Clinical and Radiographic Outcomes of Sloped-Shoulder Implants in the Posterior Mandible: A Retrospective Study
Abstract
1. Introduction
2. Materials and Methods
2.1. Study Design/Sample
2.2. Study Variables
- Age of the patient at the time of implant placement.
- Sex.
- Medical data.
- Presence or not of periodontal disease.
- Presence or not of bruxism.
- Date of implant placement.
- Location.
- Implant system and its measurements.
- Type of prosthetic restoration according to retention type.
- Type of abutment.
- Follow-up time with X-rays.
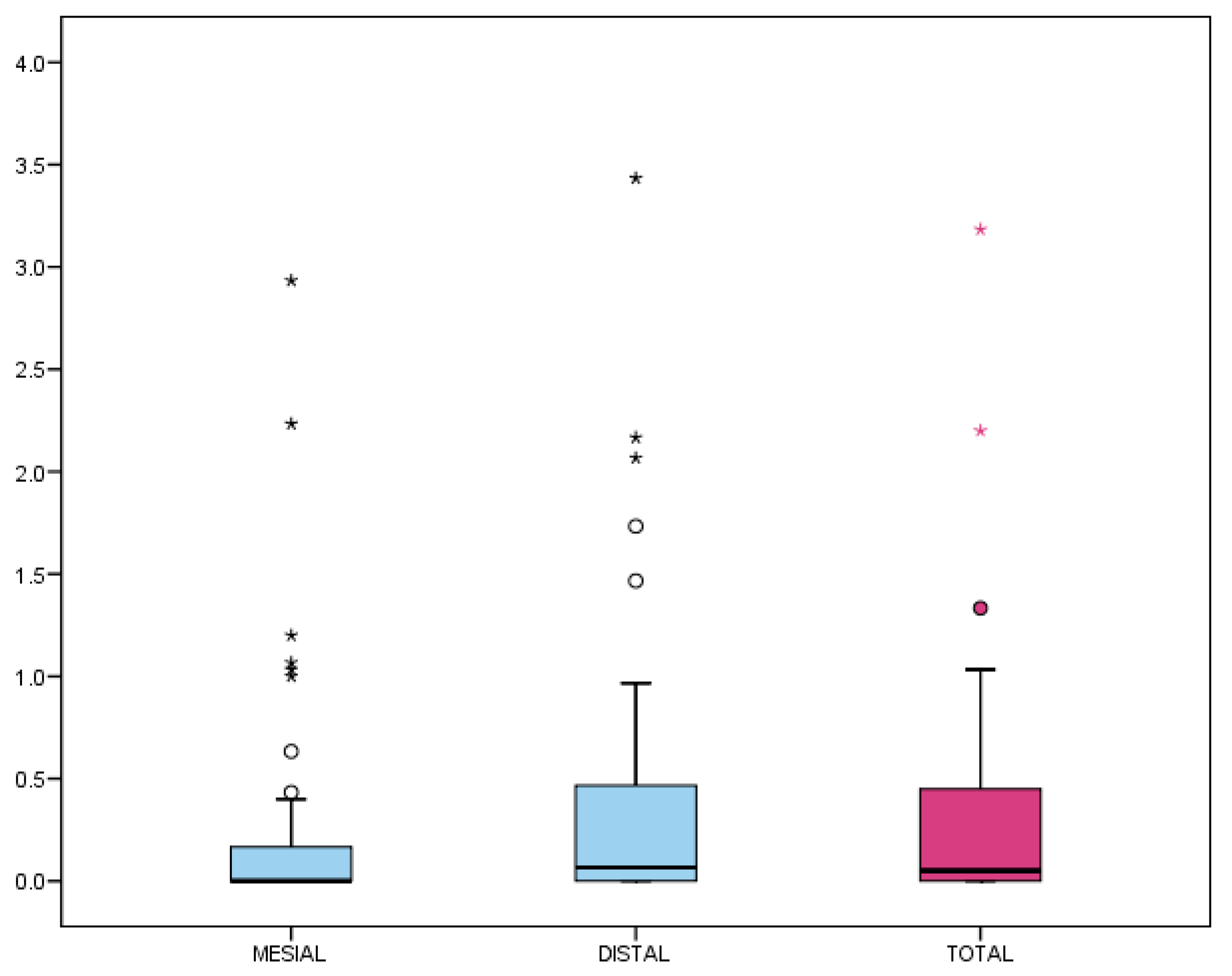
- Measurement in millimeters (mm) of MBL in mesial and distal made through 2D radiograph.
