Abstract
Lanthanum (La(III)) is one of the high-demand rare earth elements with applications in various products. However, La(III) in mining waste streams and electronic waste also poses environmental and health concerns. Therefore, the recovery of La(III) in the waste is needed. In the present study, the adsorption of La(III) with Dowex 50W-X8, Amberchrom50WX4, Amberlyst 15, and Amberchrom 50WX2 was evaluated using a shaker water bath. Dowex 50W-X8 was found to be the best adsorbent and was used to investigate the effect of the shaker speed (RPM = 50–150), adsorbent dosage (1.0–4.0 g), pH (2.0–7.0), and temperature (20–40 °C) on adsorption. La(III) adsorption was found to increase with the shaker speed, as expected. On the other hand, the adsorption capacity decreased with the adsorbent amount. Also, the highest La(III) adsorption was observed at pH = 6.0. La(III) percentage removal did not vary significantly with a temperature from 20 °C to 40 °C. However, the first-order kinetic rate constant decreased moderately with increases in temperature. The adsorption of La(III) by Dowex 50-X8 followed the Freundlich isotherm model better than the Langmuir model. In addition, the adsorption kinetics were represented well by the pseudo-first-order kinetic model. Moreover, enthalpy and Gibbs free energy changes were found to be negative, indicating an exothermic and thermodynamically favorable adsorption process.
1. Introduction
The ever-growing need for rare earth elements (REEs) has increased drastically over the past decade. This growth is due to the various technological innovations and advancements using different electronic devices throughout the world. REEs have been coined many different terms, such as “seeds of technology” or “industrial vitamins,” due to their extensive use in the chemical industry, electronics, metallurgy, and medicine [1,2,3,4,5]. As of 2015, the global demand for REEs was about 120,000 metric tons per year and was projected to increase by 5% annually [2]. Worldwide production has increased faster than expected to about 300,000 metric tons in 2022 [4]. These materials are an abundant resource, but they are extremely difficult to enrich and separate from their medium [6]. In addition, with the increasing use of electronic and electrical devices, there is an increasing demand for rare and other metals while the natural resources are limited. This leads to an interest in secondary sources from discarded devices. Waste electrical and electronic devices (e-waste), such as old laptops, computers, smartphones, and other electronic devices, are becoming the fastest-growing waste stream in the world. In 2016, the worldwide total of e-waste was 44.7 million tons, and it was expected to grow to 52.2 million tons in 2021 [7]. E-waste contains a wide range of valuable metals and hazardous substances. For example, waste battery materials contain lithium, cobalt, nickel, and REEs. Thus, the recovery of metals from e-waste serves multiple faucets: resources re-utilization, environmental protection, and reduced production costs [8]. In addition, due to the low efficiency of past mining processes and the lack of focus on recovering RREs, a significant amount of RREs was lost in the mining tailings.
Recycling of solid electronic waste usually involves leaching as a first step to dissolve metals out of the solid devices. Then, the metals of interest can be separated from other metals by ion exchange, solvent extraction, combined ion exchange/solvent extraction, liquid membrane processes, etc. [9,10]. By the same token, Lanthanum, one of the REEs, has become more popular over time due to continued industrial activities such as mining and ore processing. High concentrations of La(III) are often found in the mining tailings. Therefore, researchers have devoted time and resources to investigating different methods of recovering REEs from industrial wastes, especially from mining and mineral processing [11,12]. The various techniques investigated are reverse osmosis, evaporation, solvent extraction, chemical precipitation, membrane separation, ion exchange, and adsorption. These techniques are utilized to remove REEs before the industrial runoff reaches the environment and recycle/reuse the trace amounts found in the runoff for other purposes. Among those techniques, many reports in the literature indicated that adsorption was one of the most cost-effective, highly selective, and easily operated methods with great potential in industry [13,14,15]. Several adsorbents have been used for La(III) recovery, including chelating resins, silica-based materials, raw or modified biosorbents, polymeric, biopolymeric, and carbon-based commercial materials [16,17,18,19,20,21,22,23,24]. For example, Botelho Jr. et al. (2021) studied the adsorption of lanthanum and cerium by commercial chelating ion exchange resins (Dowex M4195, Lewatit TP 207, and Dowex XUS43605) over an initial solution pH range from 0.5 to 2.0. The author reported an increase in adsorption with the pH [16]. A magnetite–chitosan composite was also reported to be effective in removing Lanthanum from an aqueous solution. A 99.88% removal of La3+ was observed at 40 °C, pH 11, and 50 min of adsorption [17]. In addition, a bio-derived adsorbent, bamboo charcoal, was tested for its potential adsorption of Lanthanum(III) with some level of success. A La(III) uptake of 120 mg/g was achieved at 298 K and an initial pH of 7.20 [18]. In the bulk of the reported literature, La(III) adsorption behavior with respect to the solution’s initial pH and temperature did not have a unique pattern. The adsorption capacity could either increase or decrease with the solution’s initial pH, dependent on the type of adsorbent used, while most reported an optimal pH range of 4–6. Likewise, adsorption of La(III) by various adsorbents has been reported as mostly exothermic with a few endothermic cases, which indicates that adsorption capacity would decrease or increase with temperature respectively [1]. Those findings show that the effect of temperature and pH on the adsorption of Lanthanum(III) by various adsorbents does not always follow the same trend, i.e., adsorption does not always increase or decrease with pH or temperature. In other words, adsorption is specific to an adsorbent–adsorbate system. This may be due to the specific surface chemistry of an adsorbent and the adsorbate speciation at different pH and temperatures, which play an essential role in the attachment/adsorption of Lanthanum(III) onto the adsorbent surface.
In the present study, the primary objective was to investigate La(III) recovery by adsorption using commercial adsorbents (cationic ion exchange resins) that are readily available for large-scale operations. This was part of our long-term research project, which started with lab tests on a synthetic La(III) solution as a proof of concept. While a similar approach has been employed before, it was essential to verify its feasibility with our target REE, La(III), and the selected adsorbent, Dowex, before advancing to the next phase of our long-term project. This involves an investigation of La(III) recovery from actual mining tailings that may require a multistage separation process, including adsorption, among other separation methods. In mining tailings, the two main sources of Lanthanum are red mud, a byproduct from bauxite processing, and gypstacks (phosphogypsum), a waste stream from phosphorus processing in the phosphate fertilizer industry. In the present study, adsorption kinetic and thermodynamic parameters for La(III)–Dowex resin were determined. In addition, the effects of the operational conditions on the adsorption capacity were also assessed to determine the optimal operational conditions. These findings are necessary for scaling up to a larger adsorption system.
2. Results and Discussion
2.1. Adsorbent Selection
Four different commercially available resins, namely, Dowex 50W-X8, Amberchrom 50WX4 (formerly Dowex 50W-X4), Amberlyst 15 hydrogen form, and Amberchrom 50WX2 (formerly Dowex 50W-X2), were tested as potential adsorbents for the removal of La(III) from an aqueous solution. All resins were obtained from Millipore Sigma, St. Louis, MO, USA. After 7 h of adsorption, the percentage removal of La(III) was about 92% and was relatively the same for all four adsorbents, considering the uncertainty of the experimental data, as shown in Figure 1a. However, Dowex 50W-X8 showed a slightly higher amount of La(III) adsorbed after 7 h, as compared with other adsorbents. Also, adsorption was quicker with Dowex 50W-X8 at the onset of the experiment, as can be seen in Figure 1b. In addition, Dowex 50W-X8 is relatively less expensive than other resins.

Figure 1.
Adsorption of La(III) by various adsorbents: (a) Percentage removal after 7 h of adsorption: 1. Dowex 50W-X8, 2. Amberchrom50WX4, 3. Amberlyst 15, 4. Amberchrom 50WX2; (b) Amount adsorbed vs. time (pH = 5.5, T = 25.0 °C). X-ray images of resins: (c) Dowex 50W-X8 particle, (d) zoomed-in image of a Dowex-8X particle’ surface; (e) Amberchrom 50WX4 particles, (f) zoomed-in image of Amberchrom 50WX4; (g) Amberlyst particle, (h) zoomed-in image of Amberlyst; (i) Amberchrom 50WX2 particle, (j) zoomed-in image of Amberchrom 50WX2; (k) Majority particle sizes of the adsorbents, (l) Measured particle size distribution of Dowex 50W-X8; (m) SEM image of fresh Dowex 50W-X8 and (n) EDS spectrum of the resin; (o) SEM image of Dowex 50W-X8 after 7 h of adsorption and (p) EDS spectrum of the resin.
Dowex 50W-X8 is a strongly acidic cation exchanger, H+ form, which is composed of a styrene–divinylbenzene ([C10H12·C10H10·C8H8]x) gel matrix with sulfonic acid functional group (Millipore Sigma, St. Louis, MO, USA). X-ray images of Dowex 50W-X8, Amberchrom50WX4, Amberlyst 15 hydrogen form, and Amberchrom 50WX2, obtained with a Synchrotron, are shown in Figure 1c–j. The majority of particle sizes (>70% of particles) of the adsorbents were also measured and are presented in Figure 1k, and the particle size distribution of Dowex 50W-X8, which was determined from the X-ray images, is plotted in Figure 1l. This provides more details on the particle sizes and the portion of each size, while only a general range of particle sizes without the size distribution is made available to the public from the manufacturer. As can be seen in the images of Figure 1c,d, Dowex 50W-X8 resin particles have grooved surfaces, while other resin surfaces appear to be smoother. In addition, as can be seen in Figure 1k, this resin’s particles are smaller than those of the others, except Amberchrom 50WX2; thereby, the total surface area per unit mass would be relatively higher, enhancing adsorption capacity and adsorption rate, as shown in Figure 1a. Therefore, Dowex 50W-X8 was selected as the adsorbent of choice for the rest of the present study. In order to observe the integrity of the surface of Dowex 50W-X8 over the adsorption process, SEM images of fresh Dowex 50W-X8 resin and the resin after 7 hours of adsorption were captured. In addition, the EDS elemental analysis of the resin before and after adsorption was also carried out to ascertain the presence of La(III) on the resin due to adsorption. The images and analyses obtained are presented in Figure 1m–p. The resin surface structure appears similar in Figure 1m,o, indicating that adsorption did not alter the physical integrity of the resin. The elemental analysis in Figure 1n shows no La(III) (0 wt% on spectrum 2) present in the fresh Dowex 50W-X8, while clear evidence of La(III) on the resin (6.3 wt% on spectrum 7) can be seen in Figure 1p for the resin after 7 h of adsorption.
