Survival Rates of Short Dental Implants (≤6 mm) Used as an Alternative to Longer (>6 mm) Implants for the Rehabilitation of Posterior Partial Edentulism: A Systematic Review of RCTs
Abstract
1. Introduction
2. Materials and Methods
2.1. Focused Question
2.2. PICO
- Population: systemically and periodontally healthy, partially edentulous adult subjects (≥18 years old) with implant restorations in the posterior mandible or maxilla.
- Intervention (test group): studies evaluating the use of implants with rough surfaces and ≤6 mm in length.
- Comparison (control group): patients receiving dental implants > 6 mm in length and rough surfaces.
- Outcome: primary outcome: implant survival rates; secondary outcomes: radiographic marginal bone loss, prevalence of peri-implantitis, and prosthetic/technical complications.
2.3. Inclusion Criteria
- RCTs reporting on short and standard-length implant placement in the posterior mandible or maxilla of partially edentulous, systemically and periodontally healthy adult (≥18 years old) subjects, with a follow-up of at least 1-year post-loading.
- Studies including a minimum of 10 patients per arm and written in the English language.
- Studies comparing the outcomes of short (≤6 mm) rough-surfaced implants to standard-length implants.
2.4. Exclusion Criteria
- In vitro and pre-clinical studies, case reports, case series, prospective, cohort, or retrospective studies.
- Studies with follow-up < 12 months post-loading.
- Studies with incomplete information on the number of patients, follow-up, site of implant placement, implant surface characteristics, or definition of “short implants”.
- Studies including implants with length > 6 mm in the short implants group, or using non rough-surfaced implants.
- Studies not reporting on implant survival rates in short and standard-length implant groups.
2.5. Search Methodology
2.6. Study Selection
2.7. Data Extraction
2.8. Quality Assessment
2.9. Statistical Analysis
3. Results
3.1. Study Characteristics
3.2. Excluded Studies
3.3. Included Studies
3.4. Quality Assessment
3.5. Publication Bias
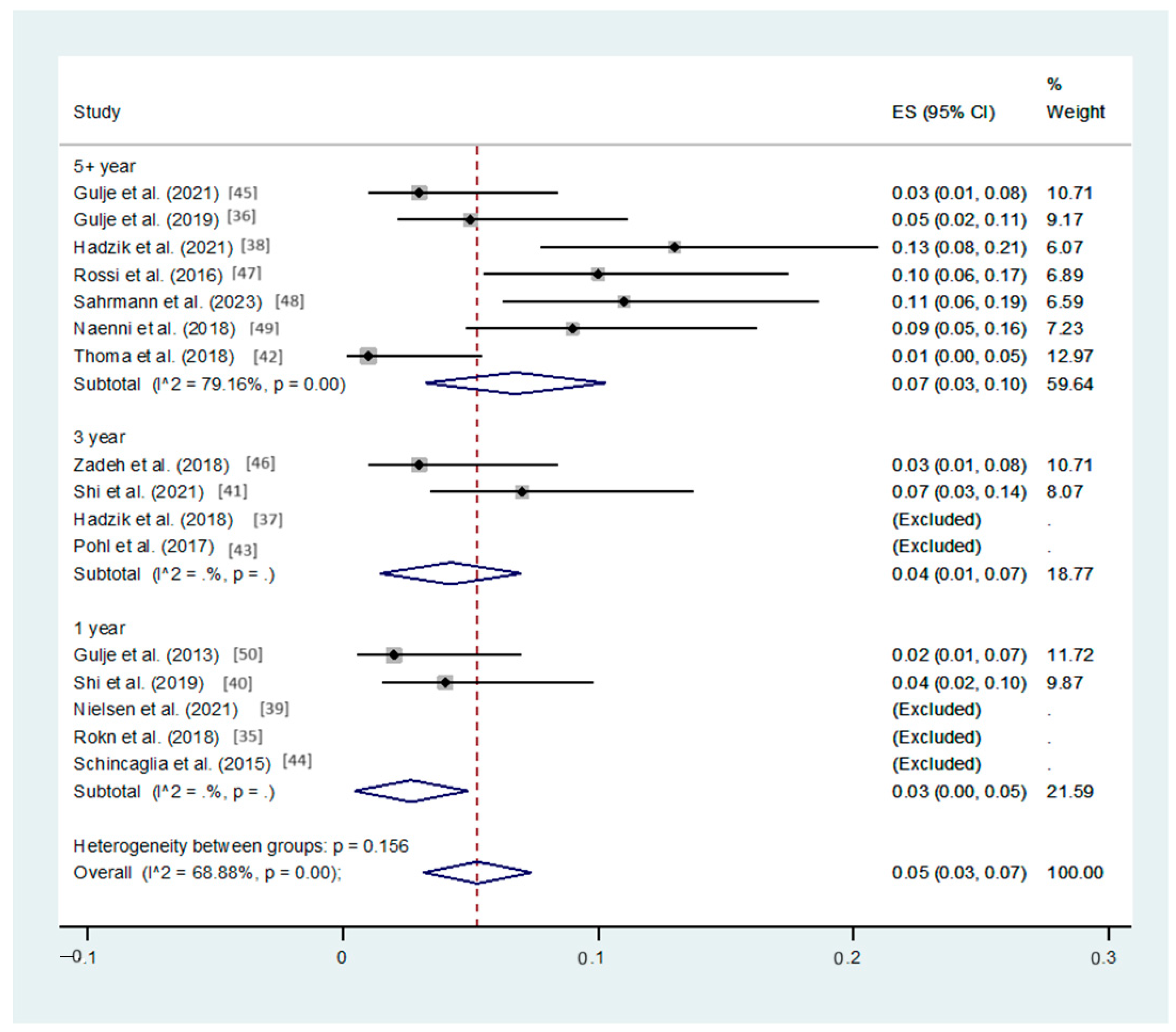
3.6. Implant Survival Rate
3.7. Marginal Bone Loss
3.8. Prevalence of Peri-Implantitis
3.9. Technical/Prosthetic Complications
4. Discussion
5. Conclusions
Supplementary Materials
Author Contributions
Funding
Data Availability Statement
Acknowledgments
Conflicts of Interest
Appendix A. Details on the Search Strategies Applied
References
- Nisand, D.; Renouard, F. Short implant in limited bone volume. Periodontology 2000 2014, 66, 72–96. [Google Scholar] [CrossRef]
- Corsalini, M.; D’Agostino, S.; Favia, G.; Dolci, M.; Tempesta, A.; Di Venere, D.; Limongelli, L.; Capodiferro, S. A Minimally Invasive Technique for Short Spiral Implant Insertion with Contextual Crestal Sinus Lifting in the Atrophic Maxilla: A Preliminary Report. Healthcare 2020, 9, 11. [Google Scholar] [CrossRef]
- Rajkumar, G.C.; Aher, V.; Ramaiya, S.; Manjunath, G.S.; Kumar, D.V. Implant placement in the atrophic posterior maxilla with sinus elevation without bone grafting: A 2-year prospective study. Int. J. Oral Maxillofac. Implant. 2013, 28, 526–530. [Google Scholar] [CrossRef]
- Fernandes, G.; Costa, B.; Trindade, H.F.; Castilho, R.M.; Fernandes, J. Comparative analysis between extra-short implants (≤6 mm) and 6 mm-longer implants: A meta-analysis of randomized controlled trial. Aust. Dent. J. 2022, 67, 194–211. [Google Scholar] [CrossRef]
- Esposito, M.; Buti, J.; Barausse, C.; Gasparro, R.; Sammartino, G.; Felice, P. Short implants versus longer implants in vertically augmented atrophic mandibles: A systematic review of randomised controlled trials with a 5-year post-loading follow-up. Int. J. Oral Implant. 2019, 12, 267–280. [Google Scholar]
- Bitinas, D.; Bardijevskyt, G. Short implants without bone augmentation vs. long implants with bone augmentation: Systematic review and meta-analysis. Aust. Dent. J. 2021, 66 (Suppl. 1), S71–S81. [Google Scholar] [CrossRef]
- Uehara, P.N.; Matsubara, V.H.; Igai, F.; Sesma, N.; Mukai, M.K.; Araujo, M.G. Short Dental Implants (≤7 mm) Versus Longer Implants in Augmented Bone Area: A Meta-Analysis of Randomized Controlled Trials. Open Dent. J. 2018, 12, 354–365. [Google Scholar] [CrossRef]
- Mezzomo, L.A.; Miller, R.; Triches, D.; Alonso, F.; Shinkai, R.S. Meta-analysis of single crowns supported by short (<10 mm) implants in the posterior region. J. Clin. Periodontol. 2014, 41, 191–213. [Google Scholar]