- Follow-up time with 3D X-ray when available.
- Measurement in mm of MBL in buccal and lingual performed by 3D X-ray.
- Occurrence of mechanical complications.
- Signs of inflammation, suppuration or bleeding of soft tissues.
- Early failures and time in months from implant placement.
- Late failures and time in months from implant placement.
2.3. Definitions
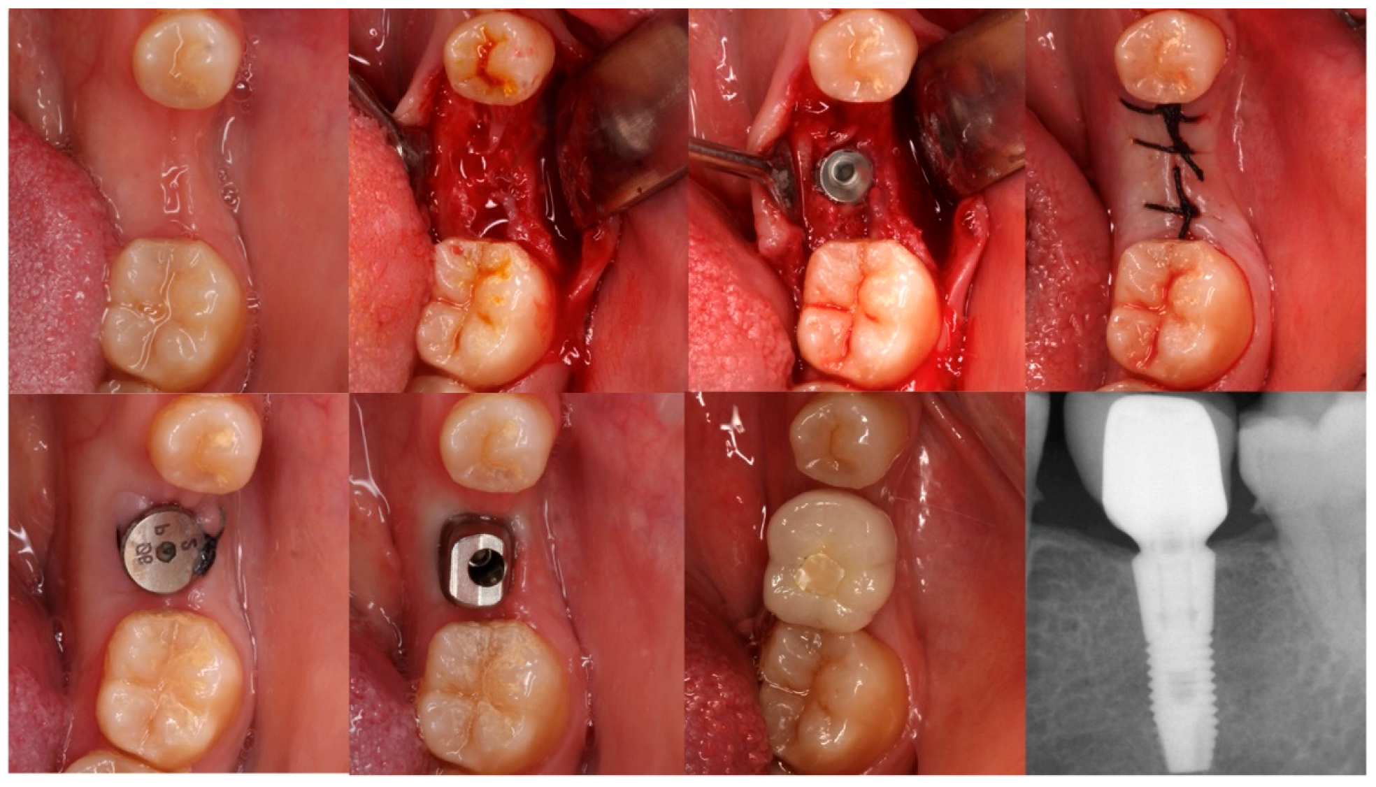
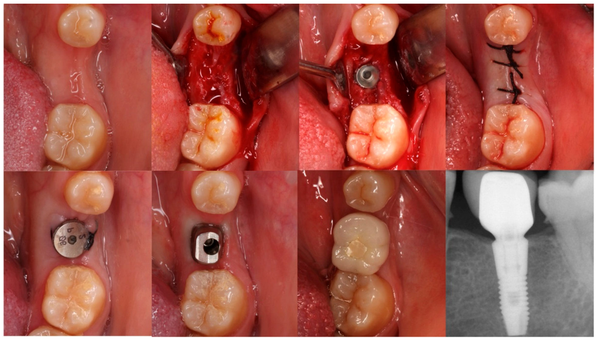
2.4. Clinical Procedure
2.5. Radiographic Examination
2.6. Statistical Analysis
3. Results
4. Discussion
5. Conclusions
Author Contributions
Funding
Institutional Review Board Statement
Informed Consent Statement
Data Availability Statement
Acknowledgments
Conflicts of Interest
Abbreviations
| MBL | Marginal Bone Loss |
| GBR | Guided Bone Regeneration |
| CBCT | Cone Beam Computed Tomography |
| CSR | Cumulative Survival Rate |
| RCT | Randomized Controlled Trial |
| STROBE | Strengthening the Reporting of Observational Studies in Epidemiology |
| ICC | Intraclass Correlation Coefficient |
| CI | Confidence Interval |
| IQR | Interquartile Range |
| BoP | Bleeding on Probing |
| APC | Article Processing Charge |
References
- Tan, W.L.; Wong, T.L.; Wong, M.C.; Lang, N.P. A systematic review of post-extractional alveolar hard and soft tissue dimensional changes in humans. Clin. Oral Implants Res. 2012, 23 (Suppl. S5), 1–21. [Google Scholar] [CrossRef] [PubMed]
- Araújo, M.G.; Lindhe, J. Dimensional ridge alterations following tooth extraction: An experimental study in the dog. J. Clin. Periodontol. 2005, 32, 212–218. [Google Scholar] [CrossRef] [PubMed]
- Welander, M.; Abrahamsson, I.; Berglundh, T. Placement of two-part implants in sites with different buccal and lingual bone heights. J. Periodontol. 2009, 80, 324–329. [Google Scholar] [CrossRef]
- Sun, Y.; Yang, J.; Chen, K.; Li, Z.; Chen, Z.; Huang, B. Clinical and radiographic results of crestal vs. subcrestal placement of implants in posterior areas: A split-mouth randomized controlled clinical trial. Clin. Implant Dent. Relat. Res. 2023, 25, 948–959. [Google Scholar] [CrossRef] [PubMed]
- Severi, M.; Simonelli, A.; Farina, R.; Tu, Y.K.; Lan, C.H.; Shih, M.C.; Trombelli, L. Effect of lateral bone augmentation procedures in correcting peri-implant bone dehiscence and fenestration defects: A systematic review and network meta-analysis. Clin. Implant. Dent. Relat. Res. 2022, 24, 251–264. [Google Scholar] [CrossRef]
- Choi, K.S.; Lozada, J.L.; Kan, J.Y.; Lee, S.H.; Kim, C.S.; Kwon, T.G. Study of an experimental microthreaded scalloped implant design: Proximal bone healing at different interimplant distances in a canine model. Int. J. Oral Maxillofac. Implant. 2010, 25, 681–689. [Google Scholar]
