Are Linear Cephalometric Measurements Interpreted Equally Across Birth Cohorts? Cross-Sectional Cephalometric Study
Abstract
1. Introduction
2. Materials and Methods
2.1. Study Design
2.2. Study Population
2.3. Sample Size Considerations
2.4. Inclusion and Exclusion Criteria
2.5. Birth Cohort Groups
2.6. Cephalometric Variables
2.7. Covariates and Skeletal Classification
2.8. Cephalometric Procedures
2.9. Measurement Reliability
2.10. Statistical Analysis
2.11. Ethical Considerations
3. Results
3.1. Characteristics of the Study Population
3.2. Descriptive Linear Cephalometric Measurements by Birth Cohort Group
3.3. Associations Between Birth Cohort Groups and Linear Cephalometric Measurements
3.4. Sensitivity Analyses Across the Distribution
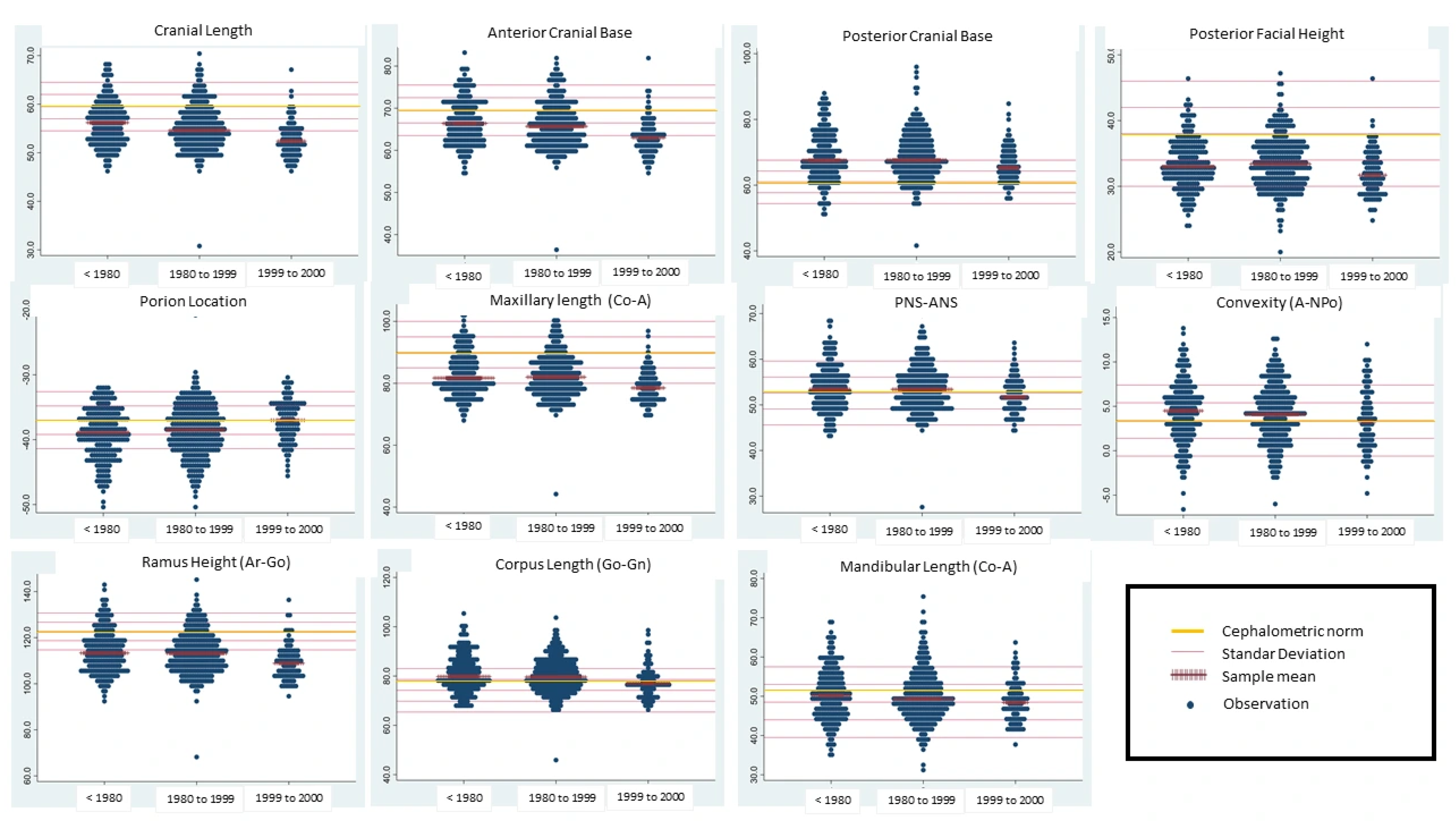
3.5. Description of Measurements Relative to Clinical Norms and Birth Cohort Groups
4. Discussion
5. Conclusions
Author Contributions
Funding
Institutional Review Board Statement
Informed Consent Statement
Data Availability Statement
Acknowledgments
Conflicts of Interest
Abbreviations
| S | Sella |
| N | Nasion |
| PNS | Posterior Nasal Spine |
| ANS | Anterior Nasal Spine |
| Go | Gonion |
| CF | Frankfurt plane |
| Gn | Gnathion |
| A | Point A |
| NPo | Nasion pogonion line |
| PL | Porion Location |
| ACL | Anterior Cranial Length |
| FH | Anterior Cranial Base (SN) |
| CF | Cranial Floor |
| PPL | Palatal Plane (PNS–ANS) |
| PFH | Posterior Facial Height (Go–CF) |
| MCL | Mandibular Corpus Length (Go–Gn) |
| A–NPo | Convexity (A–NPo) |
| S–Ar | Posterior Cranial Base |
| Co–A | Maxillary Length |
| Co–Gn | Mandibular Length |
| Ar–Go | Ramus Height |
References
- Christie, T.E. Cephalometric Patterns of Adults with Normal Occlusion. Angle Orthod. 1977, 47, 128–135. [Google Scholar] [CrossRef] [PubMed]
- Wang, L.; Quiroz, C.; Velasco, A.; Morales, R.; Vicuña, D.; Concha, G.; Oyonarte, R. Cephalometric Characteristics in Chilean Latino Population with Normal Occlusion and Harmonic Profiles in Permanent Dentition. A Retrospective Study. Int. J. Morphol. 2023, 41, 1020–1026. [Google Scholar] [CrossRef]
- Ricketts, R.M. Perspectives in the Clinical Application of Cephalometrics. The First Fifty Years. Angle Orthod. 1981, 51, 115–150. [Google Scholar] [CrossRef]
- Moyers, R.E.; Bookstein, F.L.; Arbor, A. The Inappropriateness of Conventional Cephalomettics. Am. J. Orthod. 1979, 75, 599–617. [Google Scholar] [CrossRef] [PubMed]