- Strietzel, F.P.; Reichart, P.A. Oral rehabilitation using Camlog screw-cylinder implants with a particle-blasted and acid-etched microstructured surface. Results from a prospective study with special consideration of short implants. Clin. Oral Implant. Res. 2007, 18, 591–600. [Google Scholar] [CrossRef]
- Jung, R.E.; Al-Nawas, B.; Araujo, M.; Avila-Ortiz, G.; Barter, S.; Brodala, N.; Chappuis, V.; Chen, B.; De Souza, A.; Almeida, R.F. Group 1 ITI Consensus Report: The influence of implant length and design and medications on clinical and patient-reported outcomes. Clin. Oral Implant. Res. 2018, 29 (Suppl. 16), 69–77. [Google Scholar] [CrossRef]
- Papaspyridakos, P.; De Souza, A.; Vazouras, K.; Gholami, H.; Pagni, S.; Weber, H.P. Survival rates of short dental implants (≤6 mm) compared with implants longer than 6 mm in posterior jaw areas: A meta-analysis. Clin. Oral Implant. Res. 2018, 29 (Suppl. 16), 8–20. [Google Scholar] [CrossRef]
- Guida, L.; Bressan, E.; Cecoro, G.; Volpe, A.D.; Del Fabbro, M.; Annunziata, M. Short versus Longer Implants in Sites without the Need for Bone Augmentation: A Systematic Review and Meta-Analysis of Randomized Controlled Trials. Materials 2022, 15, 3138. [Google Scholar] [CrossRef]
- Yu, X.; Xu, R.; Zhang, Z.; Yang, Y.; Deng, F. A meta-analysis indicating extra-short implants (≤6 mm) as an alternative to longer implants (≥ 8 mm) with bone augmentation. Sci. Rep. 2021, 11, 8152. [Google Scholar] [CrossRef]
- Pauletto, P.; Ruales-Carrera, E.; Mezzomo, L.A.; Stefani, C.M.; Taba, M.; Goncalves, R.B.; Flores-Mir, C.; De Luca Canto, G. Clinical performance of short versus standard dental implants in vertically augmented bone: An overview of systematic reviews. Clin. Oral Investig. 2021, 25, 6045–6068. [Google Scholar] [CrossRef]
- Davies, J.E. Understanding Peri-Implant Endosseous Healing. J. Dent. Educ. 2003, 67, 932–949. [Google Scholar] [CrossRef]
- Schliephake, H.; Scharnweber, D.; Dard, M.; Sewing, A.; Aref, A.; Roessler, S. Functionalization of dental implant surfaces using adhesion molecules. J. Biomed. Mater. Res. B Appl. Biomater. 2005, 73, 88–96. [Google Scholar] [CrossRef]
- Dohan Ehrenfest, D.M.; Coelho, P.G.; Kang, B.S.; Sul, Y.T.; Albrektsson, T. Classification of osseointegrated implant surfaces: Materials, chemistry and topography. Trends Biotechnol. 2010, 28, 198–206. [Google Scholar] [CrossRef]
- Page, M.J.; McKenzie, J.E.; Bossuyt, P.M.; Boutron, I.; Hoffmann, T.C.; Mulrow, C.D.; Shamseer, L.; Tetzlaff, J.M.; Akl, E.A.; Brennan, S.E. The PRISMA 2020 statement: An updated guideline for reporting systematic reviews. BMJ 2021, 372, n71. [Google Scholar] [CrossRef]
- Higgins, J.; Thomas, J.; Chandler, J.; Cumpston, M.; Li, T.; Page, M.; Welch, V. (Eds.) Cochrane Handbook for Systematic Reviews of Interventions Version 6.4 (Updated August 2023); Cochrane: London, UK, 2023. [Google Scholar]
- da Costa Santos, C.M.; de Mattos Pimenta, C.A.; Nobre, M.R. The PICO strategy for the research question construction and evidence search. Rev. Lat. -Am. De Enferm. 2007, 15, 508–511. [Google Scholar] [CrossRef]
- Sterne, J.A.C.; Savović, J.; Page, M.J.; Elbers, R.G.; Blencowe, N.S.; Boutron, I.; Cates, C.J.; Cheng, H.Y.; Corbett, M.S.; Eldridge, S.M.; et al. RoB 2: A revised tool for assessing risk of bias in randomised trials. BMJ 2019, 366, l4898. [Google Scholar] [CrossRef]
- Gurlek, O.; Kaval, M.E.; Buduneli, N.; Nizam, N. Extra-short implants in the prosthetic rehabilitation of the posterior maxilla. Aust. Dent. J. 2019, 64, 353–358. [Google Scholar] [CrossRef]
- Malmstrom, H.; Gupta, B.; Ghanem, A.; Cacciato, R.; Ren, Y.; Romanos, G.E. Success rate of short dental implants supporting single crowns and fixed bridges. Clin. Oral Implant. Res 2016, 27, 1093–1098. [Google Scholar] [CrossRef]
- Le, B.T.; Follmar, T.; Borzabadi-Farahani, A. Assessment of short dental implants restored with single-unit nonsplinted restorations. Implant Dent. 2013, 22, 499–502. [Google Scholar] [CrossRef] [PubMed]
- Maló, P.; de Araújo Nobre, M.A.; Lopes, A.V.; Rodrigues, R. Immediate loading short implants inserted on low bone quantity for the rehabilitation of the edentulous maxilla using an All-on-4 design. J. Oral Rehabil. 2015, 42, 615–623. [Google Scholar] [CrossRef] [PubMed]
- Bechara, S.; Kubilius, R.; Veronesi, G.; Pires, J.T.; Shibli, J.A.; Mangano, F.G. Short (6-mm) dental implants versus sinus floor elevation and placement of longer (≥10-mm) dental implants: A randomized controlled trial with a 3-year follow-up. Clin. Oral Implant. Res. 2017, 28, 1097–1107. [Google Scholar] [CrossRef] [PubMed]
- Al-Hashedi, A.A.; Taiyeb-Ali, T.B.; Yunus, N. Outcomes of placing short implants in the posterior mandible: A preliminary randomized controlled trial. Aust. Dent. J. 2016, 61, 208–218. [Google Scholar] [CrossRef]
