The Ca2+-ATPase Inhibition Potential of Gold(I, III) Compounds
Abstract
1. Introduction
2. Results
Inhibition of Ca2+-ATPase by Gold Compounds
3. Discussion
4. Materials and Methods
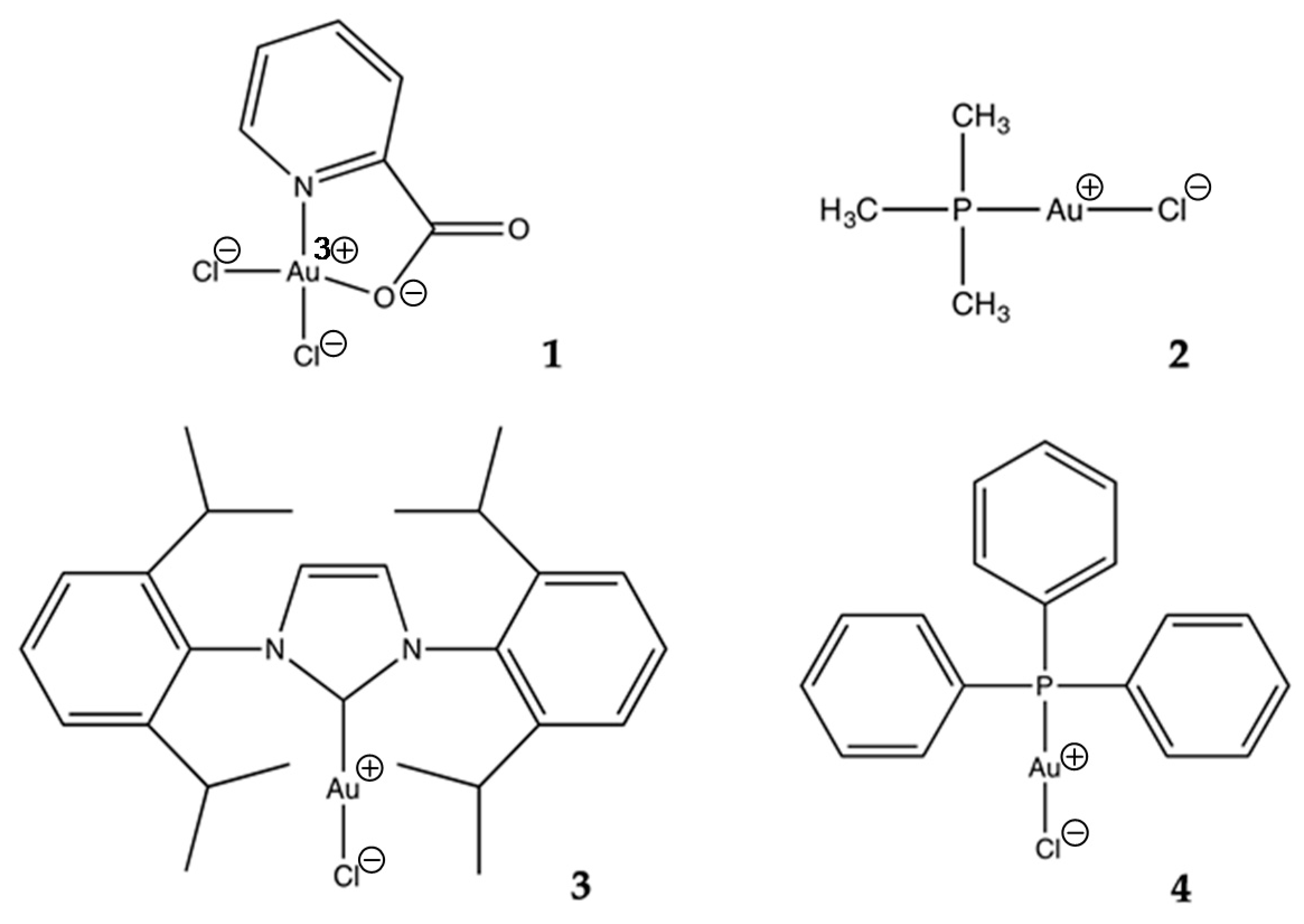
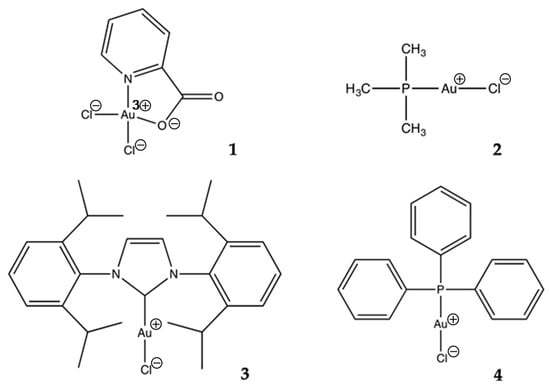
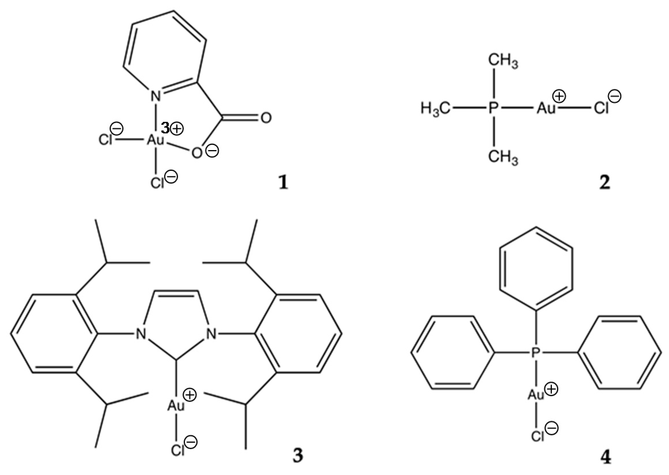
4.1. Gold Compounds
4.2. Preparation of Sarcoplasmic Reticulum Ca2−ATPase Vesicles
4.3. Effects of Gold Compounds in the ATP Hydrolysis by the SR Ca2+-ATPase
4.4. Statistical Analysis
5. Conclusions
Author Contributions
Funding
Conflicts of Interest
Abbreviations
| ATPase | Adenosine triphosphatase |
| Auoxo6 | [(6,6’-dimethyl-2,2’-bipyridine)2Au2(μ-O)2][PF6]2 |
| CPA | Cyclopyazonic |
| DNA | Deoxyribonucleic acid |
| DMSO | Dimethyl sulfoxide |
| IC50 | Half maximal inhibitory concentration |
| POTs | Polyoxotungstates |
| POVs | Polyoxovanadates |
| RA | Rheumatoid arthritis |
| SR | Sarcoplasmic reticulum |
| TG | Thapsigargin |
References
- Higby, G.J. Gold in Medicine. Gold Bull. 1982, 15, 130–140. [Google Scholar] [CrossRef]
- Sadler, P.J.; Sue, R.E. The Chemistry of Gold Drugs. Met. Based Drugs 1994, 1, 107–144. [Google Scholar] [CrossRef] [PubMed]
- Petrović, V.; Čolović, M.; Krstić, D.; Vujačić, A.; Petrović, S.; Joksić, G.; Bugarčić, Ž.; Vasić, V. In vitro effects of some gold complexes on Na+/K+ ATPase activity and cell proliferation. J. Inorg. Biochem. 2013, 124, 35–41. [Google Scholar] [CrossRef]
- Carabineiro, S.A.C. Synthesis and applications of gold nanoparticles. In Gold Nanoparticles: Synthesis, Optical Properties and Applications for Cancer Treatment; Jarnagin, A., Halshauser, L., Eds.; Nova Science Pub Inc.: New York, NY, USA, 2013; pp. 1–38. ISBN 978-1-62257-928-0. [Google Scholar]
- Kazimi, S.G.T.; Iqbal, M.S.; Shaw, C.F. A Spectroscopic Study of Interaction of Auricyanide with n-Acetylcysteine. Biol. Trace Elem. Res. 2018, 183, 396–401. [Google Scholar] [CrossRef]
- Che, C.-M.; Sun, R.W.-Y. Therapeutic applications of gold complexes: Lipophilic gold(III) cations and gold(I) complexes for anti-cancer treatment. Chem. Commun. 2011, 47, 9554. [Google Scholar] [CrossRef] [PubMed]