- Bookstein, F.L. Reconsidering “The Inappropriateness of Conventional Cephalometrics”. Am. J. Orthod. Dentofac. Orthop. 2016, 149, 784–797. [Google Scholar] [CrossRef]
- Jonke, E.; Schaefer, K.; Freudenthaler, J.W.; Prossinger, H.; Bookstein, F.L. A Cephalometric Comparison of Skulls from Different Time Periods--the Bronze Age, the 19th Century and the Present. Coll. Antropol. 2003, 27, 789–801. [Google Scholar]
- Jonke, E.; Prossinger, H.; Bookstein, F.L.; Schaefer, K.; Bernhard, M.; Freudenthaler, J.W. Secular Trends in the European Male Facial Skull from the Migration Period to the Present: A Cephalometric Study. Eur. J. Orthod. 2008, 30, 614–620. [Google Scholar] [CrossRef][Green Version]
- Jonke, E.; Prossinger, H.; Bookstein, F.L.; Schaefer, K.; Bernhard, M.; Freudenthaler, J.W. Secular Trends in the Facial Skull from the 19th Century to the Present, Analyzed with Geometric Morphometrics. Am. J. Orthod. Dentofac. Orthop. 2007, 132, 63–70. [Google Scholar] [CrossRef]
- Antoun, J.S.; Cameron, C.; Sew Hoy, W.; Herbison, P.; Farella, M. Evidence of Secular Trends in a Collection of Historical Craniofacial Growth Studies. Eur. J. Orthod. 2015, 37, 60–66. [Google Scholar] [CrossRef]
- Patcas, R.; Wiedemeier, D.B.; Markic, G.; Beit, P.; Keller, H. Evidence of Secular Trend in Mandibular Pubertal Growth. Eur. J. Orthod. 2017, 39, 680–685. [Google Scholar] [CrossRef]
- Huang, Y.; Liu, D.; Zhang, H.; Xu, X.; Yuan, S.; Cui, S.; Peng, Z.; Zhang, R. Trends and Age-Period-Cohort Analysis of Migraine Incidence in China from 1990 to 2021. PLoS ONE 2026, 21, e0338930. [Google Scholar] [CrossRef] [PubMed]
- Jantz, R.L.; Jantz, L.M. The Remarkable Change in Euro-American Cranial Shape and Size. Hum. Biol. 2016, 88, 56. [Google Scholar] [CrossRef] [PubMed]
- Jantz, R.L.; Meadows Jantz, L. Secular Change in Craniofacial Morphology. Am. J. Hum. Biol. 2000, 12, 327–338. [Google Scholar] [CrossRef]
- Axelsson, S. Longitudinal Cephalometric Standards for the Neurocranium in Norwegians from 6 to 21 Years of Age. Eur. J. Orthod. 2003, 25, 185–198. [Google Scholar] [CrossRef]
- Rongo, R.; Martina, S.; Bucci, R.; Valletta, R.; D’Antò, V.; Martina, R. Differences in Craniofacial Growth of Class II Individuals from Different Decades: A Retrospective Study. Orthod. Craniofac. Res. 2019, 22, 304–311. [Google Scholar] [CrossRef]