- Abrahamsson, I.; Welander, M.; Linder, E.; Berglundh, T. Healing at implants placed in an alveolar ridge with a sloped configuration: An experimental study in dogs. Clin. Implant. Dent. Relat. Res. 2014, 16, 62–69. [Google Scholar] [CrossRef]
- Noelken, R.; Donati, M.; Fiorellini, J.; Gellrich, N.C.; Parker, W.; Wada, K.; Berglundh, T. Soft and hard tissue alterations around implants placed in an alveolar ridge with a sloped configuration. Clin. Oral Implant. Res. 2014, 25, 3–9. [Google Scholar] [CrossRef]
- Schiegnitz, E.; Noelken, R.; Moergel, M.; Berres, M.; Wagner, W. Survival and tissue maintenance of an implant with a sloped configurated shoulder in the posterior mandible: A prospective multicenter study. Clin. Oral Implant. Res. 2017, 28, 721–726. [Google Scholar] [CrossRef]
- Donati, M.; Noelken, R.; Fiorellini, J.; Gellrich, N.C.; Parker, W.; Berglundh, T. Implants placed in an alveolar ridge with a sloped configuration: A 3-year prospective multicenter study. Clin. Oral Implant. Res. 2023, 34, 13–19. [Google Scholar] [CrossRef]
- Ashurko, I.; Samsonov, A.; Galyas, A.; Petukhova, M.; Tarasenko, S.; Unkovskiy, A. Rehabilitation using implants with sloped platform edge vs. standard platform with guided bone regeneration: A randomized control clinical trial. Dent. J. 2024, 12, 205. [Google Scholar] [CrossRef]
- Noelken, R.; Oberhansl, F.; Kunkel, M.; Wagner, W. Immediately provisionalized OsseoSpeed™ Profile implants inserted into extraction sockets: 3-year results. Clin. Oral Implant. Res. 2016, 27, 744–749. [Google Scholar] [CrossRef]
- Rojas-Vizcaya, F.; Zadeh, H.H. Minimizing the discrepancy between implant platform and alveolar bone for tilted implants with a sloped implant platform: A clinical report. J. Prosthet. Dent. 2018, 119, 319–324. [Google Scholar] [CrossRef] [PubMed]
- Puisys, A.; Auzbikaviciute, V.; Vindasiute-Narbute, E.; Zukauskas, S.; Vaicekauskas, K.; Razukevicus, D. Crestal bone stability after flapless placement of sloped implants with immediate temporization in edentulous mandible: A prospective comparative clinical trial. Clin. Exp. Dent. Res. 2021, 7, 131–136. [Google Scholar] [CrossRef]
- Lofaj, F.; Kučera, J.; Németh, D.; Minčík, J. Optimization of tilted implant geometry for stress reduction in All-on-4 treatment concept: Finite element analysis study. Int. J. Oral Maxillofac. Implant. 2018, 33, 1287–1295. [Google Scholar] [CrossRef]
- Simons, W.F.; De Smit, M.; Duyck, J.; Coucke, W.; Quirynen, M. The proportion of cancellous bone as predictive factor for early marginal bone loss around implants in the posterior part of the mandible. Clin. Oral Implant. Res. 2015, 26, 1051–1059. [Google Scholar] [CrossRef]