2.2. Effect of the Shaker Speed on Adsorption
To ensure that mass transfer is not a limiting step of the overall adsorption process, varied shaker speeds of the water bath were tested. The results obtained are shown in Figure 2. As can be seen in Figure 2, La(III) adsorption increased with the shaker speed, as expected. A 60% increase in the percentage removal of La(III) was observed as the RPM was increased from 50 to 100 RPM. The percentage removal approached a maximum (close to 100%) at the shaker speed of 125 RPM and leveled off with a further increase to 150 RPM. Therefore, the shaker speed of 100 RPM, which achieved 80% removal of La(III), was selected for use in all other experiments in this study. This allows for better observation of the impact of other parameters, such as temperature, pH, etc., on La(III) removal.
Figure 2.
Effect of the shaker speed (RPM) on the removal of La(III) after 7 h of adsorption with Dowex 50W-X8 (pH = 5.5, T = 25.0 °C).
The kinetics of La(III) adsorption at different shaker speeds was also assessed to better understand the dynamics of adsorption of La(III) onto the adsorbent and obtain predictive models that allow estimations of the amount adsorbed with adsorption time. This information could be used to scale up a larger system.
The pseudo-first-order kinetic equation for adsorption can be expressed as follows [25]:
where qe (mg/g) and qt (mg/g) are the adsorbate amounts adsorbed onto the adsorbent at equilibrium and at a given time t (h), respectively. KI is the pseudo-first-order rate constant (1/h).
With the integration of Equation (1) and the rearrangement of the resultant equation, the pseudo-first-order kinetic equation can be rewritten as follows:
The pseudo-second-order kinetics can be represented by the following equation [26]:
From Equation(3), the pseudo-second-order kinetic equation can be rewritten as follows:
where KII is the pseudo-second-order adsorption rate constant (g/(mg∙h)).
As indicated by Equation (2), KI and ln(qe) can be obtained from the slope and the intercept of a plot of ln(qe−qt) versus t, respectively. Similarly, for the pseudo-second-order kinetics, as shown in Equation (4), qe and KII can be extracted from the slope and the intercept of the plot of t/qt vs. t. The values of the rate constants, KI and KII, and the model prediction of qe, along with the experimental qe, are presented in Table 1. The data seemed to fit the pseudo-first-order kinetic model better, as indicated by a much better agreement between the experimental adsorption capacities and the values predicted by the kinetic model. In addition, KI increased steadily with the shaker speed (RPM), as can be seen in Table 1. Therefore, the relationship between the rate constant (KI) and the particle’s Reynolds number (Re) was also evaluated. This helps generalize the relationship between KI and the shaker speed. The particle Re is defined as Re = (d∙ρ∙u)/µ, where d is the adsorbent particle diameter, ρ and µ are liquid density and viscosity, respectively, and u is the equivalent linear velocity of liquid in the flasks, based on the shaker stroke length (15 mm) and the RPM. The particle’s Reynolds numbers at varied shaker speeds were calculated using the equivalent linear velocity of liquid passing the particles and presented along with KI in Figure 3a. Figure 3a shows an increasing trend of KI with Re that is directly related to the shaker speed.
Table 1.
Effect of the shaker RPM on La(III) adsorption kinetics at pH = 5.5 and T = 25.0 °C.
Figure 3.
Effect of the shaker speed (RPM) on La(III) adsorption: (a) Variation of the fist-order kinetic rate constant, KI, with Re; (b) Relationship of the Sherwood number with Re (T = 25.0 °C, pH = 5.5). Note: the diamond symbols are data points, the solid line is from the linear regression.
At a higher shaker speed, the liquid velocity at the region adjacent to the solid adsorbent surface was higher, while the thickness of the concentration boundary layer was lower, resulting in a higher mass transfer coefficient of La(III) from the liquid to the solid–liquid interface. In general, the mass transfer coefficient is a function of the particle’s Reynolds number, i.e., fluid velocity. The mass transfer rate of La(III) from liquid to the adsorbent, in turn, is proportional to the mass transfer coefficient and the difference of the La(III) concentration in the bulk liquid and at the liquid–solid interface. For all tests at varied RPM in the present study, the initial La(III) concentration was kept the same for all tests; hence, the mass transfer rate was predominantly determined by the mass transfer coefficient. Consequently, at a higher RPM, a higher mass transfer coefficient would lead to a higher mass transfer rate and, hence, a higher adsorption rate constant, KI, and a higher percentage removal of La(III). This was indeed the case, as can be seen in Figure 2 and Table 1.
As shown in Table 1, adsorption of La(III) to Dowex 50W-8X followed the pseudo-first-order kinetics better than the pseudo-second-order kinetics, as indicated by a much lower % deviation between the experimental equilibrium adsorbed amount and the predicted values from the model of −2.8%, as compared with 40.2% for the second-order model. In addition, Figure 3a shows a linear relationship between Ln(KI) and Ln(Re). This trend implies that the rate constant (KI) for the pseudo-first-order adsorption kinetics of La(III) increased exponentially with the Reynolds number, which is directly proportional to the shaker speed. Moreover, the data indicates that the mass transfer step was indeed the limiting factor on the overall adsorption process at low shaker speeds (50 and 75 RPM), resulting in much lower KI values. The mass transfer was improved significantly at higher speeds of 100–150 RPM, leading to more adsorption and higher adsorption rates, resulting in higher first-order rate constants, KI.
The fluid movement around the adsorbent particles would be at the onset of the turbulent regime at 50 RPM (Re = 20) since this was much higher than the cut-off Re of about 1.0 for the Stokes flow regime. From the data of KI at varied values of Re, a correlation of KI with the particle’s Reynolds number was also obtained, using a curve fitting, with a coefficient of determination, R2, of 0.94, and presented in Equation (5) below. For mass transfer under the condition of a turbulent flow, the mass transfer coefficient and, hence, the first-order rate constant (KI) is expected to be proportional to the Reynolds number to an exponent greater than 0.50, as can be seen in the obtained correlation below:
The benefit of the correlation of KI with Re in Equation (5) is that it can be used to estimate the first-order rate constant for a batch La(III) adsorption system at varied RPMs, which is not necessary to be the same as those in the present study, as long as it is operated at a Reynolds number within the range of the Reynolds numbers used in the experiments to generate data for this correlation. It is important to note that when comparisons are made among results from various reports in the literature, they should be under a similar fluid dynamic condition, i.e., the Reynolds number, which dictates the mass transfer rate of the adsorbate from liquid to solid adsorbent, and, hence, affects the adsorption rate. The same RPM may not translate to the same Reynolds number and the fluid dynamic condition if the shaking stroke and the adsorbent particle size are much different. Consequently, the comparisons may not be precise and appropriate.
In addition, the mass transfer coefficient for the convective transfer of La(III) from the bulk liquid to the adsorbent particles in its dimensionless form, the Sherwood number (Sh), at varied RPMs, i.e., varied values of the Reynolds number, were estimated and plotted in Figure 3b. The mass transfer coefficient was determined from a typical mass transfer rate equation below:
where A is the total surface area of adsorbent particles (m2) suspended in liquid, k is the mass transfer coefficient (m/s), ΔC is the La(III) concentration difference between the bulk liquid and the solid–liquid interface (mg/m3), and R is the rate of La(III) transfer from liquid to solid adsorbent (mg/s). R can be obtained from the reduction of the La(III) concentration in the solution with time.
A correlation of the Sherwood number for the mass transfer of La(III) from liquid to solid adsorbent, with an average deviation of 4.5% between the predicted and experimental Sh values, was obtained as below:
where the dimensionless Sherwood number, Sh, = (k∙d)/D, d is the particle diameter (m), and D is the diffusivity of La(III) in an aqueous solution (0.62 × 10−9 m2/s) [27]. Re is the particle’s Reynolds number, and Sc is the Schmidt number, Sc, = µ/(ρ∙D).
As can be seen in Equation (7), the Sherwood number has a very strong dependence on the Reynolds number to the power of 2.25, which is much higher than that for the case of mass transfer from a liquid stream to a single stationary sphere under turbulent regime (the power of 0.62) [28]. This might be due to the swirling motion of liquid in the flasks, which was created by the shaking of the flasks in the water shaker bath. This caused more vigorous movements of both liquid and solid particles; hence, mass transfer was enhanced with the shaker speed at a greater degree, resulting in a higher exponent of Re. Note that Equation (7) represents the mass transfer coefficient of the La(III) transfer from the liquid to the solid adsorbent in a dimensionless form, which is commonly used to generalize experimental data in mass transfer. Therefore, Equation (7) can be used to predict the La(III) adsorption rate in a larger system or a system with other RPM if they are operated in the same range of the Reynolds numbers as in the present study.
2.3. Effect of Adsorbent Amount on Adsorption Capacity
The effect of the adsorbent amount on the percentage removal and the amount of La(III) adsorbed onto Dowex 50W-X8 was evaluated. The results obtained are presented in Figure 4a,b. After 3 h of adsorption with the same initial La(III) concentration and other operational conditions, the La(III) percentage removal increased as the amount of adsorbent was increased from 1.00 to 3.00 g, as can be seen in Figure 4a. However, no discerning increase in the percentage removal was observed, with a further increase in the adsorbent amount to 4.00 g. However, for an extended adsorption period of 7 h, no significant difference in the percentage removal, ranging from 89 to 96%, was observed at varied adsorbent amounts from 1.00 to 4.00 g.
Figure 4.
(a) Effect of the adsorbent amount on the percentage removal of La(III); (b) Variation of La(III) adsorption capacity with the amount of adsorbent after 7 h of adsorption (pH = 5.5, T = 25.0 °C, 100 RPM).