- Benlidayi, M.E.; Ucar, Y.; Tatli, U.; Ekren, O.; Evlice, B.; Kisa, H.I.; Baksi, U. Short Implants versus Standard Implants: Midterm Outcomes of a Clinical Study. Implant Dent. 2018, 27, 95–100. [Google Scholar] [CrossRef]
- Dursun, E.; Keceli, H.G.; Uysal, S.; Güngör, H.; Muhtarogullari, M.; Tözüm, T.F. Management of Limited Vertical Bone Height in the Posterior Mandible: Short Dental Implants Versus Nerve Lateralization with Standard Length Implants. J. Craniofacial Surg. 2016, 27, 578–585. [Google Scholar] [CrossRef]
- Magdy, M.; Abdelkader, M.A.; Alloush, S.; Fawzy El-Sayed, K.M.; Nawwar, A.A.; Shoeib, M.; ElNahass, H. Ultra-short versus standard-length dental implants in conjunction with osteotome-mediated sinus floor elevation: A randomized controlled clinical trial. Clin. Implant Dent. Relat. Res. 2021, 23, 520–529. [Google Scholar] [CrossRef]
- Bernardi, S.; Gatto, R.; Severino, M.; Botticelli, G.; Caruso, S.; Rastelli, C.; Lupi, E.; Roias, A.Q.; Iacomino, E.; Falisi, G.; et al. Short Versus Longer Implants in Mandibular Alveolar Ridge Augmented Using Osteogenic Distraction: One-Year Follow-up of a Randomized Split-Mouth Trial. J. Oral Implant. 2018, 44, 184–191. [Google Scholar] [CrossRef]
- Storelli, S.; Abbà, A.; Scanferla, M.; Botticelli, D.; Romeo, E. 6 mm vs 10 mm-long implants in the rehabilitation of posterior jaws: A 10-year follow-up of a randomised controlled trial. Eur. J. Oral Implant. 2018, 11, 283–292. [Google Scholar]
- Martinolli, M.; Bortolini, S.; Natali, A.; Pereira, L.J.; Castelo, P.M.; Rodrigues Garcia, R.C.M.; Gonçalves, T.M.S.V. Long-term survival analysis of standard-length and short implants with multifunctional abutments. J. Oral Rehabil. 2019, 46, 640–646. [Google Scholar] [CrossRef]
- Weerapong, K.; Sirimongkolwattana, S.; Sastraruji, T.; Khongkhunthian, P. Comparative study of immediate loading on short dental implants and conventional dental implants in the posterior mandible: A randomized clinical trial. Int. J. Oral Maxillofac. Implant. 2019, 34, 141–149. [Google Scholar] [CrossRef]
- Rokn, A.R.; Monzavi, A.; Panjnoush, M.; Hashemi, H.M.; Kharazifard, M.J.; Bitaraf, T. Comparing 4-mm dental implants to longer implants placed in augmented bones in the atrophic posterior mandibles: One-year results of a randomized controlled trial. Clin. Implant Dent. Relat. Res. 2018, 20, 997–1002. [Google Scholar] [CrossRef]
- Guljé, F.L.; Raghoebar, G.M.; Vissink, A.; Meijer, H.J.A. Single crowns in the resorbed posterior maxilla supported by either 11-mm implants combined with sinus floor elevation or 6-mm implants: A 5-year randomised controlled trial. Int. J. Oral Implant. 2019, 12, 315–326. [Google Scholar]
- Hadzik, J.; Krawiec, M.; Kubasiewicz-Ross, P.; Prylińska-Czyżewska, A.; Gedrange, T.; Dominiak, M. Short Implants and Conventional Implants in The Residual Maxillary Alveolar Ridge: A 36-Month Follow-Up Observation. Med. Sci. Monit. 2018, 24, 5645–5652. [Google Scholar] [CrossRef] [PubMed]
- Hadzik, J.; Kubasiewicz-Ross, P.; Nawrot-Hadzik, I.; Gedrange, T.; Pitułaj, A.; Dominiak, M. Short (6 mm) and Regular Dental Implants in the Posterior Maxilla-7-Years Follow-up Study. J. Clin. Med. 2021, 10, 940. [Google Scholar] [CrossRef]
- Nielsen, H.B.; Schou, S.; Bruun, N.H.; Starch-Jensen, T. Single-crown restorations supported by short implants (6 mm) compared with standard-length implants (13 mm) in conjunction with maxillary sinus floor augmentation: A randomized, controlled clinical trial. Int. J. Implant Dent. 2021, 7, 66. [Google Scholar] [CrossRef]
- Shi, J.Y.; Li, Y.; Qiao, S.C.; Gu, Y.X.; Xiong, Y.Y.; Lai, H.C. Short versus longer implants with osteotome sinus floor elevation for moderately atrophic posterior maxillae: A 1-year randomized clinical trial. J. Clin. Periodontol. 2019, 46, 855–862. [Google Scholar] [CrossRef]
- Shi, J.-Y.; Lai, Y.R.; Qian, S.J.; Qiao, S.C.; Tonetti, M.S.; Lai, H.C. Clinical, radiographic and economic evaluation of short-6-mm implants and longer implants combined with osteotome sinus floor elevation in moderately atrophic maxillae: A 3-year randomized clinical trial. J. Clin. Periodontol. 2021, 48, 695–704. [Google Scholar] [CrossRef]
- Thoma, D.S.; Haas, R.; Sporniak-Tutak, K.; Garcia, A.; Taylor, T.D.; Hämmerle, C.H.F. Randomized controlled multicentre study comparing short dental implants (6 mm) versus longer dental implants (11–15 mm) in combination with sinus floor elevation procedures: 5-Year data. J. Clin. Periodontol. 2018, 45, 1465–1474. [Google Scholar] [CrossRef]
