Next Article in Journal
Synthesis, Crystal Structure, Polymorphism, and Magnetism of Eu(CN3H4)2 and First Evidence of EuC(NH)3
Previous Article in Journal
Manganese(I)-Based CORMs with 5-Substituted 3-(2-Pyridyl)Pyrazole Ligands
 
 
Font Type:
Arial Georgia Verdana
Font Size:
Aa Aa Aa
Line Spacing:
Column Width:
Background:
Article

Flux Synthesis, Crystal Structures, and Magnetism of the Series La2n+2MnSen+2O2n+2 (n = 0–2)

Department Chemie, Ludwig-Maximilians-Universität München, Butenandtstr. 5-13 (D), 81377 München, Germany;
*
Author to whom correspondence should be addressed.
Inorganics 2017, 5(1), 9; https://doi.org/10.3390/inorganics5010009
Submission received: 19 December 2016 / Accepted: 15 January 2017 / Published: 31 January 2017

Abstract

:
Three members of the homologous series of manganese oxyselenides with the general formula La2n+2MnSen+2O2n+2 (n = 0–2) have been synthesized in a NaI/KI flux and characterized by single-crystal X-ray diffraction, powder X-ray diffraction and magnetic measurements. The structures consist of chains of edge-sharing MnSe4O2-octahedra along the b-axis which are linked together along the a-axis by edge-sharing OLa4- and/or OLa3Mn-tetrahedra forming infinite ribbons of increasing width. m C -La2MnSe2O2 (Pb2HgCl2O2-type, C 2 / m , a = 11.6621(5) Å, b = 3.9719(1) Å, c = 7.2049(3) Å, β = 121.655(2) ) represents a new polymorph of this compound. La4MnSe3O4 ( P 2 / m , a = 9.0055(4) Å, b = 4.0186(1) Å, c = 7.1946(3) Å, β = 109.715(2) ) and La6MnSe4O6 ( C 2 / m , a = 24.760(2) Å, b = 4.0359(3) Å, c = 7.1850(6) Å, β = 104.162(3) ) exhibit new structure types. Magnetic measurements suggest antiferromagnetic order of the moments below about 15 K with effective magnetic moments of 5.53(1), 5.99(1) and 6.01(1) μ B per formula unit for n = 1, 2 and 3, respectively.

Graphical Abstract

1. Introduction

The research into structural chemistry and physical properties of transition-metal oxyselenides has been very fruitful during the last years. Numerous new compounds with the general formula RE2TSe2O2 (RE = La, Ce; T = Cd, Fe, Mn, Zn) [1,2,3,4,5,6,7,8,9] have been discovered and their structures and magnetism have been studied. Among the particular families, different polymorphs may exist which makes the diversity even bigger. In order to distinguish the different polymorphs mentioned in this paper, we extend the formulae by the Pearson letters. Recently, we found new polymorphs in the RE2FeSe2O2-family (RE = La, Ce) [2]. m C -La2FeSe2O2 and m C -Ce2FeSe2O2 crystallize in the Pb2HgCl2O2-structure type with distorted edge-sharing FeSe4O2-octahedra linked together by edge-sharing OLa3Fe-tetrahedra forming infinite ribbons which are two tetrahedra in width. Similar building blocks with an analogous connectivity between the TSe4O2-octahedra and the ORE3T-tetrahedra have already been observed in the compounds RE3.67Ti2Se6O3 (RE = Ce, Nd, Sm) [10], La4Ti2Se5O4 [11], La6Ti3Se9O5 [11] and CeCrSe2O [12]. Beside the iron compounds, there are two polymorphs known in the analogous manganese family. o C -La2MnSe2O2 [1] has a defect ZrCuSiAs-type structure with slabs of edge-sharing OLa4-tetrahedra stacked alternating with slabs of MnSe4-tetrahedra. The structure of o A -La2MnSe2O2 [8] consists of MnSe4-tetrahedra and edge-sharing MnSe4O2-octahedra which are connected by infinite ribbons of edge-sharing OLa4- and OLa3Mn-tetrahedra four units wide.
Beside oxyselenides with the general chemical composition above, numerous other rare-earth oxyselenides are known, for example RE4TiSe4O4 (RE = Sm, Gd, Tb, Dy, Ho, Er, Y) [13,14] and RE4O4Se(Se2) (RE = La, Ce, Pr, Nd, Sm) [15]. RE4TiSe4O4 can be regarded as a defect variant of o A -La2MnSe2O2 with the same building blocks but without TiSe4-tetrahedra. In contrast, RE4O4Se(Se2) compounds contain Se2− anions as well as (Se−Se)2− dumbbells, which are separated by layers of distorted (RE4O)10+ tetrahedra. Their magnetism origins from the 4 f -electrons of the particular rare-earth metal, and spin frustration is observed in the rare-earth-oxide tetrahedra of these compounds [15]. Formally, it should be possible to insert divalent transition-metals in this structure by breaking up the diselenide units leading to the formula RE4TSe3O4.
In this paper, we present La4MnSe3O4 as the first example of such compounds with only Se2− anions in a new structure related to the RE4TiSe4O4-type. La4MnSe3O4 can formally be obtained by adding one La2SeO2-unit to La2MnSe2O2. We were also successful to add a second La2SeO2-unit in order to obtain the compound La6MnSe4O6, which represents the third member of the homologous series La2n+2MnSen+2O2n+2. Additional we have found m C -La2MnSe2O2 as a new polymorph to the manganese-family and present magnetic susceptibility data of all compounds.