- Ott, I. On the medicinal chemistry of gold complexes as anticancer drugs. Coord. Chem. Rev. 2009, 253, 1670–1681. [Google Scholar] [CrossRef]
- Nobili, S.; Mini, E.; Landini, I.; Gabbiani, C.; Casini, A.; Messori, L. Gold compounds as anticancer agents: Chemistry, cellular pharmacology, and preclinical studies. Med. Res. Rev. 2010, 30, 550–580. [Google Scholar] [CrossRef] [PubMed]
- Romero-Canelón, I.; Sadler, P.J. Next-Generation Metal Anticancer Complexes: Multitargeting via Redox Modulation. Inorg. Chem. 2013, 52, 12276–12291. [Google Scholar] [CrossRef] [PubMed]
- Bertrand, B.; Casini, A. A golden future in medicinal inorganic chemistry: The promise of anticancer gold organometallic compounds. Dalt. Trans. 2014, 43, 4209–4219. [Google Scholar] [CrossRef]
- Nardon, C.; Boscutti, G.; Fregona, D. Beyond Platinums: Gold Complexes as Anticancer Agents. Anticancer Res. 2014, 34, 487–492. [Google Scholar] [PubMed]
- Mora, M.; Gimeno, M.C.; Visbal, R. Recent advances in gold–NHC complexes with biological properties. Chem. Soc. Rev. 2019, 48, 447–462. [Google Scholar] [CrossRef] [PubMed]
- Azharuddin, M.; Zhu, G.H.; Das, D.; Ozgur, E.; Uzun, L.; Turner, A.P.F.; Patra, H.K. A repertoire of biomedical applications of noble metal nanoparticles. Chem. Commun. 2019, 55, 6964–6996. [Google Scholar] [CrossRef] [PubMed]
- Pettenuzzo, N.; Brustolin, L.; Coltri, E.; Gambalunga, A.; Chiara, F.; Trevisan, A.; Biondi, B.; Nardon, C.; Fregona, D. CuII and AuIII Complexes with Glycoconjugated Dithiocarbamato Ligands for Potential Applications in Targeted Chemotherapy. ChemMedChem 2019, 14, 1162–1172. [Google Scholar] [CrossRef] [PubMed]
- Liu, W.; Gust, R. Metal N-heterocyclic carbene complexes as potential antitumor metallodrugs. Chem. Soc. Rev. 2013, 42, 755–773. [Google Scholar] [CrossRef]
- Austin, A.C.; Hammond, N.B.; Barrows, N.; Gould, D.L.; Gould, I.R. Relating motivation and student outcomes in general organic chemistry. Chem. Educ. Res. Pract. 2018, 19, 331–341. [Google Scholar] [CrossRef]
- Stratton, M.; Ramachandran, A.; Camacho, E.J.M.; Patil, S.; Waris, G.; Grice, K.A. Anti-fibrotic activity of gold and platinum complexes—Au(I) compounds as a new class of anti-fibrotic agents. J. Inorg. Biochem. 2020, 206, 111023. [Google Scholar] [CrossRef]