- Shemtov-Yona, K. Quantitative assessment of the jawbone quality classification: A meta-analysis study. PLoS ONE 2021, 16, e0253283. [Google Scholar] [CrossRef]
- Manfredini, D.; Ahlberg, J.; Aarab, G.; Bender, S.; Bracci, A.; Cistulli, P.A.; Conti, P.C.; De Leeuw, R.; Durham, J.; Emodi-Perlman, A.; et al. Standardised tool for the assessment of bruxism. J. Oral Rehabil. 2024, 51, 29–58. [Google Scholar] [CrossRef]
- Sanz, M.; Herrera, D.; Kebschull, M.; Chapple, I.; Jepsen, S.; Beglundh, T.; Sculean, A.; Tonetti, M.S.; EFP Workshop Participants and Methodological Consultants. Treatment of stage I–III periodontitis: The EFP S3 level clinical practice guideline. J. Clin. Periodontol. 2020, 47 (Suppl. S22), 4–60. [Google Scholar] [CrossRef] [PubMed]
- Berglundh, T.; Armitage, G.; Araujo, M.G.; Avila-Ortiz, G.; Blanco, J.; Camargo, P.M.; Chen, S.; Cochran, D.; Derks, J.; Figuero, E.; et al. Peri-implant diseases and conditions: Consensus report of workgroup 4 of the 2017 World Workshop on the Classification of Periodontal and Peri-Implant Diseases and Conditions. J. Clin. Periodontol. 2018, 45 (Suppl. S20), S286–S291. [Google Scholar] [CrossRef]
- Lorenz, J.; Ghanaati, S.; Aleksic, Z.; Milinkovic, I.; Lazic, Z.; Magić, M.; Wessing, B.; Grotenclos, R.S.; Merli, M.; Mariotti, G.; et al. Horizontal guided bone regeneration of the posterior mandible to allow implant placement: 1-year prospective study results. Clin. Oral Implant. Res. 2024, 36, 100–116. [Google Scholar] [CrossRef]
- Gotfredsen, K. Patient-reported outcomes for bone regenerative procedures. Periodontol. 2000 2023, 93, 270–276. [Google Scholar] [CrossRef] [PubMed]
- Ting, M.; Suzuki, J.B. Peri-implantitis. Dent. J. 2024, 12, 251. [Google Scholar] [CrossRef] [PubMed]
- Di Fiore, A.; Granata, S.; Monaco, C.; Stellini, E.; Yilmaz, B. Clinical performance of posterior monolithic zirconia implant-supported fixed dental prostheses with angulated screw channels: A 3-year prospective cohort study. J. Prosthet. Dent. 2023, 129, 566–572. [Google Scholar] [CrossRef]
- Schiegnitz, E.; Al-Nawas, B. Narrow-diameter implants: A systematic review and meta-analysis. Clin. Oral Implant. Res. 2018, 29 (Suppl. S16), 21–40. [Google Scholar] [CrossRef]
- Galindo-Moreno, P.; Catena, A.; Pérez-Sayáns, M.; Fernández-Barbero, J.E.; O’Valle, F.; Padial-Molina, M. Early marginal bone loss around dental implants to define success in implant dentistry: A retrospective study. Clin. Implant. Dent. Relat. Res. 2022, 24, 630–642. [Google Scholar] [CrossRef] [PubMed]
