Evaluation of a New Technique of Gingival Smile Reduction after Hyaluronic Acid Infiltration: A Cohort Study Focusing on Gingival Exposure and Patient-Oriented Outcomes
Abstract
1. Introduction
2. Materials and Methods
2.1. Patient Profile and Study Protocol
2.2. Materials and Treatment Protocol
2.2.1. Piriformis Fossa or Canine Fossa
2.2.2. Anterior Nasal Spine and Base of the Nose
2.3. Measurements
2.4. Questionnaire
2.5. Statistical Analysis
3. Results
4. Discussion
5. Conclusions
Author Contributions
Funding
Institutional Review Board Statement
Informed Consent Statement
Data Availability Statement
Conflicts of Interest
References
- Diaspro, A.; Cavallini, M.; Piersini, P.; Sito, G. Gummy Smile Treatment: Proposal for a Novel Corrective Technique and a Review of the Literature. Aesthetic Surg. J. 2018, 38, 1330–1338. [Google Scholar] [CrossRef] [PubMed]
- Mazzuco, R.; Hexsel, D. Gummy Smile, and Botulinum Toxin: A New Approach Based on the Gingival Exposure Area. J. Am. Acad. Dermatol. 2010, 63, 1042–1051. [Google Scholar] [CrossRef] [PubMed]
- Hur, M.S.; Hu, K.S.; Park, J.T.; Youn, K.H.; Kim, H.J. New Anatomical Insight of the Levator Labii Superioris Alaeque Nasi and the Transverse Part of the Nasalis. Surg. Radiol. Anat. 2010, 32, 753–756. [Google Scholar] [CrossRef] [PubMed]
- Vig, R.G.; Brundo, G.C. The Kinetics of Anterior Tooth Display. J. Prosthet. Dent. 1978, 39, 502–504. [Google Scholar] [CrossRef]
- Al Sayed, A.A.; Alshammari, B.Z.; Alshammari, A.R.; Aldajani, M.B.; Alshammari, F.R. Gummy Smile Prevalence Among Ha’il City Female Young Adults and Its Impact on Quality of Life: A Cross-Sectional Study. Cureus 2023, 15, e51302. [Google Scholar] [CrossRef]
- Mercado-García, J.; Rosso, P.; Gonzalvez-García, M.; Colina, J.; Fernández, J.M. Gummy Smile: Mercado-Rosso Classification System and Dynamic Restructuring with Hyaluronic Acid. Aesthetic Plast. Surg. 2021, 45, 2338–2349. [Google Scholar] [CrossRef]
- Polo, M. Botulinum Toxin Type A (Botox) for the Neuromuscular Correction of Excessive Gingival Display on Smiling (Gummy Smile). Am. J. Orthod. Dentofac. Orthop. 2008, 133, 195–203. [Google Scholar] [CrossRef]
- Pessa, J.E.; Garza, P.A.; Love, V.M.; Zadoo, V.P.; Garza, J.R. The Anatomy of the Labiomandibular Fold. Plast. Reconstr. Surg. 1998, 101, 482. [Google Scholar] [CrossRef]
- de Maio, M. Myomodulation with Injectable Fillers: An Innovative Approach to Addressing Facial Muscle Movement. Aesthetic Plast. Surg. 2020, 44, 1300–1316. [Google Scholar] [CrossRef]
- Coppola, G.; Christopoulou, I.; Gkantidis, N.; Verna, C.; Pandis, N.; Kanavakis, G. The Effect of Orthodontic Treatment on Smile Attractiveness: A Systematic Review. Prog. Orthod. 2023, 24, 4. [Google Scholar] [CrossRef]
- Dym, H.; Pierre, R. Diagnosis and Treatment Approaches to a “Gummy Smile”. Dent. Clin. N. Am. 2020, 64, 341–349. [Google Scholar] [CrossRef] [PubMed]
- Hur, M.-S.; Youn, K.-H.; Hu, K.-S.; Song, W.-C.; Koh, K.-S.; Fontaine, C.; Kim, H.-J. New Anatomic Considerations on the Levator Labii Superioris Related With Nasal Ala. J. Craniofacial Surg. 2010, 21, 258. [Google Scholar] [CrossRef] [PubMed]
- Monaco, A.; Streni, O.; Marci, M.C.; Marzo, G.; Gatto, R.; Giannoni, M. Gummy Smile: Clinical Parameters Useful for Diagnosis and Therapeutical Approach. Available online: https://www.jocpd.com/articles/10.17796/jcpd.29.1.y01l3r4m06q3k2x0 (accessed on 20 August 2024).