It is relevant to note that even though the percentage removal of La(III), based on the total amount of La(III) removed with adsorption time, did not change significantly with increases in the adsorbent doses from 1.00 to 4.00 g, the adsorption capacity/adsorbed amount, defined as the amount of La(III) adsorbed per unit mass of adsorbent (mg La(III)/g adsorbent), decreased significantly with the amount of adsorbent. The adsorbed amount dropped almost 50% from 10.8 mg/g to 5.46 mg/g as the adsorbent amount was increased from 1.00 to 2.00 g. The reduction in the adsorption capacity became more gradual with further increases from 2.00 to 4.00 g, as can be seen in Figure 4b. In the presence of a finite amount of La(III) in the solution, it is expected that the amount adsorbed per unit mass of adsorbent decreases with more adsorbent present, which provides abundant active sites, but the adsorption is limited by the amount of La(III) available in the solution.
The trend of the La(III) percentage removal with the amount of adsorbent, presented in Figure 4a, was expected since at a higher amount of adsorbent, more adsorption sites were available for La(III) attachment; hence, more La(III) was adsorbed with increases in the adsorbent amount over the first stage adsorption (3 h). For the adsorbent amount higher than 3.00 g, the La(III) in the solution became exhausted as the adsorption progressed, resulting in no further improvement in adsorption. It was more evident after 7 h of adsorption that the amount of adsorbent over the entire range from 1.00 to 4.00 g did not show a very significant effect on the La(III) percentage removal. At the later stage of adsorption, there was much less La(III) remaining in the solution; hence, the mass transfer rate of La(III) from the solution to the adsorbent surface was much lower. Consequently, the mass transfer became a predominant controlling factor in the adsorption process; this, in turn, rendered an underutilization of available adsorption sites on the adsorbent surface for cases with more adsorbent present. Therefore, no very discerning improvement in the percentage removal with higher amounts of adsorbent was observed after 7 h of adsorption.
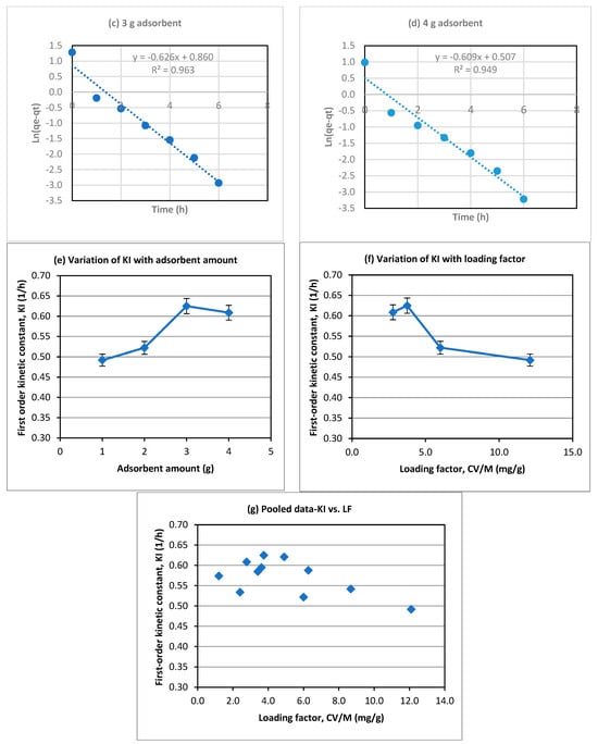
The effect of the amount of adsorbent on the kinetics of La(III) adsorption was also assessed; the results are presented in Figure 5. For various amounts of adsorbent from 1.00 to 4.00 g, Figure 5a–d shows that the data fits the first-order kinetic model quite well with the values of the coefficient of determination, R2, ranging from 0.95 to 0.99. Also, as can be seen in Figure 5e, the rate constant for the first-order adsorption kinetics (KI) increased slightly as the adsorbent amount was increased from 1.00 g to 2.00 g. However, a significant increase of 20% in the KI was observed as the adsorbent amount was further increased from 2.00 g to 3.00 g; it leveled off with a further increase to 4.00 g.

Figure 5.
First-order adsorption kinetics at varied adsorbent amounts (a–d), variation of the rate constant, KI, with the adsorbent amount (e), and the loading factor (f,g) (pH = 5.5, T = 25.0 °C, 100 RPM).
As indicated in Figure 5e, KI increased with the amount of adsorbent from 1.00 to 3.00 g even though the percentage removal of La(III) stayed relatively similar at the end of the experiments (Figure 4a, after 7 h of adsorption). It is worth noting that over the first stage of the adsorption process (initial 3 h), more La(III) was still present in the solution; hence, more La(III) was adsorbed per unit time, i.e., a higher adsorption rate, in the presence of a higher amount of adsorbent. Therefore, the overall adsorption rate over the entire duration of the experiment (7 h) was higher, resulting in higher KI values with the increasing amount of adsorbent from 1.00 to 3.00 g. Nevertheless, the KI remained similar for cases with 3.00 g and 4.00 g of adsorbent. This might be due to the fact that the La(III) concentration in the solution dropped quickly at the onset of the adsorption for both cases. The adsorption process thus became under the control of mass transfer from liquid to solid adsorbent, which was slow at a low La(III) concentration. Consequently, whether 3.00 g or 4.00 g of adsorbent was present, the available active sites were abundant, but the adsorption rate was low due to a low mass transfer rate of La(III) towards the adsorbent, negating the advantage of more active sites available with 4.00 g of adsorbent.
In addition to the assessment of the effect of the sole amount of adsorbent on the adsorption kinetics, a loading factor, which is a combination of the adsorbate concentration, the volume of the adsorbate solution, and the mass of the adsorbent available in the system at the beginning of the adsorption process, was introduced and used as below:
where LF is the loading factor (mg/g), C is the concentration of La(III) in the solution (mg/L), V is the volume of the La(III) solution (L), and M is the mass of adsorbent used (g).
The variation of the rate constant, KI, with the different values of the loading factor, LF, due to the changes in the amount of adsorbent, is presented in Figure 5f. As can be seen in Figure 5f, the KI did not change significantly with an LF value lower than 4.0. However, the KI dropped drastically as the LF increased to 6.0, and then the decrease in the KI became gradual with the loading factor increase beyond 6.0. Pooled data of the KI with the LF from several experiments under varied initial La(III) concentrations, solution volumes, and adsorbent amounts are presented in Figure 5g. Again, a similar trend of the KI with the LF can be seen in Figure 5g, where the KI appeared to stay relatively similar at an LF ≤ about 5.0 and decreased with increases in an LF above 5.0.
As indicated by the data obtained in the present study, the adsorption capacity and the kinetic rate constant were dependent on the amount of adsorbent present. However, non-linear trends of the adsorption capacity and the rate constant, KI, with the amount of adsorbent can be observed in Figure 4b and Figure 5e, respectively. This indicates that, in addition to the amount of adsorbent, the amount of La(III) present in the solution, relative to the amount of adsorbent, also affects the adsorption rate and the adsorption capacity since it affects the mass transfer rate of La(III) from the bulk liquid to the solid adsorbent; this, in turn, affects the adsorption rate. Therefore, the loading factor (LF) was introduced and used for the generalization of adsorption data in the present study. The loading factor provides a more generalized absorbate loading per unit mass of adsorbent in an adsorption system. In other words, it normalizes the total amount of La(III) available in the solution to the amount of adsorbent present. Therefore, given the same fluid dynamic condition at the same loading factor regardless of the values of M, C, and V, it is expected that the adsorption process behaves in a similar way in terms of the adsorption capacity and the adsorption rate constant.
It is relevant to note that at a low LF, there is more adsorbent available relative to the amount of adsorbate present in the solution, and vice versa. As indicated by Figure 5f,g, at the LF values of about 5 or lower, the kinetic rate constant, KI, was high and only varied slightly with the LF. Under this condition of LF, the entire adsorption process was influenced by the mass transfer step since the amount of adsorbent present was high relative to the available adsorbate, providing abundant adsorption sites. However, at 100 RPM, the turbulence in liquid was at a sufficient level to facilitate an adequate mass transfer from liquid to solid adsorbent in various experiments covering this range of LF. In addition, the mass transfer rate would be similar among the experiments at the same RPM. Consequently, the adsorption rate and, hence, the rate constant KI clustered at about the same level among those experiments. On the other hand, at the high end of LF (about 6, 7 onwards), the KI decreased with increasing LF. In this case, the overall adsorption process might be controlled by the adsorption step since the number of adsorption sites available, relative to the amount of adsorbate present, was quite low, as compared to the cases with a lower LF, resulting in limited adsorption and hence a lower adsorption rate and KI.
2.4. Effect of pH and Temperature on Adsorption
The uptake of La(III) was examined over an initial pH range from 2.0 to 7.0 since pH may affect the adsorbent surface characteristics (active sites for adsorption), the degree of ionization, and the speciation of metal ions in a solution. The La(III) percentage removal over 2.5 h and 7 h of adsorption was determined and is presented in Figure 6a with the final pH in the parenthesis right after the value of the initial pH. After 2.5 h of adsorption, the highest percentage removal of La(III) was observed at a solution pH of 6.0, representing an increase of almost 50% as the pH was increased from 2.0 to 6.0. However, the percentage removal was quite similar over the pH range from 2.0 to 5.0. On the other hand, there was a significant drop in the percentage removal with a further increase of pH from 6.0 to 7.0. A similar trend of the KI’s variation with pH was also observed. Faster adsorption at pH = 6.0 is also reflected by the higher first-order rate constant, KI, at this pH, as can be seen in Figure 6b. Nevertheless, over an extended adsorption time of 7 h, the variation of the La(III) percentage removal over the range of pH from 2.0 to 7.0 diminished and fluctuated around 85%, except a slightly higher La(III) removal of 92% at pH = 6.0 and an 80% removal at pH of 5.0.
Figure 6.
Effect of the solution pH: (a) on the removal of La(III), (b) the first-order kinetic rate constant, and (c) the zeta potential of the adsorbent (T = 25.0 °C, 100 RPM); (d) variation of the solution pH with adsorption time.
The zeta potential of the adsorbent was also measured over the pH range from 2.0 to 7.0 and is plotted in Figure 6c. As shown in Figure 6c, the zeta potential was relatively neutral over the pH range from 2.0 to 7.0, considering the uncertainty of ± 0.8 mV of the measurement replicates. Therefore, the zeta potential did not have any significant effect on La(III) adsorption at varied pH.