- Baccetti, T.; Reyes, B.C.; McNamara, J.A. Gender Differences in Class III Malocclusion. Angle Orthod. 2005, 75, 510–520. [Google Scholar] [CrossRef]
- Bastir, M.; Rosas, A.; Gunz, P.; Peña-Melian, A.; Manzi, G.; Harvati, K.; Kruszynski, R.; Stringer, C.; Hublin, J.-J. Evolution of the Base of the Brain in Highly Encephalized Human Species. Nat. Commun. 2011, 2, 588. [Google Scholar] [CrossRef]
- Šidlauskas, M.; Šalomskienė, L.; Andriuškevičiūtė, I.; Šidlauskienė, M.; Labanauskas, Ž.; Vasiliauskas, A.; Kupčinskas, L.; Juzėnas, S.; Šidlauskas, A. Heritability of Mandibular Cephalometric Variables in Twins with Completed Craniofacial Growth. Eur. J. Orthod. 2016, 38, 493–502. [Google Scholar] [CrossRef]
- Paddenberg, E.; Proff, P.; Kirschneck, C. Floating Norms for Individualising the ANB Angle and the WITS Appraisal in Orthodontic Cephalometric Analysis Based on Guiding Variables. J. Orofac. Orthop. Fortschr. Kieferorthopädie 2023, 84, 10–18. [Google Scholar] [CrossRef]
- Balderas-González, M.E.; Cruz-Hervert, L.P.; Martínez-Contreras, S.P.; García-Lee, V.; Ortiz-Sánchez, J.D.; Rodríguez-Chávez, J.A.; Jiménez-Corona, M.E.; García-García, G.; Kiseri-Kubati, J.; Sánchez-García, S. Predictability of a Mandibular Corpus Length Multivariate Model Integrating Björk-Jarabak Measurements and the Cephalometric Norm. Cureus 2025, 17, e87864. [Google Scholar] [CrossRef]
- Atit, M.; Darda, M.; Deshmukh, S.; Naik, C.; Rahalkar, J.; Subramanian, V. Mean Values of Steiner, Tweed, Ricketts and McNamara Analysis in Maratha Ethnic Population: A Cephalometric Study. APOS Trends Orthod. 2013, 3, 137. [Google Scholar] [CrossRef]
- Ackerman, J.L.; Proffit, W.R.; Sarver, D.M. The Emerging Soft Tissue Paradigm in Orthodontic Diagnosis and Treatment Planning. Clin. Orthod. Res. 1999, 2, 49–52. [Google Scholar] [CrossRef]
- Schopf, P. Cephalometric “normal values” for the position of the incisors—A possible cause of failure in orthodontic treatments? Fortschr. Kieferorthopädie 1988, 49, 37–47. [Google Scholar] [CrossRef]
- Barberena-Jonas, C.; Medina-Muñoz, S.G.; Cedillo-Castelán, V.; Sepúlveda-Morales, T.; Gonzaga-Jáuregui, C.; ENSA Genomics Consortium; Aguilar-Salinas, C.; Barberena-Jonas, C.; Canizales-Quintero, S.; Cruz-Hervert, L.P.; et al. Clinical Genetic Variation across Hispanic Populations in the Mexican Biobank. Nat. Med. 2026, 32, 725–735. [Google Scholar] [CrossRef]