- Pohl, V.; Thoma, D.S.; Sporniak-Tutak, K.; Garcia-Garcia, A.; Taylor, T.D.; Haas, R.; Hämmerle, C.H. Short dental implants (6 mm) versus long dental implants (11–15 mm) in combination with sinus floor elevation procedures: 3-year results from a multicentre, randomized, controlled clinical trial. J. Clin. Periodontol. 2017, 44, 438–445. [Google Scholar] [CrossRef]
- Schincaglia, G.P.; Thoma, D.S.; Haas, R.; Tutak, M.; Garcia, A.; Taylor, T.D.; Hämmerle, C.H. Randomized controlled multicenter study comparing short dental implants (6 mm) versus longer dental implants (11–15 mm) in combination with sinus floor elevation procedures. Part 2: Clinical and radiographic outcomes at 1 year of loading. J. Clin. Periodontol. 2015, 42, 1042–1051. [Google Scholar] [CrossRef]
- Guljé, F.L.; Meijer, H.J.A.; Abrahamsson, I.; Barwacz, C.A.; Chen, S.; Palmer, P.J.; Zadeh, H.; Stanford, C.M. Comparison of 6-mm and 11-mm dental implants in the posterior region supporting fixed dental prostheses: 5-year results of an open multicenter randomized controlled trial. Clin. Oral Implant. Res. 2021, 32, 15–22. [Google Scholar] [CrossRef]
- Zadeh, H.H.; Guljé, F.; Palmer, P.J.; Abrahamsson, I.; Chen, S.; Mahallati, R.; Stanford, C.M. Marginal bone level and survival of short and standard-length implants after 3 years: An Open Multi-Center Randomized Controlled Clinical Trial. Clin. Oral Implant. Res. 2018, 29, 894–906. [Google Scholar] [CrossRef]
- Rossi, F.; Botticelli, D.; Cesaretti, G.; De Santis, E.; Storelli, S.; Lang, N.P. Use of short implants (6 mm) in a single-tooth replacement: A 5-year follow-up prospective randomized controlled multicenter clinical study. Clin. Oral Implant. Res. 2016, 27, 458–464. [Google Scholar] [CrossRef]
- Sahrmann, P.; Naenni, N.; Jung, R.E.; Hämmerle, C.H.F.; Attin, T.; Schmidlin, P.R. Ten-Year Performance of Posterior 6-mm Implants with Single-Tooth Restorations: A Randomized Controlled Trial. J. Dent. Res. 2023, 102, 1015–1021. [Google Scholar] [CrossRef]
- Naenni, N.; Sahrmann, P.; Schmidlin, P.R.; Attin, T.; Wiedemeier, D.B.; Sapata, V.; Hämmerle, C.H.F.; Jung, R.E. Five-Year Survival of Short Single-Tooth Implants (6 mm): A Randomized Controlled Clinical Trial. J. Dent. Res. 2018, 97, 887–892. [Google Scholar] [CrossRef]
- Guljé, F.; Abrahamsson, I.; Chen, S.; Stanford, C.; Zadeh, H.; Palmer, R. Implants of 6 mm vs. 11 mm lengths in the posterior maxilla and mandible: A 1-year multicenter randomized controlled trial. Clin. Oral Implant. Res. 2013, 24, 1325–1331. [Google Scholar] [CrossRef]
- Berglundh, T.; Persson, L.; Klinge, B. A systematic review of the incidence of biological and technical complications in implant dentistry reported in prospective longitudinal studies of at least 5 years. J. Clin. Periodontol. 2002; 29, (Suppl. 3), 197–212, discussion 232–233. [Google Scholar]
- Dereka, X.; Akcalı, A.; Trullenque-Eriksson, A.; Donos, N. Systematic review on the association between genetic polymorphisms and dental implant-related biological complications. Clin. Oral Implant. Res. 2022, 33, 131–141. [Google Scholar] [CrossRef]
- Lin, G.; Ye, S.; Liu, F.; He, F. A retrospective study of 30,959 implants: Risk factors associated with early and late implant loss. J. Clin. Periodontol. 2018, 45, 733–743. [Google Scholar] [CrossRef]
- Ravida, A.; Wang, I.C.; Barootchi, S.; Askar, H.; Tavelli, L.; Gargallo-Albiol, J.; Wang, H.L. Meta-analysis of randomized clinical trials comparing clinical and patient-reported outcomes between extra-short (≤6 mm) and longer (≥10 mm) implants. J. Clin. Periodontol. 2019, 46, 118–142. [Google Scholar] [CrossRef]
- Swierkot, K.; Lottholz, P.; Flores-de-Jacoby, L.; Mengel, R. Mucositis, peri-implantitis, implant success, and survival of implants in patients with treated generalized aggressive periodontitis: 3- to 16-year results of a prospective long-term cohort study. J. Periodontol. 2012, 83, 1213–1225. [Google Scholar] [CrossRef]
- Smith, M.M.; Knight, E.T.; Al-Harthi, L.; Leichter, J.W. Chronic periodontitis and implant dentistry. Periodontology 2000 2017, 74, 63–73. [Google Scholar] [CrossRef]
- Sun, C.; Zhao, J.; Jianghao, C.; Hong, T. Effect of Heavy Smoking on Dental Implants Placed in Male Patients Posterior Mandibles: A Prospective Clinical Study. J. Oral Implant. 2016, 42, 477–483. [Google Scholar] [CrossRef]
- Naseri, R.; Yaghini, J.; Feizi, A. Levels of smoking and dental implants failure: A systematic review and meta-analysis. J. Clin. Periodontol. 2020, 47, 518–528. [Google Scholar] [CrossRef]
- Manfredini, D.; Poggio, C.E.; Lobbezoo, F. Is bruxism a risk factor for dental implants? A systematic review of the literature. Clin. Implant Dent. Relat. Res. 2014, 16, 460–469. [Google Scholar] [CrossRef]