2. Results

Since conventional solid state synthesis did not lead to satisfying results, a flux synthesis was developed in order to get high purity samples (>95 wt %). m C -La2MnSe2O2 was synthesized in a NaI/KI-flux at 1273 K starting from the low temperature polymorph o C -La2MnSe2O2. The other two members of the homologous series were synthesized starting from the binary compounds La2O3, La2Se3 and MnSe, which were pre-reacted at 873 K, homogenized and then heated in a NaI/KI-flux at 1273–1373 K. After washing the reaction mixture to remove the flux, a large amount of bright brown, transparent rod-like crystals, as well as polycrystalline yellow-brown powders were obtained. The crystal structures were determined by single-crystal X-ray diffraction. A comparison of the obtained data is given in Table 1, for details see Table A1, Table A2 and Table A3 in the appendix. m C -La2MnSe2O2 and La6MnSe4O6 adopt monoclinic C 2 / m (No. 12) symmetry, whereas La4MnSe3O4 crystallizes in space group P 2 / m (No. 10). It is noticeable, that the lattice parameter b increases (≈1.6%) and c decreases (≈0.3%) slightly with increasing n. In contrast, the monoclinic angle β decreases strongly (≈14%) with increasing n. Further relevant crystallographic data are compiled in the appendix.
Rietveld refinements of the X-ray powder patterns (Figure 1) of m C -La2MnSe2O2 and La6MnSe4O6 revealed small fractions of impurity phases of ≈1% MnSe or ≈4% La2SeO2, respectively. The La4MnSe3O4 sample contained a minor impurity phase (peak at 2 θ 31 ) which has not been identified.

2.1. m C -La2MnSe2O2

m C -La2MnSe2O2 crystallizes isotypic with m C -La2FeSe2O2 and m C -Ce2FeSe2O2 [2] in the Pb2HgCl2O2-type structure. The iron compounds are low-temperature polymorphs in the RE2FeSe2O2 family (dwelling temperature = 1073 K), while m C -La2MnSe2O2 is observed at high temperatures (≥1273 K). The structure of m C -La2MnSe2O2 consists of chains of distorted edge-sharing MnSe4O2-octahedra along the b-axis which are linked together along the a-axis by edge-sharing OLa3Mn-tetrahedra forming infinite ribbons parallel to b (Figure 2). The La 3 + ion has a distorted LaSe5O3 square antiprismatic coordination environment (Figure 3), which was already observed in RE4TiSe4O4 compounds [13,14]. Similar to all RE2FeSe2O2 polymorphs, the displacement ellipsoid of the manganese atom in m C -La2MnSe2O2 exhibits an oblate spheroid shape in direction of the selenium atoms which is a consequence of the distorted MnSe4O2-octahedra. The distance between two manganese atoms in the MnSe4O2 chains (d i n t r a ) is 397.2(1) pm, whereas the distance between the chains (d i n t e r ) is 616.0(1) pm. Mn–O and Mn–Se bond lengths are 205.4(1) and 284.1(1) pm, respectively, which shows that MnSe4O2-octahedra are strongly compressed towards the oxygen atoms. The O–Mn–Se and Se–Mn–Se bond angles within the MnSe4O2-octahedra are nearly regular (88.7(1) –91.3(1) ), while the La–O–La and La–O–Mn bond angles in the OLa3Mn-tetrahedra are 105.1(1) –115.8(1) and thus differ significantly from a perfect tetrahedral shape (109.5 ).