- Hwang, W.-S.; Hur, M.-S.; Hu, K.-S.; Song, W.-C.; Koh, K.-S.; Baik, H.-S.; Kim, S.-T.; Kim, H.-J.; Lee, K.-J. Surface Anatomy of the Lip Elevator Muscles for the Treatment of Gummy Smile Using Botulinum Toxin. Angle Orthod. 2009, 79, 70–77. [Google Scholar] [CrossRef] [PubMed]
- Jacobs, P.J.; Jacobs, B.P. Lip Repositioning with Reversible Trial for the Management of Excessive Gingival Display: A Case Series. Int. J. Periodontics Restor. Dent. 2013, 33, 169–175. [Google Scholar] [CrossRef]
- Arnett, G.W.; Bergman, R.T. Facial Keys to Orthodontic Diagnosis and Treatment Planning. Part I. Am. J. Orthod. Dentofac. Orthop. 1993, 103, 299–312. [Google Scholar] [CrossRef]
- Li, Y.Y.; Zhou, Y.H.; Lin, J.X. Intruding upper incisors using mini-screw anchorage in patients with gummy smile. Zhonghua Kou Qiang Yi Xue Za Zhi 2009, 44, 449–453. [Google Scholar] [PubMed]
- Miyazawa, K.; Tamada, Y.; Tabuchi, M.; Kawaguchi, M.; Shibata, M.; Sato, T.; Okamoto, K.; Saito, N.; Goto, S. Effective approach for improving a gummy smile: Upward movement of the maxillary occlusal plane using midpalatal miniscrews and a modified transpalatal arch. J. Orofac. Orthop. 2024, 85, 167–180. [Google Scholar] [CrossRef]
- Patel, D.; Mehta, F.; Trivedi, R.; Thakkar, S.; Suthar, J. Botulinum Toxin and Gummy Smile—A Review. IOSR J. Dent. Med. Sci. 2013, 4, 1–5. [Google Scholar] [CrossRef]
- Sucupira, E.; Abramovitz, A. A Simplified Method for Smile Enhancement: Botulinum Toxin Injection for Gummy Smile. Plast. Reconstr. Surg. 2012, 130, 726. [Google Scholar] [CrossRef]
- Sharif, H.; Aghayan, S. New Approaches for Gummy Smile Treatment: A Review. J. Res. Dent. Maxillofac. Sci. 2023, 8, 154–161. [Google Scholar] [CrossRef]
- Rodriguez-Martinez, A.; Vicente-Hernandez, A.; Bravo-Gonzalez, L.A. Effect of Posterior Gingival Smile on the Perception of Smile Esthetics. Med. Oral Patol. Oral Cir. Bucal 2014, 19, e82–e87. [Google Scholar] [CrossRef] [PubMed]
- Oliveros-Lopez, L.; Fernandez-Olavarria, A.; Torres-Lagares, D.; Serrera-Figallo, M.-A.; Castillo-Oyagüe, R.; Segura-Egea, J.-J.; Gutierrez-Perez, J.-L. Reduction Rate by Decompression as a Treatment of Odontogenic Cysts. Med. Oral Patol. Oral Cir. Bucal 2017, 22, e643–e650. [Google Scholar] [CrossRef] [PubMed]
- Rojo-Sanchis, C.; Montiel-Company, J.M.; Tarazona-Alvarez, B.; Haas-Junior, O.L.; Peiro-Guijarro, M.A.; Paredes-Gallardo, V.; Guijarro-Martinez, R. Non-surgical management of the gingival smile with botulinum toxin A—A systematic review and meta-analysis. J. Clin. Med. 2023, 12, 1433. [Google Scholar] [CrossRef] [PubMed]
- Nart, J.; Carrió, N.; Valles, C.; Solís-Moreno, C.; Nart, M.; Reñé, R.; Esquinas, C.; Puigdollers, A. Prevalence of Altered Passive Eruption in Orthodontically Treated and Untreated Patients. J. Periodontol. 2014, 85, 140264. [Google Scholar] [CrossRef] [PubMed]
- Moura, D.; Lima, E.; Lins, R.; Souza, R.; Martins, A.; Gurgel, B.; Moura, D.; Lima, E.; Lins, R.; Souza, R.; et al. The Treatment of Gummy Smile: Integrative Review of Literature. Clin. J. Periodontol. Implantol. Oral Rehabil. 2017, 10, 26–28. [Google Scholar] [CrossRef]