- Chrcanovic, B.R.; Isch, J.; Albrektsson, T.; Wennerberg, A. Bruxism and dental implant failures: A multilevel mixed effects parametric survival analysis approach. J. Oral Rehabil. 2016, 43, 813–823. [Google Scholar] [CrossRef]
- Carosi, P.; Lorenzi, C.; Lio, F.; Laureti, M.; Ferrigno, N.; Arcuri, C. Short implants (≤6 mm) as an alternative treatment option to maxillary sinus lift. Int. J. Oral Maxillofac. Surg. 2021, 50, 1502–1510. [Google Scholar] [CrossRef]
- Coli, P.; Jemt, T. On marginal bone level changes around dental implants. Clin. Implant Dent. Relat. Res. 2021, 23, 159–169. [Google Scholar] [CrossRef]
- Ravida, A.; Wang, I.C.; Sammartino, G.; Barootchi, S.; Tattan, M.; Troiano, G.; Laino, L.; Marenzi, G.; Covani, U.; Wang, H.L. Prosthetic Rehabilitation of the Posterior Atrophic Maxilla, Short (≤6 mm) or Long (≥10 mm) Dental Implants? A Systematic Review, Meta-analysis, and Trial Sequential Analysis: Naples Consensus Report Working Group A. Implant Dent. 2019, 28, 590–602. [Google Scholar] [CrossRef]
- da Rocha Ferreira, J.J.; Machado, L.F.M.; Oliveira, J.M.; Ramos, J.C.T. Effect of crown-to-implant ratio and crown height space on marginal bone stress: A finite element analysis. Int. J. Implant Dent. 2021, 7, 81. [Google Scholar] [CrossRef]
- Anitua, E.; Piñas, L.; Orive, G. Retrospective study of short and extra-short implants placed in posterior regions: Influence of crown-to-implant ratio on marginal bone loss. Clin. Implant Dent. Relat. Res. 2015, 17, 102–110. [Google Scholar] [CrossRef]
- Garaicoa-Pazmino, C.; Suárez-López del Amo, F.; Monje, A.; Catena, A.; Ortega-Oller, I.; Galindo-Moreno, P.; Wang, H.L. Influence of crown/implant ratio on marginal bone loss: A systematic review. J. Periodontol. 2014, 85, 1214–1221. [Google Scholar] [CrossRef]
- Blanes, R.J.; Bernard, J.P.; Blanes, Z.M.; Belser, U.C. A 10-year prospective study of ITI dental implants placed in the posterior region. II: Influence of the crown-to-implant ratio and different prosthetic treatment modalities on crestal bone loss. Clin. Oral Implant. Res. 2007, 18, 707–714. [Google Scholar] [CrossRef]
- Lee, K.J.; Kim, Y.G.; Park, J.W.; Lee, J.M.; Suh, J.Y. Influence of crown-to-implant ratio on periimplant marginal bone loss in the posterior region: A five-year retrospective study. J. Periodontal. Implant. Sci. 2012, 42, 231–236. [Google Scholar] [CrossRef]
- Di Fiore, A.; Vigolo, P.; Sivolella, S.; Cavallin, F.; Katsoulis, J.; Monaco, C.; Stellini, E. Influence of Crown-to-Implant Ratio on Long-Term Marginal Bone Loss Around Short Implants. Int. J. Oral Maxillofac. Implant. 2019, 34, 992–998. [Google Scholar] [CrossRef]
- Anitua, E.; Piñas, L.; Begoña, L.; Orive, G. Implant survival and crestal bone loss around extra-short implants supporting a fixed denture: The effect of crown height space, crown-to-implant ratio, and offset placement of the prosthesis. Int. J. Oral Maxillofac. Implant. 2014, 29, 682–689. [Google Scholar] [CrossRef]
- Padhye, N.M.; Lakha, T.; Naenni, N.; Kheur, M. Effect of crown-to-implant ratio on the marginal bone level changes and implant survival—A systematic review and meta-analysis. J. Oral Biol. Craniofac. Res. 2020, 10, 705–713. [Google Scholar] [CrossRef]
- Kulkarni, V.; Uttamani, J.R.; Asar, N.V.; Nares, S.; Tözüm, T.F. Evidence-Based Clinical Outcomes of Immediate and Early Loading of Short Endosseous Dental Implants: A Meta-analysis. Int. J. Oral Maxillofac. Implant. 2021, 36, 59–67. [Google Scholar] [CrossRef]
- Sáenz-Ravello, G.; Ossandón-Zúñiga, B.; Muñoz-Meza, V.; Mora-Ferraro, D.; Baeza, M.; Fan, S.; Sagheb, K.; Schiegnitz, E.; Díaz, L. Short implants compared to regular dental implants after bone augmentation in the atrophic posterior mandible: Umbrella review and meta-analysis of success outcomes. Int. J. Implant Dent. 2023, 9, 18. [Google Scholar] [CrossRef]
- Han, W.; Fang, S.; Zhong, Q.; Qi, S. Influence of Dental Implant Surface Modifications on Osseointegration and Biofilm Attachment. Coatings 2022, 12, 1654. [Google Scholar] [CrossRef]
- Medikeri, R.S.; Pereira, M.A.; Waingade, M.; Navale, S. Survival of surface-modified short versus long implants in complete or partially edentulous patients with a follow-up of 1 year or more: A systematic review and meta-analysis. J. Periodontal. Implant Sci. 2021, 52, 261–281. [Google Scholar] [CrossRef] [PubMed]
- Abrahamsson, I.; Berglundh, T. Effects of different implant surfaces and designs on marginal bone-level alterations: A review. Clin. Oral Implant. Res. 2009, 20 (Suppl. 4), 207–215. [Google Scholar] [CrossRef]
