The Conversion Polymorphism of Perovskite Phases in the BiCrO3–BiFeO3 System
Abstract
1. Introduction
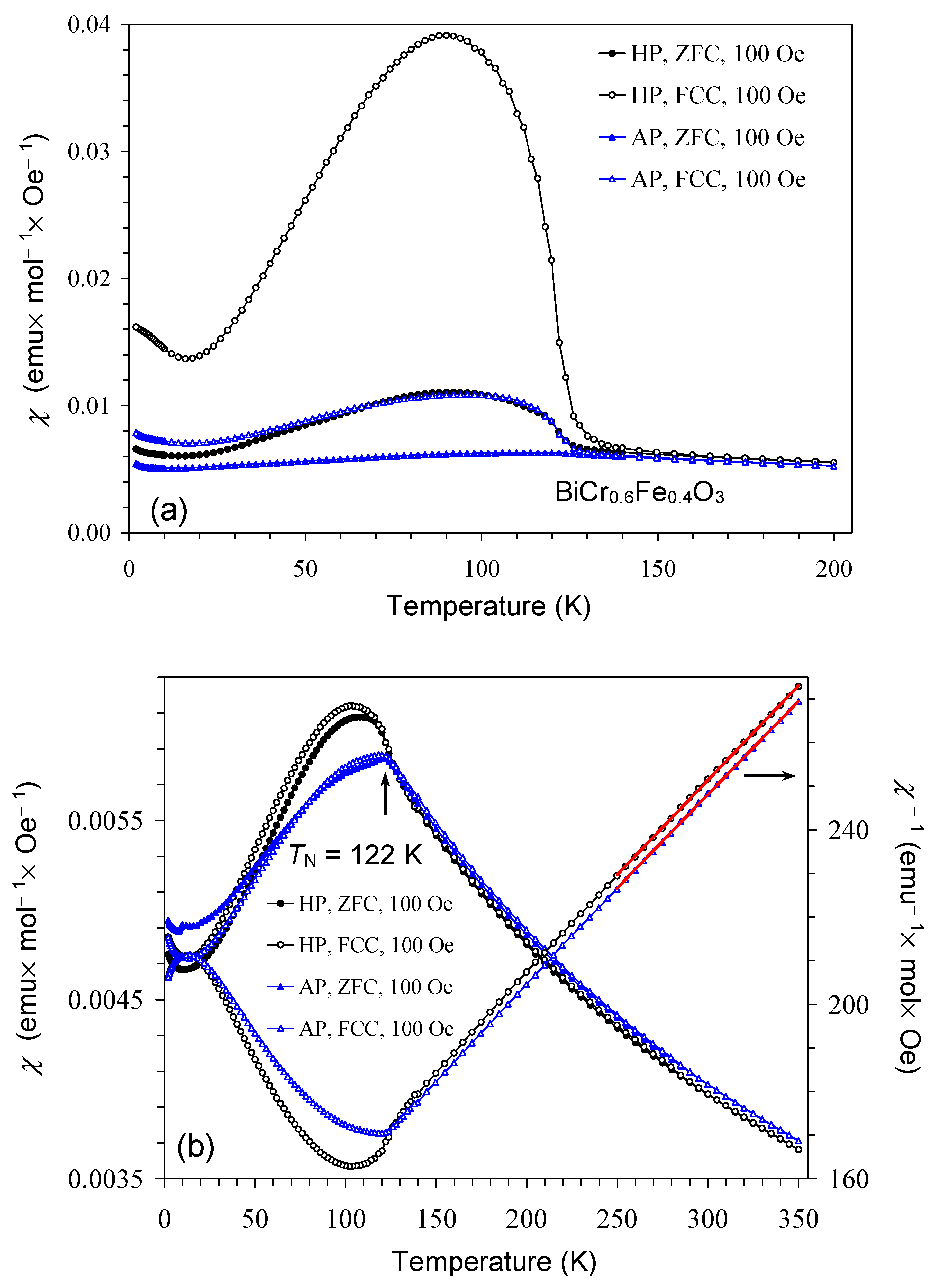
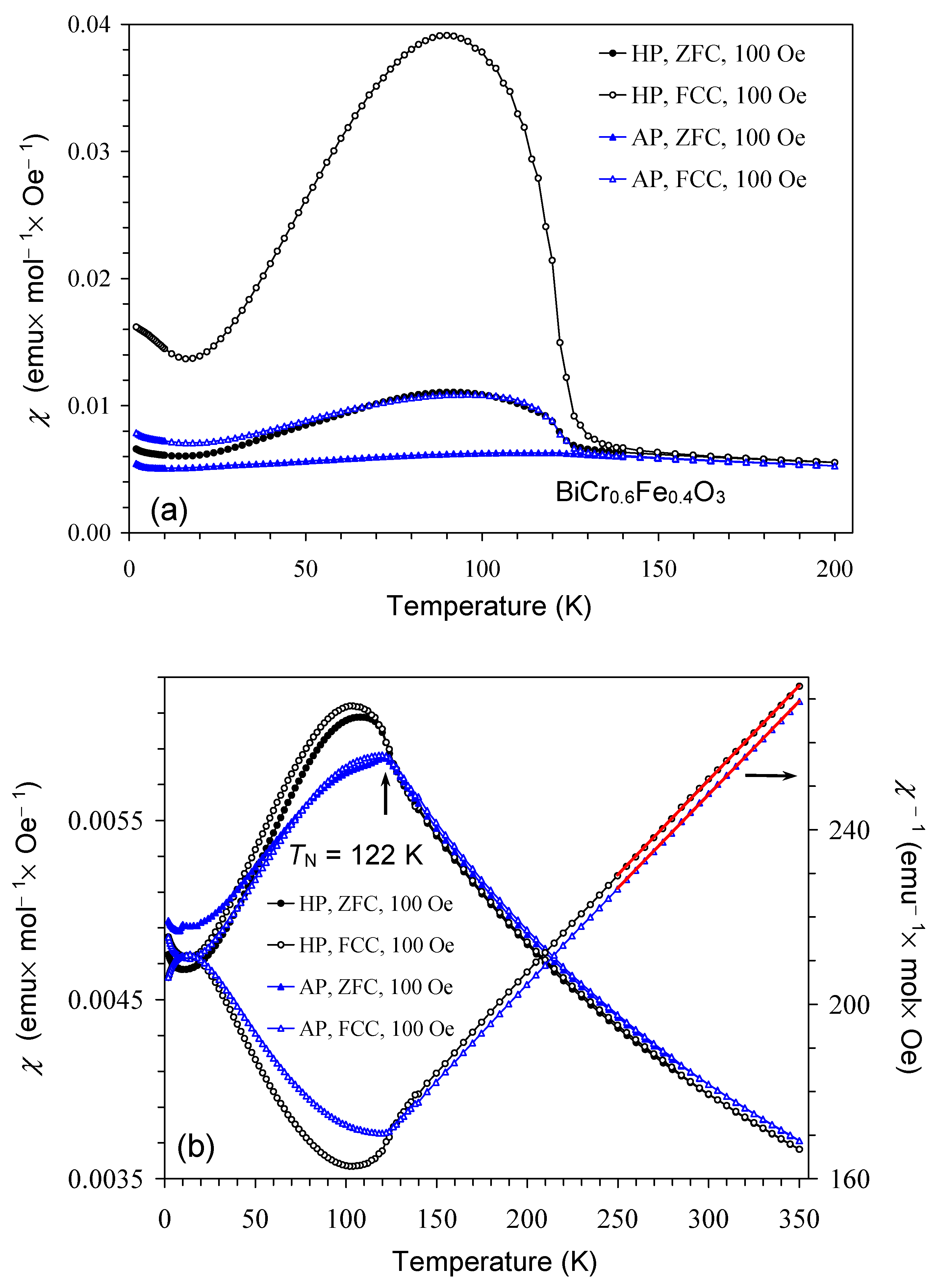
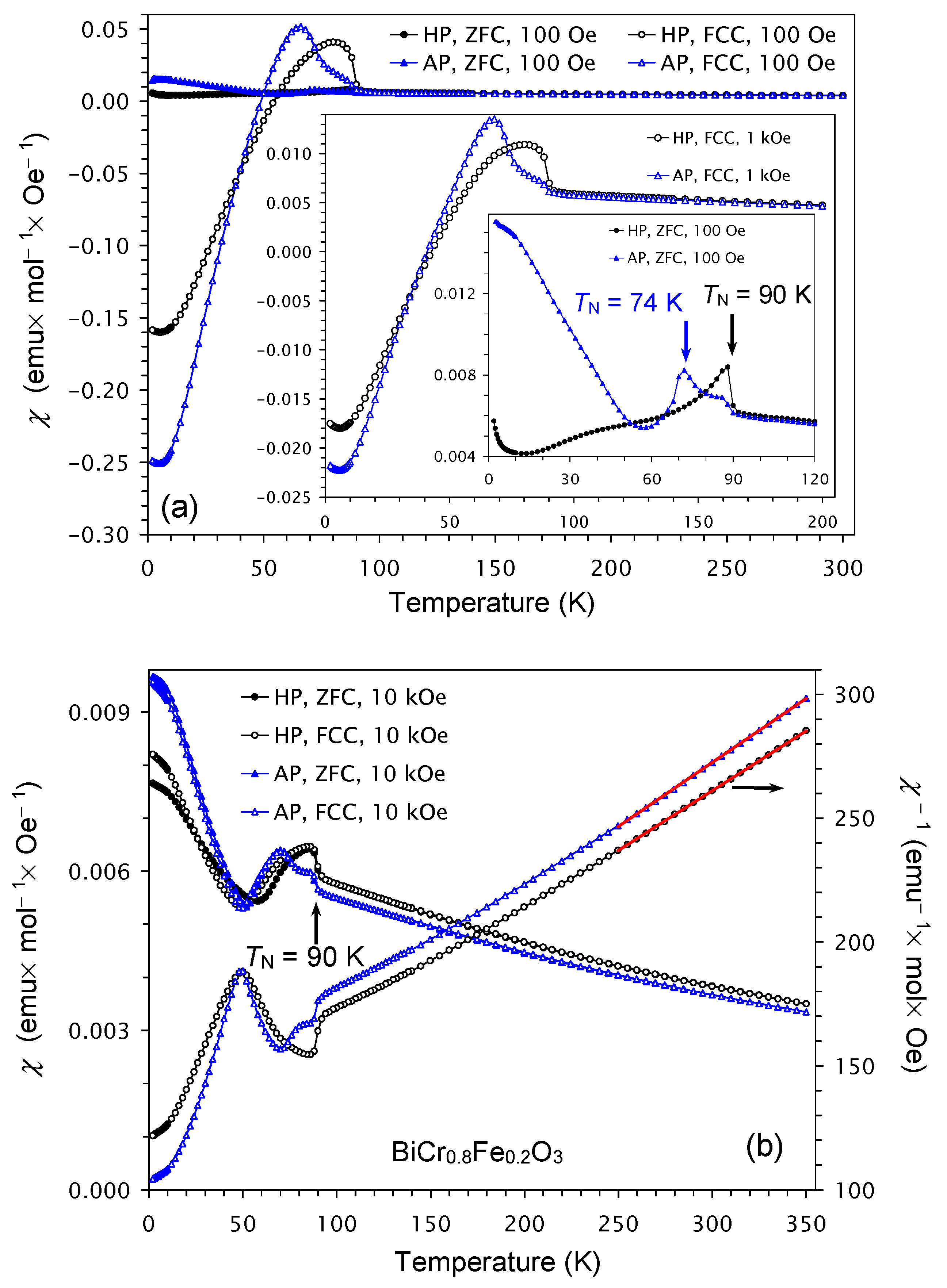
2. Results and Discussion
3. Materials and Methods
4. Conclusions
Supplementary Materials
Funding
Institutional Review Board Statement
Informed Consent Statement
Data Availability Statement
Acknowledgments
Conflicts of Interest
References
- Venevtsev, Y.N.; Zhdanov, G.S.; Solov’ev, S.N.; Bezus, E.V.; Ivanova, V.V.; Fedulov, S.A.; Kapyshev, A.G. Crystal chemical studies of substances with perovskite structure and special dielectric properties. Sov. Phys. Crystallogr. 1961, 5, 594–599. [Google Scholar]
- Filip’ev, V.S.; Smolyaninov, N.P.; Fesenko, E.G.; Belyaev, I.N. Synthesis of BiFeO3 and determination of the unit cell. Sov. Phys. Crystallogr. 1961, 5, 913–914. [Google Scholar]
- Zaslavskii, A.I.; Tutov, A.G. The structure of a new antiferromagnetic, BiFeO3. Dokl. Akad. Nauk SSSR 1960, 135, 815–819. [Google Scholar]
- Fedulov, S.A. Determination of Curie temperature for BiFeO3 ferroelectric. Dokl. Akad. Nauk SSSR 1961, 139, 1345. [Google Scholar]
- Wang, J.; Neaton, J.B.; Zheng, H.; Nagarajan, V.; Ogale, S.B.; Liu, B.; Viehland, D.; Vaithyanathan, V.; Schlom, D.G.; Waghmare, U.V.; et al. Epitaxial BiFeO3 multiferroic thin film heterostructures. Science 2003, 299, 1719–1722. [Google Scholar] [CrossRef]
- Catalan, G.; Scott, J.F. Physics and applications of bismuth ferrite. Adv. Mater. 2009, 21, 2463–2485. [Google Scholar] [CrossRef]
- Khomskii, D. Classifying multiferroics: Mechanisms and effects. Physics 2009, 2, 20. [Google Scholar] [CrossRef]
- Fiebig, M.; Lottermoser, T.; Meier, D.; Trassin, M. The evolution of multiferroics. Nat. Rev. Mater. 2016, 1, 16046. [Google Scholar] [CrossRef]
- Tokura, Y.; Seki, S.; Nagaosa, N. Multiferroics of spin origin. Rep. Prog. Phys. 2014, 77, 076501. [Google Scholar] [CrossRef]
- Meisenheimer, P.; Moore, G.; Zhou, S.; Zhang, H.; Huang, X.; Husain, S.; Chen, X.; Martin, L.W.; Persson, K.A.; Griffin, S.; et al. Switching the spin cycloid in BiFeO3 with an electric field. Nat. Comm. 2024, 15, 2903. [Google Scholar] [CrossRef]
- Liu, Z.R.; Wang, H.; Li, M.; Tao, L.L.; Paudel, T.R.; Yu, H.Y.; Wang, Y.X.; Hong, S.Y.; Zhang, M.; Ren, Z.H.; et al. In-plane charged domain walls with memristive behaviour in a ferroelectric film. Nature 2023, 613, 656–661. [Google Scholar] [CrossRef] [PubMed]
- Paull, O.; Xu, C.S.; Cheng, X.; Zhang, Y.Y.; Xu, B.; Kelley, K.P.; de Marco, A.; Vasudevan, R.K.; Bellaiche, L.; Nagarajan, V.; et al. Anisotropic epitaxial stabilization of a low-symmetry ferroelectric with enhanced electromechanical response. Nat. Mater. 2022, 21, 74–80. [Google Scholar] [CrossRef] [PubMed]