- Monish, B.; Fairbairn, P.J.; Kolhatkar, S.; Chu, S.J.; Morris, T.; de Campos, M. LipStaT: The Lip Stabilization Technique-Indications and Guidelines for Case Selection and Classification of Excessive Gingival Display. Int. J. Periodontics Restor. Dent. 2015, 33, 549–559. [Google Scholar]
- Tjan, A.H.L.; Miller, G.D.; The, J.G.P. Some Esthetic Factors in a Smile. J. Prosthet. Dent. 1984, 51, 24–28. [Google Scholar] [CrossRef]
- Pessa, J.E. Improving the Acute Nasolabial Angle and Medial Nasolabial Fold by Levator Alae Muscle Resection. Ann. Plast. Surg. 1992, 29, 23. [Google Scholar] [CrossRef]
- Ribeiro, F.V.; Hirata, D.Y.; Reis, A.F.; Santos, V.R.; Miranda, T.S.; Faveri, M.; Duarte, P.M. Open-Flap Versus Flapless Esthetic Crown Lengthening: 12-Month Clinical Outcomes of a Randomized Controlled Clinical Trial. J. Periodontol. 2014, 85, 536–544. [Google Scholar] [CrossRef]
- Peck, S.; Peck, L.; Kataja, M. Some Vertical Lineaments of Lip Position. Am. J. Orthod. Dentofac. Orthop. 1992, 101, 519–524. [Google Scholar] [CrossRef]
- Graber, L.W.; Vanarsdall, R.L.; Vig, K.W.L. Orthodontics: Current Principles and Techniques, 5th ed.; Elsevier/Mosby: Philadelphia, PA, USA, 2012; ISBN 978-0-323-06993-9. [Google Scholar]
- Germani Vieira, M.; Rogerio, V.; Roschel, P.; Rabelo, V.; Teixeira, T.; Muñoz-Lora, V.R.M. Myomodulation Using Hyaluronic Acid Fillers as an Efficient and Innovative Treatment for Gummy Smile: A Case Report. J. Oral Biol. Craniofacial Res. 2022, 12, 376–380. [Google Scholar] [CrossRef] [PubMed]
- Souza, F.C.G.; Pedron, I.G. Gingivoplasty and Botulinum Toxin Application to Improve Gummy Smile: Case Report. SVOA Dent. 2021, 2, 109–114. [Google Scholar]
- Pedron, I.G.; Mangano, A. Gummy Smile Correction Using Botulinum Toxin With Respective Gingival Surgery. J. Dent. (Shiraz) 2018, 19, 248–252. [Google Scholar] [PubMed]
- Ioi, H.; Nakata, S.; Counts, A.L. Influence of Gingival Display on Smile Aesthetics in Japanese. Eur. J. Orthod. 2010, 32, 633–637. [Google Scholar] [CrossRef]
- Armalaite, J.; Jarutiene, M.; Vasiliauskas, A.; Sidlauskas, A.; Svalkauskiene, V.; Sidlauskas, M.; Skarbalius, G. Smile Aesthetics as Perceived by Dental Students: A Cross-Sectional Study. BMC Oral Health 2018, 18, 225. [Google Scholar] [CrossRef]
- Dym, H.; Ogle, O.E. Atlas of Minor Oral Surgery; Saunders: Philadelphia, PA, USA, 2001. [Google Scholar]








| Inclusion Criteria | Exclusion Criteria |
|---|---|
| Patients between 18 and 55 years of age. | History of neuromuscular disorder (e.g., myasthenia gravis, Eaton–Lambert syndrome). |
| Exposure of the entire dental crown/teeth and a contiguous gingival band > 3 mm. | Orthodontic or crown-based treatments initiated in the anterior sector during the study period. |
| No history of previous treatment for gummy smile correction, with hyaluronic acid or botulinum toxin being the area of interest, within the last year. | Patients who have previously undergone any gummy smile treatment. |
| Patients who want an aesthetic correction of the smile without surgery. | Gingival smile involving hyperactivity of the zygomatic muscles |