It is relevant to note that under acidic conditions with a pH < 5.0, Lanthanum in an aqueous solution is present in the form of positively changed species, La3+ [29], which is still a dominant species in the solution at a pH up to 6.0. However, Lanthanum converts to LaOH2+, which is less positive (lower valances) than La3+, at a pH larger than 6.0 [1]. Moreover, the adsorbent (Dowex 50W-8X) is a cationic ion exchange resin with negatively charged sulfonic acid functional groups that attract more strongly to the more positively charged species, La3+. In addition, La3+ is smaller than La(OH)2+; hence, it is more mobile than La(OH)2+ towards the adsorbent since it can diffuse faster in liquid. Therefore, La3+ would be adsorbed more readily than La(OH)2+. This might be the factor causing a significant drop in the percentage removal when the pH was increased from 6.0 to 7.0 over the initial stage up to 2.5 h of adsorption, as shown in Figure 6a. On the other hand, there would be potential competition for the active sites on the adsorbent surface with more H+ present in a solution at a lower pH. In addition, the zeta potential of the solid absorbent stayed relatively neutral over the whole range of pH tested, as shown in Figure 6c. This indicates that the zeta potential did not play a considerable role in attracting or `repulsing La(III) ions, resulting in different adsorption capacities at different pHs, but the decrease in La(III) adsorption at pH of 7.0 would rather be due to the speciation of La(III) towards less positive species, La(OH)2+ and La(OH)2+ at this pH [1], and the lower La(III) adsorption at a pH ≤ 5.0 was mainly due to H+ competition. However, there was no discerning difference in the percentage removal of La(III) over an extended adsorption time of 7 h for all initial pHs from 2.0 to 7.0. The release of H+ ions from the resin into the solution resulted in a much lower pH, around 2.0–3.0, at the later stage for all initial pH values, as can be seen in Figure 6a. Consequently, over the later stage of adsorption, Lanthanum would be present as La3+, and the level of competition by H+ for adsorption sites would be similar, rendering a similar overall adsorption capacity for all initial pHs.
Dowex 50W-X8 is a cationic exchange resin; thus, as adsorption proceeds, H+ ions on the resin surface are replaced by adsorbed La3+ ions and released into the solution, resulting in a change in the solution’s pH. Therefore, in order to observe the extent of the change in the solution’s pH due to the release of H+ ions from the resin, the solution’s pH was monitored continually until the equilibrium was reached. The result obtained is presented in Figure 6d. In general, the solution’s pH decreased significantly from the initial pH of 5.18 to 3.47 after 2 h and leveled off to 3.03 after 6 h of adsorption. Based on the definition of pH = −log[H+] with [H+] in mol/L, the change of the pH from 5.18 to 3.03 is equivalent to a gain of 0.926 mmol/L of H+ in the solution. At the same time, the amount La(III) adsorbed was 6.81 mg or 0.0490 mmol (Lanthanum atomic weight = 138.9 g/mol) from 150 mL of solution, which is equivalent to 0.327 mmol/L. Every La3+ ion adsorbed would replace 3 H+ ions on the resin surface; hence, the equivalent H+ replaced by 0.327 mmol/L of La3+ would be 0.981 mmol/L. This is in line with the observed change in the concentration of H+ in the solution of 0.926 mmol/L. However, the solution’s pH only decreased slightly for the run with the initial pH of 3.0; the pH remained relatively unchanged for the case with the initial pH of 2.0, as can be seen in Figure 6a. This trend is not fully understood in the present study. Perhaps there were vacant sulfonic acid sites unoccupied by H+ ions on the resin surface where La(III) could be adsorbed without releasing H+ to the solution. This needs to be further investigated in the future for a full understanding.
The effect of pH on the adsorption of La(III) to the resin may involve two factors: the speciation of Lanthanum and the competition of adsorption sites by H+ present in the solution. Lanthanum is in the form of La3+ in a solution at a pH ≤ 6.0, which has the maximal positive charge that enhances the attraction of La3+ towards the negative sites of the resin to exchange with H+, as compared with La(OH)2+ and La(OH) at higher pHs. This condition favors La(III) adsorption. For example, at a solution pH of 6.0, Lanthanum would be in the form of La3+ while the concentration of H+ was moderate, as compared to that at lower pH values; hence, the competition of H+ for adsorption sites was moderate. As a result, the adsorption capacity would be enhanced. However, the beneficial effect of the relatively high initial pH was only sustained over the initial stage of adsorption (up to 2.5 h) since the solution’s pH dropped quickly to about 2.0–3.0 for all solutions with the initial pH from 2.0 to 7.0, as shown in Figure 6a. At a low solution pH of 2.0–3.0, the H+ concentration in the solution was high; hence, H+ would compete more vigorously with La3+ for active sites on the resin surface. Consequently, over the extended adsorption period of 7 h, the effect of the initial pH on La(III) adsorption became very modest. This was reflected by the insignificant percentage of La(III) removal at various initial pH values tested over 7 h of adsorption. In light of this observation, it is very important to realize that if the pH of the solution is controlled/maintained relatively constant at a relatively high initial pH, e.g., pH = 6.0, by continuous/continual addition of an alkaline solution, such as sodium hydroxide or ammonium hydroxide, to neutralize H+ ions released from the resin during the adsorption process, the concentration of the H+ the solution is kept low over the adsorption process; hence, the adverse effect of H+ release from the resin is avoided, resulting in more efficient adsorption. Although Na+ or NH4+ is incidentally introduced to the solution from the alkaline solution, they are monovalent ions, while La(III) are trivalent ions. Therefore, their effect on the uptake of La(III) by the resin would be minor. In the present study, the solution pH was not controlled over the duration of the experiments due to the limitation of our experimental setup. However, pH control is seriously considered a worthy practice for our future study, even though most of the published studies on adsorption do not report pH control in their work.
Several reports in the literature on the adsorption of metal ions and REEs presented various trends of the effect of pH on adsorption capacity. For example, adsorption of La(III) by Sagassum fluitans was found to increase with pH from 2.0 to 5.0 [30], while an optimal pH of 4.0 was reported for adsorption of other Lanthanides, and lower adsorption at pH = 5.0, using a functionalized mesoporous silica monolith [29]. On the other hand, in an investigation of the adsorption of La(III) and Y(III) by Gibbsite (aluminum oxides or hydroxides), the authors reported a steady increase in the adsorption capacity with increases in pH from 4.0 to 7.0 [22]. Some other studies, using functionalized silica particles with PAA (phosphono-acetic acid) and DTPADA (diethylene-triamine-pentaacetic dianhydride) ligands, reported a maximal La(III) removal at pH = 7.0 and pH = 2.0 for PAA and DTPADA, respectively [31]. An investigation of co-adsorption of La(III), Ce(III), and Nd(III) showed a comparable adsorption capacity of biochar composites over a pH range from 3.0 to 5.0 while the adsorption capacity was less than 1/3 of that at pH = 2.0 [6]. On the other hand, a study of La(III) adsorption by dual-site polymeric ion-imprinted nanoparticles showed a steadily increasing trend of adsorption capacity over a range of pH = 3.0–6.0 [11]. The wide variation in the effect of pH on adsorption, as reported, may be rooted in different adsorbents with a different surface chemistry that changes differently with pH.
It is worth noting that for a pH = 2.0–7.0, a significant effect of pH on the La(III) percentage removal was only observed in the early stage of adsorption (2.5 h) in the present study (Figure 6a). As adsorption was allowed to progress to 7 h, no substantial difference in the percentage of La(III) removal was observed over the range of pH used, mostly varying between 80 and 89% and a maximum of 92% at pH= 6.0. This indicates that pH might have some discerning effect on the adsorbent surface at the onset of the experiment (first 2.5 h), resulting in a significantly higher La(III) percentage removal of 80% at pH of 6.0, compared with a relatively low removal of around 55% for all other pH levels. However, when the adsorption process was extended to 7 h, La(III) remaining in the solution for the case of a pH = 6.0 became more exhausted, as compared with that for other pHs; hence, the adsorption was predominantly controlled by the mass transfer rate, resulting in a low adsorption rate due to a low concentration difference between the liquid and solid, which is the driving force for mass transfer. On the other hand, for cases of a pH from 2.0 to 5.0 and a pH of 7.0, La(III) remaining in the solution was still relatively higher than that for the case with a pH = 6.0. This facilitated higher mass transfer rates and adsorption rates for those cases at the late stage of adsorption and compensated for lower adsorption rates over the initial stage of adsorption. Therefore, overall, the La(III) percentage removal over 7 h of the experiment did not vary significantly with all pH from 2.0 to 7.0, except for a slightly higher removal at pH = 6.0.
For the effect of temperature on the adsorption of La(III), experiments were carried out over a temperature range from 20.0 to 40.0 °C. The results obtained are presented in Figure 7. As can be seen in Figure 7a, the adsorption of La(III) by Dowex 50W-X8 appeared to be independent of temperature. The La(III) percentage removal after 7 h of adsorption was around 90% at all temperatures tested, with a slightly lower percentage removal of about 85% at 25 °C. Nevertheless, the kinetic rate constant was higher at a lower temperature, as presented in Figure 7b, indicating exothermic physical adsorption of La(III) by Dowex 50W-X8, as expected for this type of adsorbent. This was indeed the case, as shown later in the thermodynamic analysis.
Figure 7.
Effect of temperature on adsorption of La(III): (a) Variation of La(III) percentage removal with temperature; (b) Rate constant, KI, at different temperatures (pH = 5.5, 100 RPM).