- McIntyre, G.T. Size and Shape Measurement in Contemporary Cephalometrics. Eur. J. Orthod. 2003, 25, 231–242. [Google Scholar] [CrossRef]



| Measure | Definition | Normal Value | Standard Deviation |
|---|---|---|---|
| Anterior Cranial Base (SN) | Distance in millimeters from the Center of cranium (CC) point to the Nasion point (NA) | 71 mm | ±3 mm |
| Posterior Cranial Base (S–Ar) | Distance from Sella (S) to Articulare (Ar), representing posterior cranial base length | 34 mm | ±3 mm |
| Posterior Facial Height (Go–CF) | Distance in millimeters from the middle of the inferior contour of the angle of the mandible located by the ramus (Go) and projected towards the chin to the point of intersection of the pterygoid vertical to the Frankfurt horizontal plane (CF) | 62 mm | ±4 mm |
| Porion Location | Distance in millimeters from the Pterygoid vertical (PTV) to the porion point (Po), where the porion location value is negative, indicating that the porion is located posterior to the PTV | — | — |
| Maxillary Length (Co–A) | Linear distance from the Condylion (Co) to Point A, indicating the maxillary anteroposterior length | 95 mm | ±4 mm |
| PNS–ANS | Distance from the Posterior Nasal Spine (PNS) to the Anterior Nasal Spine (ANS), representing the maxillary size | 52 mm | ±3 mm |
| Convexity (A–NPo) | Distance in millimeters from Point A to the Facial plane (NPo), when measured perpendicular to the maxilla | 2 mm | ±2 mm |
| Mandibular Length (Co–Gn) | Distance from the Condylion (Co) to the Gnathion (Gn), representing total mandibular length | 125 mm | ±5 mm |
| Corpus Length (Go–Gn) | Distance from the Gonion (Go) to the Gnathion (Gn), reflecting the length of the mandibular body | 78 mm | ±4 mm |
| Ramus Height (Ar–Go) | Vertical distance from the Articulare (Ar) to the Gonion (Go), indicating the mandibular ramus height | 55 mm | ±4 mm |
| Variables | Birth Cohort Group | ||||
|---|---|---|---|---|---|
| Total | <1980 | 1980 to 1989 | 1990 to 1999 | p-Value | |
| n = 604 | n = 220 | n = 289 | n = 95 | ||
| Cephalometric Variables | Median (IQR) | Median (IQR) | Median (IQR) | Median (IQR) | |
| Cranial Length (mm) | 54.6 (51.9; 58.3) | 56.2 (52.7; 59.1) | 54.6 (52.0; 58.4) | 52.4 (50.3; 54.9) | <0.001 |
| Anterior Cranial Base (SN) (mm) | 65.2 (61.8; 69.7) | 66.4 (62.15; 71.1) | 65.7 (61.8; 69.6) | 63.0 (60.5; 65.1) | <0.001 |