- Geng, W.R.; Zhu, Y.L.; Zhu, M.X.; Tang, Y.L.; Zhao, H.J.; Lei, C.H.; Wang, Y.J.; Wang, J.H.; Jiang, R.J.; Liu, S.Z.; et al. Dipolar wavevector interference induces a polar skyrmion lattice in strained BiFeO3 films. Nat. Nanotechnol. 2025. [Google Scholar] [CrossRef] [PubMed]
- Huang, X.; Chen, X.; Li, Y.; Mangeri, J.; Zhang, H.; Ramesh, M.; Taghinejad, H.; Meisenheimer, P.; Caretta, L.; Susarla, S.; et al. Manipulating chiral spin transport with ferroelectric polarization. Nat. Mater. 2024, 23, 898–904. [Google Scholar] [CrossRef]
- Arnold, D.C.; Knight, K.S.; Morrison, F.D.; Lightfoot, P. Ferroelectric-paraelectric transition in BiFeO3: Crystal structure of the orthorhombic β phase. Phys. Rev. Lett. 2009, 102, 027602. [Google Scholar] [CrossRef]
- Sugawara, F.; Iida, S.; Syono, Y.; Akimoto, S.-I. New magnetic perovskites BiMnO3 and BiCrO3. J. Phys. Soc. Jpn. 1965, 20, 1529. [Google Scholar] [CrossRef]
- Tomashpol’skii, Y.Y.; Zubova, E.V.; Burdina, K.P.; Venevtsev, Y.N. X-ray diffraction study of the ferroelectric and ferromagnetic materials BiMnO3, BiCrO3, and their solid solutions obtained at high pressures. Inorg. Mater. 1967, 3, 1861–1863. [Google Scholar]
- Sugawara, F.; Iiida, S.; Syono, Y.; Akimoto, S.-I. Magnetic properties and crystal distortions of BiMnO3 and BiCrO3. J. Phys. Soc. Jpn. 1968, 25, 1553–1558. [Google Scholar] [CrossRef]
- Hill, N.A.; Bättig, P.; Daul, C. First principles search for multiferroism in BiCrO3. J. Phys. Chem. B 2002, 106, 3383–3388. [Google Scholar] [CrossRef]
- Niitaka, S.; Azuma, M.; Takano, M.; Nishibori, E.; Takata, M.; Sakata, M. Crystal structure and dielectric and magnetic properties of BiCrO3 as a ferroelectromagnet. Solid State Ion. 2004, 172, 557–559. [Google Scholar] [CrossRef]
- Murakami, M.; Fujino, S.; Lim, S.-H.; Long, C.J.; Salamanca-Riba, L.G.; Wuttig, M.; Takeuchi, I.; Nagarajan, V.; Varatharajan, A. Fabrication of multiferroic epitaxial BiCrO3 thin films. Appl. Phys. Lett. 2006, 88, 152902. [Google Scholar] [CrossRef]
- Kim, D.H.; Lee, H.N.; Varela, M.; Christen, H.M. Antiferroelectricity in multiferroic BiCrO3 epitaxial films. Appl. Phys. Lett. 2006, 89, 162904. [Google Scholar] [CrossRef]
- Belik, A.A.; Tsujii, N.; Suzuki, H.; Takayama-Muromachi, E. Magnetic properties of bulk BiCrO3 studied with dc and ac magnetization and specific heat. Inorg. Chem. 2007, 46, 8746–8751. [Google Scholar] [CrossRef] [PubMed]
- Belik, A.A.; Iikubo, S.; Kodama, K.; Igawa, N.; Shamoto, S.; Takayama-Muromachi, E. Neutron powder diffraction study on the crystal and magnetic structures of BiCrO3. Chem. Mater. 2008, 20, 3765–3769. [Google Scholar] [CrossRef]
- Darie, C.; Goujon, C.; Bacia, M.; Klein, H.; Toulemonde, P.; Bordet, P.; Suard, E. Magnetic and crystal structures of BiCrO3. Solid State Sci. 2010, 12, 660–664. [Google Scholar] [CrossRef]