- Azria, D.; Blanquer, S.; Verdier, J.-M.; Belamie, E. Nanoparticles as contrast agents for brain nuclear magnetic resonance imaging in Alzheimer’s disease diagnosis. J. Mater. Chem. B 2017, 5, 7216–7237. [Google Scholar] [CrossRef]
- Bijelic, A.; Aureliano, M.; Rompel, A. The antibacterial activity of polyoxometalates: Structures, antibiotic effects and future perspectives. Chem. Commun. 2018, 54, 1153–1169. [Google Scholar] [CrossRef]
- Bijelic, A.; Aureliano, M.; Rompel, A. Polyoxometalates as Potential Next-Generation Metallodrugs in the Combat Against Cancer. Angew. Chemie Int. Ed. 2019, 58, 2980–2999. [Google Scholar] [CrossRef]
- Marques-da-Silva, D.; Fraqueza, G.; Lagoa, R.; Vannathan, A.A.; Mal, S.S.; Aureliano, M. Polyoxovanadate inhibition of Escherichia coli growth shows a reverse correlation with Ca2+-ATPase inhibition. New J. Chem. 2019, 43, 17577–17587. [Google Scholar] [CrossRef]
- Aikman, B.; Wenzel, M.; Mósca, A.; de Almeida, A.; Klooster, W.; Coles, S.; Soveral, G.; Casini, A. Gold(III) Pyridine-Benzimidazole Complexes as Aquaglyceroporin Inhibitors and Antiproliferative Agents. Inorganics 2018, 6, 123. [Google Scholar] [CrossRef]
- Martins, A.P.; Marrone, A.; Ciancetta, A.; Galán Cobo, A.; Echevarría, M.; Moura, T.F.; Re, N.; Casini, A.; Soveral, G. Targeting Aquaporin Function: Potent Inhibition of Aquaglyceroporin-3 by a Gold-Based Compound. PLoS ONE 2012, 7, e37435. [Google Scholar] [CrossRef] [PubMed]
- Zou, T.; Lum, C.T.; Lok, C.-N.; Zhang, J.-J.; Che, C.-M. Chemical biology of anticancer gold(III) and gold(I) complexes. Chem. Soc. Rev. 2015, 44, 8786–8801. [Google Scholar] [CrossRef]
- Pedersen, P.L.; Carafoli, E. Ion motive ATPases. II. Energy coupling and work output. Trends Biochem. Sci. 1987, 12, 186–189. [Google Scholar] [CrossRef]
- Toyoshima, C.; Nakasako, M.; Nomura, H.; Ogawa, H. Crystal structure of the calcium pump of sarcoplasmic reticulum at 2.6 Å resolution. Nature 2000, 405, 647–655. [Google Scholar] [CrossRef]
- Aureliano, M.; Fraqueza, G.; Ohlin, C.A. Ion pumps as biological targets for decavanadate. Dalt. Trans. 2013, 42, 11770. [Google Scholar] [CrossRef]