| Commitment is needed to follow the study follow-up protocol and complete the questionnaires. | Patients with underlying mental disorders, psychological instability, or who had questionable motives and unrealistic expectations were not included. |
| Questions | Categories |
|---|---|
| 1. What is your main concern regarding your gingival smile? | (a) Excessive gum exposure |
| (b) Asymmetry of the gingival contour | |
| (c) Other concerns | |
| 2. Do you prefer surgical or non-surgical treatment to correct your gummy smile? | (a) Surgical |
| (b) Nonsurgical | |
| (c) No preference | |
| 3. How much do you value the duration of treatment? | (a) Rapid results, even if temporary |
| (b) Long-lasting results, even if the treatment takes more time | |
| (c) No preference | |
| 4. Do you have any health conditions or allergies that may affect the treatment choice? | (a) Yes |
| (b) No | |
| (c) Not sure | |
| 5. How willing are you to undergo a surgical procedure? | (a) Fully willing |
| (b) Somewhat reluctant, but would consider the surgical option. | |
| (c) Unwilling | |
| 6. How significant is the reversibility of the treatment to you? | (a) I don’t care if the treatment is reversible or irreversible. |
| (b) I prefer reversible treatment | |
| (c) I prefer an irreversible treatment if it is more effective. | |
| 7. Have you consulted an oral health professional to evaluate your case? | (a) Yes, I have already consulted a professional. |
| (b) No, I have not yet consulted a professional. | |
| (c) No, but I plan to do so soon | |
| Preferred: Periodontal Coronary Lengthening Treatment | ☐ Yes | No ☐ |
| Preference: Botulinum Toxin Gummy Smile Treatment | ☐ Yes | No ☐ |
| Preference: Orthognathic Surgery | ☐ Yes | No ☐ |
| Preference: Lip replacement surgery | ☐ Yes | No ☐ |
| Preference: Treatment of the gummy smile with hyaluronic acid infiltration | ☐ Yes | No ☐ |
| Preference: I have no specific preference | ☐ Yes | No ☐ |
| Questions | Categories |
|---|---|
| 1. How do you feel about your gummy smile? | (a) I feel very insecure and embarrassed about my smile. |
| (b) I feel uncomfortable, but try to accept my smile as it is. | |
| (c) I am not emotionally affected by my gummy smile. | |
| (d) I am proud of my gummy smile. | |
| 2. Have you ever experienced embarrassment or low self-esteem because of your gummy smile? | (a) Yes, frequently. |
| (b) Yes, occasionally. | |
| (c) No, never. | |
| 3. How do you think your gummy smile has affected your self-confidence? | (a) My self-confidence has decreased significantly. |
| (b) It has impacted my confidence, but not significantly. | |
| (c) It has not affected my confidence at all. | |
| 4. Have you ever avoided smiling or laughing openly because of your gummy smile? | (a) Yes, I avoid smiling and laughing openly all the time. |
| (b) Yes, I avoid it in some specific social situations. | |
| (c) I do not avoid smiling or laughing openly because of my gummy smile. | |
| 5. Have you ever received negative comments or teasing because of your gummy smile? | (a) Yes, frequently. |
| (b) Yes, occasionally. | |
| (c) No, never. | |