- Colin, C.V.; Pérez, A.G.; Bordet, P.; Goujon, C.; Darie, C. Symmetry adapted analysis of the magnetic and structural phase diagram of Bi1-xYxCrO3. Phys. Rev. B 2012, 85, 224103. [Google Scholar] [CrossRef]
- Singh, A.; Singh, V.N.; Canadell, E.; Íñiguez, J.; Diéguez, O. Polymorphism in Bi-based perovskite oxides: A first-principles study. Phys. Rev. Mater. 2018, 2, 104417. [Google Scholar] [CrossRef]
- Sobolev, A.V.; Bokov, A.V.; Yi, W.; Belik, A.A.; Presniakov, I.A.; Glazkova, I.S. Electric hyperfine interactions of 57Fe impurity atoms in ACrO3 perovskite-type chromites (A = Sc, In, Tl, Bi). J. Exp. Theor. Phys. 2019, 129, 896–902. [Google Scholar] [CrossRef]
- Araújo, B.S.; Arévalo-López, A.M.; Santos, C.C.; Attfield, J.P.; Paschoal, C.W.A.; Ayala, A.P. Spin–phonon coupling in monoclinic BiCrO3. J. Appl. Phys. 2020, 127, 114102. [Google Scholar] [CrossRef]
- Cardoso, J.P.; Delmonte, D.; Gilioli, E.; Fertman, E.L.; Fedorchenko, A.V.; Shvartsman, V.V.; Paukšta, V.; Grigalaitis, R.; Banys, J.; Khalyavin, D.D.; et al. Phase transitions in the metastable perovskite multiferroics BiCrO3 and BiCr0.9Sc0.1O3: A comparative study. Inorg. Chem. 2020, 59, 8727–8735. [Google Scholar] [CrossRef]
- Behr, D.; Delmonte, D.; Gilioli, E.; Khalyavin, D.D.; Johnson, R.D. Weak ferromagnetism and spin reorientation in antiferroelectric BiCrO3. Phys. Rev. B 2022, 106, 024416. [Google Scholar] [CrossRef]
- Belik, A.A. Polar and nonpolar phases of BiMO3: A review. J. Solid State Chem. 2012, 195, 32–40. [Google Scholar] [CrossRef]
- Selbach, S.M.; Tybell, T.; Einarsrud, M.A.; Grande, T. Structure and properties of multiferroic oxygen hyperstoichiometric BiFe1–xMnxO3+δ. Chem. Mater. 2009, 21, 5176–5186. [Google Scholar] [CrossRef]
- Selbach, S.M.; Tybell, T.; Einarsrud, M.A.; Grande, T. High-temperature semiconducting cubic phase of BiFe0.7Mn0.3O3+δ. Phys. Rev. B 2009, 79, 214113. [Google Scholar] [CrossRef]
- Mandal, P.; Sundaresan, A.; Rao, C.N.R.; Iyo, A.; Shirage, P.M.; Tanaka, Y.; Simon, C.; Pralong, V.; Lebedev, O.I.; Caignaert, V.; et al. Temperature-induced magnetization reversal in BiFe0.5Mn0.5O3 synthesized at high pressure. Phys. Rev. B 2010, 82, 100416. [Google Scholar] [CrossRef]
- Karpinsky, D.V.; Silibin, M.V.; Latushka, S.I.; Zhaludkevich, D.V.; Sikolenko, V.V.; Svetogorov, R.; Sayyed, M.I.; Almousa, N.; Trukhanov, A.; Trukhanov, S.; et al. Temperature-driven transformation of the crystal and magnetic structures of BiFe0.7Mn0.3O3 ceramics. Nanomaterials 2022, 12, 2813. [Google Scholar] [CrossRef]
- Manna, P.K.; Yusuf, S.M.; Shukla, R.; Tyagi, A.K. Exchange bias in BiFe0.8Mn0.2O3 nanoparticles with an antiferromagnetic core and a diluted antiferromagnetic shell. Phys. Rev. B 2011, 83, 184412. [Google Scholar] [CrossRef]