- Yatime, L.; Buch-Pedersen, M.J.; Musgaard, M.; Morth, J.P.; Winther, A.-M.L.; Pedersen, B.P.; Olesen, C.; Andersen, J.P.; Vilsen, B.; Schiøtt, B.; et al. P-type ATPases as drug targets: Tools for medicine and science. Biochim. Biophys. Acta Bioenerg. 2009, 1787, 207–220. [Google Scholar] [CrossRef]
- Bondžić, A.M.; Janjić, G.V.; Dramićanin, M.D.; Messori, L.; Massai, L.; Parac Vogt, T.N.; Vasić, V.M. Na/K-ATPase as a target for anticancer metal based drugs: Insights into molecular interactions with selected gold(III) complexes. Metallomics 2017, 9, 292–300. [Google Scholar] [CrossRef]
- Carabineiro, S.A.C.; Martins, L.M.D.R.S.; Pombeiro, A.J.L.; Figueiredo, J.L. Commercial Gold(I) and Gold(III) Compounds Supported on Carbon Materials as Greener Catalysts for the Oxidation of Alkanes and Alcohols. ChemCatChem 2018, 10, 1804–1813. [Google Scholar] [CrossRef]
- Gumerova, N.; Krivosudský, L.; Fraqueza, G.; Breibeck, J.; Al-Sayed, E.; Tanuhadi, E.; Bijelic, A.; Fuentes, J.; Aureliano, M.; Rompel, A. The P-type ATPase inhibiting potential of polyoxotungstates. Metallomics 2018, 10, 287–295. [Google Scholar] [CrossRef]
- Fraqueza, G.; Fuentes, J.; Krivosudský, L.; Dutta, S.; Mal, S.S.; Roller, A.; Giester, G.; Rompel, A.; Aureliano, M. Inhibition of Na+/K+- and Ca2+-ATPase activities by phosphotetradecavanadate. J. Inorg. Biochem. 2019, 197, 110700. [Google Scholar] [CrossRef]
- Clausen, J.D.; Bublitz, M.; Arnou, B.; Olesen, C.; Andersen, J.P.; Møller, J.V.; Nissen, P. Crystal Structure of the Vanadate-Inhibited Ca2+-ATPase. Structure 2016, 24, 617–623. [Google Scholar] [CrossRef] [PubMed]
- Fraqueza, G.; Ohlin, C.A.; Casey, W.H.; Aureliano, M. Sarcoplasmic reticulum calcium ATPase interactions with decaniobate, decavanadate, vanadate, tungstate and molybdate. J. Inorg. Biochem. 2012, 107, 82–89. [Google Scholar] [CrossRef] [PubMed]
- Aureliano, M.; Henao, F.; Tiago, T.; Duarte, R.O.; Moura, J.J.G.; Baruah, B.; Crans, D.C. Sarcoplasmic Reticulum Calcium ATPase Is Inhibited by Organic Vanadium Coordination Compounds: Pyridine-2,6-dicarboxylatodioxovanadium(V), BMOV, and an Amavadine Analogue. Inorg. Chem. 2008, 47, 5677–5684. [Google Scholar] [CrossRef][Green Version]