| 6. Have you felt motivated to seek a solution to correct your gummy smile because of its psychological impact? | (a) Yes. |
| (b) Yes, but I have not yet taken any action. | |
| (c) No, I do not need to correct my gummy smile. | |
| 7. Have you sought psychological support or counseling to deal with the emotional effects of your gummy smile? | (a) Yes, I have sought professional support and advice. |
| (b) No, but I have considered seeking support in the future. | |
| (c) No, I have not sought support or counseling. |
| Questions Categories | |||
| 1. How do you feel after treating your gummy smile? Very Satisfied ☐ 1 ☐ 2 ☐ 3 ☐ 4 Dissatisfied | |||
| 2. How has your level of self-confidence changed after treatment? Significant increase ☐ 1 ☐ 2 ☐ 3 ☐ 4 I am no longer sure | |||
| 3. How has treatment affected your social life and interactions with others? Improved ☐ 1 ☐ 2 ☐ 3 ☐ 4 No improvement | |||
| 4. What is your level of satisfaction with the aesthetic results of the treatment? Very Satisfied ☐ 1 ☐ 2 ☐ 3 ☐ 4 Dissatisfied | |||
| 5. Would you recommend the gingival smile correction treatment to your family and friends? Yes ☐ 1 ☐ 2 ☐ 3 ☐ 4 No | |||
| 6. Have you experienced any side effects or complications after treatment? ☐ No ☐ Yes, but mild ☐ Yes, completely | |||
| Overall satisfaction with treatment results Very Satisfied ☐ 1 ☐ 2 ☐ 3 ☐ 4 ☐ 5 Dissatisfied | |||
| Treatment recommendation ☐ Yes ☐ No | |||
| Pain level | |||
| In the treatment | No discomfort ☐ 1 ☐ 2 ☐ 3 ☐ 4 ☐ 5 Severe discomfort | ||
| One day later | No discomfort ☐ 1 ☐ 2 ☐ 3 ☐ 4 ☐ 5 Severe discomfort | ||
| One week later | No discomfort ☐ 1 ☐ 2 ☐ 3 ☐ 4 ☐ 5 Severe discomfort | ||
| One month later. | No discomfort ☐ 1 ☐ 2 ☐ 3 ☐ 4 ☐ 5 Severe discomfort | ||
| Three months later | No discomfort ☐ 1 ☐ 2 ☐ 3 ☐ 4 ☐ 5 Severe discomfort | ||
| Six months later | No discomfort ☐ 1 ☐ 2 ☐ 3 ☐ 4 ☐ 5 Severe discomfort | ||
| 12 months later | No discomfort ☐ 1 ☐ 2 ☐ 3 ☐ 4 ☐ 5 Severe discomfort | ||
| Presence of bruising and swelling | |||
| No bruising and swelling ☐ 1 ☐ 2 ☐ 3 ☐ 4 ☐ 5 Marked | |||
| In the treatment | ☐ Yes ☐ No | 1 day later | ☐ Yes | No ☐ No |
| One week later. | ☐ Yes ☐ No | One month later | ☐ Yes | No ☐ No |
| 3 months later | ☐ Yes | No ☐ No | Six months later | ☐ Yes ☐ No |
| 12 months later | ☐ Yes | No ☐ No | ||
| Variable | n (%) | Variable | n (%) |
|---|---|---|---|
| Age (years) | Sex | ||
| 18–24 | 4 (9.8) | Male | 1 (2.4) |
| 25–34 | 20 (48.7) | Female | 40 (97.6) |
| 35–44 | 12 (29.3) | ||
| 45–55 | 5 (12.2) | Ethnicity | |
| Mean ± SD | 33.8 ± 7.0 | White | 37 (90.2) |
| Hispanic/Latino | 4 (9.2) | ||
| Smoking status | |||
| Non-Smoker | 35 (85.4) | Allergies | |
| Smoker | 6 (14.6) | Yes | 2 (4.9) |
| Cigarettes/day in smokers (Mean ± SD) | 7.8 ± 5.2 | No | 39 (95.1) |
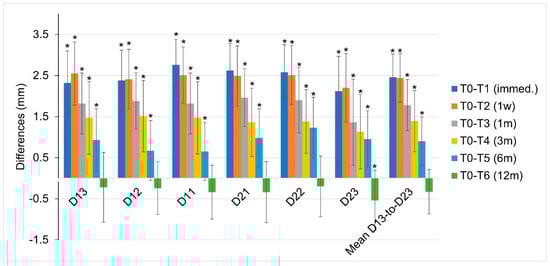
| Variable (Measurements) | TIME, Mean (SD) | ||||||
|---|---|---|---|---|---|---|---|
| T0 (Baseline) | T1 (immed.) | T2 (1 w) | T3 (1 m) | T4 (3 m) | T5 (6 m) | T6 (12 m) | |
| D13 | 11.76 (1.70) | 9.44 (1.79) | 9.20 (1.68) | 9.94 (1.88) | 10.26 (1.65) | 10.77 (1.78) | 11.90 (2.06) |