- Khalyavin, D.D.; Salak, A.N.; Olekhnovich, N.M.; Pushkarev, A.V.; Radyush, Y.V.; Manuel, P.; Raevski, I.P.; Zheludkevich, M.L.; Ferreira, M.G.S. Polar and antipolar polymorphs of metastable perovskite BiFe0.5Sc0.5O3. Phys. Rev. B 2014, 89, 174414. [Google Scholar] [CrossRef]
- Salak, A.N.; Khalyavin, D.D.; Pushkarev, A.V.; Radyush, Y.V.; Olekhnovich, N.M.; Shilin, A.D.; Rubanik, V.V. Phase formation in the (1-y)BiFeO3-yBiScO3 system under ambient and high pressure. J. Solid State Chem. 2017, 247, 90–96. [Google Scholar] [CrossRef]
- Khalyavin, D.D.; Salak, A.N.; Lopes, A.B.; Olekhnovich, N.M.; Pushkarev, A.V.; Radyush, Y.V.; Fertman, E.L.; Desnenko, V.A.; Fedorchenko, A.V.; Manuel, P.; et al. Magnetic structure of an incommensurate phase of La-doped BiFe0.5Sc0.5O3: Role of antisymmetric exchange interactions. Phys. Rev. B 2015, 92, 224428. [Google Scholar] [CrossRef]
- Khalyavin, D.D.; Salak, A.N.; Fertman, E.L.; Kotlyar, O.V.; Eardley, E.; Olekhnovich, N.M.; Pushkarev, A.V.; Radyush, Y.V.; Fedorchenko, A.V.; Desnenko, V.A.; et al. The phenomenon of conversion polymorphism in Bi-containing metastable perovskites. Chem. Commun. 2019, 55, 4683–4686. [Google Scholar] [CrossRef] [PubMed]
- Fedorchenko, A.; Fertman, E.L.; Salak, A.N.; Desnenko, V.A.; Čižmár, E.; Feher, A.; Vaisburd, A.I.; Olekhnovich, N.M.; Pushkarev, A.V.; Radyush, Y.V.; et al. Unusual magnetic properties of the polar orthorhombic BiFe0.5Sc0.5O3 perovskite. J. Magn. Magn. Mater. 2018, 465, 328–332. [Google Scholar] [CrossRef]
- Fertman, E.L.; Fedorchenko, A.V.; Desnenko, V.A.; Shvartsman, V.V.; Lupascu, D.C.; Salamon, S.; Wende, H.; Vaisburd, A.I.; Stanulis, A.; Ramanauskas, R.; et al. Exchange bias effect in bulk multiferroic BiFe0.5Sc0.5O3. AIP Adv. 2020, 10, 045102. [Google Scholar] [CrossRef]
- Fertman, E.L.; Fedorchenko, A.V.; Čižmár, E.; Vorobiov, S.; Feher, A.; Radyush, Y.V.; Pushkarev, A.V.; Olekhnovich, N.M.; Stanulis, A.; Barron, A.R.; et al. Magnetic diagram of the high-pressure stabilized multiferroic perovskites of the BiFe1-yScyO3 series. Crystals 2020, 10, 950. [Google Scholar] [CrossRef]
- Shvartsman, V.V.; Khalyavin, D.D.; Olekhnovich, N.M.; Pushkarev, A.V.; Radyush, Y.V.; Salak, A.N. Spontaneous and induced ferroelectricity in the BiFe1-xScxO3 perovskite ceramics. Phys. Status Solidi A 2021, 218, 2100173. [Google Scholar] [CrossRef]
- Prosandeev, S.A.; Khalyavin, D.D.; Raevski, I.P.; Salak, A.N.; Olekhnovich, N.M.; Pushkarev, A.V.; Radyush, Y.V. Complex antipolar √2 × 4 × 2√2 structure with Pnma symmetry in BiFeO3 and BiFe1/2Sc1/2O3: First-principles calculations. Phys. Rev. B 2014, 90, 054110. [Google Scholar] [CrossRef]