2.2. La4MnSe3O4 and La6MnSe4O6

La4MnSe3O4 and La6MnSe4O6 crystallize in new structure types which contain two or three crystallographically independent La atoms with two different coordination environments, respectively. The crystal structures are closely related to that of m C -La2MnSe2O2 (Figure 2). They also consist of chains of edge-sharing MnSe4O2-octahedra along the b-axis. However, these octahedra are connected by two edge-sharing OLa3Mn- as well as either two or four additional OLa4-tetrahedra along the a-axis, respectively. The framework of four units wide, edge-sharing tetrahedra forming infinite ribbons was already observed in RE4TiSe4O4 [13,14] and o P / o A -La2TSe2O2 (T = Fe, Mn) [8]. Frameworks with six units wide tetrahedra are, to our best knowledge, unknown so far. La4MnSe3O4 has two crystallographically independent La 3 + ions which have either a La(1) Se5O3 square antiprismatic or a La(2) Se3O4 monocapped trigonal antiprismatic coordination environment. La6MnSe4O6 contains a third independent La 3 + ion which shows also a monocapped trigonal antiprismatic coordination. A comparison of the coordination evironments of the different lanthanum ions is depicted in Figure 3. The coordination polyhedra of La(1) and La(2) as well as La(2) and La(3) are connected via common Se–O edges. Compared to m C -La2MnSe2O2, d i n t r a is slightly and d i n t e r is significantly longer in La4MnSe3O4 and La6MnSe4O6 as depicted in Table 2.
Selected bond lengths of the three members of the homologous series are depicted in Table 2. The Mn–O, Mn–Se and La–O bond lengths of La4MnSe3O4 and La6MnSe4O6 are very similar leading to strongly compressed MnSe4O2-octahedra analogue to those in m C -La2MnSe2O2. As observed in m C -La2MnSe2O2, the octahedra in La4MnSe3O4 and La6MnSe4O6 are more regular than the tetrahedra with respect to the bond angles listed in Table 3.

2.3. Magnetism

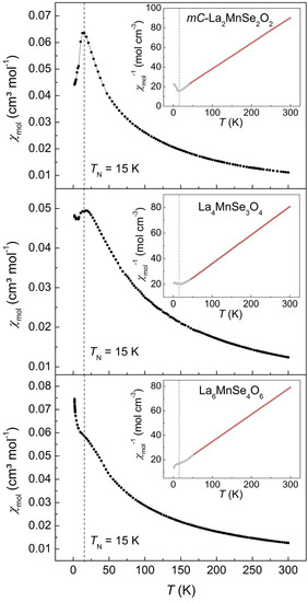
The magnetic susceptibilities of m C -La2MnSe2O2, La4MnSe3O4 and La6MnSe4O6 (Figure 4) obey the Curie–Weiss rule and indicate antiferromagnetic ordering of the moments near 15 K, similar to the Néel temperature of m C -La2FeSe2O2 ( T N = 20 K, [2]). In case of m C -La2MnSe2O2 and La4MnSe3O4, χ mol decreases clearly below this temperature, whereas the effect is more distinctive for m C -La2MnSe2O2. In contrast, the susceptibility of La6MnSe4O6 shows no decrease in χ mol but a clear turning point of the curve at this temperature.
Isothermal magnetization plots (see Figure A1 in the Appendix A) at 300 K are linear with field. m C -La2MnSe2O2 exhibits a tiny hysteresis at 1.8 K, which can be due to small impurities, while those of La4MnSe3O4 and La6MnSe4O6 are nearly linear at 1.8 K. Plots of the inverse susceptibilities versus temperature (inserts in Figure 4) allow Curie–Weiss fits. The resulting effective magnetic moments ( μ eff ) are 5.53(1), 5.98(1) and 6.01(1) μ B per formula unit for n = 1, 2 and 3, respectively. Only the value for m C -La2MnSe2O2 is slightly smaller than the theoretical moment of Mn 2 + (5.92 μ B ). Negative values of the Weiss constant θ (Table 4) support antiferromagnetic ordering in all compounds.
The detailed magnetic structure is not ascertainable from susceptibilty data. We have recently determined the spin structure of La2CrSe2O2 which is isotypic to m C -La2MnSe2O2. Neutron powder diffraction [16] experiments revealed a three-dimensional (G-type) ordering, tantamount to antiferromagnetic order within and between the chains of CrSe4O2-octahedra. m C -La2MnSe2O2 has presumably the same magnetic structure, and the almost identical Néel temperatures suggest at least similar magnetic ordering patterns in La4MnSe3O4 and La6MnSe4O6.