La(III) adsorption appeared to be insensitive to temperature changes, as indicated by the similar values of La(III) percentage removal after 7 h of adsorption at varied temperatures in Figure 7a, while the first-order kinetic rate constant KI decreased moderately with temperature. Adsorption was found to be faster under a lower temperature condition at the onset of the adsorption process (about 2–3 h), as indicated by a sharper decrease in La(III) concentration observed. Then, adsorption became much more gradual for all temperatures. Therefore, cumulatively, over the duration of 7 h, a higher rate constant, KI, was obtained at a lower temperature. Likewise, at the later stage of the adsorption process, for the case of a higher temperature, La(III) remained in the solution relatively higher than that for a case with a lower temperature. As a result, the mass transfer of La(III) from liquid to solid adsorbent was relatively higher for the case at a higher temperature, resulting in a higher adsorption rate. This compensated for the lower adsorption rate over the initial stage. Therefore, overall, the La(III) percentage removal became similar after 7 h of adsorption at all temperatures tested. Some studies on the adsorption of La(III) and other REEs reported a positive effect of temperature on adsorption capacity; the adsorption process was thus endothermic [32,33]. On the other hand, a study of the adsorption of La(III) by dual-site polymeric ion-imprinted nanoparticles reported a decreasing trend of the adsorption capacity with temperatures from 25 to 65 °C [15]. Moreover, some studies reported that temperature did not have any significant effect on the adsorption of La(III) and Ce(III) by chitosan-functionalized magnetite-pectin [23], while an investigation of adsorption of La(III) by bamboo charcoal showed a moderate increase in adsorption capacity (15%) as the temperature was increased from 15 °C to 25 °C, and no change with a further increase to 35 °C [18]. Similar to the effect of pH on the adsorption capacity, the temperature may affect the surface characteristics of the adsorbent in different ways, depending on the type of adsorbents and their surface chemistry, resulting in a wide variation in the trends of adsorption capacity with temperature among different adsorbents.
2.5. Kinetics, Isotherm Models, and Thermodynamic Parameters of La(III) Adsorption
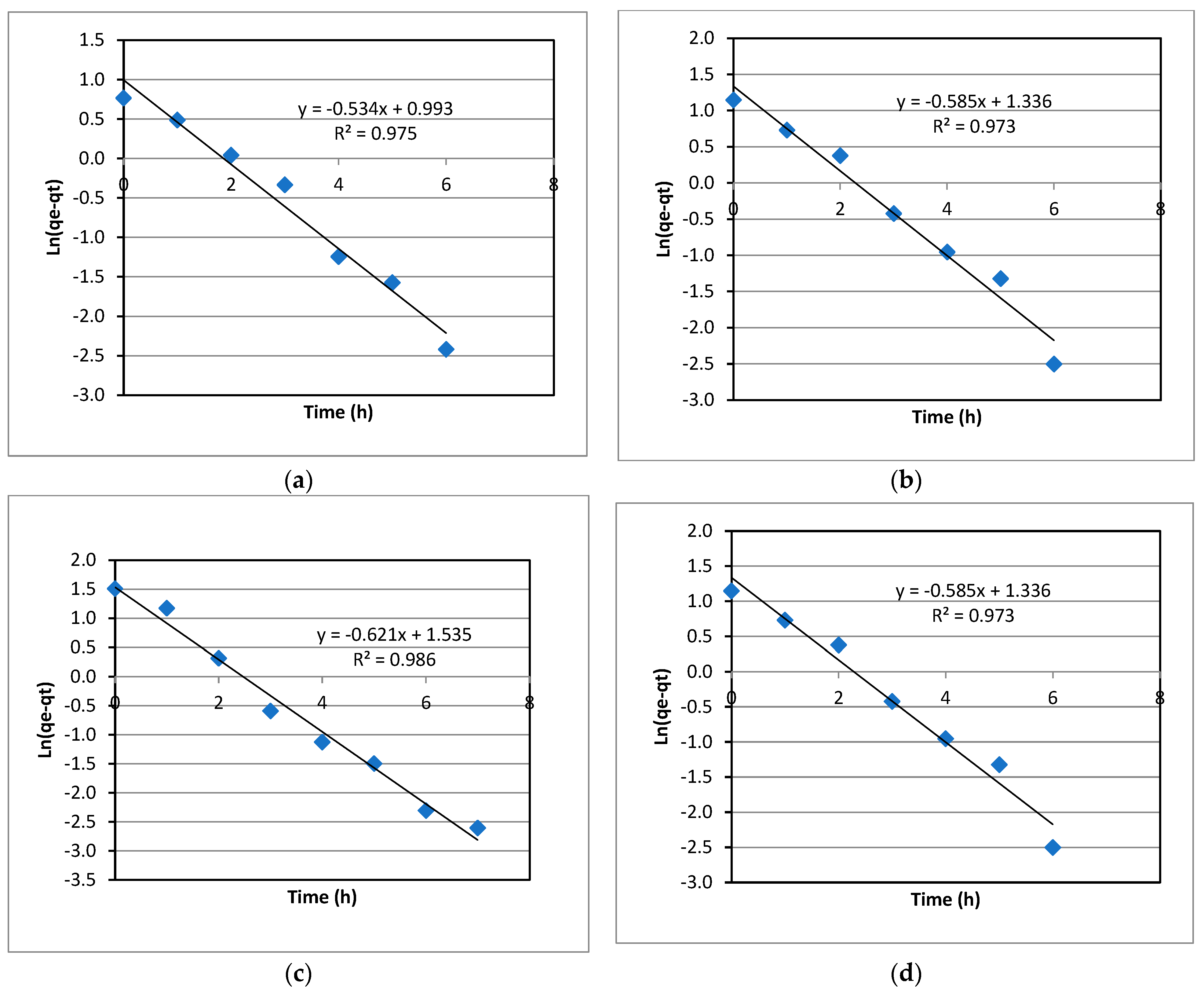
The kinetics of La(III) adsorption with varied initial La(III) concentrations was investigated. Experimental data were fitted to both the first-order kinetic model and the second-order kinetic model. However, the data fitted better to the first-order model; hence, only the results for the first-order kinetics are presented in this section. As can be seen in Figure 8, the data fitted to the first-order kinetic model quite well, as indicated by the coefficient of determination, R2, ranging from 0.973 to 0.986. The first-order rate constant, KI, can be extracted from the slopes of the plots in Figure 8. It was noted that the KI only increased slightly with the initial concentration of La(III).
Figure 8.
First-order kinetics of La(III) adsorption: (a) Initial La(III) concentration = 32 ppm, (b) Initial La(III) concentration = 45 ppm, (c) Initial La(III) concentration = 65 ppm, (d) Initial La(III) concentration = 85 ppm, (pH = 5.5, T = 25.0 °C, 100 RPM). Note: the diamond symbols are data points, the solid line is from the linear regression.
The variation of the adsorbed amount of La(III) with adsorption time for varied initial La(III) concentrations was calculated and is plotted in Figure 9. At all initial La(III) concentrations, adsorption approached equilibrium after 6 h of adsorption, as can be seen in Figure 9. The equilibrium data, qe and Ce, were then determined and fitted into the widely used isotherm models, namely the Langmuir model and the Freundlich model, to obtain the isotherm equation for La(III) adsorption with Dowex 50W-X8 at 25.0 °C.
Figure 9.
Adsorption of La(III) at varied initial concentrations, 100 RPM, 2.0 g adsorbent, pH = 5.5, T = 25.0 °C.
The Langmuir model for monolayer adsorption can be expressed as follows [34]:
where Ce (mg/L) and qe (mg/g) are the La(III) concentration remaining in the solution and the La(III) adsorbed amount at equilibrium, respectively. KL (L/mg) is the Langmuir isotherm constant, and qL (mg/g) is the adsorption capacity of the resin.
The Freundlich model for multiple layers adsorption can be written as below [35]:
where Ce (mg/L) and qe (mg/g) are the La(III) concentration remaining in the solution and the La(III) adsorbed amount at equilibrium, respectively. KF ([mg1−n. Ln]/g) represents the Freundlich adsorption capacity, and n is the heterogeneity factor indicating the multilayer adsorption.
The equilibrium data were applied to Equations (9) and (11), and the plots are presented in Figure 10. As can be seen in Figure 10, the adsorption of La(III) onto Dowex 50W-X8 appears to follow the Freundlich model better with a coefficient of determination, R2 = 0.98 while the data fitted the Langmuir model very poorly with an R2 of about 0.45. The model constants are presented in Table 2. Thus, the equilibrium La(III) adsorbed/uploaded onto Dowex 50W-X8 can be estimated from the following equation:
where Ce (mg/L) and qe (mg/g) are the La(III) concentration remaining in the solution and the La(III) adsorbed amount at equilibrium and 25 °C, respectively. Equation (12) allows for the estimation of the La(III) adsorbed amount at different La(III)concentrations at equilibrium. The H+ ions on the solid resin (R−H+, R is the resin) are exchanged with La3+ in the solution until equilibrium is reached, which can be represented by the following chemical reaction:
R−H+ + La3+ ⇆ R−La3+ + H+
Figure 10.
Isotherm models for adsorption of La(III): (a) the Freundlich model, (b) the Langmuir model (100 RPM, 2.0 g adsorbent, pH = 5.5, T = 25 °C).
Table 2.
Isotherm and thermodynamic parameters for adsorption of La(III) by Dowex 50W-X8.
In addition, from the data obtained at different temperatures, the typical thermodynamic parameters, such as the Gibbs free energy change (ΔGo), the enthalpy change (ΔHo), and the entropy change (ΔSo), were also evaluated for the adsorption of La(III) by Dowex 50W-X8. ΔGo represents the degree of spontaneity of a process. A negative ΔGo indicates that a process is spontaneous, while a positive one implies a non-spontaneous process. An exothermic process has a negative change in the enthalpy. This information, in turn, guides the operational manipulation to enhance the adsorption process. The Gibbs free energy change can be calculated from the Van’t Hoff equation below [36,37]:
where R is the gas constant, and T is the temperature in Kelvin (K). Kd is the thermodynamic equilibrium constant (dimensionless).
The Gibbs free energy change is defined as follows:
Combining Equations (14) and (15), the Van’t Hoff equation can be rewritten as follows:
The thermodynamic equilibrium constant, Kd, can be expressed as below:
The values of Kd were calculated using experimental data at various temperatures. The variation of ln(Kd) with 1/T is presented in Figure 11a. From Figure 11a, ΔGo, ΔHo, and ΔSo were determined and are presented in Table 2 along with the isotherm parameters.
Figure 11.
Variation in the thermodynamic equilibrium constant (Kd) (a), and the kinetic constant (KI) with temperature (b).