- Belik, A.A.; Rusakov, D.A.; Furubayashi, T.; Takayama-Muromachi, E. BiGaO3-based perovskites: A large family of polar materials. Chem. Mater. 2012, 24, 3056–3064. [Google Scholar] [CrossRef]
- Belik, A.A.; Abakumov, A.M.; Tsirlin, A.A.; Hadermann, J.; Kim, J.; Van Tandeloo, G.; Takayama-Muromachi, E. Structure and magnetic properties of BiFe0.75Mn0.25O3 perovskite prepared at ambient and high pressure. Chem. Mater. 2011, 42, 4505–4514. [Google Scholar] [CrossRef]
- Belik, A.A. Two perovskite modifications of BiFe0.6Mn0.4O3 prepared by high pressure and post-synthesis annealing at ambient pressure. Inorganics 2024, 12, 226. [Google Scholar] [CrossRef]
- Belik, A.A. Magnetic properties of solid solutions between BiCrO3 and BiGaO3 with perovskite structures. Sci. Technol. Adv. Mater. 2015, 16, 026003. [Google Scholar] [CrossRef]
- Belik, A.A. Solid solutions between BiMnO3 and BiCrO3. Inorg. Chem. 2016, 55, 12348–12356. [Google Scholar] [CrossRef] [PubMed]
- Baettig, P.; Spaldin, N.A. Ab initio prediction of a multiferroic with large polarization and magnetization. Appl. Phys. Lett. 2005, 86, 012505. [Google Scholar] [CrossRef]
- Suchomel, M.R.; Thomas, C.I.; Allix, M.; Rosseinsky, M.J.; Fogg, A.M.; Thomas, M.F. High pressure bulk synthesis and characterization of the predicted multiferroic Bi(Fe1/2Cr1/2)O3. Appl. Phys. Lett. 2007, 90, 112909. [Google Scholar] [CrossRef]
- Palaimiene, E.; Gribauskaite, V.; Banys, J.; Pushkarev, A.V.; Radyush, Y.V.; Olekhnovich, N.M.; Cardoso, J.P.V.; Salak, A.N. Dielectric characterization of the BiFe0.5Cr0.5O3 ceramics. Lith. J. Phys. 2022, 62, 206–211. [Google Scholar] [CrossRef]
- Goffinet, M.; Iniguez, J.; Ghosez, P. First-principles study of a pressure-induced spin transition in multiferroic Bi2FeCrO6. Phys. Rev. B 2012, 86, 024415. [Google Scholar] [CrossRef]
- Himcinschi, C.; Drechsler, F.; Walch, D.S.; Bhatnagar, A.; Belik, A.A.; Kortus, J. Unexpected Phonon Behaviour in BiFexCr1−xO3, a Material System Different from Its BiFeO3 and BiCrO3 Parents. Nanomaterials 2022, 12, 1607. [Google Scholar] [CrossRef]
- Kan, Y.; Liu, J.; Chen, R.; Liu, Y.; Wang, H.; Long, M.; Tian, B.; Chu, J.; Chen, Y.; Sun, L. Enhanced ferroelectric photovoltaic performance of Bi2FeCrO6 thin films for neuromorphic computing applications. Appl. Phys. Lett. 2024, 124, 112906. [Google Scholar] [CrossRef]
- Henning, X.; Schlur, L.; Wendling, L.; Fix, T.; Colis, S.; Dinia, A.; Alexe, M.; Rastei, M.V. Interfacial photovoltaic effects in ferroelectric Bi2FeCrO6 thin films. Phys. Rev. Mater. 2025, 9, 024403. [Google Scholar] [CrossRef]
- Chang, F.; Zhang, N.; Yang, F.; Wang, S.; Song, G. Effect of Cr substitution on the structure and electrical properties of BiFeO3 ceramics. J. Phys. D Appl. Phys. 2007, 40, 7799–7803. [Google Scholar] [CrossRef]