3. Materials and Methods

All starting materials (purity ≥ 99.9%) were handled in an argon-filled glove box (M. Braun, p(O2) ≤ 1 ppm, p(H2O) ≤ 1 ppm). Powder samples and single crystals of m C -La2MnSe2O2 were prepared in a NaI/KI-flux starting from o C -La2MnSe2O2, which was prepared as described in Reference [1]. o C -La2MnSe2O2 (0.10 g) was sandwiched with 0.30 g of an eutectic mixture of NaI/KI (mass ratio 0.6:0.4, dried in dynamic vacuum at 673 K) in an alumina crucible. The crucible was sealed in an argon filled silica tube and heated to 1273 K at a rate of 100 K/h, kept at this temperature for 50 h and cooled to room temperature at a cooling rate of 100 K/h. Powder samples and single crystals of La4MnSe3O4 and La6MnSe4O6 were prepared in a two step reaction of appropriate amounts of La2O3, La2Se3 and MnSe. The rare-earth oxide was heated to 1273 K prior to use. La2Se3 was prepared by the reaction of freshly filed rare-earth metal and selenium powder at 573 K for 12 h. MnSe was prepared by the reaction of manganese and selenium powder at 1023 K for 24 h. The starting materials (0.20 g) were mixed intimately, filled in an alumina crucible, sealed in an argon filled silica tube and heated to 873 K at a rate of 25 K/h, kept at this temperature for 10 h and slowly cooled to room temperature at a cooling rate of 50 K/h. In a second step, the reaction mixture was ground in an agate mortar and sandwiched between 0.50 g of an eutectic mixture of NaI/KI. The crucibles were sealed in argon filled silica tubes and heated to 1073 K at a rate of 50 K/h, then to 1273–1373 K at a rate of 25 K/h, kept at this temperature for 40 h and cooled to room temperature at a cooling rate of 100 K/h. The reaction mixtures were then washed with deionized water and ethanol and dried in vacuum. The resulting samples were yellow-brown powders (purity > 95 wt %) and bright brown, transparent single crystals. The compounds are stable in air for months.
Single crystal X-ray diffraction data was collected with a Bruker D8 QUEST (fixed-χ goniometer, Mo-Kα, IμS with HE-LIOS multi-layer optics, PHOTON 100 detector, Bruker, Karlsruhe, Germany). Reflection intensity integration, data reductions, and multi-scan absorption corrections were done with APEX2 [17] and SADABS [18]. The structures were solved with Jana2006 [19]. Further details of the crystal structure investigations may be obtained from the Fachinformationszentrum Karlsruhe, 76344 Eggenstein-Leopoldshafen, Germany (Fax: +49-7247-808-666; E-Mail: crysdata@fiz-karlsruhe.de, http://www.fiz-karlsruhe.de/request for deposited data.html) on quoting the depository numbers CSD-432365 ( m C -La2O2MnSe2), CSD-432366 (La4MnSe3O4) and CSD-432367 (La6MnSe4O6).
X-ray powder diffraction patterns were measured with a Huber G670 diffractometer (Cu-K α 1 radiation, Ge-monochromator, Huber Diffraktionstechnik GmbH & Co. KG, Rimstig, Germany). Rietveld refinements were done with TOPAS [20]. Magnetization isotherms and susceptibility measurements were performed with a MPMS-XL SQUID magnetometer (Quantum Design Inc., San Diego, CA, USA).

4. Conclusions

In this article we have reported the synthesis, structural characterization and magnetic properties of three new oxyselenides, which are members of the homologous series La2n+2MnSen+2O2n+2 (n = 0–2). The compounds are accessible using a flux synthesis at high temperatures (1273–1373 K). The crystal structures contain edge-sharing distorted MnSe4O2-octahedra along the b-axis as common building block. These are linked together along the a-axis by edge-sharing OLa3Mn- and/or OLa4-tetrahedra forming ribbons of increasing width. The lattice parameters b and c vary only slightly, whereas the monoclinic angle decreases strongly with increasing n. The magnetic susceptibilities obey the Curie–Weiss rule with effective magnetic moments compatible to Mn 2 + and indicate antiferromagnetic ordering below 15 K.

Acknowledgments

We thank the German Research Foundation (DFG) for financial support.

Author Contributions

Simon Peschke and Dirk Johrendt equally contributed to the paper.

Conflicts of Interest

The authors declare no conflict of interest.