- Gadzo, N.; Ioannidis, A.; Naenni, N.; Hüsler, J.; Jung, R.E.; Thoma, D.S. Survival and complication rates of two dental implant systems supporting fixed restorations: 10-year data of a randomized controlled clinical study. Clin. Oral Investig. 2023, 27, 7327–7336. [Google Scholar] [CrossRef]
- Noelken, R.; Schiegnitz, E.; Al-Nawas, B.; Wagner, W. Marginal bone and keratinized mucosa alterations around sloped implants placed in healed sloped crests: A long-term cohort study. Int. J. Periodontics Restor. Dent. 2021, 41, 733–741. [Google Scholar] [CrossRef] [PubMed]
- Costa, J.A.; Mendes, J.M.; Salazar, F.; Pacheco, J.J.; Rompante, P.; Câmara, M.I. Analysis of peri-implant bone defects by using cone beam computed tomography (CBCT): An integrative review. Oral Radiol. 2023, 39, 455–466. [Google Scholar] [CrossRef]
- Dhondt, R.; Quirynen, M.; Tarce, M.; Teughels, W.; Temmerman, A.; Jacobs, R. The accuracy of probing, ultrasound and cone-beam CT scans for determining the buccal bone plate dimensions around oral implants: A systematic review. J. Periodontal Res. 2022, 57, 754–767. [Google Scholar] [CrossRef]
- Hyun, C.M.; Bayaraa, T.; Yun, H.S.; Jang, T.J.; Park, H.S.; Seo, J.K. Deep learning method for reducing metal artifacts in dental cone-beam CT using supplementary information from intra-oral scan. Phys. Med. Biol. 2022, 67, 175007. [Google Scholar] [CrossRef]
- Esteve-Pardo, G.; Esteve-Colomina, L. Clinical and radiographic evaluation of OsseoSpeed EV implants. Int. J. Oral Maxillofac. Implant. 2023, 38, 963–975. [Google Scholar] [CrossRef] [PubMed]








| Characteristic | n | % | |
|---|---|---|---|
| Age (years) | 51.9 (±13.4) | ||
| Gender | Male | 16 | 33.3 |
| Female | 32 | 66.7 | |
| Profile Implant System | OsseoSpeed TX | 12 | 25 |
| OsseoSpeed EV | 33 | 75 | |
| Implant Position | Second Premolar | 3 | 6.3 |
| First Molar | 35 | 72.9 | |
| Second Molar | 10 | 20.8 | |
| Implant Diameter | 4.2 | 31 | 64.6 |
| 4.5 | 1 | 2.1 | |
| 4.8 | 5 | 10.4 | |
| 5 | 11 | 22.9 | |
| Implant Length | 8 | 4 | 8.3 |
| 9 | 20 | 41.7 | |
| 11 | 22 | 45.8 | |
| 13 | 2 | 4.2 | |
| Type of prosthesis | Single unit | 39 | 81.2 |
| Multiple | 9 | 18.8 | |
| Type of abutment | Customized | 41 | 85.4 |
| Stock | 7 | 14.6 | |
| Type of retention | Screwed | 43 | 89.6 |
| Cemented | 5 | 10.4 | |
| Health Conditions | Periodontal | 19 | 42.2 |
| Smoking | 15 | 31.3 | |
| Bruxism | 12 | 25 |
| Time (Months) | Implants at Risk | Failed Implants | Drop-Out/Lost to Follow-Up | Implant Survival in the Interval | Cumulative Survival |
|---|---|---|---|---|---|
| 0–12 | 48 | 0 | 9 | 100% | 100% |
| 12–24 | 39 | 0 | 10 | 100% | 100% |
| 24–36 | 29 | 1 | 11 | 96.5% | 96.5% |
| 36–48 | 17 | 1 | 3 | 94.1% | 90.8% |
| 48–60 | 13 | 1 | 2 | 92.3% | 83.8% |
| 60–72 | 10 | 0 | 4 | 100% | 83.8% |