- Donati, M.; Ekestubbe, A.; Lindhe, J.; Wennström, J.L. Marginal bone loss at implants with different surface characteristics—A 20-year follow-up of a randomized controlled clinical trial. Clin. Oral Implant. Res. 2018, 29, 480–487. [Google Scholar] [CrossRef]
- Papaspyridakos, P. Implant success rates for single crowns and fixed partial dentures in general dental practices may be lower than those achieved in well-controlled university or specialty settings. J. Evid. Based Dent. Pract. 2015, 15, 30–32. [Google Scholar] [CrossRef]
- Doornewaard, R.; Christiaens, V.; De Bruyn, H.; Jacobsson, M.; Cosyn, J.; Vervaeke, S.; Jacquet, W. Long-Term Effect of Surface Roughness and Patients’ Factors on Crestal Bone Loss at Dental Implants. A Systematic Review and Meta-Analysis. Clin. Implant Dent. Relat. Res. 2017; 19, 372–399. [Google Scholar]
- Abrahamsson, I.; Almohandes, A.; Dionigi, C.; Berglundh, T. Early bone healing to implants with different surface characteristics. A pre-clinical in vivo study. Clin. Oral Implant. Res. 2023, 34, 312–319. [Google Scholar] [CrossRef]
- Hashemi, S.; Tabatabaei, S.; Baghaei, K.; Fathi, A.; Atash, R. Long-Term Clinical Outcomes of Single Crowns or Short Fixed Partial Dentures Supported by Short (≤6 mm) Dental Implants: A Systematic Review. Eur. J. Dent. 2024, 18, 97–103. [Google Scholar] [CrossRef]




| Authors, Publication Year | Study Design and Follow-Up Period | Source of Recruitment (Number of Centers and Type) | Funding | Operator | Risk Factors 1. History of Periodontitis 2. Smokers Included 3. Bruxism | Implant Type (1-Piece/ 2-Piece) | Implant Surface Characteristics | Implant Location | Time of Implant Placement (Months) | Stages of Implant Placement | Healing Time before Implant Loading (Months) | Prosthetic Parameters 1. Restoration Type 2. Retention Method | Supportive Care for Implants |
|---|---|---|---|---|---|---|---|---|---|---|---|---|---|
| Gulje et al. (2021) [45] | 5-year RCT | 5 Universities, 1 private practice | Dentsply Sirona Implants | Single surgeon in each center | 1. Yes 2. Yes † 3. Yes | OsseoSpeed, Astra Tech, 2-piece | Blasted fluoride-modified, nano-structured | Mx, Mn post | >4 months | One and two | 1.5 | 1. FPD 2. Screw | N/a |
| Zadeh et al. (2018) [46] | 3-year RCT | ||||||||||||
| Gulje et al. (2013) [50] | 1-year RCT | ||||||||||||
| Gulje et al. (2019) [36] | 5-year RCT | 1 Private practice, 1 University | Dentsply Implants | N/a | 1. N/a 2. Yes † 3. N/a | Dentsply Sirona, 2-piece | TiO2-blasted fluoride-modified surface, nano-structured | Mx post | N/a | Two | 3 | 1. Single crowns 2. Cemented | Yearly |
| Hadzik et al. (2021) [38] | 7-year follow-up study | 1 University | Astra Tech, University Statutory | N/a | 1. No 2. Yes † 3. No | Dentsply Sirona, 2-piece | Fluoride treated, nano-structured | Mx post | N/a | N/a | 6 | 1. Single crown 2. Cemented | Yearly |
| Hadzik et al. (2018) [37] | 3-year follow-up study | ||||||||||||
| Nielsen et al. (2021) [39] | 1-year RCT | 1 University hospital | Not applicable | N/a | 1. Yes 2. Yes † 3. No | OsseoSpeed, Astra Tech | Blasted fluoride-modified, nano-structured | Mx post | >4 months | Two | 7 | 1. Single crown 2. Screw | Biannually |
| Rokn et al. (2018) [35] | 1-year RCT | 1 University | Dental Implant Research Center, Dental Research Institute, Tehran University of Medical Sciences | N/a | 1. N/a 2. N/a 3. N/a | Straumann, 2-piece | Sand-blasted large grit acid etched, nano-structured | Mn post | >6 months | One | 2 | 1. Single crowns or FPD 2. Cemented | 4 months after prosthetic loading and 1 year later |
| Rossi et al. (2016) [47] | 5-year RCT | ITI Research Committee | “Clinics” | N/a | 1. N/a 2. Yes 3. Yes | Straumann, 2-piece | Sand-blasted large grit acid-etched, nano-structured | Mx, Mn post | N/a | One | 1,75 | 1. Single fixed prosthesis 2. N/a | N/a |
| Sahrmann et al. (2023) [48] | 10-year RCT | 1 University | ITI | Experienced surgeon | 1. Yes 2. Yes † 3. No | Straumann, 2-piece | Sand-blasted large grit acid etched, nano-structured | Mx, Mn post | >6 months | One | 2,5 | 1. Single crown 2. Screw | Annually |
| Naenni et al. (2018) [49] | 5-year RCT | ||||||||||||
| Shi et al. (2021) [41] | 3-year RCT | 1 Hospital | ITI Foundation | Experienced surgeon | 1. Yes 2. Yes † 3. N/a | Straumann, 2-piece | Sand-blasted large grit acid-etched, nano-structured | Mx post | >3 months | One | 3 | 1. Single crowns, bridge 2. Cemented | Yearly |
| Shi et al. (2019) [40] | 1-year RCT | ||||||||||||