Appendix A

Table A1. Crystallographic data of mC-La2MnSe2O2.
Table A1. Crystallographic data of mC-La2MnSe2O2.
Formula weight (g·mol−1)522.7
Space group, ZC2/m, 2
a, b, c (Å)11.662(1), 3.972(1), 7.205(1)
β ( )121.7(1)
Volume (Å3), ρX-ray (g·cm−3)284.1(1), 6.11
Crystal size (mm3)0.06 × 0.02 × 0.01
DiffractometerBruker D8 QUEST
Radiation λ (pm)71.073
Absorption coeff. μ (mm−1)29.6
2θ range ( )6.64–107.76
Index range (hkl)−19 ≤ h ≤ 25, k ± 8, −16 ≤ l ≤ 14
No. reflections collected5770
No. unique data, Rint, Rσ1731, 0.02, 0.03
No. data with I > 3σ(I)1441
No. parameters23
R1(obs/all)0.024/0.036
wR2(obs/all)0.048/0.051
Δ e ( e / Å 3 ) 1.92/−2.53
Atomic and Displacement Parameters
Sitex, y, zU11U22U33Occ.
La4i0.6923(1), 0, 0.2430(1)0.0073(1)0.0058(1)0.0059(1)1
Mn2d0, 1 2 , 1 2 0.0063(2)0.0141(2)0.0137(2)1
Se4i0.9405(1), 0, 0.1797(1)0.0087(1)0.0088(1)0.0080(1)1
O4i0.8028(2), 1 2 , 0.4187(1)0.0059(1)0.0077(7)0.0081(6)1
Table A2. Crystallographic data of La4MnSe3O4.
Table A2. Crystallographic data of La4MnSe3O4.
Formula weight (g·mol−1)911.4
Space group, ZP2/m, 1
a, b, c (Å)9.006(1), 4.019(1), 7.195(1)
β ( )109.7(1)
Volume (Å3), ρX-ray (g·cm−3)245.1(1), 6.17
Crystal size (mm3)0.04 × 0.02 × 0.01
DiffractometerBruker D8 QUEST
Radiation λ (pm)71.073
Absorption coeff. μ (mm−1)29.4
2θ range ( )4.80–69.96
Index range (hkl)h ± 14, −6 ≤ k ≤ 5, l ± 11
No. reflections collected6887
No. unique data, Rint, Rσ1210, 0.03, 0.02
No. data with I > 3σ(I)1017
No. parameters39
R1(obs/all)0.023/0.032
wR2(obs/all)0.050/0.056
Δ e ( e Å 3 ) 3.85/−1.71
Atomic and Displacement Parameters
Sitex, y, zU11U22U33Occ.
La12n0.2245(1), 1 2 , 0.1732(1)0.0053(1)0.0056(1)0.0046(1)1
La22m0.6430(1), 0, 0.3496(1)0.0053(1)0.0044(1)0.0048(1)1
Mn11f0, 1 2 , 1 2 0.0120(6)0.0113(5)0.0115(5)1
Se11e 1 2 , 1 2 , 00.0072(3)0.0062(3)0.0048(3)1
Se22m0.0627(1), 0, 0.7971(1)0.0078(2)0.0095(2)0.0079(2)1
O12m0.3651(4), 0, 0.3114(5)0.0048(16)0.0069(16)0.0082(16)1
O22n0.2317(4), 1 2 , 0.5070(5)0.0046(16)0.0057(15)0.0079(16)1
Table A3. Crystallographic data of La6MnSe4O6.
Table A3. Crystallographic data of La6MnSe4O6.
Formula weight (g·mol−1)1300.2
Space group, ZC2/m, 2
a, b, c (Å)24.760(1), 4.036(1), 7.185(1)
β ( )104.2(1)
Volume (Å3), ρX-ray (g·cm−3)696.2(1), 6.20
Crystal size (mm3)0.03 × 0.02 × 0.01
DiffractometerBruker D8 QUEST
Radiation λ (pm)71.073
Absorption coeff. μ (mm−1)29.3
2θ range ( )5.84–70.20
Index range (hkl)−40 ≤ h ≤ 38, k ± 6, l ± 11
No. reflections collected8892
No. unique data, Rint, Rσ1375, 0.05, 0.05
No. data with I > 3σ(I)957
No. parameters53
R1(obs/all)0.023/0.049
wR2(obs/all)0.041/0.049
Δ e ( e Å 3 ) 1.65/−1.70
Atomic and Displacement Parameters
Sitex, y, zU11U22U33Occ.
La14i0.0788(1), 1 2 , 0.1453(1)0.0050(2)0.0060(2)0.0049(2)1
La24i0.2263(1), 0, 0.2665(1)0.0045(2)0.0044(2)0.0043(2)1
La34i0.1261(1), 0, 0.6051(61)0.0056(2)0.0045(2)0.0052(2)1
Mn12d0, 1 2 , 1 2 0.0110(9)0.0110(7)0.0100(8)1
Se14i0.8252(1), 1 2 , 0.0613(1)0.0069(3)0.0067(3)0.0048(3)1
Se24i0.4781(1), 1 2 , 0.2116(1)0.0076(4)0.0095(3)0.0075(4)1
O14i0.2752(2), 1 2 , 0.3975(6)0.004(2)0.009(2)0.006(2)1
O24i0.1288(2), 0, 0.2662(7)0.007(2)0.007(2)0.007(2)1
O34i0.0823(2), 1 2 , 0.4801(6)0.003(2)0.005(2)0.010(2)1
Figure A1. Isothermal magnetization plots at 300 K and 1.8 K of m C -La2MnSe2O2 (top), La4MnSe3O4 (middle) and La6MnSe4O6 (bottom).
Figure A1. Isothermal magnetization plots at 300 K and 1.8 K of m C -La2MnSe2O2 (top), La4MnSe3O4 (middle) and La6MnSe4O6 (bottom).