In addition, the activation energy for the kinetics of La(III) adsorption with Dowex 50W-X8 was also estimated using the Arrhenius equation as below:
where KI is the first-order rate constant of adsorption at a given temperature, A is the pre-exponent constant, E is the activation energy for adsorption, R is the gas constant, and T is the temperature (K). The values of KI were determined using adsorption data for experiments at varied temperatures from 293 K to 313 K, and Ln(KI) was plotted vs. 1/T, as shown in Figure 11b. The values of E and A of −11.6 kJ/mol and 5.10 × 10−3, respectively, were then obtained.
As can be seen in Table 2, the adsorption of La(III) by Dowex 50W-X8 was an exothermic process, as reflected by the negative change of enthalpy. Also, the negative activation energy, estimated from the Arrhenius equation, further supports this finding since the adsorption rate constant decreased with increases in temperature, which is typical for an exothermic process.
In addition, the process could be considered thermodynamically favorable, i.e., spontaneous, as indicated by the negative Gibbs free energy change over the range of temperature tested. This is in line with the low activation energy obtained from the Arrhenius equation, which was low and negative, indicating a low energy barrier for adsorption to occur.
Kinetic information is useful in the operation of a scaled-up adsorption system since it allows for the estimation of the required adsorption time to achieve a certain adsorbed amount of an absorbate. As can be seen in Figure 8, the data fitted better to the first-order kinetics with a coefficient of determination, R2, ranging from 0.973 to 0.986, which is reasonably good. The first-order kinetic rate constant, KI, remained relatively constant for all initial concentrations with a deviation from the average value of about 5.4%. This indicates that the adsorption kinetics of La(III) with Dowex 50W-X8 is independent of the initial concentration of La(III) in the range from 32 to 85 ppm. In other words, it can be deduced that the whole adsorption process, under the operational conditions used in the experiments, was predominantly controlled by the adsorption step at the adsorbent surface, which would be affected by factors that could alter the adsorbent surface characteristics such as temperature, pH, and other chemical species, but not the concentration of La(III) in the bulk liquid. It is well understood that when the initial adsorbate concentration changes, the concentration remaining in the solution at equilibrium changes as well. However, the adsorption kinetics did not change significantly with the variation of the initial concentration. This could be because the mass transfer from the liquid to the solid adsorbent was not a dominant factor. The mass transfer rate from liquid to solid was sufficient for adsorption, regardless of the La(III) concentration, while the adsorption step determined the overall adsorption rate, resulting in similar KI values for all La(III) initial concentrations over the range used in the present study.
In addition, the adsorption isotherm is useful in the design of an adsorption system since it allows an estimation of the amount of adsorbent needed to remove/recover a certain amount of adsorbate/REE in the solution. Therefore, adsorption equilibrium data obtained with different initial La(III) concentrations were applied to the two typical equilibrium isotherms, the Freundlich and the Langmuir models. As presented in Figure 9, the adsorbed amount increased quickly over the initial stage of about 3 h and became much more gradual until equilibrium was reached at about 7–8 h. A much lower adsorption rate at the later stage of adsorption might be due to a significantly lower concentration of La(III) remaining in the solution at that time; hence, the mass transfer of La(III) from the liquid to the solid adsorbent became much smaller, which limited the adsorption rate.
Overall, adsorption of La(III) by Dowex50W-X8 was shown to be thermodynamically favorable, i.e., spontaneous, as indicated by the negative Gibbs free energy change and the low and negative activation energy, indicating a low energy barrier for adsorption to occur. Moreover, the La(III) adsorption capacity of Dowex50W-X8 is comparable to some other types of adsorbents, as shown in Table 3. It is relevant to note that the loading factor LF used in the present study is quite low, as compared with reported studies in Table 3. LF represents the amount of the adsorbate, such as La(III) in this case, present in the solution per gram of the adsorbent/resin. The higher the LF, the more favorable adsorption is. It is relevant to note that the references quoted in Table 3 did not report the LF values. The LF values for those references were calculated by us using their reported solution volume (V in mL), initial La(III) concentration (C in mg/L), and adsorbent amount (M in g). In the present study, LF was observed to affect the adsorption capacity significantly, e.g., when LF increased from 6 to 12, the adsorption capacity increased substantially from 5.46 mg/g to 10.8 mg/g. A similar trend was also reported in reference [6], where the adsorption capacity of biochar increased from 8.14 mg/g to 11.14 mg/g as the amount of biochar was decreased from 0.15 g to 0.10 g (LF increased from 13.3 to 20) while all other operational conditions were kept the same. This implies that the potential adsorption capacity of Dowex 50W-X8 can be higher when a higher LF is used in the adsorption operation.
Table 3.
La(III) removal capacities of various adsorbents.
2.6. Resin Regeneration and Adsorption Capability Recovery
In order to evaluate whether the adsorbate-laden resin could regenerate and recover its adsorption capacity, three cycles of adsorption–desorption tests were carried out. The results obtained are presented in Figure 12. As can be seen in Figure 12, Dowex 50W-X8 can recover most of its original adsorption capacity after three adsorption–desorption cycles. There is no discerning difference in the percentage removal of La(III) over three cycles. In addition, it was reported that AmberChrom 50WX8 50–100, similar to Dowex 50W-X8 used in the present study, could withstand 10 cycles of 10% NaOH (adsorption) and 10% HCl (desorption/elution) before some minor cracks developed [38]. This indicates that Dowex 50W-X8 is quite durable for adsorption applications. In addition, La(III) in the desorbed/eluted solution can be extracted by various methods, dependent on the desirable final form of the lanthanum product. Among different methods, chemical precipitation, such as hydroxide precipitation, double salt precipitation, oxalate precipitation, and phosphate precipitation, is the most common method that is simple to operate [12]. Hydroxide precipitation, using sodium hydroxide at a pH = 9.3, could efficiently recover La(III) from a solution. A 99.4% Lanthanum recovery by hydroxide precipitation was achievable, as reported by Khawassek et al. (2015) [39]. Alternatively, double sulfate hydrate precipitation using sodium sulfate would also be applicable to the recovery of La(III) from an acidic solution [12]. For a low La(III) concentration solution of about 100 ppm in the present study, La(III) started to precipitate out of the solution as the solution pH was raised to 7.43 using a 0.10 M NaOH solution.
Figure 12.
La(III) removal from the recycled resin over three adsorption–desorption cycles.
3. Materials and Methods
A batch adsorption process was used throughout the present study. Lanthanum sulfate (Sigma-Aldrich, St. Louis, MO, USA) was used to prepare La(III) solutions at varied concentrations in distilled water. Different adsorbents and other chemicals were also obtained from Sigma-Aldrich. The pH of a La(III) solution was adjusted with either a dilute sulfuric acid solution or a sodium hydroxide solution. Adsorption experiments were carried out in a temperature-controlled shaker water bath with variable speeds from 50 to 50 RPM (Julabo SW22, Julabo USA Inc., Allentown, PA, USA). A total of 150.0 mL of La(III) solution at a given initial concentration was added to each Erlenmeyer flask. A certain amount of adsorbent, e.g., 1.0 g, was also added to the solution in the flask. The flasks were then placed and secured in the shaker water bath. The water bath was set at a certain temperature, e.g., 20.0 °C, and a predetermined shaking speed, e.g., 100 RPM. A 3.0 mL solution sample was drawn from each flask every hour over an experimental duration of 7 h. The La(III) concentrations in the samples were measured using an ICP (Agilent 5100/5110 VDV ICP-OES, Agilent Technologies, Inc., Santa Clara, CA, USA).
In the first stage of the study, the determination of the optimal shaker speed (RPM) was carried out with experiments at varied shaker speeds from 50 RPM to 150 RPM. For a non-porous adsorbent, the overall adsorption process usually includes two steps: mass transfer of the adsorbate to the surface of the adsorbent and the adsorption of the adsorbate onto the adsorbent. Often, mass transfer is the limiting step affecting the overall adsorption. Therefore, the RPM tests were performed to ensure that the overall adsorption process was not limited by the mass transfer step of the adsorbate from liquid towards the adsorbent surface if the shaker speed was too low. Once the optimal RPM was determined, it was then used for other experiments thereafter. Different adsorbents, namely Dowex 50W-X8, Amberchrom50WX4 (formerly Dowex 50W-X4), Amberlyst 15 hydrogen form, and Amberchrom 50WX2 (formerly Dowex 50W-X2), were tested so as to select a suitable adsorbent for further study.
To assess the adsorbent surface structure, X-ray images of all adsorbents were obtained using a facility at the Canadian Light Source (CLS), Saskatoon, Canada, as shown in Figure 13. An X-ray microtomographic study was conducted at the bend magnet beamline 05B1-1 at the Biomedical Imaging and Therapy (BMIT) Beamline. A polychromatic beam, filtered using Al (0.883 mm) and Mo (0.084 mm) filters, was detected with a WB 20X detector (PCO Edge) coupled to a high-resolution camera PCO Dimax HS (PCO, Germany), with a field of view (FOV) of 2.2 mm × 1.1 mm. In the CT imaging setup, the center of rotation was set to 1255, and an optimized Sample-to-Detector Distance (SDD) for the PBI technique was chosen to achieve high resolution. The projections had dimensions of 2160 × 2560 pixels (height × width), with a total of 1500 projections acquired. For image processing, large spot removal was disabled, while phase retrieval was enabled with an energy level of 20.0 keV. The pixel size was 400 nm, and the sample-detector distance was 0.02 m, ensuring high-resolution imaging and accurate detail capture.
Figure 13.
X-ray imaging facility at CLS that was used to generate resin images, resin particle sizes, and size distribution: (a) sample holder; (b) bend magnet beamline 05B1-1.
The resulting radiographs were converted into graphical images. CT reconstruction was performed using the open-source Ultra-Fast-Online (UFO) package available at CLS. The converted images were quantitatively analyzed with the open-source ImageJ software (Fiji, open source available on GitHub, General Public License GPLv3+, release/version 2.15.1). The obtained frames were gray and black with no clear features. After enhancing brightness, adjusting the threshold, converting to a mask, and selecting colors, the characteristics could be clearly observed. To ensure data accuracy, four measurements were conducted for each sample, and the data presented in the results and discussion represent the average of these measurements.