- Luo, B.-C.; Chen, C.-L.; Jin, K.-X. Low temperature properties of multiferroic BiFe0.9Cr0.1O3 compound. Solid State Commun. 2011, 151, 712–715. [Google Scholar] [CrossRef]
- Rusakov, V.S.; Pokatilov, V.S.; Sigov, A.S.; Belik, A.A.; Matsnev, M.E. Changes in the magnetic structure of multiferroic BiFe0.80Cr0.20O3 with temperature. Phys. Solid State 2019, 61, 1030–1036. [Google Scholar] [CrossRef]
- Raevski, I.P.; Kubrin, S.P.; Pushkarev, A.V.; Olekhnovich, N.M.; Radyush, Y.V.; Titov, V.V.; Malitskaya, M.A.; Raevskaya, S.I.; Chen, H. The effect of Cr substitution for Fe on the structure and magnetic properties of BiFeO3 multiferroic. Ferroelectrics 2018, 525, 1–10. [Google Scholar] [CrossRef]
- Kubrin, S.P.; Raevski, I.P.; Olekhnovich, N.M.; Pushkarev, A.V.; Radyush, Y.V.; Titov, V.V.; Malitskaya, M.A.; Li, G.R.; Raevskaya, S.I. Mössbauer study of the effect of cation substitutions on the magnetic phase transitions in BiFe1–xCrxO3 and (1–x)BiFeO3–xPbFe0.5Sb0.5O3 solid solutions. Crystal. Rep. 2020, 65, 338–342. [Google Scholar] [CrossRef]
- Arafat, S.S. Structural transition and magnetic properties of high Cr-doped BiFeO3 ceramic. Cerâmica 2020, 66, 114–118. [Google Scholar] [CrossRef]
- Corker, D.L.; Glazer, A.M.; Dec, J.; Roleder, K.; Whatmore, R.W. A re-investigation of the crystal structure of the perovskite PbZrO3 by X-ray and neutron diffraction. Acta Crystallogr. Sect. B Struct. Sci. 1997, 53, 135–142. [Google Scholar] [CrossRef]
- Teslic, S.; Egami, T. Atomic structure of PbZrO3 determined by pulsed neutron diffraction. Acta Crystallogr. Sect. B Struct. Sci. 1998, 54, 750–765. [Google Scholar] [CrossRef]
- Shannon, R. Revised effective ionic radii and systematic studies of interatomic distances in halides and chalcogenides. Acta Crystallogr. Sect. A 1976, 32, 751–767. [Google Scholar] [CrossRef]
- Rusakov, D.A.; Abakumov, A.M.; Yamaura, K.; Belik, A.A.; Van Tendeloo, G.; Takayama-Muromachi, E. Structural evolution of the BiFeO3−LaFeO3 system. Chem. Mater. 2011, 23, 285–292. [Google Scholar] [CrossRef]
- Troyanchuk, I.O.; Karpinsky, D.V.; Bushinsky, M.V.; Khomchenko, V.A.; Kakazei, G.N.; Araujo, J.P.; Tovar, M.; Sikolenko, V.; Efimov, V.; Kholkin, A.L. Isothermal structural transitions, magnetization and large piezoelectric response in Bi1−xLaxFeO3 perovskites. Phys. Rev. B 2011, 83, 054109. [Google Scholar] [CrossRef]
- Cheng, C.-J.; Kan, D.; Lim, S.-H.; McKenzie, W.R.; Munroe, P.R.; Salamanca-Riba, L.G.; Withers, R.L.; Takeuchi, I.; Nagarajan, V. Structural transitions and complex domain structures across a ferroelectric-to-antiferroelectric phase boundary in epitaxial Sm-doped BiFeO3 thin films. Phys. Rev. B 2009, 80, 014109. [Google Scholar] [CrossRef]
- Kalantari, K.; Sterianou, I.; Karimi, S.; Ferrarelli, M.C.; Miao, S.; Sinclair, D.C.; Reaney, I.M. Ti-doping to reduce conductivity in Bi0.85Nd0.15FeO3 ceramics. Adv. Funct. Mater. 2011, 21, 3737–3743. [Google Scholar] [CrossRef]