| Posterior Facial Height (Go-CF) (mm) | 67.35 (63.2; 72.9) | 67.5 (63.6; 74.0) | 67.6 (63.5; 73.4) | 65.3 (62.3; 70.3) | 0.011 |
| Posterior Cranial Base(S-Ar) (mm) | 33.0 (30.6; 35.8) | 33.0 (31; 36.1) | 33.4 (30.6; 36.1) | 31.7 (29.2; 34.5) | 0.002 |
| Porion Location (mm) | −38.4 (−41.1; −35.5) | −38.9 (−41.8; −36.2) | −38.5 (−41.2; −35.6) | −37 (−39.3; −34.6) | <0.001 |
| Maxillary Length (Co-A) (mm) | 80.9 (77.1; 86.3) | 81.7 (78.0; 87.9) | 82.0 (77.5; 87.0) | 78.5 (75; 82.6) | <0.001 |
| PNS-ANS (mm) | 53.1 (49.8; 56.4) | 53.4 (50; 56.8) | 53.4 (49.9; 56.7) | 51.7 (49.1; 54.6) | 0.014 |
| Convexity (A-NPo) (mm) | 4.1 (1.7; 6.35) | 4.5 (2.05; 6.65) | 4.1 (1.7; 6.3) | 3.3 (0.8; 5.7) | 0.055 |
| Mandibular Length (Co-Gn) (mm) | 112.25 (106.15; 118.9) | 113.3 (106.75; 119.8) | 113.2 (107.1; 119.5) | 108.9 (103.4; 113.8) | <0.001 |
| Corpus Length (Go-Gn) (mm) | 79.1 (75.4; 84.9) | 79.8 (76.0; 86.3) | 79.6 (75.5; 85.0) | 77 (73.5; 80.4) | <0.001 |
| Ramus Height (Ar-Go) (mm) | 49.4 (45.6; 53.7) | 50.2 (45.5; 54.9) | 49.3 (46.0; 53.5) | 48.4 (44.6; 52) | 0.059 |
| Model 1 | Model 2 | Model 3 | Model 4 | Model 5 | Model 6 | Model 7 | Model 8 | Model 9 | Model 10 | Model 11 | |
|---|---|---|---|---|---|---|---|---|---|---|---|
| Variable | Cranial Length | Anterior Cranial Base (SN) | Posterior Facial Height (Go–CF) | Posterior Cranial Base (S–Ar) | Porion Location | Maxillary Length (Co–A) | PNS–ANS | Convexity (A–Npo) | Mandibular Length (Co–Gn) | Corpus Length (Go–Gn) | Ramus Height (Ar–Go) |
| Birth cohort group | |||||||||||
| 1900–1979 | Ref. | Ref. | Ref. | Ref. | Ref. | Ref. | Ref. | Ref. | Ref. | Ref. | Ref. |
| 1980–1989 | −2.8 | −3.2 | −2.6 | −0.87 | 2.7 | −4.1 | −2.2 | 0.28 | −6.9 | −3.7 | −3.7 |
| (−4.16 to −1.44) *** | (−4.75 to −1.65) *** | (−4.63 to −0.57) * | (−2.20 to 0.47) | (1.64 to 3.76) *** | (−5.88 to −2.32) *** | (−4.34 to −0.06) * | (−0.70 to 1.25) | (−9.86 to −3.94) *** | (−6.49 to −0.91) ** | (−5.42 to −1.98) *** | |
| 1990–1999 | −5.2 | −5.6 | −4.6 | −2.33 | 4.8 | −7.7 | −3.3 | −0.3 | −11.8 | −5.4 | −4.5 |
| (−6.75 to −3.65) *** | (−7.21 to −3.99) *** | (−7.08 to −2.12) *** | (−3.93 to −0.74) ** | (3.20 to 6.40) *** | (−10.21 to −5.19) *** | (−5.72 to −0.88) ** | (−1.47 to 0.87) | (−15.19 to −8.41) *** | (−8.40 to −2.40) *** | (−6.56 to −2.44) *** | |
| Age group | |||||||||||
| 18–29 | Ref. | Ref. | Ref. | Ref. | Ref. | Ref. | Ref. | Ref. | Ref. | Ref. | Ref. |