To accurately assess particle size, distribution, and surface area, the 2D images were reconstructed into 3D volumes. This conversion enabled more comprehensive analysis by allowing for the measurement of particles in three dimensions rather than two. This approach improved the accuracy of size and distribution measurements. In ImageJ software (release/version 2.15.1), particle size measurements and size distribution within the field of view (FOV) were conducted by first calibrating the image for an accurate scale. For each sample, 1500 images were uploaded. Each image was converted to grayscale if necessary, and a threshold was applied to segment particles from the background. The Analyze Particles tool was then used to measure particle sizes and distributions. This tool allowed for setting size and circularity criteria to filter out unwanted particles and generates a results table with individual particle measurements, such as area or diameter. Particle size distribution was visualized through a histogram of size data. The largest, smallest, and average particle sizes, as well as the particle size distribution for each sample, were obtained. Multiple measurements were carried out for each sample to account for inherent variability and to ensure the reliability of the data. By averaging the results from these repeated measurements, the impact of outliers and random errors was reduced. This process provided a more accurate and precise assessment of particle size and distribution.
In addition, to obtain information on the surface topography of Dowex 50W-X8 before and after adsorption, a scanning electron microscope (SEM) (Model JSM-6380 LV, JEOL, Tokyo, Japan) was used. SEM uses a high-energy electron beam to generate signals and create an image of a sample by processing those signals. The image of the resin surface allows for an assessment of the resin surface integrity before and after adsorption. Elemental analyses of the resin before and after adsorption were also performed with an energy dispersive spectrometry (EDS) INCA X-sight (Oxford Instruments, Abingdon, UK). This analysis was performed to confirm the presence of La(III) adsorbed on the resin surface. In addition, the zeta potential is one of the factors that could affect the La(III) adsorption capacity of an adsorbent since positive La(III) ions would be more attractive to the adsorbent with a more negative zeta potential. Therefore, the zeta potential of Dowex 50W-X8 was measured at varied solution pH using a zeta potential analyzer (Zetasizer-Nano Series, Malvern Instruments Ltd., Chipping Norton, UK, ±0.01mV).
Once the adsorbent of choice was determined, the effect of the adsorbent amount on the adsorption capacity was carried out with experiments using varied adsorbent amounts from 1.0 g to 4.0 g (1.0 g increment). In addition, the effect of temperature and pH on the adsorption of La(III) was also investigated. Experiments at different water bath temperatures from 20.0 to 40.0 °C with a 5 °C increment and varied solution pH from 2.0 to 7.0 with a 1.0 pH unit increment were performed. From the variation of the amount of La(III) adsorbed with adsorption time under different experimental conditions, the kinetic models for the adsorption of La(III) were also developed.
Adsorption–desorption–elution tests of La(III)-laden absorbent/resin were also carried out, using a 0.25N H2SO4 solution for 2 h (recommended by the resin supplier). The same experimental procedure for adsorption was used for the desorption tests. Three cycles of adsorption–desorption were performed to obtain adsorption data of recycled/reused resin after desorption, which could be used to determine the ability to regenerate and reuse the adsorbent/resin. After the adsorption test, the resin was separated from the solution by vacuum filtration and used for the subsequent desorption/elution test. Similarly, the same resin, after desorption, was reused for the subsequent adsorption test.
Finally, experiments with different initial La(III) concentrations from 20.0 to 100.0 ppm were also carried out so that the adsorption isotherm for La(III) was determined. Typical thermodynamic parameters of adsorption, such as the changes in the Gibbs free energy, the enthalpy, and the entropy, were also estimated.
The evaluation of the effect of the operational conditions on La(III) adsorption, as described above, was mainly based on the percentage removal and the adsorbed amount. The percentage removal was defined as follows:
where Ci and Ct (mg/L) are the initial La(III) concentration in the solution and the concentration of La(III) remaining in the solution at a given time, t, during the adsorption process.
The amount of La(III) adsorbed was calculated using the following equation:
where qt is the amount of La(III) adsorbed at a given time (mg/g), t, M is the mass of adsorbent (g), and V is the volume of the La(III) solution in the flask (L).
4. Conclusions
In this study, the adsorption of La(III) by different cationic exchange resins, namely Dowex 50W-X8, AmberChrom 50WX4, Amberlyst 15 hydrogen form, and AmberChrom 50WX2, was evaluated. Dowex 50W-X8 was found to be more suitable for the adsorption of La (III) and selected to further investigate the effect of the shaker speed, adsorbent dosage, pH, and temperature on the adsorption capacity of La(III).
It was found that the adsorption of La(III) increased with the shaker speed from 50 RPM and leveled off at 125 RPM and beyond. Likewise, the rate constant of the pseudo-first-order kinetics of La(III) adsorption increased about three times as the shaker RPM was increased from 50 to 150 RPM. It is worth noting that in an investigation on the adsorption capacity of an adsorbent, it needs to ensure that the adsorption process is not limited by the mass transfer due to a low shaking speed so that the full adsorption capacity of the adsorbent can be achieved in the experiment. This is to warrant an accurate determination of the adsorbent’s adsorption capacity; hence, a meaningful comparison with other adsorbents can be obtained. By the same token, this would help achieve a successful scale-up to a larger adsorption system using the data generated in a laboratory.
In general, over the initial stage of the adsorption process, the La(III) percentage removal increased with the amount of adsorbent from 1.0 g to 3.0 g and leveled off with a further increase to 4.0 g. However, for an extended adsorption duration of 7 h, no significant difference in the percentage removal was observed among the runs with all adsorbent dosages used. Nevertheless, the adsorption capacity per unit mass of adsorbent decreased with increases in the amount of adsorbent. Moreover, it was noted that the effect of the amount of adsorbent on the adsorption capacity was interrelated to the amount of the adsorbate available (concentration and solution volume). Therefore, in the design and scale-up to a larger system, the loading factor (LF = C.V/M) could be of help in combining all three factors together, namely the adsorbate concentration and volume, and the adsorbent amount, such that the data from the laboratory could be used for estimation of the adsorption performance of a larger system operated under the same loading factor.
La(III) adsorption over the first stage of the adsorption process (about 2.5 h) was noticeably different at various initial pHs. The highest La(III) percentage removal of about 80% was obtained at the initial pH = 6.0. As the initial solution pH was increased from 2.0 to 5.0, the percentage removal only varied slightly around 55%. A further increase in the initial pH from 6.0 to 7.0 caused a decrease in the percentage removal to about 52%. However, for an extended adsorption time of up to 7 h, generally, there was no discerning difference in the percentage La(III) removal for all initial solution pHs, except slightly more adsorption at the initial pH of 6.0. It was also noted that for all initial pHs from 2.0 to 7.0, the solution’s pH dropped quickly over the first few hours and leveled off to about 2.0–3.0 at equilibrium. Likewise, the adsorption capacity of La(III) by Dowex 50W-X8 after 7 h of adsorption did not vary significantly with temperature from 20 °C to 40 °C.
Finally, the adsorption of La(III) by Dowex 50W-X8 followed the Freundlich isotherm model better than the Langmuir model, indicating a multilayer-adsorption of La(III) onto this type of adsorbent. In addition, adsorption data fitted the pseudo-first-order kinetic model better than the pseudo-second-order kinetic model. Moreover, the enthalpy of adsorption was determined to be −33.2 KJ/mol, indicating that the adsorption process was exothermic. Also, the adsorption process was thermodynamically favorable, as indicated by the negative change in the Gibbs free energy in the order of −6.3 KJ/mol to −4.4 KJ/mol over a temperature range from 293 to 313 K.
Author Contributions
Conceptualization, H.D. and T.D.-V.; Methodology: H.D. and M.C.; Formal analysis: H.D. and M.C.; Investigation: M.C. and H.D.; Data curation: M.C. and H.D.; Writing—Original draft preparation: H.D.; Writing—Review and Editing: M.C., H.D. and T.D.-V. All authors have read and agreed to the published version of the manuscript.
Funding
This research was funded by the Natural Science and Engineering Research Council of Canada (NSERC) grant number RGPIN-2021-03054.
Data Availability Statement
The data presented in this manuscript are available on request from the corresponding author due to the reason that this work is part of Michael Chan’s ongoing graduate work that will be used and published in his thesis.
Acknowledgments
The authors highly appreciate the financial support from the Natural Science and Engineering Research Council of Canada (NSERC) for the project. The technical and administrative support from the Department of Chemical Engineering, Toronto Metropolitan University, is also greatly appreciated. In addition, the authors express their sincere gratitude for the support of A. Abdelrasoul, Department of Chemical and Biological Engineering, University of Saskatchewan, and Ning Zhu at the Canadian Light Source (CLS, Saskatoon) for assistance in X-ray imaging of the resins.
Conflicts of Interest
The author, Trong Dang-Vu, was employed by SNF. The remaining authors declare that the research was conducted in the absence of any commercial or financial relationships that could be construed as a potential conflict of interest. The company (SNF) had no role in the design of the study, in the collection, analysis, or interpretation of data, in the writing of the manuscript, and in the decision to publish the results.
References
- Iftekhar, S.; Ramasamy, D.L.; Srivastava, V.; Asif, M.B.; Sillanpää, M. Understanding the factors affecting the adsorption of Lanthanum using different adsorbents: A critical review. Chemosphere 2018, 204, 413–430. [Google Scholar] [CrossRef] [PubMed]
- Pramanik, B.K.; Nghiem, L.D.; Hai, F.I. Extraction of strategically important elements from brines: Constraints and opportunities. Water Res. 2020, 168, 115149. [Google Scholar] [CrossRef] [PubMed]
- Gschneidner, K.A., Jr.; Pecharsky, V.K. Rare-Earth Element. Encyclopaedia Britannica, 20 January 2024. Available online: https://www.britannica.com/science/rare-earth-element (accessed on 29 January 2024).
- King, M.H. REE—Rare Earth Elements and Their Uses. 2022. Available online: https://geology.com/articles/rare-earth-elements/ (accessed on 29 January 2024).
