Correlation Between Angular Position and Pathological Changes in Impacted Lower Third Molars: A Systematic Review and Meta-Analysis
Abstract
1. Introduction
2. Materials and Methods
2.1. Search Strategy
2.2. Study Selection
2.3. Inclusion Criteria
2.4. Exclusion Criteria
2.5. Risk of Bias Assessment
2.6. Statistical Analysis
3. Results
4. Discussion
5. Conclusions
Author Contributions
Funding
Institutional Review Board Statement
Informed Consent Statement
Conflicts of Interest
References
- Renton, T.; Al-Haboubi, M. What has been the United Kingdom’s experience with retention of third molars? J. Oral Maxillofac. Surg. 2012, 70, S48–S57. [Google Scholar] [CrossRef]
- Liversedge, R.L. The removal of wisdom teeth: NICE guidelines. Br. J. Oral Maxillofac. Surg. 2000, 38, 350–353. [Google Scholar] [CrossRef]
- Berge, T.I. Complications associated with removal of impacted third molars: A prospective study of 4338 cases. Acta Odontol. Scand. 1996, 54, 281–286. [Google Scholar] [CrossRef]
- Balel, Y.; Bülbül, H.N.; Aşar, S.S.; Başal, A. Incidence of caries and pathological findings in different positions of impacted third molars: A retrospective analysis. J. Stomatol. Oral Maxillofac. Surg. 2024, 126, 102137. [Google Scholar] [CrossRef] [PubMed]
- Liu, L.; Zhang, L.; Lu, S.; Huang, W.; Song, L.; Xu, B. Effect of Mesioangular Impaction of the Mandibular Third Molars on the Adjacent Mandibular Second Molars: An Imaging Study. Curr. Med. Imaging 2023, 19, 623–630. [Google Scholar] [CrossRef] [PubMed]
- Baik, U.B.; Kim, Y.J.; Chae, H.S.; Park, J.U.; Julian, S.; Sugawara, J.; Lee, U.L. A new rationale for preservation of the mandibular third molar in orthognathic patients with missing molars. J. Korean Assoc. Oral Maxillofac. Surg. 2022, 48, 63–67. [Google Scholar] [CrossRef] [PubMed] [PubMed Central]
- Yıldırım, H.; Büyükgöze-Dindar, M. Investigation of the prevalence of impacted third molars and the effects of eruption level and angulation on caries development by panoramic radiographs. Med. Oral Patol. Oral Cir. Bucal. 2022, 27, e106–e112. [Google Scholar] [CrossRef] [PubMed] [PubMed Central]
- Fernandes, M.J.; Ogden, G.R.; Pitts, N.B.; Ogston, S.A.; Ruta, D.A. Actuarial life-table analysis of lower impacted wisdom teeth in general dental practice. Community Dent. Oral Epidemiol. 2010, 38, 58–67. [Google Scholar] [CrossRef]
- Hounsome, J.; Pilkington, G.; Mahon, J.; Boland, A.; Beale, S.; Kotas, E.; Renton, T.; Dickson, R. Prophylactic removal of impacted mandibular third molars: A systematic review and economic evaluation. Health Technol. Assess. 2020, 24, 1–116. [Google Scholar] [CrossRef] [PubMed] [PubMed Central]
- Srivastava, N.; Shetty, A.; Goswami, R.D.; Apparaju, V.; Bagga, V.; Kale, S. Incidence of distal caries in mandibular second molars due to impacted third molars: Nonintervention strategy of asymptomatic third molars causes harm? A retrospective study. Int. J. Appl. Basic. Med. Res. 2017, 7, 15–19. [Google Scholar] [CrossRef] [PubMed] [PubMed Central]
- Shin, S.M.; Choi, E.J.; Moon, S.Y. Prevalence of pathologies related to impacted mandibular third molars. Springerplus 2016, 5, 915. [Google Scholar] [CrossRef] [PubMed] [PubMed Central]
- National Institute for Health and Care Excellence. Guidance on the Extraction of Wisdom Teeth. 2000. Available online: https://www.nice.org.uk/guidance/ta1 (accessed on 30 January 2024).