- Carvalho, T.T.; Fernandes, J.R.A.; Perez de la Cruz, J.; Vidal, J.V.; Sobolev, N.A.; Figueiras, F.; Das, S.; Amaral, V.S.; Almeida, A.; Agostinho Moreira, J.; et al. Room temperature structure and multiferroic properties in Bi0.7La0.3FeO3 ceramics. J. Alloys Compd. 2013, 554, 97–103. [Google Scholar] [CrossRef]
- Gomes, M.M.; Carvalho, T.T.; Manjunath, B.; Vilarinho, R.; Gibbs, A.S.; Knight, K.S.; Paixao, J.A.; Amaral, V.S.; Almeida, A.; Tavares, P.B.; et al. Disentangling the phase sequence and correlated critical properties in Bi0.7La0.3FeO3 by structural studies. Phys. Rev. B 2021, 104, 174109. [Google Scholar] [CrossRef]
- Kumar, A.; Yusuf, S.M. The phenomenon of negative magnetization and its implications. Phys. Rep. 2015, 556, 1–34. [Google Scholar] [CrossRef]
- Billoni, O.V.; Pomiro, F.; Cannas, S.A.; Martin, C.; Maignan, A.; Carbonio, R.E. Magnetization reversal in mixed ferrite-chromite perovskites with non magnetic cation on the A-site. J. Phys. Condens. Matter 2016, 28, 476003. [Google Scholar] [CrossRef]
- Dasari, N.; Mandal, P.; Sundaresan, A.; Vidhyadhiraja, N.S. Weak ferromagnetism and magnetization reversal in YFe1−xCrxO3. Europhys. Lett. 2012, 99, 17008. [Google Scholar] [CrossRef]
- Kawaguchi, S.; Takemoto, M.; Osaka, K.; Nishibori, E.; Moriyoshi, C.; Kubota, Y.; Kuroiwa, Y.; Sugimoto, K. High-throughput powder diffraction measurement system consisting of multiple MYTHEN detectors at beamline BL02B2 of SPring-8. Rev. Sci. Instrum. 2017, 88, 085111. [Google Scholar] [CrossRef]
- Kawaguchi, S.; Takemoto, M.; Tanaka, H.; Hiraide, S.; Sugimoto, K.; Kubota, Y. Fast continuous measurement of synchrotron powder diffraction synchronized with controlling gas and vapour pressures at beamline BL02B2 of SPring-8. J. Synchrotron Rad. 2020, 27, 616–624. [Google Scholar] [CrossRef]
- Izumi, F.; Ikeda, T. A Rietveld-analysis program RIETAN-98 and its applications to zeolites. Mater. Sci. Forum 2000, 321–324, 198–205. [Google Scholar] [CrossRef]















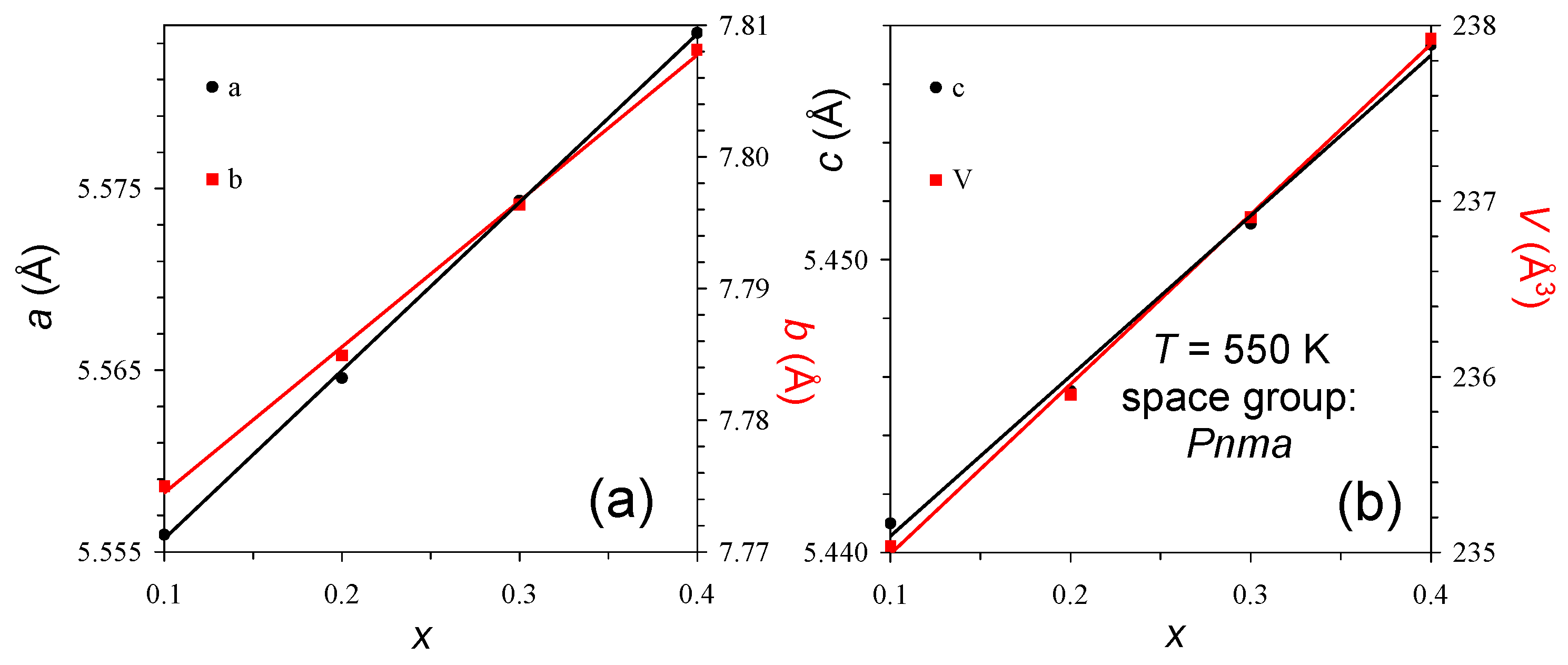
| x | 0.1 | 0.2 | 0.3 | 0.4 |
|---|---|---|---|---|
| T (K) | 550 | 550 | 600 | 600 |
| a (Å) | 5.55595 (3) | 5.56458 (3) | 5.57383 (2) | 5.58329 (2) |
| b (Å) | 7.77499 (6) | 7.78492 (6) | 7.80159 (3) | 7.81360 (3) |
| c (Å) | 5.44100 (3) | 5.44552 (3) | 5.45751 (2) | 5.46389 (2) |
| V (Å3) | 235.037 (3) | 235.899 (3) | 237.318 (2) | 238.366 (2) |
| ρcal (g/cm3) | 8.743 | 8.721 | 8.680 | 8.653 |
| x (Bi) | 0.04309 (6) | 0.04275 (8) | 0.04304 (7) | 0.04281 (8) |
| z (Bi) | 0.99574 (14) | 0.99616 (23) | 0.99618 (18) | 0.99613 (21) |
| Biso (Bi) (Å2) | 1.173 (7) | 1.364 (11) | 1.528 (10) | 1.643 (11) |