References

  1. Peschke, S.; Nitsche, F.; Johrendt, D. Flux Synthesis, Modulated Crystal Structures, and Physical Properties of REMn0.5SeO (RE = La, Ce). Z. Anorg. Allg. Chem. 2015, 641, 529–536. [Google Scholar] [CrossRef]
  2. Nitsche, F.; Niklaus, R.; Johrendt, D. New Polymorphs of RE2FeSe2O2 (RE = La, Ce). Z. Anorg. Allg. Chem. 2014, 640, 2897–2902. [Google Scholar] [CrossRef]
  3. Wang, C.H.; Ainsworth, C.M.; Gui, D.Y.; McCabe, E.E.; Tucker, M.G.; Evans, I.R.; Evans, J.S.O. Infinitely Adaptive Transition Metal Oxychalcogenides: The Modulated Structures of Ce2O2MnSe2 and (Ce0.78La0.22)2O2MnSe2. Chem. Mater. 2015, 27, 3121–3134. [Google Scholar] [CrossRef]
  4. McCabe, E.E.; Free, D.G.; Evans, J.S.O. A new iron oxyselenide Ce2O2FeSe2: Synthesis and characterisation. Chem. Commun. 2011, 47, 1261–1263. [Google Scholar] [CrossRef] [PubMed]
  5. Tuxworth, A.J.; McCabe, E.E.; Free, D.G.; Clark, S.J.; Evans, J.S.O. Structural Characterization and Physical Properties of the New Transition Metal Oxyselenide La2O2ZnSe2. Inorg. Chem. 2013, 52, 2078–2085. [Google Scholar] [CrossRef] [PubMed]
  6. Ainsworth, C.M.; Wang, C.H.; Tucker, M.G.; Evans, J.S.O. Synthesis, Structural Characterization, and Physical Properties of the New Transition Metal Oxyselenide Ce2O2ZnSe2. Inorg. Chem. 2015, 54, 1563–1571. [Google Scholar] [CrossRef] [PubMed]
  7. Hiramatsu, H.; Ueda, K.; Kamiya, T.; Ohta, H.; Hirano, M.; Hosono, H. Synthesis of single-phase layered oxychalcogenide La2CdO2Se2: Crystal structure, optical and electrical properties. J. Mater. Chem. 2004, 14, 2946–2950. [Google Scholar] [CrossRef]
  8. McCabe, E.E.; Free, D.G.; Mendis, B.G.; Higgins, J.S.; Evans, J.S.O. Preparation, Characterization, and Structural Phase Transitions in a New Family of Semiconducting Transition Metal Oxychalcogenides β-La2O2MSe2 (M = Mn, Fe). Chem. Mater. 2010, 22, 6171–6182. [Google Scholar] [CrossRef]
  9. Ainsworth, C.M.; Wang, C.H.; Johnston, H.E.; McCabe, E.E.; Tucker, M.G.; Brand, H.E.A.; Evans, J.S.O. Infinitely Adaptive Transition-Metal Ordering in Ln2O2MSe2-Type Oxychalcogenides. Inorg. Chem. 2015, 54, 7230–7238. [Google Scholar] [CrossRef] [PubMed]
  10. Tougait, O.; Ibers, J.A. Synthesis and Characterization of Three New Rare-Earth Titanium Oxyselenides: Ln3.67Ti2O3Se6 (Ln = Ce, Nd, Sm). Chem. Mater. 2000, 12, 2653–2658. [Google Scholar] [CrossRef]
  11. Tougait, O.; Ibers, J.A. Syntheses and Crystal Structures of the Lanthanum Titanium Oxyselenides La4Ti2O4Se5 and La6Ti3O5Se9. J. Solid State Chem. 2001, 157, 289–295. [Google Scholar] [CrossRef]
  12. Dung, N.H.; Tien, V.V. Synthèse et structure cristalline d’une nouvelle famille d’oxyséléniures de chrome III et de lanthanides légers, de formule générale RCrSe2O (R = La, Ce). C. R. Seances Acad. Sci. 1981, 293, 933–936. [Google Scholar]
  13. Meerschaut, A.; Lafond, A.; Meignen, V.; Deudon, C. Crystal Structure and Magnetic Properties of a New Oxyselenide of Gadolinium and Titanium: Gd4TiSe4O4. J. Solid State Chem. 2001, 162, 182–187. [Google Scholar] [CrossRef]
  14. Tuxworth, A.J.; Evans, J. Synthesis, structure and properties of the oxychalcogenide series A4O4TiSe4 (A = Sm, Gd, Tb, Dy, Ho, Er and Y). J. Solid State Chem. 2014, 210, 188–194. [Google Scholar] [CrossRef]
  15. Strobel, S.; Choudhury, A.; Dorhout, P.K.; Lipp, C.; Schleid, T. Rare-Earth Metal(III) Oxide Selenides M4O4Se[Se2] (M = La, Ce, Pr, Nd, Sm) with Discrete Diselenide Units: Crystal Structures, Magnetic Frustration, and Other Properties. Inorg. Chem. 2008, 47, 4936–4944. [Google Scholar] [CrossRef] [PubMed]
  16. Peschke, S.; Weippert, V.; Senyshyn, A.; Mühlbauer, M.J.; Janka, O.; Pöttgen, R.; Holenstein, S.; Luetkens, H.; Johrendt, D. Flux synthesis, crystal structures, and magnetic ordering of the rare-earth chromium(II) oxyselenides RE2CrSe2O2 (RE = La–Nd). Inorg. Chem. 2017, in press. [Google Scholar] [CrossRef] [PubMed]
  17. APEX2, version 2012.12-0; Bruker AXS Inc.: Madison, WI, USA, 2007.
  18. Sheldrick, G.M. SADABS, version 2012/1; Bruker AXS Inc.: Madison, WI, USA, 2001. [Google Scholar]