| Thoma et al. (2018) [42] | 5-year RCT | 3 Universities, 1 academy, 1 private clinic | Dentsply Sirona Implants | N/a | 1. N/a 2. Yes 3. Yes | Dentsply Sirona, 2-piece | Blasted fluoride- modified surface, nano-structured | Mx post | >4 months | One and two | 6–7 | 1. Single crowns 2. Screw or cemented | “Regular maintenance” |
| Pohl et al. (2017) [43] | 3-year RCT | ||||||||||||
| Schincaglia et al. (2015) [44] | 1-year RCT |
| Authors, Publication Year | Number of Patients per Group (Implants per Group) | Dropouts (Implants Number, If Available) | Mean age ± SD or Mean Age (Range), Years | Implant Characteristics 1. Implant Length 2. Implant Diameter | Surgical Parameters 1. Augmentation Performed 2. Surgical Intervention (Flapless/Flap) | Outcomes 1. Survival Rate (%) 2. Failure (Early, Late) 3. MBL, mm | Outcomes 1. Peri-Implantitis 2. Technical Complications 3. Other | |||||||
|---|---|---|---|---|---|---|---|---|---|---|---|---|---|---|
| Short | Long | Short | Long | Short | Long | Short | Long | Short | Long | Short | Long | Short | Long | |
| Gulje et al. (2021) [45] 5-year RCT | 49 (108) | 46 (101) | 3 (10) | 6 (13) | 55 ± 9 (26–69) | 54 ±10 (34–70) | 1. 6 2. 4 | 1. 11 2. 4 | 1. Autogenous grafting ‡ 2. Flap | 1. Autogenous grafting ‡ 2. Flap | 1. 96.0 # 2. 3; 1 3. −0.01 ± 0.45 # | 1. 98.9 2. 0; 1 3. 0.12 ± 0.93 | 1. 6% # 2. 12 3. c/I ratio: 1.78 ± 0.35 * | 1. 7% 2. 18 3. 0.93 ± 0.17 |
| Zadeh et al. (2018) [46] 3-year RCT | 49 (108) | 46 (101) | 3 (10) | 6 (13) | 55 ± 9 (26–69) | 54 ±10 (34–70) | 1. 6 2. 4 | 1. 11 2. 4 | 1. Autogenous grafting ‡ 2. Flap | 1. Autogenous grafting ‡ 2. Flap | 1. 96.2 # 2. 3; 1 3. −0.04 ± 0.43 *** | 1. 99 2. 0; 1 3. 0.02 ± 0.76 | 1. 0 2. 13 3. c/I ratio: 1.78 *** | 1. 1.2% 2. 13 3. 0.93 |
| Gulje et al. (2013) [50] 1-year RCT | 49 (108) | 46 (101) | 1 (1) | 0 | 55 ± 9 (26–69) | 54 ±10 (34–70) | 1. 6 2. 4 | 1. 11 2. 4 | 1. Autogenous grafting ‡ 2. Flap | 1. Autogenous grafting ‡ 2. Flap | 1. 97 2. 1; 11 3. −0.06 (SD 0.27) # | 1. 99 2. 0;1 3. 0.02 (SD 0.6) | 1. N/a 2. 7 | 1. N/a 2. 8 |
| Gulje et al. (2019) [36] 5-year RCT | 20 (21) | 18 (20) | 1 | 1 | 50 (30–71) | 48 (29–72) | 1. 6 2. N/a | 1. 11 2. N/a | 1. No 2. Flap | 1. Sinus floor augmentation 2. Flap | 1. 94.7% # 2. 0;1 3. 0.12 ± 0.36 # | 1. 100% 2. 0; 0 3. 0.14 ± 0.63 | 1. 0 2. 4 patients # | 1. 0 2. 1 patient: screw loosening |
| Hadzik et al. (2021) [38] 7-year follow-up study | 15 (15) | 15 (15) | 2 (2) | 0 | 48.8 (26–64) | 42.3 (26–63) | 1. 6 2. 4 | 1. 11, 13 2. 4 | 1. No 2. N/a | 1. Lateral sinus floor elevation 2. Flap | 1. 87 # 2. 0;2 3. 0.5 # | 1. 100 2. 0; 0 3. 0.52 | 1. 0% 2. 2 3. C/I ratio:1.64 * | 1. 13% 2. 3 3. 1.06 |
| Hadzik et al. (2018) [37] 3-year follow-up study | 15 (15) | 15 (15) | N/a | N/a | 48.8 (26–64) | 42.3 (26–63) | 1. 6 2. 4 | 1. 11, 13 2. 4 | 1. No 2. N/a | 1. Lateral sinus floor elevation 2. Flap | 1. 100 # 2. 0; 0 3. 0.22 ± 0.46 # | 1. 100 2. 0; 0 3. 0.34 ± 0.24 | 1. N/a 2. N/a | 1. N/a 2. N/a |
| Nielsen et al. (2021) [39] 1-year RCT | 20 (20) | 20 (20) | 0 | 3 (3) | 52 | 1. 6 2. 4.2 | 1. 13 2. 4.2 | 1. No 2. Flap | 1. Sinus floor augmentation 2. Flap | 1. 100 2. 0; 0 3. 0.60 (SD 0.17) # | 1. 100 2. 0; 0 3. 0.51 (SD 0.14) | 1. N/a 2. 2 | 1. N/a 2. 6 | |
| Rokn et al. (2018) [35] 1-year RCT | 11 (25) | 11 (22) | 1 | 1 | 50.3 | 1. 4 2. 4.1 | 1. 8, 10 2. 4.1 | 1. No 2. Flap | 1. Vertical bone augmentation 2. Flap | 1. 100 2. 0; 0 3. 0.30 ± 0.34 # | 1. 100 2. 0; 0 3. 0.47 ± 0.54 | 1. N/a 2. N/a | 1. N/a 2. N/a | |
| Rossi et al. (2015) [47] 5-year RCT | 30 (30) | 30 (30) | 0 | 0 | 48.4 | 47.7 | 1. 6 2. 4.1 | 1. 10 2. 4.1 | 1. No 2. Flap | 1. No 2. Flap | 1. 86.7 2. 1; 3 3. 0.14 | 1. 96.7 2. 0; 1 3. 0.18 | 1. N/a 2. 0 3. C/I ratio: 1.55 | 1. N/a 2. 0 3. 0.97 |
| Sahrmann et al. (2023) [48] 10-year RCT | 47 (47) | 47 (47) | 11 (11) | 13 (13) | 59.4 ± 11.3 | 61 ± 12.7 | 1. 6 2. 4 | 1. 11, 13 2. 4 | 1. No 2. N/a | 1. Trans-crestal sinus lift ‡ 2. N/a | 1. 85.7 # 2. 0; 6 3. 0.13 # | 1. 97.1 2. 0; 1 3. 0.08 | 1. 0 2. N/a 3. C/I ratio: 1.06 ± 0.18 *** | 1. 0 2. N/a 3. 0.73 ± 0.17 |
| Naenni et al. (2018) [49] 5-year RCT | 47 (47) | 47 (47) | 7 (7) | 1 (1) | 58.2 at the time of recall | 1. 6 2. 4.1 | 1. 10 2. 4.1 | 1. No 2. Flap | 1. Trans-crestal sinus lift ‡ 2. Flap | 1. 91 * 2. 0; 4 3. 0.29 # | 1. 100 2. 0; 0 3. 0.15 | 1. 0 2. N/a 3. C/I ratio: 1.75 *** | 1. 0 2. N/a 3. 1.04 | |
| Shi et al. (2021) [41] 3-year RCT | 75 (75) | 8 mm: 75 (75), 10 mm: 75 (75) | 8 (8) | 8 mm: 13 (13), 10 mm: 5 (5) | 40.2 ± 12.8 | 8 mm: 36.3 ± 12.6, 10 mm: 45.6 ± 11.8 | 1. 6 2. 4.1, 4.8 | 1. 8, 10 2. 3.3, 4.1, 4.8 | 1. No 2. Flap | 1. Yes, osteotome sinus floor elevation 2. Flap | 1. 91.8 * 2. 2; 4 3. 0.53 ± 0.35 # | 8 mm: 1. 97.08 2. 0; 1 3. 0.50 ± 0.30 10 mm: 1. 100 2. 0; 0 3. 0.53 ± 0.28 | 1. 2 patients 2. a. Veneer chipping: 4 patients b. Loss of retention: 0 | 8 mm: 1. 2 patients 2. a. 4 patients b. 1 patient 10 mm: 1. 1 patient 2. a. 6 patients b. 0 |