| 30–39 | −1.6 | −2.7 | −2.1 | −0.67 | 2.5 | −3.9 | −1.6 | 0.55 | −5.5 | −3 | −1.7 |
| (−2.73 to −0.47) ** | (−4.06 to −1.34) *** | (−4.12 to −0.08) * | (−2.12 to 0.79) | (1.48 to 3.52) *** | (−5.88 to −1.92) *** | (−3.30 to 0.10) | (−0.39 to 1.49) | (−7.95 to −3.05) *** | (−5.07 to −0.93) ** | (−3.05 to −0.35) * | |
| 40–49 | −2.6 | −2.8 | −3.9 | −1.77 | 3.2 | −6.5 | −3.3 | 0.7 | −10.9 | −5.5 | −6.2 |
| (−4.45 to −0.75) ** | (−5.89 to 0.29) | (−6.58 to −1.22) ** | (−3.34 to −0.19) * | (1.51 to 4.89) *** | (−9.18 to −3.82) *** | (−6.13 to −0.47) * | (−0.70 to 2.10) | (−14.46 to −7.34) *** | (−8.88 to −2.12) ** | (−8.60 to −3.80) *** | |
| 50–99 | −2.3 | −4 | −3.3 | −1.53 | 2.4 | −5.2 | −1.9 | −0.3 | −6.2 | −3.5 | −2.3 |
| (−5.39 to 0.79) | (−9.44 to 1.44) | (−8.26 to 1.66) | (−3.52 to 0.45) | (−0.85 to 5.65) | (−9.17 to −1.23) * | (−5.34 to 1.54) | (−1.97 to 1.37) | (−12.24 to −0.16) * | (−8.20 to 1.20) | (−5.52 to 0.92) | |
| Sex | |||||||||||
| Female | Ref. | Ref. | Ref. | Ref. | Ref. | Ref. | Ref. | Ref. | Ref. | Ref. | Ref. |
| Male | 3.8 | 4.7 | 7.3 | 3.7 | −2.4 | 6.4 | 4 | −0.1 | 8.7 | 4.6 | 5 |
| (2.74 to 4.86) *** | (3.45 to 5.95) *** | (5.76 to 8.84) *** | (2.99 to 4.54) *** | (−3.14 to −1.66) *** | (4.58 to 8.22) *** | (2.87 to 5.13) *** | (−0.73 to 0.48) | (6.72 to 10.68) *** | (2.76 to 6.44) *** | (3.68 to 6.32) *** | |
| Skeletal class | |||||||||||
| Class I | Ref. | Ref. | Ref. | Ref. | Ref. | Ref. | Ref. | Ref. | Ref. | Ref. | Ref. |
| Class II | −0.2 | 0.9 | 0.1 | −0.1 | −0.6 | 1.9 | 2.5 | 4.8 | −2.3 | 0.10 | −1.7 |
| (−1.23 to 0.83) | (−0.20 to 2.00) | (−1.56 to 1.76) | (−1.13 to 1.00) | (−1.49 to 0.29) | (0.28 to 3.52) * | (1.15 to 3.85) *** | (4.31 to 5.39) *** | (−4.40 to −0.20) * | (−1.30 to 1.50) | (−2.84 to −0.56) ** | |
| Class III | −0.5 | 0.1 | −1.7 | −1.1 | −0.6 | −2.8 | −0.2 | −2.5 | 0.9 | 3.2 | −0.6 |
| (−3.05 to 2.05) | (−2.03 to 2.03) | (−6.12 to 2.72) | (−4.45 to 2.31) | (−2.58 to 1.38) | (−5.40 to −0.20) * | (−2.24 to 1.84) | (−3.39 to −1.66) *** | (−4.42 to 6.22) | (−2.05 to 8.45) | (−3.80 to 2.60) | |
| Constant | 53 | 62.3 | 61.4 | 29.67 | −37.8 | 76.6 | 48 | −0.03 | 110.8 | 77.4 | 48.4 |
| (51.17 to 54.83) *** | (60.21 to 64.39) *** | (58.14 to 64.66) *** | (27.78 to 31.55) *** | (−39.55 to −36.05) *** | (73.26 to 79.94) *** | (45.08 to 50.92) *** | (−1.23 to 1.18) | (106.67 to 114.93) *** | (74.12 to 80.68) *** | (45.78 to 51.02) *** | |