  19. Petricek, V.; Dusek, M.; Palatinus, L. Jana2006, version 26/09/2012; Institute of Physics: Praha, Czech Republic, 2006. [Google Scholar]
  20. Coelho, A. TOPAS-Academic, version 4.1; Coelho Software: Brisbane, Australia, 2007. [Google Scholar]
Figure 1. X-ray powder patterns (blue), Rietveld fits (red) and difference curve (gray) of m C -La2MnSe2O2 (top), La4MnSe3O4 (middle) and La6MnSe4O6 (bottom).
Figure 1. X-ray powder patterns (blue), Rietveld fits (red) and difference curve (gray) of m C -La2MnSe2O2 (top), La4MnSe3O4 (middle) and La6MnSe4O6 (bottom).
Figure 2. Crystal structures of La2n+2MnSen+2O2n+2 (n = 0–2). OLa4- and OLa3Mn-tetrahedra in blue, MnSe4O2-octahedra in violet. Rare-earth in white, manganese in violet, selenium in orange and oxygen in blue.
Figure 2. Crystal structures of La2n+2MnSen+2O2n+2 (n = 0–2). OLa4- and OLa3Mn-tetrahedra in blue, MnSe4O2-octahedra in violet. Rare-earth in white, manganese in violet, selenium in orange and oxygen in blue.
Figure 3. Coordination environments of the lanthanum ions in (a) m C -La2MnSe2O2; (b) La4MnSe3O4 and (c) La6MnSe4O6 showing the connectivity between the distorted square and the mono-capped trigonal antiprisms.
Figure 3. Coordination environments of the lanthanum ions in (a) m C -La2MnSe2O2; (b) La4MnSe3O4 and (c) La6MnSe4O6 showing the connectivity between the distorted square and the mono-capped trigonal antiprisms.
Figure 4. Magnetic susceptibilities (black, B = 1 T) and inverse susceptibilities (inset) of m C -La2MnSe2O2 (top), La4MnSe3O4 (middle) and La6MnSe4O6 (bottom) with Curie–Weiss fit (red). Parameters obtained from the fits are given in Table 4.
Figure 4. Magnetic susceptibilities (black, B = 1 T) and inverse susceptibilities (inset) of m C -La2MnSe2O2 (top), La4MnSe3O4 (middle) and La6MnSe4O6 (bottom) with Curie–Weiss fit (red). Parameters obtained from the fits are given in Table 4.
Table 1. Crystal data and structure refinement of La2n+2MnSen+2O2n+2 (n = 0, 1, 2).
Table 1. Crystal data and structure refinement of La2n+2MnSen+2O2n+2 (n = 0, 1, 2).
mC -La2MnSe2O2La4MnSe3O4La6MnSe4O6
Space group C 2 / m P 2 / m C 2 / m
a (Å)11.6621(5)9.0055(4)24.760(2)
b (Å)3.9719(1)4.0186(1)4.0359(3)
c (Å)7.2049(3)7.1946(3)7.1850(6)
β ( ) 121.655(2)109.715(2)104.162(3)
Volume (Å 3 )284.08(2)245.11(2)696.16(10)
Z212
R i n t 0.0240.0280.056
R σ 0.0320.0210.048
θ m a x ( ) 53.8834.9835.10
R 1 (obs)0.0240.0230.026
R 1 (all)0.0360.0320.049
w R 2 (obs)0.0480.0500.041
w R 2 (all)0.0510.0560.049
GooF1.201.511.00
Δ e ( e Å 3 ) +1.9/−2.5+3.9/−1.7+1.7/−1.7
Table 2. Distances between the manganese atoms in (d i n t r a ) and between (d i n t e r ) the MnSe4O2- octahedra chains and selected bond lengths (/pm) of m C -La2MnSe2O2 (n = 0), La4MnSe3O4 (n = 1) and La6MnSe4O6 (n = 2).
Table 2. Distances between the manganese atoms in (d i n t r a ) and between (d i n t e r ) the MnSe4O2- octahedra chains and selected bond lengths (/pm) of m C -La2MnSe2O2 (n = 0), La4MnSe3O4 (n = 1) and La6MnSe4O6 (n = 2).
nd intra d inter d(Mn–O)d(Mn–Se)d(La–O)d(La–Se)
0397.2(1)616.0(1)205.4(1)284.1(1)234.4(1)–240.8(1)315.9(1)–337.1(1)
1401.9(1)900.6(1)207.0(1)284.8(1)236.4(1)–246.5(1)313.0(1)–333.8(1)
2403.6(1)1247.8(2)207.7(1)284.8(1)236.2(1)–245.2(1)309.4(1)–333.3(1)
Table 3. Selected bond angles ( ) of m C -La2MnSe2O2 (n = 0), La4MnSe3O4 (n = 1) and La6MnSe4O6 (n = 2).
Table 3. Selected bond angles ( ) of m C -La2MnSe2O2 (n = 0), La4MnSe3O4 (n = 1) and La6MnSe4O6 (n = 2).
n∡(La–O–La)∡(La–O–Mn)∡(Se–Mn–Se)∡(Se–Mn–O)
0105.1(1)–115.8(1)106.4(1)–111.7(1)88.7(1)–91.3(1)89.5(1)–90.5(1)
1102.8(1)–116.4(1)106.9(1)–109.8(1)89.8(1)–90.2(1)87.8(1)–92.2(1)
2102.8(1)–117.3(1)106.0(1)–109.9(1)89.8(1)–90.2(1)88.0(1)–92.0(1)
Table 4. Effective magnetic moments ( μ eff ), Weiss-constants (θ), and Curie-constants (C) of m C -La2MnSe2O2, La4MnSe3O4, and La6MnSe4O6.
Table 4. Effective magnetic moments ( μ eff ), Weiss-constants (θ), and Curie-constants (C) of m C -La2MnSe2O2, La4MnSe3O4, and La6MnSe4O6.
Compound μ eff ( μ B )θ (K)C (cm 3 ·K·mol 1 )
m C -La2MnSe2O25.53(1) 46 . 5 ( 1 ) 3.82(1)
La4MnSe3O45.99(1) 62 . 1 ( 1 ) 4.48(1)
La6MnSe4O66.01(1) 57 . 4 ( 1 ) 4.51(1)