| 72–84 | 6 | 0 | 1 | 100% | 83.8% |
| 84–96 | 5 | 0 | 1 | 100% | 83.8% |
| 96–108 | 4 | 0 | 2 | 100% | 83.8% |
| 108–120 | 2 | 0 | 1 | 100% | 83.8% |
| 120–127 | 1 | 0 | 1 | 100% | 83.8% |
| p-Value | |
|---|---|
| Gender | 0.844 |
| Age | NA |
| Medical Antecedents (yes/no) | 0.323 |
| Smoking | 0.122 |
| Occlusal Splint | 0.218 |
| Periodontal Disease | NA |
| Implant System | 0.193 |
| Diameter (</>=4.5 mm) | 0.313 |
| Length (</>10 mm) | 0.250 |
| Tooth (PM/M1/M2) | 0.250 |
| Screw/Cement | 0.353 |
| Single/Multiple Prosthesis | 0.398 |
| ICC | CI 95% | |
|---|---|---|
| MBL RX Mesial | 0.930 | 0.889–0.959 |
| MBL RX Distal | 0.942 | 0.908–0.966 |
| MBL CBCT Vestibular | 0.970 | 0.941–0.986 |
| MBL CBCT Lingual | 0.935 | 0.875–0.970 |
| N | Mean | SD | Min | Max | P25 | Median | P75 | |
|---|---|---|---|---|---|---|---|---|
| MBL Mesial | 45 | 0.27 | 0.60 | 0.00 | 2.93 | 0.00 | 0.00 | 0.17 |
| MBL Distal | 45 | 0.39 | 0.72 | 0.00 | 3.43 | 0.00 | 0.07 | 0.47 |
| MBL Total | 45 | 0.33 | 0.61 | 0.00 | 3.18 | 0.00 | 0.05 | 0.45 |
Disclaimer/Publisher’s Note: The statements, opinions and data contained in all publications are solely those of the individual author(s) and contributor(s) and not of MDPI and/or the editor(s). MDPI and/or the editor(s) disclaim responsibility for any injury to people or property resulting from any ideas, methods, instructions or products referred to in the content. |
© 2025 by the authors. Licensee MDPI, Basel, Switzerland. This article is an open access article distributed under the terms and conditions of the Creative Commons Attribution (CC BY) license (https://creativecommons.org/licenses/by/4.0/).
Share and Cite
Esteve-Pardo, G.; Amigó-Bardají, J.; Esteve-Colomina, L. Clinical and Radiographic Outcomes of Sloped-Shoulder Implants in the Posterior Mandible: A Retrospective Study. Dent. J. 2025, 13, 466. https://doi.org/10.3390/dj13100466
Esteve-Pardo G, Amigó-Bardají J, Esteve-Colomina L. Clinical and Radiographic Outcomes of Sloped-Shoulder Implants in the Posterior Mandible: A Retrospective Study. Dentistry Journal. 2025; 13(10):466. https://doi.org/10.3390/dj13100466
Chicago/Turabian StyleEsteve-Pardo, Guillem, Javier Amigó-Bardají, and Lino Esteve-Colomina. 2025. "Clinical and Radiographic Outcomes of Sloped-Shoulder Implants in the Posterior Mandible: A Retrospective Study" Dentistry Journal 13, no. 10: 466. https://doi.org/10.3390/dj13100466
APA StyleEsteve-Pardo, G., Amigó-Bardají, J., & Esteve-Colomina, L. (2025). Clinical and Radiographic Outcomes of Sloped-Shoulder Implants in the Posterior Mandible: A Retrospective Study. Dentistry Journal, 13(10), 466. https://doi.org/10.3390/dj13100466