| D12 | 12.20 (1.29) | 9.82 (1.34) | 9.76 (1.41) | 10.32 (1.38) | 10.68 (1.66) | 11.47 (1.55) | 12.42 (1.83) |
| D11 | 12.84 (1.38) | 10.08 (1.46) | 10.31 (1.56) | 11.02 (1.52) | 11.34 (1.74) | 12.19 (1.86) | 13.20 (1.99) |
| D21 | 12.56 (1.39) | 9.94 (1.38) | 10.06 (1.28) | 10.60 (1.53) | 11.15 (1.68) | 11.54 (1.86) | 12.90 (2.05) |
| D22 | 12.12 (1.48) | 9.54 (1.33) | 9.65 (1.39) | 10.22 (1.48) | 10.72 (1.90) | 10.84 (1.75) | 12.32 (1.98) |
| D23 | 11.44 (2.02) | 9.32 (1.46) | 9.29 (1.54) | 10.08 (1.83) | 10.28 (2.01) | 10.35 (1.89) | 11.93 (2.22) |
| G3 (13+23) | 11.60 (1.69) | 9.38 (1.46) | 9.25 (1.47) | 10.01 (1.75) | 10.27 (1.67) | 10.56 (1.71) | 11.92 (2.02) |
| G2 (12+22) | 12.16 (1.26) | 9.68 (1.22) | 9.70 (1.30) | 10.27 (1.28) | 10.70 (1.67) | 11.15 (1.56) | 12.38 (1.80) |
| G1 (11+21) | 12.70 (1.33) | 10.01 (1.36) | 10.18 (1.33) | 10.81 (1.48) | 11.25 (1.66) | 11.86 (1.80) | 13.05 (1.97) |
| Mean D13-to-D23 | 12.15 (1.27) | 9.69 (1.23) | 9.71 (1.27) | 10.36 (1.43) | 10.73 (1.57) | 11.19 (1.58) | 12.45 (1.85) |
Disclaimer/Publisher’s Note: The statements, opinions and data contained in all publications are solely those of the individual author(s) and contributor(s) and not of MDPI and/or the editor(s). MDPI and/or the editor(s) disclaim responsibility for any injury to people or property resulting from any ideas, methods, instructions or products referred to in the content. |
© 2024 by the authors. Licensee MDPI, Basel, Switzerland. This article is an open access article distributed under the terms and conditions of the Creative Commons Attribution (CC BY) license (https://creativecommons.org/licenses/by/4.0/).
Share and Cite
Angulo-Manzaneque, G.; Baus-Domínguez, M.; Ruiz-de-León-Hernández, G.; Serrera-Figallo, M.-Á.; Torres-Lagares, D.; Aguilera, F.S. Evaluation of a New Technique of Gingival Smile Reduction after Hyaluronic Acid Infiltration: A Cohort Study Focusing on Gingival Exposure and Patient-Oriented Outcomes. Dent. J. 2024, 12, 329. https://doi.org/10.3390/dj12100329
Angulo-Manzaneque G, Baus-Domínguez M, Ruiz-de-León-Hernández G, Serrera-Figallo M-Á, Torres-Lagares D, Aguilera FS. Evaluation of a New Technique of Gingival Smile Reduction after Hyaluronic Acid Infiltration: A Cohort Study Focusing on Gingival Exposure and Patient-Oriented Outcomes. Dentistry Journal. 2024; 12(10):329. https://doi.org/10.3390/dj12100329
Chicago/Turabian StyleAngulo-Manzaneque, Gema, María Baus-Domínguez, Gonzalo Ruiz-de-León-Hernández, María-Ángeles Serrera-Figallo, Daniel Torres-Lagares, and Fátima S. Aguilera. 2024. "Evaluation of a New Technique of Gingival Smile Reduction after Hyaluronic Acid Infiltration: A Cohort Study Focusing on Gingival Exposure and Patient-Oriented Outcomes" Dentistry Journal 12, no. 10: 329. https://doi.org/10.3390/dj12100329
APA StyleAngulo-Manzaneque, G., Baus-Domínguez, M., Ruiz-de-León-Hernández, G., Serrera-Figallo, M.-Á., Torres-Lagares, D., & Aguilera, F. S. (2024). Evaluation of a New Technique of Gingival Smile Reduction after Hyaluronic Acid Infiltration: A Cohort Study Focusing on Gingival Exposure and Patient-Oriented Outcomes. Dentistry Journal, 12(10), 329. https://doi.org/10.3390/dj12100329