- Pimpão, C.; da Silva, I.V.; Mósca, A.F.; Pinho, J.O.; Gaspar, M.M.; Gumerova, N.I.; Rompel, A.; Aureliano, M.; Soveral, G. The aquaporin-3-inhibiting potential of polyoxotungstates. Int. J. Mol. Sci. 2020, 21, 2467. [Google Scholar] [CrossRef]
- Moreno, I.; Norambuena, L.; Maturana, D.; Toro, M.; Vergara, C.; Orellana, A.; Zurita-Silva, A.; Ordenes, V.R. AtHMA1 Is a Thapsigargin-sensitive Ca2+/Heavy Metal Pump. J. Biol. Chem. 2008, 283, 9633–9641. [Google Scholar] [CrossRef] [PubMed]
- Yard, N.J.; Chiesi, M.; Ball, H.A. Effect of cyclopiazonic acid, an inhibitor of sarcoplasmic reticulum Ca2+-ATPase, on the frequency-dependence of the contraction-relaxation cycle of the guinea-pig isolated atrium. Br. J. Pharmacol. 1994, 113, 1001–1007. [Google Scholar] [CrossRef]
- Bilmen, J.G.; Wotton, L.L.; Michelangeli, F. The inhibition of the sarcoplasmic/endoplasmic reticulum Ca2+-ATPase by macrocyclic lactones and cyclosporin A. Biochem. J. 2002, 366, 255–263. [Google Scholar] [CrossRef][Green Version]
- Bilmen, J.G.; Khan, S.Z.; Javed, M.-H.; Michelangeli, F. Inhibition of the SERCA Ca2+ pumps by curcumin. Eur. J. Biochem. 2001, 268, 6318–6327. [Google Scholar] [CrossRef]
- Grösch, S.; Maier, T.J.; Schiffmann, S.; Geisslinger, G. Cyclooxygenase-2 (COX-2)–Independent Anticarcinogenic Effects of Selective COX-2 Inhibitors. JNCI J. Natl. Cancer Inst. 2006, 98, 736–747. [Google Scholar] [CrossRef]
- Abas, E.; Gomez-Bachiller, M.; Colom, E.; Pardina, E.; Rodríguez-Dieguez, A.; Grasa, L.; Laguna, M. Cyclometallated gold(III) complexes against colon cancer. X-ray structure of [Au(C,NPhenylpyridine)(OAc)2]. J. Organomet. Chem. 2020, 920, 121340. [Google Scholar] [CrossRef]
- Villasenor-Espinosa, A.; de Souza Costa, D.; Tunes, L.G.; Monte-Neto, R.L.; Grazul, R.M.; de Almeida, M.V.; Silva, H. Anticancer and antileishmanial in vitro activity of gold(I) complexes with 1,3,4-oxadiazole-2(3H)-thione ligands derived from δ-d-gluconolactone. Chem. Biol. Drug Des. 2020, 10. [Google Scholar] [CrossRef]