| Shi et al. (2019) [40] 1-year RCT | 75 (75) | 8 mm: 75 (75), 10 mm: 75 (75) | 1 (1) | 8 mm: 5 (5), 10 mm: 2 (2) | 38.1 | 8 mm: 39.2 10 mm: 44.5 | 1. 6 2. 4.1, 4.8 | 1. 8, 10 2. 3.3, 4.1, 4.8 | 1. No 2. Flap | 1. Yes, osteotome sinus floor elevation 2. Flap | 1. 96 2. 2;1 3. 0.51 # | 8 mm: 1. 100 2. 0; 0 3. 0.47 10 mm: 1. 100 2. 0; 0 3. 0.52 | 1. N/a 2. N/a | 1. N/a 2. N/a |
| Thoma et al. (2018) [42] 5-year RCT | 50 (67) | 51 (70) | 6 (7) | 5 (6) | 50 # (23–76) | 51 (20–77) | 1. 6 2. 4 | 1. 11, 13, 15 2. 4 | 1. No 2. Flap | 1. Lateral window sinus floor elevation 2. Flap | 1. 98.5# 2. 0;1 3. 0.12 ± 0.54 # | 1. 100 2. 0; 0 3. 0.18 ± 0.96 | 1. 0% # (PL) 2. 21 events 47.7% # (PL) 3. c/I ratio: 1.86 ± 0.23 ** | 1. 2% 2. 14 events 30.4% 3. 0.99 ± 0.17 |
| Pohl et al. (2017) [43] 3-year RCT | 50 (67) | 51 (70) | 5 (6) | 2 (2) | 50 # (23–76) | 51 (20–77) | 1. 6 2. 4 | 1. 11, 13, 15 2. 4 | 1. No 2. Flap | 1. Lateral window sinus floor elevation 2. Flap | 1. 100 2. 0; 0 3. a. 0.44 ± 0.56 # b. 0.1 ± 0.54 # | 1. 100 2. 0; 0 3. a. 0.43 ± 0.58 b. 0.25 ± 0.58 | 1. 0 2. 10 events # 3. c/I ratio: 1.86 ± 0.2 | 1. 0 2. 3 events 3. 0.99 ± 0.17 |
| Schincaglia et al. (2015) [44] 1-year RCT | 50 (67) | 51 (70) | 3 (4) | 1 (1) | 50 # (23–76) | 51 (20–77) | 1. 6 2. 4 | 1. 11, 13, 15 2. 4 | 1. No 2. Flap | 1. Lateral window sinus floor elevation 2. Flap | 1. 100 2. 0; 0 3.0.22 ± 0.3 *** | 1. 100 2. 0; 0 3. 0.37 ± 0.59 | 1. N/a 2. N/a 3. c/I ratio: 1.86 ± 0.23 *** | 1. N/a 2. N/a 3. 0.99 ± 0.17 |
| D1 | D2 | D3 | D4 | D5 | Overall | |||
|---|---|---|---|---|---|---|---|---|
| Gulje 2021 [45], Zadeh 2018 [46], Gulje 2013 [50] | ![]() | ![]() | ![]() | ![]() | ![]() | ![]() | ![]() | Low risk |
| Gulje 2019 [36] | ![]() | ![]() | ![]() | ![]() | ![]() | ![]() | ![]() | Some concerns |
| Hadzik 2021 [38], Hadzik 2018 [37] | ![]() | ![]() | ![]() | ![]() | ![]() | ![]() | ![]() | High risk |
| Nielsen 2021 [39] | ![]() | ![]() | ![]() | ![]() | ![]() | ![]() | ||
| Rokn 2018 [35] | ![]() | ![]() | ![]() | ![]() | ![]() | ![]() | D1 | Randomisation process |
| Rossi 2016 [47] | ![]() | ![]() | ![]() | ![]() | ![]() | ![]() | D2 | Deviations from the intended interventions |
| Shi 2021 [41], Shi 2019 [40] | ![]() | ![]() | ![]() | ![]() | ![]() | ![]() | D3 | Missing outcome data |
| Sahrmann 2023 [48], Naenni 2018 [49] | ![]() | ![]() | ![]() | ![]() | ![]() | ![]() | D4 | Measurement of the outcome |
| Thoma 2018 [42], Pohl 2017 [43], Schincaglia 2015 [44] | ![]() | ![]() | ![]() | ![]() | ![]() | ![]() | D5 | Selection of the reported result |
Disclaimer/Publisher’s Note: The statements, opinions and data contained in all publications are solely those of the individual author(s) and contributor(s) and not of MDPI and/or the editor(s). MDPI and/or the editor(s) disclaim responsibility for any injury to people or property resulting from any ideas, methods, instructions or products referred to in the content. |
© 2024 by the authors. Licensee MDPI, Basel, Switzerland. This article is an open access article distributed under the terms and conditions of the Creative Commons Attribution (CC BY) license (https://creativecommons.org/licenses/by/4.0/).
Share and Cite
Emfietzoglou, R.; Dereka, X. Survival Rates of Short Dental Implants (≤6 mm) Used as an Alternative to Longer (>6 mm) Implants for the Rehabilitation of Posterior Partial Edentulism: A Systematic Review of RCTs. Dent. J. 2024, 12, 185. https://doi.org/10.3390/dj12060185
Emfietzoglou R, Dereka X. Survival Rates of Short Dental Implants (≤6 mm) Used as an Alternative to Longer (>6 mm) Implants for the Rehabilitation of Posterior Partial Edentulism: A Systematic Review of RCTs. Dentistry Journal. 2024; 12(6):185. https://doi.org/10.3390/dj12060185
Chicago/Turabian StyleEmfietzoglou, Rodopi, and Xanthippi Dereka. 2024. "Survival Rates of Short Dental Implants (≤6 mm) Used as an Alternative to Longer (>6 mm) Implants for the Rehabilitation of Posterior Partial Edentulism: A Systematic Review of RCTs" Dentistry Journal 12, no. 6: 185. https://doi.org/10.3390/dj12060185
APA StyleEmfietzoglou, R., & Dereka, X. (2024). Survival Rates of Short Dental Implants (≤6 mm) Used as an Alternative to Longer (>6 mm) Implants for the Rehabilitation of Posterior Partial Edentulism: A Systematic Review of RCTs. Dentistry Journal, 12(6), 185. https://doi.org/10.3390/dj12060185