Disclaimer/Publisher’s Note: The statements, opinions and data contained in all publications are solely those of the individual author(s) and contributor(s) and not of MDPI and/or the editor(s). MDPI and/or the editor(s) disclaim responsibility for any injury to people or property resulting from any ideas, methods, instructions or products referred to in the content. |
© 2026 by the authors. Licensee MDPI, Basel, Switzerland. This article is an open access article distributed under the terms and conditions of the Creative Commons Attribution (CC BY) license.
Share and Cite
Cruz-Hervert, L.P.; Cruz-Chávez, L.; Martínez-Suárez, G.; Ramírez-Martínez, C.M.; González-Aragón Pineda, A.É.; Borges-Yánez, S.A.; Yáñez-Ocampo, B.R.; Rodríguez-Chávez, J.A.; García-Pérez, Á.; Real-Ramírez, J.; et al. Are Linear Cephalometric Measurements Interpreted Equally Across Birth Cohorts? Cross-Sectional Cephalometric Study. Dent. J. 2026, 14, 194. https://doi.org/10.3390/dj14040194
Cruz-Hervert LP, Cruz-Chávez L, Martínez-Suárez G, Ramírez-Martínez CM, González-Aragón Pineda AÉ, Borges-Yánez SA, Yáñez-Ocampo BR, Rodríguez-Chávez JA, García-Pérez Á, Real-Ramírez J, et al. Are Linear Cephalometric Measurements Interpreted Equally Across Birth Cohorts? Cross-Sectional Cephalometric Study. Dentistry Journal. 2026; 14(4):194. https://doi.org/10.3390/dj14040194
Chicago/Turabian StyleCruz-Hervert, Luis Pablo, Luis Cruz-Chávez, Gerardo Martínez-Suárez, Carla Monserrat Ramírez-Martínez, Alvaro Édgar González-Aragón Pineda, Socorro Aída Borges-Yánez, Beatriz Raquel Yáñez-Ocampo, Jaqueline Adelina Rodríguez-Chávez, Álvaro García-Pérez, Janet Real-Ramírez, and et al. 2026. "Are Linear Cephalometric Measurements Interpreted Equally Across Birth Cohorts? Cross-Sectional Cephalometric Study" Dentistry Journal 14, no. 4: 194. https://doi.org/10.3390/dj14040194
APA StyleCruz-Hervert, L. P., Cruz-Chávez, L., Martínez-Suárez, G., Ramírez-Martínez, C. M., González-Aragón Pineda, A. É., Borges-Yánez, S. A., Yáñez-Ocampo, B. R., Rodríguez-Chávez, J. A., García-Pérez, Á., Real-Ramírez, J., Sánchez-García, S., Jiménez-Corona, M.-E., & Jacinto-Alemán, L. F. (2026). Are Linear Cephalometric Measurements Interpreted Equally Across Birth Cohorts? Cross-Sectional Cephalometric Study. Dentistry Journal, 14(4), 194. https://doi.org/10.3390/dj14040194