- Malik-Gajewska, M.; Ahmad, S.; Alhoshani, A.; Sobeai, H.M.A.; Bienko, D.; Isab, A.A. Synthesis, characterization, DFT optimization and anticancer evaluation of phosphane gold(I) dithiocarbamates. J. Molec. Struct. 2020, 1218, 128486. [Google Scholar]






| Gold Compound | Km (mM) | Vmax (nM ATP·min−1) | Type of Inhibition | IC50 (µM) | |
|---|---|---|---|---|---|
| 1 | 0 (µM) | 0.243 ± 0.024 a | 67.57 ± 8.85 a | non-competitive | 4.5 ± 0.1 a |
| 4 (µM) | 0.255 ± 0.019 a | 30.77 ± 5.34 b | |||
| 2 | 0 (µM) | 0.098 ± 0.011 b | 51.55 ± 4.38 c | non-competitive | 0.8 ± 0.1 b |
| 1 (µM) | 0.096 ± 0.012 b | 41.67 ± 3.31 d | |||
| 3 | 0 (µM) | 0.257 ± 0.021 a | 75.76 ± 6.87 e | mixed | 16.3 ± 0.1 c |
| 15 (µM) | 0.421 ± 0.025 c | 60.98 ± 2.98 f | |||
| 4 | 0 (µM) | 0.210 ± 0.016 d | 42.02 ± 2.78 d | mixed | 0.9 ± 0.1 b |
| 1 (µM) | 0.281 ± 0.020 e | 22.62 ± 2.08 g | |||
| Formula | Abbreviation | Net Charge | MW (g/mol) | CAS Number |
|---|---|---|---|---|
| C6H4NAuCl2O2 | 1 | +3 | 389.97 | 88215-41-2 |
| C3H9PAuCl | 2 | +1 | 308.50 | 15278-97-4 |
| C27H36AuClN2 | 3 | +1 | 621.01 | 852445-83-1 |
| C18H15PAuCl | 4 | +1 | 494.71 | 14243-64-2 |
© 2020 by the authors. Licensee MDPI, Basel, Switzerland. This article is an open access article distributed under the terms and conditions of the Creative Commons Attribution (CC BY) license (http://creativecommons.org/licenses/by/4.0/).
Share and Cite
Fonseca, C.; Fraqueza, G.; Carabineiro, S.A.C.; Aureliano, M. The Ca2+-ATPase Inhibition Potential of Gold(I, III) Compounds. Inorganics 2020, 8, 49. https://doi.org/10.3390/inorganics8090049
Fonseca C, Fraqueza G, Carabineiro SAC, Aureliano M. The Ca2+-ATPase Inhibition Potential of Gold(I, III) Compounds. Inorganics. 2020; 8(9):49. https://doi.org/10.3390/inorganics8090049
Chicago/Turabian StyleFonseca, Custódia, Gil Fraqueza, Sónia A. C. Carabineiro, and Manuel Aureliano. 2020. "The Ca2+-ATPase Inhibition Potential of Gold(I, III) Compounds" Inorganics 8, no. 9: 49. https://doi.org/10.3390/inorganics8090049
APA StyleFonseca, C., Fraqueza, G., Carabineiro, S. A. C., & Aureliano, M. (2020). The Ca2+-ATPase Inhibition Potential of Gold(I, III) Compounds. Inorganics, 8(9), 49. https://doi.org/10.3390/inorganics8090049

