Switzerland. This article is an open access article distributed under the terms and conditions of the Creative Commons Attribution (CC BY) license (http://creativecommons.org/licenses/by/4.0/).
Share and Cite
Kozmacs, C.; Hollmann, B.; Arnold, W.H.; Naumova, E.; Piwowarczyk, A. Polishing of Monolithic Zirconia Crowns—Results of Different Dental Practitioner Groups. Dent. J. 2017, 5, 30. https://doi.org/10.3390/dj5040030
Kozmacs C, Hollmann B, Arnold WH, Naumova E, Piwowarczyk A. Polishing of Monolithic Zirconia Crowns—Results of Different Dental Practitioner Groups. Dentistry Journal. 2017; 5(4):30. https://doi.org/10.3390/dj5040030
Chicago/Turabian StyleKozmacs, Carla, Britta Hollmann, Wolfgang H. Arnold, Ella Naumova, and Andree Piwowarczyk. 2017. "Polishing of Monolithic Zirconia Crowns—Results of Different Dental Practitioner Groups" Dentistry Journal 5, no. 4: 30. https://doi.org/10.3390/dj5040030
APA StyleKozmacs, C., Hollmann, B., Arnold, W. H., Naumova, E., & Piwowarczyk, A. (2017). Polishing of Monolithic Zirconia Crowns—Results of Different Dental Practitioner Groups. Dentistry Journal, 5(4), 30. https://doi.org/10.3390/dj5040030
 
        
 
       