- Nunn, M.E.; Fish, M.D.; Garcia, R.; Kaye, E.; Figueroa, R.; Gohel, A.; Ito, M.; Lee, H.; Williams, D.E.; Miyamoto, T. Retained asymptomatic third molars and risk for second molar pathology. J. Dent. Res. 2013, 92, 1095–1099. [Google Scholar] [CrossRef] [PubMed] [PubMed Central]
- Dodson, T.B.; Susarla, S.M. Impacted wisdom teeth. BMJ Clin. Evid. 2010, 2010, 1302. [Google Scholar] [PubMed] [PubMed Central]
- Shepherd, J.P.; Brickley, M. Surgical removal of third molars. BMJ 1994, 309, 620–621. [Google Scholar] [CrossRef] [PubMed]
- Song, F.; O’Meara, S.; Wilson, P.; Golder, S.; Kleijnen, J. The effectiveness and cost-effectiveness of prophylactic removal of wisdom teeth. Health Technol. Assess. 2000, 4, 1–55. [Google Scholar] [CrossRef]
- Celikoglu, M.; Bayram, M.; Nur, M. Patterns of third-molar agenesis and associated dental anomalies in an orthodontic population. Am. J. Orthod. Dentofacial. Orthop. 2011, 140, 856–860. [Google Scholar] [CrossRef] [PubMed]
- McArdle, L.W.; Renton, T.F. The effects of NICE guidelines on the management of third molar teeth. Br. Dent. J. 2012, 213, 231–236. [Google Scholar] [CrossRef]
- American Association of Oral and Maxillofacial Surgeons (AAOMS). Management of Third Molar Teeth. White Paper on Third Molar Data. 2016. Available online: https://www.aaoms.org (accessed on 1 January 2024).
- Chiapasco, M. Manuale Illustrato di Chirurgia Orale; Edra Masson Terza Edizione: Milan, Italy, 2013. [Google Scholar]
- Sharma Lamichhane, N.; Sigdel, B.; Lamichhane, S.; Tripathi, R.; Koirala, U.; Bajgain, D.P. Mandibular Third Molar Impaction among Patients Visiting Outpatient Dental Department of a Tertiary Care Centre. JNMA J. Nepal. Med. Assoc. 2023, 61, 769–774. [Google Scholar] [CrossRef] [PubMed] [PubMed Central]
- Pitros, P.; Jackson, I.; O’connor, N. Coronectomy: A retrospective outcome study. Oral Maxillofac. Surg. 2019, 23, 453–458. [Google Scholar] [CrossRef]
- Vignudelli, E.; Monaco, G.; Antonella Gatto, M.R.; Costi, T.; Marchetti, C.; Corinaldesi, G. Stability of Periodontal Healing Distal to the Mandibular Second Molar After Third Molar Coronectomy: A 3-Year Follow-Up Study. J. Oral Maxillofac. Surg. 2019, 77, 254–261. [Google Scholar] [CrossRef]
- Baykul, T.; Saglam, A.A.; Aydin, U.; Basak, K. Incidence of cystic changes in radiologically normal impacted lower third molar follicles. Oral Surg. Oral Med. Oral Pathol. Oral Radiol. Endodontol. 2005, 99, 542–545. [Google Scholar] [CrossRef] [PubMed]
- Yildirim, G.; Ataoğlu, H.; Mihmanli, A.; Kiziloğlu, D.; Avunduk, M.C. Pathologic changes in soft tissues associated with asymptomatic impacted third molars. Oral Surg. Oral Med. Oral Pathol. Oral Radiol. Endodontol. 2008, 106, 14–18. [Google Scholar] [CrossRef] [PubMed]
- Celikoglu, M.; Miloglu, O.; Kazanci, F. Frequency of Agenesis, Impaction, Angulation, and Related Pathologic Changes of Third Molar Teeth in Orthodontic Patients. J. Oral Maxillofac. Surg. 2010, 68, 990–995. [Google Scholar] [CrossRef]