- Balaram, V. Rare earth elements: A review of applications, occurrence, exploration, analysis, recycling, and environment impact. Geosci. Front. 2019, 10, 1285–1303. [Google Scholar] [CrossRef]
- Kołodyńska, D.; Bąk, J.; Majdańska, M.; Fila, D. Sorption of lanthanide ions on biochar composites. J. Rare Earths 2018, 36, 1212–1220. [Google Scholar] [CrossRef]
- Baldé, C.P.; Forti, V.; Gray, V.; Kuehr, R.; Stegmann, P. The Global E-Waste Monitor—2017; United Nations University (UNU): Bonn, Germany; International Telecommunication Union (ITU): Geneva, Switzerland; International Solid Waste Association (ISWA): Vienna, Austria, 2017; pp. 2–5. ISBN E 978-92-808-9054-9. [Google Scholar]
- Zhang, S.; Huang, X.; Wang, D. Review on comprehensive recovery of valuable metals from spent electrode materials of nickel-hydrogen batteries. Rare Met. Mater. Eng. 2015, 44, 73–78. [Google Scholar] [CrossRef]
- Mohebbi, A.; Abolghasemi Mahani, A.; Izadi, A. Ion exchange resin technology in recovery of precious and noble metals. In Applications of Ion Exchange Materials in Chemical and Food Industries; Inamuddin Rangreez, T.A., Asiri, A.M., Eds.; Springer International Publishing: New York, NY, USA, 2019; pp. 193–258. [Google Scholar]
- Khawassek, Y.M.; Eliwa, A.A.; Haggag, E.S.A.; Omar, S.A.; Abdel-Wahab, S.M. Adsorption of rare earth elements by strong acid cation exchange resin thermodynamics, characteristics and kinetics. SN Appl. Sci. 2019, 1, 51. [Google Scholar] [CrossRef]
- Royer-Lavallee, A.; Neculita, C.M.; Coudert, L. Removal and potential recovery of rare earth elements from mine water. J. Ind. Eng. Chem. 2020, 89, 47–57. [Google Scholar] [CrossRef]
- Mwewa, B.; Tadie, M.; Ndlovu, S.; Simate, G.S.; Matinde, E. Recovery of rare earth elements from acid mine drainage: A review of extraction methods. J. Environ. Chem. Eng. 2022, 10, 101104. [Google Scholar] [CrossRef]
- Zhao, Q.; Wang, Y.; Xu, Z.; Yu, Z. The potential use of straw-derived biochar as the adsorbent for La(iii) and Nd(iii) removal in aqueous solutions. Environ. Sci. Pollut. Res. 2021, 28, 47024–47034. [Google Scholar] [CrossRef]
- Wang, J.; Guo, X. Adsorption kinetic models: Physical meanings, applications, and solving methods. J. Hazard. Mater. 2020, 390, 122156. [Google Scholar] [CrossRef]
- Zhang, Y.; Liu, D.; Guo, W.; Ding, Y. Enhanced selective adsorption of Lanthanum (III) by dual-site polymeric ion-imprinted nanoparticles from aqueous media. ACS Appl. Polym. Mater. 2023, 5, 3315–3324. [Google Scholar] [CrossRef]
- Botelho, A.B., Jr.; Pinheiro, É.F.; Espinosa, D.C.; Tenório, J.A.; Baltazar, M.D.P.G. Adsorption of lanthanum and cerium on chelating ion exchange resins: Kinetic and thermodynamic studies. Sep. Sci. Technol. 2022, 57, 60–69. [Google Scholar] [CrossRef]
- Haldorai, Y.; Rengaraj, A.; Ryu, T.; Shin, J.; Huh, Y.S.; Han, Y.-K. Response surface methodology for the optimization of lanthanum removal from an aqueous solution using a Fe3O4/chitosan nanocomposite. Mater. Sci. Eng. B 2015, 195, 20–29. [Google Scholar] [CrossRef]
- Chen, Q. Study on the adsorption of Lanthanum (III) from aqueous solution by Bamboo Charcoal. J. Rare Earths 2010, 28, 125–131. [Google Scholar] [CrossRef]
- Iannicelli-Zubiani, E.M.; Stampino, P.G.; Cristiani, C.; Dotelli, G. Enhanced lanthanum adsorption by amine modified activated carbon. Chem. Eng. J. 2018, 341, 75–82. [Google Scholar] [CrossRef]
- Li, F.; Yang, Z.; Weng, H.; Chen, G.; Lin, M.; Zhao, C. High efficient separation of U(VI) and Th(iV) from rare earth elements in strong acidic solution by selective sorption on phenanthroline diamide functionalized graphene oxide. Chem. Eng. J. 2018, 332, 340–350. [Google Scholar] [CrossRef]
- Zhao, F.; Repo, E.; Meng, Y.; Wang, X.; Yin, D.; Sillanpää, M. An EDTA-β-cyclodextrin material for the adsorption of rare earth elements and its applications in preconcentration of rare earth elements in seawater. J. Colloid Interface Sci. 2016, 465, 215–224. [Google Scholar] [CrossRef]
- Zhou, Z.; Wan, Q.; Yu, W.; Nie, X.; Yang, S.; Yang, S.; Qin, Z. Adsorption behaviors of Lanthanum (III) and Yttrium (III) ions on Gibbsite. Minerals 2023, 13, 1530. [Google Scholar] [CrossRef]
- Yacouba, A.R.C.; Oral, A.E.; Sert, S.; Kaptanoglu, I.G. Removal of lanthanum and cerium from aqueous solution using chitosan-functionalized magnetite-pectin. Discov. Water 2024, 4, 1. [Google Scholar] [CrossRef]
- Page, M.J.; Soldenhoff, K.; Ogden, M.D. Comparative study of the application of chelating resins for rare earth recovery. Hydrometallurgy 2017, 169, 275–281. [Google Scholar] [CrossRef]
- Lagergren, S. About the Theory of So-Called Adsorption of Soluble Substances. K. Sven. Vetenskapsakademiens Handl. 1898, 24, 1–39. [Google Scholar]
- Ho, Y.S.; McKay, G. Pseudo-second order model for sorption processes. Process Biochem. 1999, 34, 451–465. [Google Scholar] [CrossRef]
- Marcinkowsky, A.E.; Phillips, H.O. Diffusion Studies. Part III. Tracer Diffusion Coefficients of Lanthanum(III) in Concentrated Solutions of HCl and HClO4 at 25 °C. J. Chem. Soc.(A) 1971, 3556–3558. [Google Scholar] [CrossRef]
- Treybal, R.E. Mass Transfer Operations, 3rd ed.; McGraw-Hill Book Company: New York, NY, USA, 1980; 75p. [Google Scholar]
- Rabiul Awual, M.; Kobayashi, T.; Shiwaku, H.; Miyazaki, Y.; Motokawa, R.; Suzuki, S.; Okamato, Y.; Yaita, T. Evaluation of Lanthanide sorption and their coordination mechanism by EXAFS measurement using novel hybrid adsorbent. Chem. Eng. J. 2013, 225, 558–566. [Google Scholar] [CrossRef]
- Palmieri, M.C.; Volesky, B.; Garcia, O., Jr. Biosorption of Lanthanum using Sargassum fluitans in in batch system. Hydrometallurgy 2002, 67, 31–36. [Google Scholar] [CrossRef]
- Callura, J.C.; Perkins, K.M.; Noack, C.W.; Washburn, N.R.; Dzombak, D.A.; Karamalidis, A.K. Selective adsorption of rare earth elements onto functionalized silica particles. Green Chem. 2018, 20, 1515–1526. [Google Scholar] [CrossRef]
- Iftekhar, S.; Srivastava, V.; Sillanpää, M. Enrichment of lanthanides in aqueous system by cellulose based silica nanocomposite. Chem. Eng. J. 2017, 320, 1151–1159. [Google Scholar] [CrossRef]
- Rahman, M.M.; Khan, S.B.; Marwani, H.M.; Asiri, A.M. SnO2-TiO2 nanocomposites as new adsorbent for efficient removal of La(III) ions from aqueous solutions. J. Taiwan Inst. Chem. Eng. 2014, 45, 1964–1974. [Google Scholar] [CrossRef]
- Langmuir, I. The adsorption of gas on plane surfaces of glass, mica and platinum. J. Am. Chem. Soc. 1918, 40, 1361–1403. [Google Scholar] [CrossRef]
- Freundlich, H. Over the adsorption in solution. J. Phys. Chem. 1906, 57, 1100–1107. [Google Scholar]
- Lima, E.C.; Hosseini-Bandegharaei, A.; Moreno-Pirajan, J.C.; Anastopoulos, I. A critical review of the estimation of the thermodynamic parameters on adsorption equilibria. Wrong use of equilibrium constant in the Van’t Hoof equation for calculation of thermodynamic parameters of adsorption. J. Mol. Liq. 2019, 273, 425–434. [Google Scholar] [CrossRef]
- Shahzad Baig, K.; Doan, H.D.; Wu, J. Multicomponent isotherms for biosorption of Ni2+ and Zn2+. Desalination 2009, 249, 429–439. [Google Scholar] [CrossRef]
- AmberChromTM Fine Mesh Ion Exchange Resins Technical Manual for Fine Chemical and Pharmaceutical Column. Dupont Water Solutions, Dupont, Version 3. November 2019. Available online: https://www.dupont.com/content/dam/dupont/amer/us/en/water-solutions/public/documents/en/IER-AmberChrom-Manual-45-D00952-en.pdf (accessed on 16 June 2024).
- Khawassek, Y.M.; Eliwa, A.A.; Gawad, E.A.; Abdo, S.M. Recovery of rare earth elements from El-Sela effluent solutions. J. Radiat. Res. Appli. Sci. 2015, 8, 583–589. [Google Scholar] [CrossRef]
Disclaimer/Publisher’s Note: The statements, opinions and data contained in all publications are solely those of the individual author(s) and contributor(s) and not of MDPI and/or the editor(s). MDPI and/or the editor(s) disclaim responsibility for any injury to people or property resulting from any ideas, methods, instructions or products referred to in the content. |
© 2024 by the authors. Licensee MDPI, Basel, Switzerland. This article is an open access article distributed under the terms and conditions of the Creative Commons Attribution (CC BY) license (https://creativecommons.org/licenses/by/4.0/).