Share and Cite

MDPI and ACS Style

Peschke, S.; Johrendt, D. Flux Synthesis, Crystal Structures, and Magnetism of the Series La2n+2MnSen+2O2n+2 (n = 0–2). Inorganics 2017, 5, 9. https://doi.org/10.3390/inorganics5010009

AMA Style

Peschke S, Johrendt D. Flux Synthesis, Crystal Structures, and Magnetism of the Series La2n+2MnSen+2O2n+2 (n = 0–2). Inorganics. 2017; 5(1):9. https://doi.org/10.3390/inorganics5010009

Chicago/Turabian Style

Peschke, Simon, and Dirk Johrendt. 2017. "Flux Synthesis, Crystal Structures, and Magnetism of the Series La2n+2MnSen+2O2n+2 (n = 0–2)" Inorganics 5, no. 1: 9. https://doi.org/10.3390/inorganics5010009

APA Style

Peschke, S., & Johrendt, D. (2017). Flux Synthesis, Crystal Structures, and Magnetism of the Series La2n+2MnSen+2O2n+2 (n = 0–2). Inorganics, 5(1), 9. https://doi.org/10.3390/inorganics5010009

Note that from the first issue of 2016, this journal uses article numbers instead of page numbers. See further details here.

Article Metrics

Back to TopTop