- Göksel, S.; Salcıoğlu, Z.; Saruhan, N. The prevalence of pathologies related to impacted third molars among Turkish patients. Int. J. Oral Maxillofac. Surg. 2011, 40, 1245–1250. [Google Scholar] [CrossRef]
- Ryalat, S.; Alawneh, T.N.; Hassona, Y. Impaction of lower third molars and their association with age: Radiological perspectives. BMC Oral Health 2018, 18, 58. [Google Scholar] [CrossRef] [PubMed]
- Maraolo, A.E. Una bussola per le revisioni sistematiche: La versione italiana della nuova edizione del PRISMA statement. BMJ 2021, 372, n71. [Google Scholar]
- Yamaoka, M.; Tambo, A.; Furusawa, K. Incidence of inflammation in completely impacted lower third molars. Aust. Dent. J. 1997, 42, 153–155. [Google Scholar] [CrossRef]
- Simşek-Kaya, G.; Özbek, E.; Kalkan, Y.; Yapici, G.; Dayi, E.; Demirci, T. Soft tissue pathosis associated with asymptomatic impacted lower third molars. Med. Oral Patol. Oral Cir. Bucal 2011, 16, e929–e936. [Google Scholar] [CrossRef][Green Version]
- Kugelberg Carl, F.; Ulf Ahlstr, J.M.; Sune, E.; Anders, H. Periodontal healing after impacted lower third molar surgery: A retrospective study. Int. J. Oral Surg. 1985, 14, 29–40. [Google Scholar] [CrossRef]
- Saravana, G.H.L.; Subhashraj, K. Cystic changes in dental follicle associated with radiographically normal impacted mandibular third molar. Br. J. Oral Maxillofac. Surg. 2008, 46, 552–553. [Google Scholar] [CrossRef]
- Adelsperger, J.; Campbell, J.H.; Coates, D.B.; Summerlin, D.J.; Tomich, C.E. Early soft tissue pathosis associated with impacted third molars without pericoronal radiolucency. Oral Surg. Oral Med. Oral Pathol. Oral Radiol. Endodontol. 2000, 89, 402–406. [Google Scholar] [CrossRef] [PubMed]
- Kan, K.W.; Liu, J.K.S.; Lo, E.C.M.; Corbet, E.F.; Leung, W.K. Residual periodontal defects distal to the mandibular second molar 6–36months after impacted third molar extraction. A retrospective cross-sectional study of young adults. J. Clin. Periodontol. 2002, 29, 1004–1011. [Google Scholar] [CrossRef] [PubMed]


| Study | Pts | Lower Third Molars | Age, Mean | Male | Female |
|---|---|---|---|---|---|
| Baykul et al., 2005 [24] | 94 | 94 | 21, 1 | 30 | 64 |
| Yilidirim et al., 2007 [25] | 115 | 120 | 24, 74 | 38 | 77 |
| Celikoglu et al., 2010 [26] | 351 | 444 | 22, 8 | 153 | 198 |
| Göksel et al., 2011 [27] | 50 | 50 | 21, 0 | 22 | 28 |
| Ryalat et al., 2018 [28] | 1198 | 1810 | 566 | 632 | |
| Sharma et al., 2023 [21] | 414 | 758 | 22, 4 | 167 | 247 |
| Study | Lower Third Molars | Mesioangular | Horizontal | Vertical | Distoangular |
|---|---|---|---|---|---|
| Baykul et al., 2005 [24] | 94 | 57 (60.6) | 22 (23.4) | 12 (12.8) | 3 (3.2) |
| Yilidirim et al., 2007 [25] | 120 | 44 (36.7) | 14 (11.7) | 58 (48.3) | 4 (3.3) |
| Celikoglu et al., 2010 [26] | 444 | 222 (50.0) | 36 (8.1) | 135 (30.4) | 51 (11.5) |
| Göksel et al., 2011 [27] | 50 | 17 (34.0) | 8 (16.0) | 18 (36.0) | 7 (14.0) |
| Ryalat et al., 2018 [28] | 1810 | 1196 (66.1) | 273 (15.1) | 340 (18.8) | |