| Biso (Cr/Fe) (Å2) | 0.55 (2) | 0.72 (3) | 0.76 (2) | 0.79 (3) |
| x (O1) | 0.4800 (9) | 0.4871 (12) | 0.4852 (11) | 0.4860 (12) |
| z (O1) | 0.0823 (10) | 0.0747 (13) | 0.0847 (12) | 0.0824 (13) |
| Biso (O1) (Å2) | 0.62 (13) | 0.10 (17) | 0.88 (16) | 0.55 (18) |
| x (O2) | 0.2915 (9) | 0.2921 (15) | 0.2945 (11) | 0.2994 (13) |
| y (O2) | 0.0385 (6) | 0.0413 (11) | 0.0374 (8) | 0.0381 (10) |
| z (O2) | 0.7068 (9) | 0.7071 (15) | 0.7030 (11) | 0.7041 (13) |
| Biso (O2) (Å2) | 1.06 (10) | 2.4 (2) | 1.51 (13) | 1.97 (17) |
| Rwp (%) | 5.48 | 7.18 | 6.39 | 7.09 |
| Rp (%) | 4.07 | 5.28 | 4.81 | 5.18 |
| RI (%) | 3.18 | 4.17 | 4.26 | 4.16 |
| RF (%) | 2.51 | 3.81 | 4.35 | 4.56 |
| Impurities: | ||||
| Bi2O2CO3 | 1.1 wt. % | 0.8 wt. % | 1.6 wt. % | 1.6 wt. % |
| Cr2O3 | 0.6 wt. % | 0.9 wt. % | – | – |
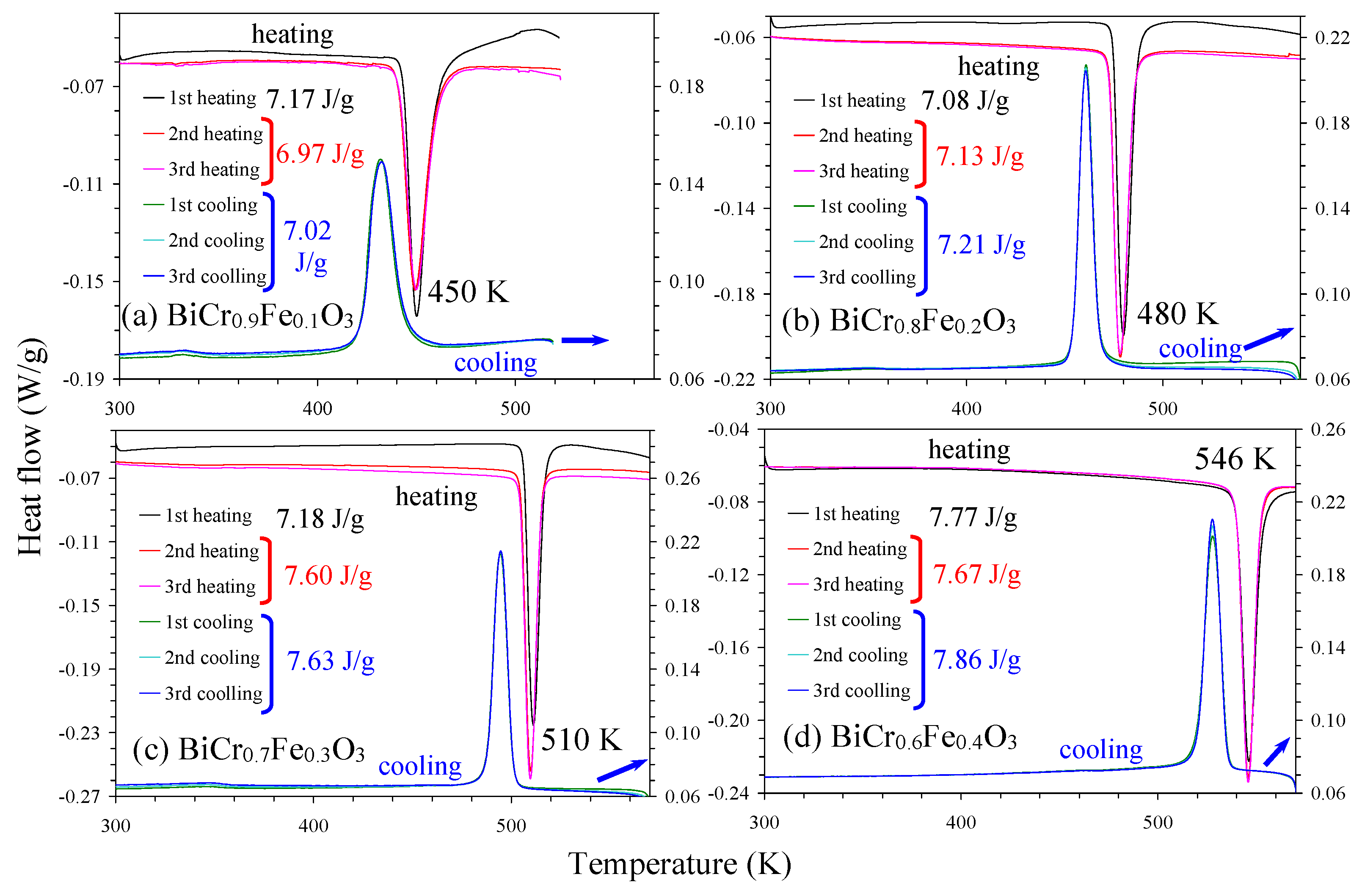
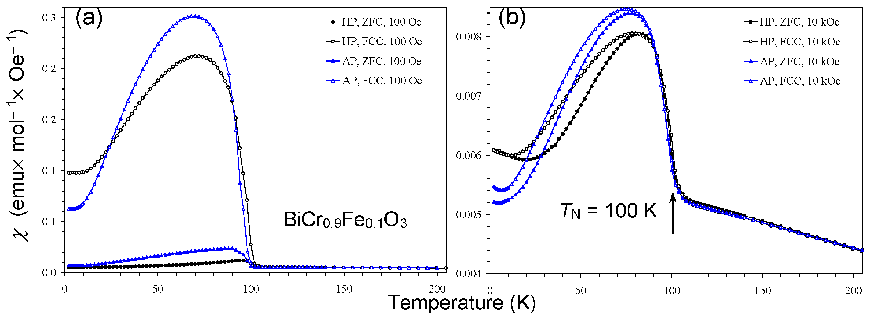
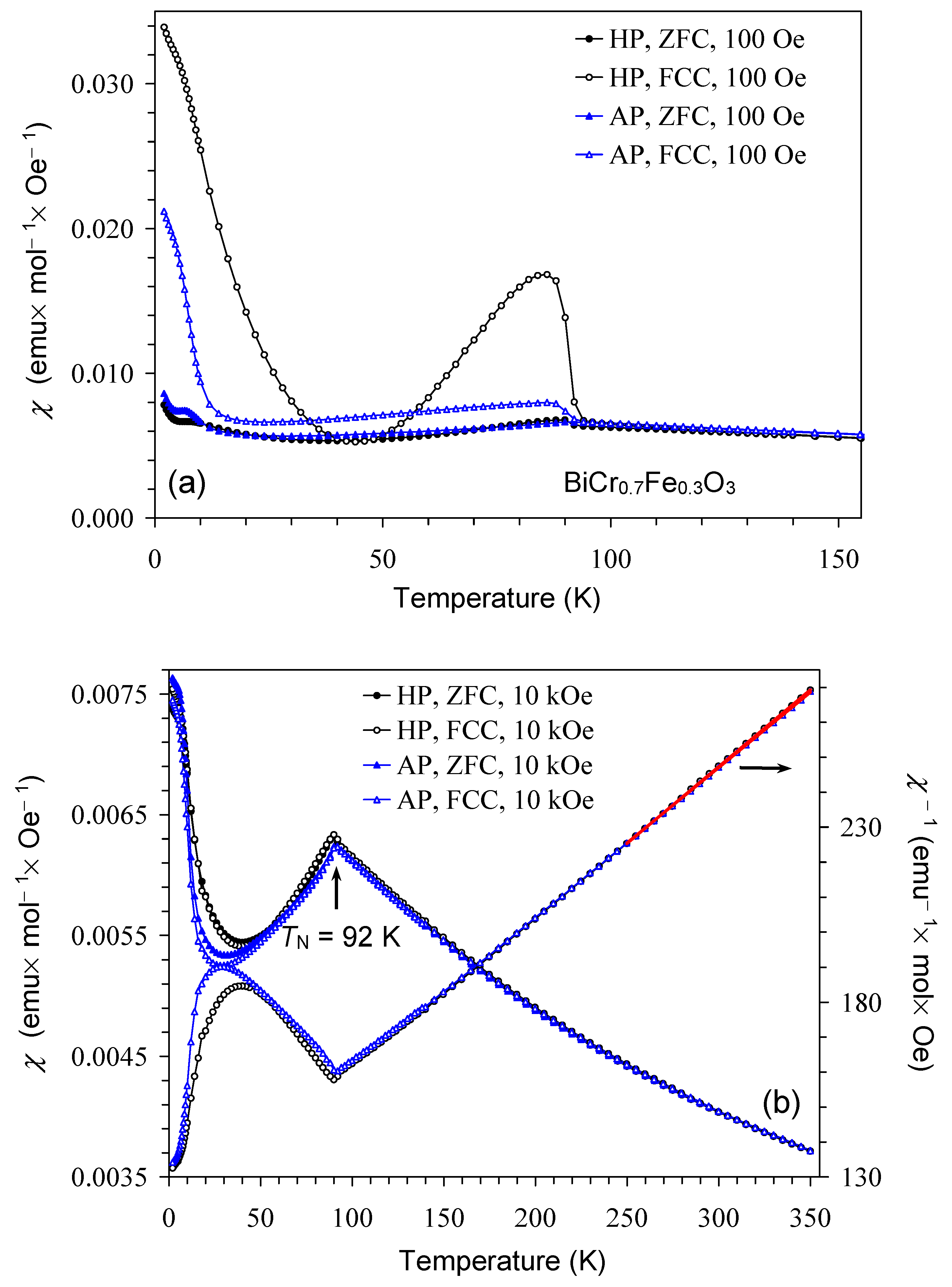
| x | Tstr (K) | TN (K) | μeff (μB/f.u.) | μcalc (μB/f.u.) | θ (K) | MS (μB/f.u.) |
|---|---|---|---|---|---|---|
| 0.1 (HP) | 450 | 100 | 3.995 | 4.123 | −247 | 0.075 |
| 0.1 (AP) | 450 | 98 | 4.061 | 4.123 | −259 | 0.073 |
| 0.2 (HP) | 480 | 90 | 4.068 | 4.359 | −240 | 0.086 |
| 0.2 (AP) | 478 | 90, 74 | 3.934 | 4.359 | −227 | 0.087 |
| 0.3 (HP) | 511 | 92 | 4.269 | 4.583 | −264 | 0.099 |
| 0.3 (AP) | 510 | 92 | 4.305 | 4.583 | −273 | 0.099 |
| 0.4 (HP) | 546 | 122 | 4.293 | 4.796 | −279 | 0.083 |
| 0.4 (AP) | 546 | 122 | 4.321 | 4.796 | −279 | 0.083 |
Disclaimer/Publisher’s Note: The statements, opinions and data contained in all publications are solely those of the individual author(s) and contributor(s) and not of MDPI and/or the editor(s). MDPI and/or the editor(s) disclaim responsibility for any injury to people or property resulting from any ideas, methods, instructions or products referred to in the content. |
© 2025 by the author. Licensee MDPI, Basel, Switzerland. This article is an open access article distributed under the terms and conditions of the Creative Commons Attribution (CC BY) license (https://creativecommons.org/licenses/by/4.0/).
Share and Cite
Belik, A.A. The Conversion Polymorphism of Perovskite Phases in the BiCrO3–BiFeO3 System. Inorganics 2025, 13, 91. https://doi.org/10.3390/inorganics13030091
Belik AA. The Conversion Polymorphism of Perovskite Phases in the BiCrO3–BiFeO3 System. Inorganics. 2025; 13(3):91. https://doi.org/10.3390/inorganics13030091
Chicago/Turabian StyleBelik, Alexei A. 2025. "The Conversion Polymorphism of Perovskite Phases in the BiCrO3–BiFeO3 System" Inorganics 13, no. 3: 91. https://doi.org/10.3390/inorganics13030091
APA StyleBelik, A. A. (2025). The Conversion Polymorphism of Perovskite Phases in the BiCrO3–BiFeO3 System. Inorganics, 13(3), 91. https://doi.org/10.3390/inorganics13030091