| Sharma et al., 2023 [21] | 758 | 344 (45.4) | 126 (16.6) | 249 (32.8) | 39 (5.1) |
| Pathologic changes | |||||
| Baykul et al., 2005 [24] | 94 | 22 (38.6) | 14 (63.6) | 9 (75.0) | |
| Yilidirim et al., 2007 [25] | 120 | 13 (29.5) | 3 (21.4) | 12 (20.7) | |
| Celikoglu et al., 2010 [26] | 444 | 18 (8.1) | 20 (55.6) | 4 (3.0) | 4 (7.8) |
| Göksel et al., 2011 [27] | 50 | 2 (11.8) | 1 (12.5) | 1 (5.6) | 1 (14.3) |
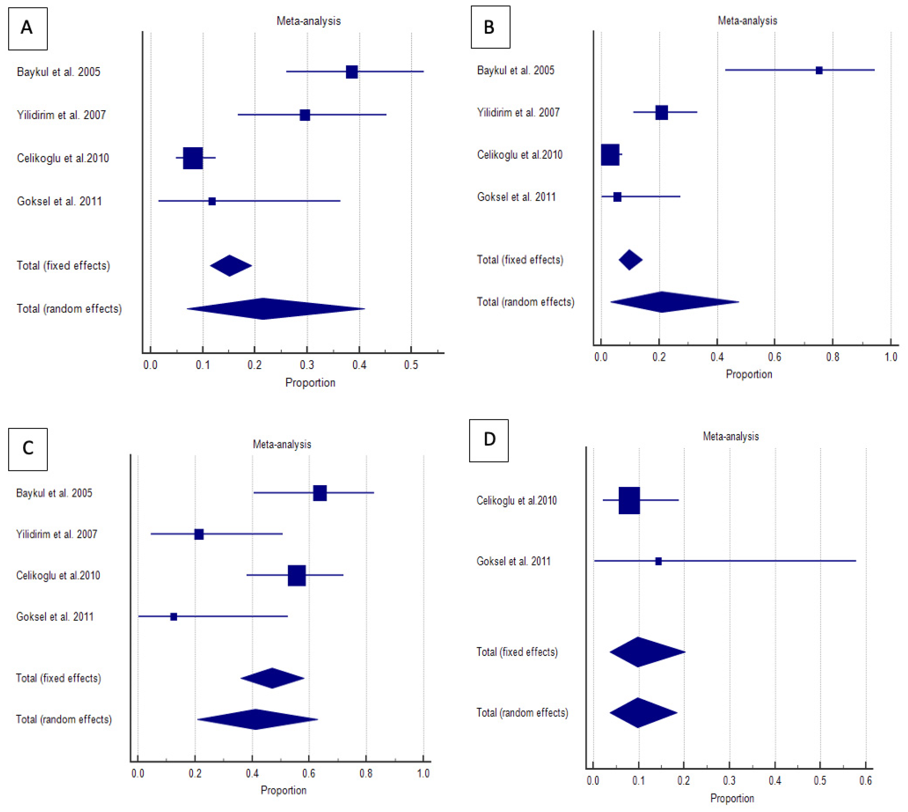
| Sample Size | n. Event | Proportion (%) | 95% CI | |
|---|---|---|---|---|
| Pathologic Changes | ||||
| Mesioangular | 340 | 55 | 21.4 | 7.0 to 40.9 |
| Horizontal | 80 | 38 | 41.1 | 20.9 to 63.0 |
| Vertical | 223 | 26 | 20.7 | 3.4 to 47.4 |
| Distoangular | 58 | 5 | 9.7 | 3.6 to 18.4 |
| Study | Selection (4 pts) | Comparability (2 pts) | Outcome (3 pts) | Total Score | Risk of Bias |
|---|---|---|---|---|---|
| Baykul et al., 2005 [24] | 3 | 1 | 2 | 6 | Moderate |
| Yildirim et al., 2008 [25] | 3 | 1 | 2 | 6 | Moderate |
| Celikoglu et al., 2010 [26] | 4 | 2 | 3 | 9 | Low |
| Göksel et al., 2011 [27] | 3 | 1 | 2 | 6 | Moderate |
| Ryalat et al., 2018 [28] | 4 | 2 | 3 | 9 | Low |
| Sharma et al., 2023 [21] | 3 | 2 | 3 | 8 | Low |
Disclaimer/Publisher’s Note: The statements, opinions and data contained in all publications are solely those of the individual author(s) and contributor(s) and not of MDPI and/or the editor(s). MDPI and/or the editor(s) disclaim responsibility for any injury to people or property resulting from any ideas, methods, instructions or products referred to in the content. |
© 2025 by the authors. Licensee MDPI, Basel, Switzerland. This article is an open access article distributed under the terms and conditions of the Creative Commons Attribution (CC BY) license (https://creativecommons.org/licenses/by/4.0/).
Share and Cite
Kaleci, S.; Bellini, P.; Setti, G.; Melloni, G.; Ruozzi, M.; Consolo, U. Correlation Between Angular Position and Pathological Changes in Impacted Lower Third Molars: A Systematic Review and Meta-Analysis. Dent. J. 2025, 13, 129. https://doi.org/10.3390/dj13030129
Kaleci S, Bellini P, Setti G, Melloni G, Ruozzi M, Consolo U. Correlation Between Angular Position and Pathological Changes in Impacted Lower Third Molars: A Systematic Review and Meta-Analysis. Dentistry Journal. 2025; 13(3):129. https://doi.org/10.3390/dj13030129
Chicago/Turabian StyleKaleci, Shaniko, Pierantonio Bellini, Giacomo Setti, Giulia Melloni, Matilde Ruozzi, and Ugo Consolo. 2025. "Correlation Between Angular Position and Pathological Changes in Impacted Lower Third Molars: A Systematic Review and Meta-Analysis" Dentistry Journal 13, no. 3: 129. https://doi.org/10.3390/dj13030129
APA StyleKaleci, S., Bellini, P., Setti, G., Melloni, G., Ruozzi, M., & Consolo, U. (2025). Correlation Between Angular Position and Pathological Changes in Impacted Lower Third Molars: A Systematic Review and Meta-Analysis. Dentistry Journal, 13(3), 129. https://doi.org/10.3390/dj13030129

